Abstract
Strawberry production is challenged by several abiotic and biotic stresses, such as drought, soil salinity, and the angular leaf spot (ALS) disease caused by Xanthomonas fragariae. In recent decades, the development of commercial products containing combinations of different Plant-Growth-Promoting (PGP) microorganisms has been one of the main focuses of agricultural research. However, their results are often erratic depending on crop species, environmental conditions, and competition among the different strains or indigenous plant microbiota. The use of beneficial microorganisms selected from the crop-specific microbiota may help overcome this limitation, promoting their utilization for sustainable agriculture. The culturable bacteriota of strawberry plants was screened to identify PGP activities in vitro. Bacterial isolates were tested in vivo on strawberry plants in both optimal and stress (X. fragariae infection or salinity) conditions, allowing the selection of strains of Pseudomonas fluorescens, Stenotrophomonas rhizophila, and Agrobacterium rubi whose application showed a significant increase in plant growth and fruit production (up to seven-fold), even under stress conditions, and the ability to control ALS by over 50%. Potential synergistic effects among PGP isolates were tested by coordinated inoculation. However, plant growth and fruit quality were not promoted, except for fruit weight and size, by coordinate inoculation in comparison to m23 and m27 single-strain treatment.
1. Introduction
Strawberry is among the most important fruit crops produced globally, with an increase of +20% harvested area between 2011 and 2021 [1]. From 2012 to 2021, the total output value of the European strawberry market increased by +1.8% [2]. This growth responds to the increasing demand for red fruits, and consumers’ awareness of their nutritional value and antioxidant benefits [3]. In addition, great attention increasingly surrounds the so-called ‘dirty dozen’ (a list of 12 top pesticide-contaminated fruit/vegetables), in which strawberry recurrently ranks at the top [4], supporting the need to develop zero-residue production methods. Among the different pathogens affecting strawberries, Xanthomonas fragariae, the causative agent of angular leaf spot (ALS), causes high economic losses, as infected plants must be removed and destroyed [5] and no chemical or biological control agents are available against the disease, nor has any resistant cultivar been selected yet.
Soil salinization is one of the major environmental and socioeconomic threats on the global scale [6]. Salinity represents the most significant abiotic limitation to agricultural production [7]. Strawberry is one of the most salt-sensitive horticultural crops [8], despite varying degrees of susceptibility exist among cultivars [9]. In plants, salinity causes several adverse effects including water and nutrient uptake reduction, decreasing root and leaf development and accelerating leaf senescence, which contribute to a considerable reduction in both yield and quality [10,11]. Moreover, salinity causes leaf edge burn, necrosis, and possibly plant death [9].
The massive use of chemicals to cope with plant stresses causes, in the long term, serious problems such as deterioration of soil fertility, increased production costs, and pollution of the agro-ecosystem [12]. Therefore, the development of chemical-free products has gained momentum to preserve food quality and environmental safety. To accomplish that goal, several eco-friendly strategies have been followed, including the use of selected bacterial strains as growth enhancers [13].
In fact, the plant-associated microbiota functionally adapts in response to both biotic and abiotic stresses, thus mitigating their effect on the plant [14]. Plant-associated microbes can express several functional traits able to benefit their host, such as protection from pests and pathogens, increased nutrient acquisition, stimulation of growth, and an influence on plant metabolism to adapt to abiotic stresses [15,16]. Furthermore, plant microbiota also influences fruit quality and aroma [17,18,19]. Altogether, these abilities might be exploited to face the agricultural challenges posed by climate change, providing a sustainable alternative to the use of pesticides, chemical fertilizers, and bioregulators [20].
Among the mechanisms that allow microbes to interact with plant metabolism, the increased availability of nutrients, the production of functional volatile organic compounds (VOCs), and the interference with plant hormonal balance have been described. The VOCs acetoin (3-hydroxy-2-butanone) and its related compound 2,3-butanediol are produced by several bacteria, and they are well known for promoting plant growth and induced systemic resistance (ISR) against pathogens [21]. Recent works suggest that acetoin may also mitigate salt and drought stresses in crop plants by modulating ABA production and, consequently, stomata opening [22,23,24]. Interestingly, in Bacillus subtilis, one of the most studied acetoin-producing bacteria, acetoin production is stimulated by increasing salt concentrations (up to 5%), suggesting that the adaptation of this bacterium to salinity may also mediate the plant tolerance to high salt concentration [25].
Several bacteria produce indole-3-acetic acid (IAA), a metabolically active auxin with broad physiological effects. Bacterial auxins can have a direct influence on plant growth and phenotype inducing both root growth and branching [26,27]. Moreover, they can also increase nitrogen [28] and phosphorus acquisition [29] and enhance salinity tolerance [30].
1-Aminopropane-1-carboxylic acid (ACC) is the precursor of ethylene biosynthesis in plants, and bacteria expressing ACC deaminase reduce ethylene production by converting ACC to ammonia and α-ketobutyrate as sources of carbon and nitrogen. Therefore, ACC-deaminase-producing bacteria can mitigate stress symptoms and prevent plant growth inhibition by reducing the levels of ethylene, including in the case of salinity stress [31].
Although, over at least three decades, the scientific community has been working on the development of efficient microorganism-based inoculants, these generally lack consistency once applied in the field [16]. One of the main reasons is the inability of the introduced microbes to efficiently colonize the plant organs and to collaborate with the natural microbiota [32]. In fact, the native microbiota originates from a niche selection process involving plant-derived nutrients, as well as microbial cross-feeding or competition, resulting in the mutual influence among host plant and symbiotic microbes [33], and ultimately determining plant phenotype and resistance. Notably, the composition of the plant native microbiota is relatively stable and scarcely influenced by environmental factors [34]. Thus, to overcome their unreliability and enhance plant colonization and persistence, growth-promoting microorganisms could be selected from the native microbiota of the host plant to be used in single or in mixed inoculation [35,36,37].
The present study aimed to functionally characterize the culturable bacteriota of strawberry plants and to explore the growth-promoting effect of the isolated bacteria in vivo. Three different strawberry cultivars were used, and the culturable bacteriota was studied for all plant organs (leaves, fruit, roots) and compartments (rhizosphere and soil) to identify (I) potential plant-growth-promoting bacteria (PGPBs) able to increase plant productivity and mitigate salinity stress, and (II) biological control agents (BCAs) against X. fragariae.
Bacteria were screened, in vitro, for the production of acetoin, IAA, siderophores, and ammonia. Furthermore, ACC deaminase activity was also tested.
Successively, selected bacteria showing growth-promoting and/or biological control activity in vitro were applied individually on strawberry plants in unstressed conditions and under biotic (X. fragariae inoculation) or abiotic (high salinity) stresses. Finally, the most effective strains were tested in coordinated bioinoculation, by simultaneous application of three selected strains to different target organs of the host plant.
2. Materials and Methods
2.1. Isolation, Characterization, and Species Identification of Potential Growth-Promoting Bacteria
To dissect the culturable bacteriota of strawberries, three strawberry cultivars (‘Monterey’, ‘Darselect’, and ‘Elsanta’) were selected. These cultivars were chosen as their complete microbiome has been previously described by next-generation sequencing [38]. Plants were grown in 12 L plastic pots, filled with a commercial blond sphagnum peat moss soil (pH 5.2–5.8) (Vigorplant s.r.l, Lodi, Italy). Each pot contained 6 plants, approx. 16 cm apart from each other. These pots were maintained at 1.2 m above ground under a rainproof tunnel (located in-field at the experimental station of Pergine Valsugana, Trento, Italy; 46°07′ N, 11°22′ E, 450 a.s.l.). Plants were fertigated using a drip system that delivered: NO3 11 mmol, NH4 0.5 mmol, H2PO4 1 mmol, K 6.5 mmol, Ca 4 mmol, Mg 1.5 mmol, SO4 1.5 mmol, Fe 20 μmol, MnSO4 15 μmol, ZnSO4 5 μmol, Na2B4O7 4 μmol, CuSO4 0.75 μmol, Na2MnO4 0.5 μmol.
Fruit, leaves, stems, roots, rhizospheric soil, and bulk soil were sampled at the end of the production cycle for the isolation of culturable bacteria. Plant and soil compartments were defined as follows: ‘bulk soil’ is the soil domain explored by the roots, but not attached to them (i.e., approx. 1 cm radius from a feeder root), and this was collected at 5 cm depth and 10 cm from the crown (about 1 g of soil was used for washings); ‘rhizospheric soil’ includes only soil particles firmly adhering to the root and extracted by washing; ‘roots’ are washed roots (without visible soil particles); ‘above-ground organs of strawberry plant’ include the crown (short stem), petiole, leaves, and runners but not ‘fruits‘, which were analyzed separately. Strawberry organs were separately washed in sterile 10 mM MgSO4 solution. Washings of MgSO4 were serially diluted and plated on Luria Bertani (LB) agar medium (Sigma Aldrich) supplemented with cycloheximide (100 μg mL−1) to prevent fungal growth. Plates were incubated at 27 °C for 24 h. Colonies were phenotypically characterized, and for each phenotype in a repetition, a single colony was randomly collected from the highest dilution plates. The isolates were then stored at −80 °C in LB broth supplemented with 20% v/v glycerol. From each bacterial isolate, DNA was extracted using the GenElute Bacterial Genomic DNA kit, following the manufacturer’s instructions. For species identification, the 16S rRNA gene was amplified using Lac16Sfor (5′-AATGAGAGTTTGATCCTGGCT-3′) and Lac16Srev (5′-GAGGTGATCCAGCCGCAGGTT-3′) primers [39], and sequenced at Biofab Research Srl (Rome, Italy). The sequences obtained were checked for quality and then matched for homology with those available on BLAST suite (NCBI) at the date of January 2021 and deposited in NCBI GenBank (accession number OQ341166 to OQ341190, submission SUB12643068). The culturable bacteriota was characterized according to Sangiorgio et al., 2022 [38]. Functional characterization was performed for acetoin, IAA, ammonia and siderophores production, ACC deaminase activity [40], and inhibition of the strawberry pathogens X. fragariae [41]. In brief, acetoin production was qualitatively assayed by the Voges–Proskauer test in the presence of creatine and α-naphtol. IAA release into the bacterial supernatant was tested with the Salkowski reagent. Ammonia production was tested by the addition of Nessler reagent to bacterial cultures growing in peptone–water medium. Bacterial siderophore production was tested on Chrome azurol S agar plates. ACC deaminase activity was determined as 2-ketobutyrate hourly production, spectrophotometrically determined 540 nm after reaction with 2,4-dinitrophenylhydrazine. X. fragariae inhibition was estimated in vitro, by producing King’s B 0.7% agar plates including X. fragariae (105 CFU mL−1), overlayed with 1 mL of the same medium. The tested bacteria were inoculated on the overlay, and the formation of an inhibition halo was assessed after one day. Fifteen bacterial isolates were selected for subsequent in vivo growth-promoting activity tests on strawberry plants (Table 1).
Table 1.
List and in vitro functional characterization of bacterial strains selected for root and leaf inoculation. Qualitative assessment: +, detectable activity; ++, high activity; -, no activity. Siderophores type: C, carboxylate; H, Hydroxamate type. Organs of isolation and application: F, fruit; L, leaf; R, root; RS, rhizosphere; S, soil.
2.2. Bacterial Inoculation and Test of PGP Activity In Vivo
Bare-root strawberry ‘Monterey’ plants were planted in 9 × 9 × 13 cm black pots filled with blond sphagnum peat moss soil (pH 5.2–5.8) (Vigorplant s.r.l, Lodi). Plants were kept in controlled conditions with a 16 h (light):8 h (dark) photoperiod, 80% relative humidity, and 21 °C. Irrigation with tap water was performed every 3 days by distributing a volume of 50 mL per plant. Plants were fertigated once a week with a solution prepared as above. PGPB candidates and X. fragariae were grown overnight in LB and Wilbrink Liquid Medium [42], respectively. For each strain, LB liquid was inoculated with a single colony from 24 h growing agar plates, and shaken overnight at 27 °C, 150 RPM. Fresh LB liquid was inoculated with 1 mL of overnight suspension and let grow until reaching 108 CFU mL−1 of concentration (determined spectrophotometrically at 600 nm). Cells were then pelleted and resuspended in an equal volume of 10 mM MgSO4.
In the first experiment, in vivo plant growth promotion of the 15 bacterial candidates was tested on leaves and roots of strawberry plants, both under unstressed and stressed conditions to select the best suitable candidates for further experiments. Plant inoculation was performed in all experiments at the stage of three true leaves (approximately 1 month after transplant).
For root inoculation, strawberry plants were individually inoculated with seven selected bacterial strains showing IAA production activity (Table 1), i.e., Agrobacterium rubi m39, Pseudomonas fluorescens d17, P. jessenei e39, Pantoea agglomerans d15, P. silensis d26, P. putida d27, and P. fluorescens e12, applying 50 mL of bacterial suspension to the soil (1 cm from the crown). Five plant replicates for each strain inoculation and stress/unstressed condition were prepared, for a total of 70 plants. A high salinity condition was imposed as stress to roots by substituting regular irrigation with tap water supplemented with 35 mM NaCl.
For leaf application, nine bacterial strains were selected, i.e., Brevibacillus brevis d3, Massilia sp. e10, Agrobacterium rubi m39, Rhizobium soli m35, P. fluorescens m27, Stenotrophomonas rhizophila m23, Bacillus pumilus m2, Rhodococcus spp. m38, and Vagococcus sp. m40, showing antagonistic activity against X. fragariae. Leaves of strawberry plants were sprayed with a bacterial suspension (8.5 × 108 CFU ml−1) until run-off.
X. fragariae inoculation (biotic stress) was performed 24 h post-PGPB application by spraying the plants until run-off with a pathogen suspension at a concentration of 1.0 × 108 CFU mL−1. Plants treated with sterile MgSO4 (10 mM) or streptomycin (100 mg L−1) were included as negative and positive controls, respectively. Five replicates for each strain inoculation and stress/unstressed condition were prepared, for a total of 95 plants.
Based on the results of the first experiment, PGPB candidates showing the best performance were selected for the second experiment to compare the efficacy of individual or coordinated inoculation on unstressed strawberry plants. In particular, the strains able to improve in vivo strawberry plants productivity and growth, A. rubi m39, S. rhizophila m23, and P. fluorescens m27, were inoculated with the same concentrations and procedure as described above. The three bacterial strains were applied both individually and in a coordinated inoculum on strawberry roots, leaves, and flowers, in consideration of the organ-specific efficacy demonstrated in the first experiment. Therefore, A. rubi m39 was applied on roots, S. rhizophila m23 on leaves, and P. fluorescens m27 on flowers.
2.3. Growth Parameters, Disease Incidence, Disease Index, and Fruit Quality
The number of leaves and flowers was counted over one month at 5 (leaves only), 8, 13, 16, 19, and 27 days after inoculation (DAI) of PGPB and, for each observation day (Tx), leaves or flower growth was expressed as the number of leaves or flowers at (Tx − T0/T0) × 100, where T0 is the first observation day, i.e., the inoculation day. At the same time points, leaf chlorophyll content was also measured by a portable chlorophyll meter SPAD-502 (Konica-Minolta Corporation, Ltd., Osaka, Japan). One month after bacterial inoculation, the fresh and dry weight of leaves and roots were measured before and after drying for 3 days at 65 °C. Furthermore, root length was measured.
Plant productivity was expressed as the total sum of flowers/fruits at the end of the growing cycle. Concerning fruit quality, soluble solids content (SSC) was measured on fruit juice with a digital refractometer (Atago-PAL1, Tokyo, Japan) and expressed as °Brix. Fruits color was assessed using a CR-400 Chroma meter Colorimeter (Konica Minolta, Tokyo, Japan), whereas fruit flesh firmness was determined using a Durofel device (Setop, Cavaillon, France).
Additionally, the development of X. fragariae symptoms over one month after inoculation was monitored at 5, 8, 13, 16, 19, and 27 days after PGPB inoculation. Disease index was calculated as the symptom levels/number total plants ratio, whereas the disease incidence was the symptomatic plants/number total plants ratio. The disease symptom scale used is reported in Figure S1.
2.4. Statistical Analysis
Past software (Version 4.0) for basic statistical functions was used. To investigate whether the different bacterial treatments differ from the controls, the Student’s t-test was computed. On percentage data, Fisher’s exact test was applied. The statistically significant differences evidenced in all analysis was evidenced as p value < 0.05. R studio and the package ggplot2 were used for plot representations.
3. Results
3.1. Functional Characterization of the Culturable Bacteriota and Selection of PGPB Candidates for In Vivo Experiments
Twenty-six bacterial strains were isolated from bulk soil, rhizosphere, roots, leaves, and flowers of three strawberry cultivars (Table 1).
These strains were screened in vitro for the production of acetoin, IAA, siderophores, and ammonia, and for ACC deaminase activity. Furthermore, all strains were tested for antagonism against Botrytis cinerea and X. fragariae. Fifteen bacteria were identical to the ones isolated and characterized in a previous work on the same cultivars [38]. Pseudomonas fluorescens and Pantoea agglomerans were the only bacteria isolated from all cultivars; however, P. fluorescens was the only one present both in the phyllosphere and rhizosphere. Among all isolates, 8 strains were able to produce acetoin, with B. pumilus being the best producer. IAA was produced by 6 strains, whereas siderophore production was observed in 8 strains. Only two isolates, belonging to P. fluorescens and P. putida, were able to produce acetoin, IAA and siderophores. Concerning ACC deaminase activity, it was observed only in P. fluorescens, P. jessenei, Pa. agglomerans, and Methylobacterium sp. Contrastingly, ammonia production was widespread among the different species and it was observed in 18 isolates. Finally, 11 strains were able to inhibit X. fragaria growth in vitro.
All the 6 strains showing IAA production were selected for root inoculation of strawberry plants, due to the multiple beneficial effects related by auxin production by bacteria in the rhizosphere. For the application on leaves, the 8 strains exerting an inhibitory activity against X. fragariae were used. P. agglomerans (m8) was not included in the in vivo trials, being a potential opportunistic human pathogen [43]. Frigoribacterium sp. was also not included, due to its scant X. fragariae inhibition activity.
3.2. Plant Growth Promotion Activity in Saline-Stressed or Unstressed Strawberry Plants
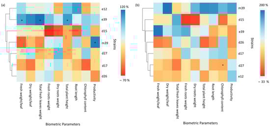
Roots of strawberry plants were singularly inoculated with seven different bacterial strains, in unstressed (Figure 1a) or saline stress (Figure 1b) conditions.
Figure 1.
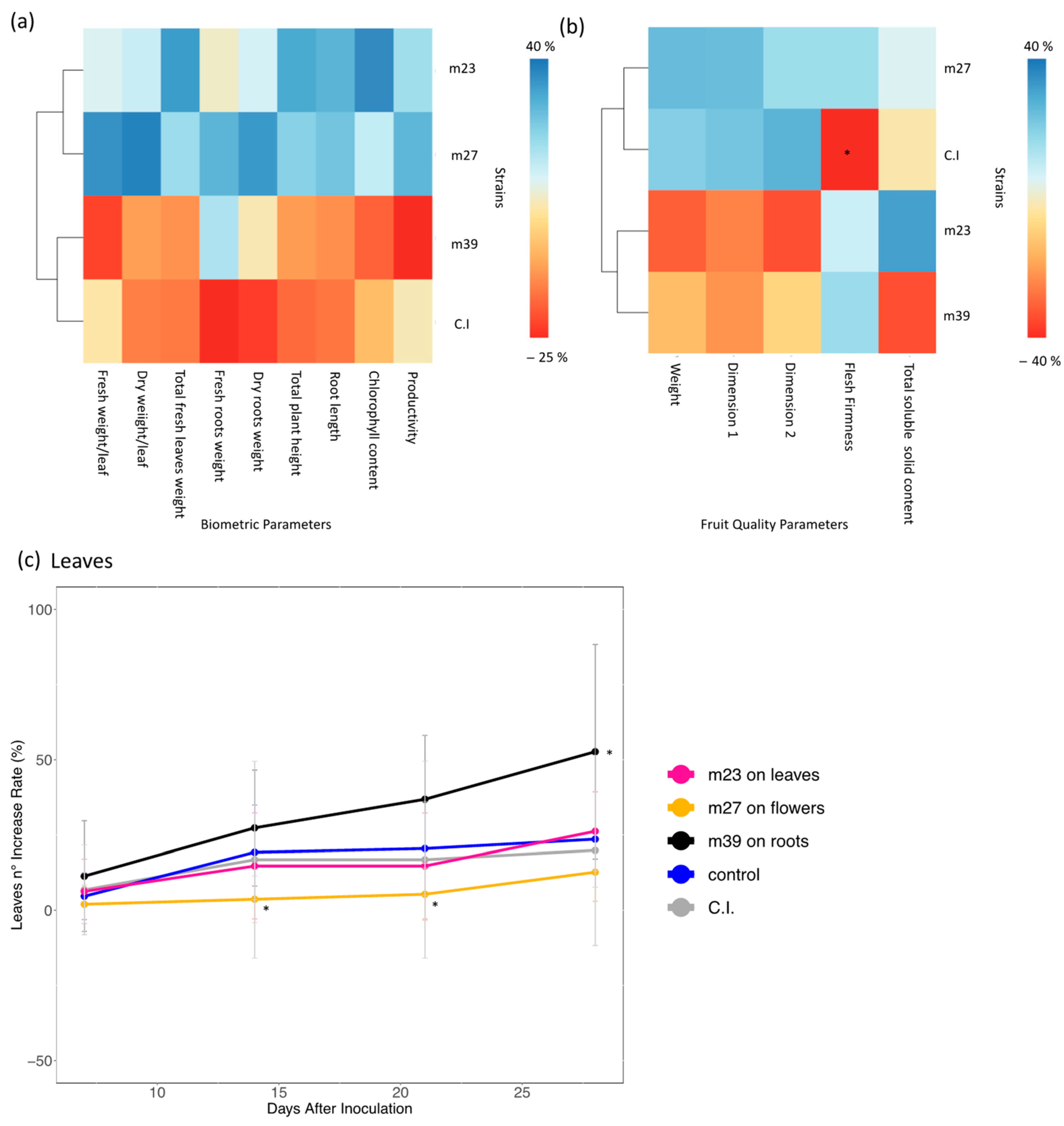
Biometric parameters of root-inoculated plants under no stress (a) or saline stress (b) conditions, expressed as percentage increase/decrease with respect to non-inoculated control. Data were collected 27 days post-bacterial inoculation. Color scale ranges from red (lower values than the control) to blue (higher values than the control). Asterisks indicate parameters significantly different from the control, according to Student’s t-test at p-value < 0.05.
The strains used for root inoculation were P. Fluorescens d17, P. jessenei e39, Pa. agglomerans d15, P. siliensis d26, P. putida d27, P. fluorescens e12, and A. rubi m39. In unstressed conditions, P. jessenei e39 was able to increase all biometric parameters up to 120% in comparison with non-inoculated plants, with the increase in leaves fresh weight and plant height being statistically significant. Only A. rubi m39 substantially increased plant productivity, expressed as the cumulative number of fruits. In saline stress conditions, A. rubi m39 was able to increase all the biometric parameters except the fresh weight of leaves and roots and, in particular, plant productivity was increased by 110% (Figure 1b). However, none of these increases were statistically significant. Plant productivity was also increased, although not significantly, by P. putida d27 and P. fluorescens e12 by 33 and 100%, respectively.
Leaf development was monitored over time (Figure 2a). Under no stress, all strains generally increased leaf growth rate at the end of the experiment; in particular, P. fluorescens d17 and e12 and P. jessenei e39 resulted in a significant increase, whereas the leaf development rate in strawberry treated with A. rubi m39, despite resulting as always higher than that of the control, was never significant.
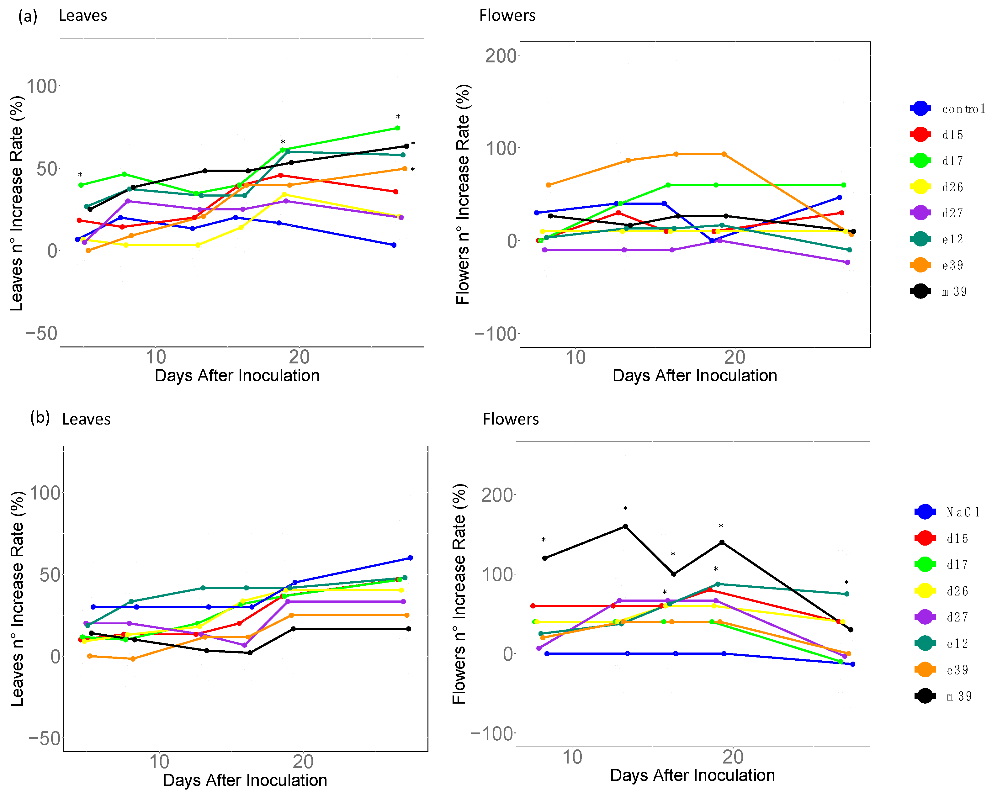
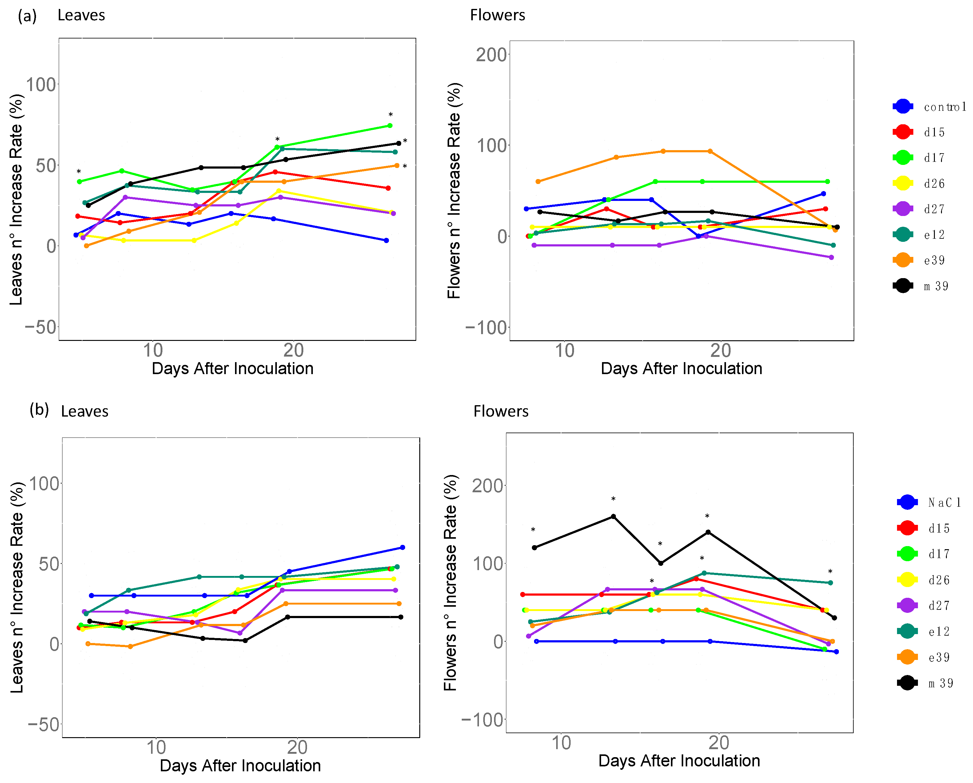
Figure 2.
Leaf and flower growth rate of inoculated plants under no stress (a) or saline stress (b) conditions. Asterisks indicate parameters significantly different from the control, according to Student’s t-test at p-value < 0.05 (n = 5).
Under saline conditions, none of the strains resulted in a significant difference in comparison to the non-inoculated control and, in several cases, treated plants showed a lower growth rate than the control did (Figure 2b). Concerning flowers/fruit production, in unstressed conditions, plants inoculated with P. fluorescens d17 and P. jessenei e39, similarly to what was observed on leaves, showed a higher development rate in comparison to the control, but the effect was not significant (Figure 2a). However, under saline stress, the application of A. rubi m39 and P. fluorescens e12 strains led to a significantly higher flower growth over several observation days (Figure 2b).
3.3. Plant Growth Promotion Activity in X. fragariae-Inoculated or healthy Strawberry Plants
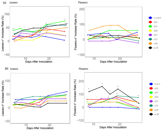
To test the growth promoting and protection effect on strawberry plants subjected to X. fragariae inoculation, leaves were inoculated with a single PGPB/BCA candidate. The strains used for leaves application were Brevibacillus brevis d3, Massilia sp. e10, Agrobacterium rubi m39, Rhizobium soli m35, Pseudomonas fluorescens m27, Stenotrophomonas rhizophila m23, Bacillus pumilus m2, Rhodococcus sp. m38, and Vagococcus sp. m40. In unstressed plants, Rhodococcus sp. m38 had the strongest positive effect, significantly increasing leaf and whole plant fresh weight and plant height; however, the promotion of vegetative growth slightly reduced flower/fruit production (Figure 3a).
Figure 3.
Biometric parameters of leaves of inoculated plants under no stress (a) or after X. fragariae inoculation (b), expressed as percentage increase/decrease with respect to unstressed or X. fragariae + water-inoculated plants. Color scale ranges from red (lower values than the control) to blue (higher values than the control). Asterisks indicate parameters significantly different from the control, according to Student’s t-test at p-value < 0.05 (n = 5).
B. pumilus m2 and Br. brevis d3 significantly increased root length, and the latter also had a positive effect on leaf fresh weight. S. rhizophila m23 and Massilia spp. e10 were the only two strains able to significantly increase plant productivity; however, this result was achieved at the cost of vegetative growth reduction, which was significant in the case of leaf dry weight in S. rhizophila m23-treated plants (Figure 3a). Under X. fragariae inoculation, S. rhizophila m23 was able to increase plant fresh weight and height, but slightly reduced plant productivity, whereas P. fluorescens m27 had similar effects, but also resulted in a substantial increase in flower/fruit production, although not statistically significant (Figure 3b). All the other bacteria significantly decreased plant fresh weight, with the exception of A. rubi m39. Interestingly, streptomycin also exerted a growth inhibitory effect, depressing plant fresh weight and, to some extent, flower/fruit production (Figure 3b).
The progression of disease symptoms over time was also monitored (Figure 4). R. soli m35 and P. fluorescens m27 reduced both symptoms development (Figure 4a) and disease incidence at the end of the experiment to a greater extent than streptomycin (Figure 4b).
Figure 4.
Effect of bacterial inoculation on X. fragariae-infected strawberry leaves, expressed as (a) disease index over time or (b) incidence (analyzed at 27 DAI). Asterisk indicates a significant difference (p < 0.05; n = 5) from the control according to Tukey’s pairwise test (panel a) or Fisher’s exact test (panel b).
P. fluorescens m27 application reduced the disease incidence to 20% (Figure 4b), but at the same time, it increased plant productivity (+700%) and height (+21%) (Figure 3b). B. pumilus m2, S. rhizophila m23, and Rhodococcus sp. m38 showed a disease incidence equal to that of the commercial antibiotic streptomycin, whereas A. rubi m39 and Massilia spp. e10 did not protect strawberries from infection, showing an even faster symptoms development over time and higher incidence in respect of the untreated plants.
Finally, leaf and flower development rates were monitored over time both in healthy and X. fragariae-inoculated plants (Figure 5). In healthy plants, by the end of the experiment, all bacterial strains increased leaf development rate, with the effect of B. pumilus m2, S. rhizophila m23, P. fluorescens m27, and Rhodococcus sp. m38 being significantly higher than that of the control (Figure 5a). In plants subjected to X. fragariae inoculation, all strains increased leaf development rate starting from 19 DAI (Figure 5b). Concerning flower growth rate, in healthy plants, the foliar application of S. rhizophila m23 always resulted in the highest rate with a peak at 19 DAI. P. fluorescens m27 also significantly increased flower development rate at all time points (Figure 5a). In plants inoculated with X. fragariae, at the end of the experiment (27 DAI), B. pumilus m2, P. fluorescens m27, Massilia sp. e10, and Rhodococcus sp. m38 led to a significantly higher flower development rate, whereas A. rubi m39 showed a reduction in flower development stronger that those of control plants (Figure 5b).
Figure 5.
Leaf and flower growth over time in inoculated plants under no stress (a) or X. fragariae stress (b) conditions. Asterisks indicate parameters significantly different from the control, according to Student’s t-test at p-value < 0.05 (n = 5).
3.4. Plant Growth Promotion Effect of Individually and Mixed-Inoculated Bacteria
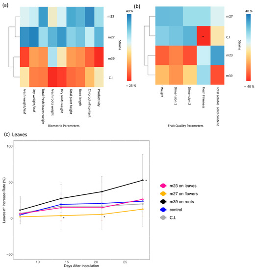
Based on the previous experiments, S. rhizophila m23 and P. fluorescens m27 were selected for application to aboveground organs, while A. rubi m39 was chosen for root inoculation. These strains were used either individually or in coordinated inoculation (CI) consisting in the simultaneous application of A. rubi m39 to roots, S. rhizophila m23 to leaves, and P. fluorescens m27 to flowers.
When applied individually, both S. rhizophila m23 and P. fluorescens m27 promoted all biometric parameters, including flower/fruit productivity (Figure 6a). Root application of A. rubi m39, instead, reduced the biometric parameters and particularly flower/fruit production. The negative effects of A. rubi m39 probably contributed to a general decrease in plant growth parameters observed in CI. In plants subjected to CI, only flower/fruit productivity and leaf fresh weight were not negatively influenced (Figure 6a). Concerning fruit quality parameters, P. fluorescens m27 increased weight, size, flesh firmness, and sugar content. The application of S. rhizophila m23 resulted in the highest sugar content of berries (+400%), and also in an increase of flesh firmness. However, it reduced weight and size, whereas A. rubi decreased all parameters except flesh firmness (+30%). CI increased fruit weight and size and did not influence fruit sugar content. However, it strongly reduced flesh firmness (−40%) (Figure 6b). Finally, concerning leaf development rate, A. rubi m39 showed the highest values in comparison to the control in all time points that became significant at 27 DAI. The application of P. fluorescens m27 to flowers significantly decreased leaf development rate at 14 and 19 DAI (Figure 6c). S. rhizophila m23 and CI did not influence leaf development rate.
Figure 6.
Plant growth biometric parameters (a) and fruit quality parameters (b) heatmaps of individually and coordinated inoculated plants, expressed as percentage increase/decrease with respect to the control plants. The color scale ranges from red (lower values with respect to the control) to blue (higher values with respect to the control). Leaf growth over time (c) after individual or coordinated inoculation. Asterisks indicate parameters significantly different from the control, according to Student’s t-test at p-value < 0.05.
4. Discussion
4.1. PGP Functions of Bacterial Isolates under Saline Stress
This work presents an in vivo system to screen the best candidate PGPBs within the culturable bacteriota from three strawberry cultivars, to enhance plant growth, fruit production, and tolerance to stresses. Furthermore, based on the results obtained in the first experiment, the best-performing strains were mixed in a coordinated bioinoculation.
As expected, the application to roots of PGPBs producing IAA led to a general increase in plant growth and productivity, showing a more noticeable positive effect under saline stress conditions. P. jessenii e39, which produces a high amount of IAA and presents ACC deaminase activity, induced a significant increase in plant height and fresh leaves weight. Remarkably, leaf mass was even further enhanced under saline stress than in unstressed conditions (+200% and +120% in comparison to non-inoculated control, respectively).
P. jessenii e39 and P. fluorescens d17 also induced a higher flower and leaf development rate, although the effect was more pronounced in unstressed conditions. These effects may be due to the reduction in ethylene levels by ACC-deaminase activity [43]. A similar induction of flower development and productivity was also found in plants treated with P. fluorescens e12 and P. putida d27 in saline-stressed plants. These strains lack ACC-deaminase activity but produce acetoin. Interestingly, in Arabidopsis plants treated with the acetoin/2,3-butanediol-producing strain Bacillus subitlis GB03, a similar effect was observed, suggesting the role of bacterial acetoin in flower induction and development [44].
In the first experiment, A. rubi m39 increased strawberry productivity in unstressed conditions (+120%) and plant growth, flower development, and productivity in saline-stressed plants (+180%) (Figure 1). A. rubi has been previously used as a PGPB in several fruit crops [45,46,47], including strawberry [48,49]. Contrasting with the hypothesized niche specialization, A. rubi m39, although originally isolated from leaves, only produced positive effects when applied to roots. It may be suggested that IAA produced by A. rubi in the rhizosphere promoted plant growth by enhancing the root system development, whereas its effect on aerial organs may be negligible due to the determined growth of strawberry [50] and to complex hormonal interaction with endogenous cytokinins level [51]. In addition, the A. rubi m39 PGP effect was not confirmed in CI experiments (Figure 6). A. rubi is a potentially pathogenic species [52], and it may act as an opportunistic pathogen under host-stressing conditions and/or with a specific composition of the microbial biocoenosis in the rhizosphere [53].
4.2. Plant Growth Promotion and Biological Control of X. fragariae
Bacterial strains selected for application on leaves and flowers were chosen based on their ability to inhibit X. fragariae growth in vitro. Although this pathogen affects primarily leaves, it may reduce fruit production up to 80% both directly, by causing water-soaked and necrotic lesions on calyces and pedicels, and indirectly by reducing the plant primary production [54]. P. fluorescens m27 and R. soli m35 were the most effective BCAs reducing infection by 80% in comparison to the control. Br. brevis d3 and Vagococcus sp. m40 were also effective, resulting in a higher disease control efficiency than streptomycin. Several P. fluorescens strains, including non-native ones, have been proven to promote plant growth, flower emission, and fruit yield and nutritional properties [19,55], whereas no strain has yet been proven for its biological control activity against X. fragariae.
Plant growth promotion and disease control traits of the tested bacteria acted mostly independently. Additionally, pathogen infection may interfere with PGP effects. For instance, Massilia sp. e10 and Rhodococcus sp. m38 significantly increased productivity and leaf development in the absence of X. fragariae (Figure 3), but had lower or even negative effects and provided little or no disease protection after pathogen inoculation (Figure 4).
In unstressed plants, leaf inoculation with S. rhizophila m23 led to a substantial increase in flower/fruit productivity at the expense of vegetative growth, resulting in the highest rate and anticipation of flower development. When strawberry plants were challenged by X. fragariae inoculation, S. rhizophila m23 not only provided a disease control efficacy comparable to streptomycin, but it also stimulated vegetative and root growth. S. rhizophila has often been isolated in the rhizosphere and endosphere of several plants where it exerts beneficial functions, such as growth promotion and saline and drought tolerance [56]. The mechanisms underlying growth and stress tolerance promotion by S. rhizophila include the production of plant-protective compounds such as spermidine, glucosylglycerol, and trehalose [57,58].
P. fluorescens m27 application on leaves or flowers resulted in the promotion of plant growth and productivity both in healthy and X. fragariae-inoculated plants. P. fluorescens m27 produces, in vitro, acetoin, ammonia, and siderophores, which may be responsible for the observed effect of promotion of plant growth. Acetoin may increase endogenous levels of auxin as demonstrated for B. methylotrophicus M4-96 in A. thaliana [59].
4.3. Design of Coordinated Inoculation Strategy
Cooperation between the plant and microbes depends on a plethora of factors. In particular, genotype compatibility among the partners should receive prime consideration during the bacteria selection process, considering that host genotype has a significant effect on the composition of the associated bacterial community [60,61].
Therefore, selecting PGP microbes within the plant microbiota native to the plant might enhance their efficiency, as these microbes have already undergone selection by adaptation to their host [62,63,64]. Accordingly, the first experiment highlights a better performance of strains originally isolated from cv. Monterey (i.e., S. rhizophila m23, P. fluorescens m27, R. soli m35, A. rubi m39, Vagococcus sp m40), the cultivar used in this work for in vivo inoculation, confirming the highest efficiency demonstrated by native bacteria. However, the efficacy of the bacterial inoculations has not been tested on different strawberry cultivars. Therefore, further experiments are required to confirm this hypothesis.
The combination of different beneficial microbes characterized by different PGP or BCA abilities has been widely studied. Despite several works reporting synergistic effects of the combinations [65], in many cases, antagonistic interactions may also emerge. For example, in case of mixed BCAs application, only in 2% of the total 465 published treatments were synergistic effects recorded, whereas, in most cases, the overall efficacy was similar to that of the best performing of the inoculated BCAs [66].
To minimize competition among inoculated strains, a coordinated inoculation strategy, where the best-performing PGPBs/BCAs isolated from the native strawberry microbiota are applied to different organs (namely, A. rubi m39 to the root, S. rhizophila m23 to the leaves, and P. fluorescens m27 to the flowers), was tested in this work. Nevertheless, CI led to a decrease in strawberry biometric parameters with respect to those observed for individual inoculation of S. rhizophila m23 or P. fluorescens m27. However, A. rubi m39’s detrimental effects, observed when inoculated alone, were partially mitigated by its inclusion in a CI. Moreover, the CI has a positive effect on fruit, which resulted as larger than in the control. Also in this case, however, no synergistic effect of the combination was observed, with the effects being comparable to the ones obtained with the sole P. fluorescens m27 inoculation.
Reasons for the observed lack of synergy could be determined by a change in plant hormonal balance [67,68], leading to organ competition within the plant. For this reason, further investigation is required to characterize compatible PGPB modes of action and their effect on plant metabolism and hormonal homeostasis. In addition, although the inoculated strains are part of the native plant microbiota, their biological functions may be affected by the alteration of the overall bacterial community composition following CI [69,70,71].
5. Conclusions
This research provides useful information for the development of new PGPB biostimulant products.
The strain P. fluorescens m27 is a promising candidate for commercial development, as it results in multiple beneficial effects, including biological control of X. fragariae and the increase in plant productivity. The main advantage of a product with both PGP and BCA activity relies on the fact that, even when applied on an orchard with an uneven disease distribution or when disease risk is low, it can still provide beneficial functions to healthy plants. Furthermore, this work paves the way for new research on coordinated bioinoculation of organ- and species-native bacteria that may represent a new strategy to overcome the limits of both single and mixed PGPB inoculation.
Supplementary Materials
The following supporting information can be downloaded at: https://www.mdpi.com/article/10.3390/agronomy13020529/s1, Figure S1: Visual Xanthomonas fragariae symptoms scale. Stage 0 = no symptoms, Stage 5 = severe symptoms. Stage defines the degree of severity and progression of the disease.
Author Contributions
Conceptualization A.C., I.D. and F.S.; methodology, A.C., I.D. and F.S.; statistical analysis, D.S. and A.C.; investigation, D.S. and A.C.; writing—review and editing, F.S., D.S., I.D. and A.C.; visualization, D.S.; supervision, F.S. and I.D.; funding acquisition, F.S. All authors have read and agreed to the published version of the manuscript.
Funding
This research was funded by the Italian PNRR AGRITECH project, Spoke 2, Task 2.2.2 (ID code: CN00000022).
Data Availability Statement
The data presented in this study are available on request from the corresponding author.
Acknowledgments
We are grateful to Alice Checcucci for the technical support provided during the experiments and for preliminary revision of the first draft of the manuscript.
Conflicts of Interest
The authors declare no conflict of interest.
References
- FAOSTAT. Available online: www.fao.org/faostat/en (accessed on 17 January 2023).
- IndexBox EU-Strawberries-Market Analysis, Forecast, Size, Trends and Insights. Available online: www.indexbox.io/store/eu-strawberries-market-analysis-forecast-size-trends-and-insights (accessed on 22 June 2022).
- van der Wolf, J.M.; Evenhuis, A.; Kastelein, P.; Krijger, M.C.; Funke, V.Z.; van den Berg, W.; Moene, A.F. Risks for infection of strawberry plants with an aerosolized inoculum of Xanthomonas fragariae. Eur. J. Plant Pathol. 2018, 152, 711–722. [Google Scholar] [CrossRef] [PubMed]
- Nguyen, T.T.; Rosello, C.; Bélanger, R.; Ratti, C. Fate of residual pesticides in fruit and vegetable waste (FVW) processing. Foods 2020, 9, 1468. [Google Scholar] [CrossRef] [PubMed]
- Warner, R.; Wu, B.S.; MacPherson, S.; Lefsrud, M. A review of strawberry photobiology and fruit flavonoids in controlled environments. Front. Plant Sci. 2021, 12, 611893. [Google Scholar] [CrossRef] [PubMed]
- Hassani, A.; Azapagic, A.; Shokri, N. Global predictions of primary soil salinization under changing climate in the 21st century. Nat. Commun. 2021, 12, 6663. [Google Scholar] [CrossRef] [PubMed]
- Shrivastava, P.; Kumar, R. Soil salinity: A serious environmental issue and plant growth promoting bacteria as one of the tools for its alleviation. Saudi. J. Biol. Sci. 2015, 22, 123–131. [Google Scholar] [CrossRef]
- Ferreira, J.F.S.; Liu, X.; Suarez, D.L. Fruit yield and survival of five commercial strawberry cultivars under field cultivation and salinity stress. Sci. Hort. 2019, 243, 401–410. [Google Scholar] [CrossRef]
- Sun, Y.; Niu, G.; Wallace, R.; Masabni, J.; Gu, M. Relative Salt Tolerance of Seven Strawberry Cultivars. Horticulturae 2015, 1, 27–43. [Google Scholar] [CrossRef]
- Attia, H.; Al-Yasi, H.; Alamer, K.; Ali, E.; Hassan, F.; Elshazly, S.; Hessini, K. Induced anti-oxidation efficiency and others by salt stress in Rosa damascena Miller. Sci. Hort. 2020, 274, 109681. [Google Scholar] [CrossRef]
- Yasir, T.A.; Khan, A.; Skalicky, M.; Wasaya, A.; Rehmani, M.I.A.; Sarwar, N.; Murbeen, K.; Aziz, M.; Hassan, M.M.; Hassan, F.A.S.; et al. Exogenous sodium nitroprusside mitigates salt stress in lentil (Lens culinaris medik.) by affecting the growth, yield, and biochemical properties. Molecules 2021, 26, 2576. [Google Scholar] [CrossRef]
- Saboor, A.; Ali, M.A.; Ahmed, N.; Skalicky, M.; Danish, S.; Fahad, S.; Hassan, F.; Hassan, M.M.; Brestic, M.; Sabagh, A.; et al. Biofertilizer-Based Zinc Application Enhances Maize Growth, Gas Exchange Attributes, and Yield in Zinc-Deficient Soil. Agriculture 2021, 11, 310. [Google Scholar] [CrossRef]
- Kahil, A.A.; Hassan, F.A.S.; Ali, E.F. Influence of bio-fertilizers on growth, yield and anthocyanin content of Hibiscus sabdariffa L. plant under Taif region conditions. Annu. Res. Rev. Biol. 2017, 17, 1–15. [Google Scholar] [CrossRef]
- Trivedi, P.; Batista, B.D.; Bazany, K.E.; Singh, B.K. Plant–microbiome interactions under a changing world: Responses, consequences and perspectives. New Phytol. 2022, 234, 1951–1959. [Google Scholar] [CrossRef]
- Bulgarelli, D.; Schlaeppi, K.; Spaepen, S.; Van Themaat, E.V.L.; Schulze-Lefert, P. Structure and functions of the bacterial microbiota of plants. Annu. Rev. Plant Biol. 2013, 64, 807–838. [Google Scholar] [CrossRef]
- Sangiorgio, D.; Cellini, A.; Donati, I.; Pastore, C.; Onofrietti, C.; Spinelli, F. Facing climate change: Application of microbial biostimulants to mitigate stress in horticultural crops. Agronomy 2020, 10, 794. [Google Scholar] [CrossRef]
- Sangiorgio, D.; Cellini, A.; Spinelli, F.; Farneti, B.; Khomenko, I.; Muzzi, E.; Savioli, S.; Pastore, C.; Rodriguez-Estrada, M.T.; Donati, I. Does Organic Farming Increase Raspberry Quality, Aroma and Beneficial Bacterial Biodiversity? Microorganisms 2021, 9, 1617. [Google Scholar] [CrossRef]
- Sangiorgio, D.; Cellini, A.; Spinelli, F.; Pastore, C.; Farneti, B.; Savioli, S.; Rodriguez-Estrada, M.T.; Donati, I. Contribution of fruit microbiome to raspberry volatile organic compounds emission. Postharvest Biol. Technol. 2022, 183, 111742. [Google Scholar] [CrossRef]
- Todeschini, V.; AitLahmidi, N.; Mazzucco, E.; Marsano, F.; Gosetti, F.; Robotti, E.; Bona, E.; Massa, N.; Bonneau, L.; Marenga, E.; et al. Impact of beneficial microorganisms on strawberry growth, fruit production, nutritional quality, and volatilome. Front. Plant Sci. 2018, 9, 1611. [Google Scholar] [CrossRef]
- Sessitsch, A.; Pfaffenbichler, N.; Mitter, B. Microbiome applications from lab to field: Facing complexity. Trends Plant Sci. 2019, 24, 194–198. [Google Scholar] [CrossRef]
- Ryu, C.M.; Farag, M.A.; Hu, C.H.; Reddy, M.S.; Wei, H.X.; Paré, P.W.; Kloepper, J.W. Bacterial volatiles promote growth in Arabidopsis. Proc. Natl. Acad. Sci. USA 2003, 100, 4927–4932. [Google Scholar] [CrossRef]
- Cappellari, L.D.R.; Banchio, E. Microbial Volatile Organic compounds produced by Bacillus amyloliquefaciens GB03 ameliorate the effects of salt stress in Mentha piperita principally through acetoin emission. J. Plant Growth Regul. 2020, 39, 764–775. [Google Scholar] [CrossRef]
- Cho, S.M.; Kang, B.R.; Han, S.H.; Anderson, A.J.; Park, J.Y.; Lee, Y.H.; Cho, B.H.; Yang, K.Y.; Ryu, C.M.; Kim, Y.C. 2R,3R-butanediol, a bacterial volatile produced by Pseudomonas chlororaphis O6, is involved in induction of systemic tolerance to drought in Arabidopsis thaliana. Mol. Plant Microbe Interact. 2008, 21, 1067–1075. [Google Scholar] [CrossRef] [PubMed]
- Kim, Y.C.; Leveau, J.; McSpadden Gardener, B.B.; Pierson, E.A.; Pierson, L.S., 3rd; Ryu, C.M. The multifactorial basis for plant health promotion by plant-associated bacteria. Appl. Environ. Microbiol. 2011, 77, 1548–1555. [Google Scholar] [CrossRef] [PubMed]
- Qiao, M.F.; Wu, H.C.; Liu, Y.; Deng, J. Effect of Salt Stress on Acetoin Metabolism of an Aroma-producing Strain Bacillus subtilis. Appl. Biochem. Microbiol. 2019, 55, 506–513. [Google Scholar] [CrossRef]
- de Andrade, F.M.; de Assis Pereira, T.; Souza, T.P.; Guimarães, P.H.S.; Martins, A.D.; Schwan, R.F.; Pasqual, M.; Dória, J. Beneficial effects of inoculation of growth-promoting bacteria in strawberry. Microbiol. Res. 2019, 223–225, 120–128. [Google Scholar] [CrossRef]
- Gilbert, S.; Poulev, A.; Chrisler, W.; Acosta, K.; Orr, G.; Lebeis, S.; Lam, E. Auxin-producing bacteria from duckweeds have different colonization patterns and effects on plant morphology. Plants 2022, 11, 721. [Google Scholar] [CrossRef]
- Defez, R.; Andreozzi, A.; Bianco, C. The Overproduction of Indole-3-Acetic Acid (IAA) in endophytes upregulates nitrogen fixation in both bacterial cultures and inoculated rice plants. Microb. Ecol. 2017, 74, 441–452. [Google Scholar] [CrossRef]
- Bianco, C.; Defez, R. Improvement of phosphate solubilization and Medicago plant yield by an indole-3-acetic acid-overproducing strain of Sinorhizobium meliloti. Appl. Environ. Microbiol. 2010, 76, 4626–4632. [Google Scholar] [CrossRef]
- Bianco, C.; Defez, R. Medicago truncatula improves salt tolerance when nodulated by an indole-3-acetic acid-overproducing Sinorhizobium meliloti strain. J. Exp. Bot. 2009, 60, 3097–3107. [Google Scholar] [CrossRef]
- Ayuso-Calles, M.; Flores-Félix, J.D.; Rivas, R. Overview of the Role of Rhizobacteria in Plant Salt Stress Tolerance. Agronomy 2021, 11, 1759. [Google Scholar] [CrossRef]
- Compant, S.; Samad, A.; Faist, H.; Sessitsch, A. A review on the plant microbiome: Ecology, functions, and emerging trends in microbial application. J. Adv. Res. 2019, 19, 29–37. [Google Scholar] [CrossRef]
- Vishwakarma, K.; Kumar, N.; Shandilya, C.; Mohapatra, S.; Bhayana, S.; Varma, A. Revisiting Plant–Microbe Interactions and Microbial Consortia Application for Enhancing Sustainable Agriculture: A Review. Front. Microbiol. 2020, 11, 560406. [Google Scholar] [CrossRef]
- Berg, G.; Rybakova, D.; Fischer, D.; Cernava, T.; Vergès, M.C.C.; Charles, T.; Chen, X.; Cocolin, L.; Eversole, K.; Corral, G.H.; et al. Microbiome definition re-visited: Old concepts and new challenges. Microbiome 2020, 8, 103. [Google Scholar] [CrossRef]
- Santiago, C.D.; Yagi, S.; Ijima, M.; Nashimoto, T.; Sawada, M.; Ikeda, S.; Asano, K.; Orisaka, Y.; Ohwada, T. Bacterial compatibility in combined inoculations enhances the growth of potato seedlings. Microbes Environ. 2017, 32, 14–23. [Google Scholar] [CrossRef]
- Banerjee, A.; Donald, A.B.; Joshi, S.R. Native microorganisms as potent bioinoculants for plant growth promotion in shifting agriculture (Jhum) systems. J. Soil Sci. Plant Nutr. 2017, 17, 127–140. [Google Scholar] [CrossRef]
- May, A.; Coelho, L.F.; Pedrinho, A.; Batista, B.D.; Mendes, L.W.; Mendes, R.; Morandi, M.A.; Barth, G.; Viana, R.S.; Vilela, E.S.D. The use of indigenous bacterial community as inoculant for plant growth promotion in soybean cultivation. Arch. Agron. Soil Sci. 2021, 69, 135–150. [Google Scholar] [CrossRef]
- Sangiorgio, D.; Cellini, A.; Donati, I.; Ferrari, E.; Tanunchai, B.; Wahdan, S.F.M.; Sadubsarn, D.; Farneti, B.; Checcucci, A.; Buscot, F.; et al. Taxonomical and functional composition of strawberry microbiome is genotype-dependent. J. Adv. Res. 2022, 42, 189–204. [Google Scholar] [CrossRef]
- Bringel, F.; Castioni, A.; Olukoya, D.K.; Felis, G.E.; Torriani, S.; Dellaglio, F. Lactobacillus plantarum subsp. argentoratensis subsp. nov., isolated from vegetable matrices. Int. J. Syst. Evol. Microbiol. 2005, 55, 1629–1634. [Google Scholar] [CrossRef]
- Perpetuini, G.; Donati, I.; Cellini, A.; Orrú, L.; Giongo, L.; Farneti, B.; Spinelli, F. Genetic and functional characterization of the bacterial community on fruit of three raspberry (Rubus idaeus) cultivars. J. Berry Res. 2019, 9, 227–247. [Google Scholar] [CrossRef]
- Daranas, N.; Roselló, G.; Cabrefiga, J.; Donati, I.; Francés, J.; Badosa, E.; Spinelli, F.; Montesinos, E.; Bonaterra, A. Biological control of bacterial plant diseases with Lactobacillus plantarum strains selected for their broad-spectrum activity. Ann. Appl. Biol. 2019, 174, 92–105. [Google Scholar] [CrossRef]
- Xanthomonas fragariae; OEPP/EPPO Bulletin, PM 7/65; John Wiley & Sons, Ltd.: Hoboken, NJ, USA, 2006; Volume 36, pp. 135–144. Available online: https://onlinelibrary.wiley.com/doi/epdf/10.1111/j.1365-2338.2006.00926.x (accessed on 17 January 2023).
- Glick, B.R. Bacteria with ACC deaminase can promote plant growth and help to feed the world. Microbiol. Res. 2014, 169, 30–39. [Google Scholar] [CrossRef]
- Xie, X.; Zhang, H.; Pare, P.W. Sustained growth promotion in Arabidopsis with long-term exposure to the beneficial soil bacterium Bacillus subtilis (GB03). Plant Signal. Behav. 2009, 4, 948–953. [Google Scholar] [CrossRef] [PubMed]
- Ercisli, S.; Esitken, A.; Cangi, R.; Sahin, F. Adventitious root formation of kiwifruit in relation to sampling date, IBA and Agrobacterium rubi inoculation. Plant Growth Regul. 2003, 41, 133–137. [Google Scholar] [CrossRef]
- Karaca, U.; Sabir, A. Sustainable mitigation of alkaline stress in grapevine rootstocks (Vitis spp.) by plant growth-promoting rhizobacteria. Erwerbs-Obstbau 2018, 60, 211–220. [Google Scholar] [CrossRef]
- Esitken, A. Use of plant growth promoting rhizobacteria in horticultural crops. In Bacteria in Agrobiology: Crop Ecosystems; Maheshwari, D., Ed.; Springer: Berlin/Heidelberg, Germany, 2011. [Google Scholar] [CrossRef]
- Ipek, M.; Pirlak, L.; Esitken, A.; Figen Dönmez, M.; Turan, M.; Sahin, F. Plant growth-promoting rhizobacteria (PGPR) increase yield, growth and nutrition of strawberry under high-calcareous soil conditions. J. Plant Nutr. 2014, 37, 990–1001. [Google Scholar] [CrossRef]
- Tomić, J.; Pešaković, M.; Milivojević, J.; Karaklajić-Stajić, Z. How to improve strawberry productivity, nutrients composition, and beneficial rhizosphere microflora by biofertilization and mineral fertilization? J. Plant Nutr. 2018, 41, 2009–2021. [Google Scholar] [CrossRef]
- Savini, G.; Neri, D. Strawberry architectural model. Acta Hortic. 2004, 649, 169–176. [Google Scholar] [CrossRef]
- Landi, L.; Mezzetti, B. TDZ, auxin and genotype effects on leaf organogenesis in Fragaria. Plant Cell Rep. 2006, 25, 281–288. [Google Scholar] [CrossRef]
- CABI Compendium. Rhizobium rubi (cane gall of Rubus); CABI International: Wallingford, UK, 2022. [Google Scholar] [CrossRef]
- Cellini, A.; Donati, I.; Fiorentini, L.; Vandelle, E.; Polverari, A.; Venturi, V.; Buriani, G.; Vanneste, J.L.; Spinelli, F. N-Acyl Homoserine lactones and Lux Solos regulate social behaviour and virulence of Pseudomonas syringae pv. actinidiae. Microb. Ecol. 2020, 79, 383–396. [Google Scholar] [CrossRef]
- Epstein, A.H. Angular leaf spot of strawberry. Plant Dis. Rep. 1966, 50, 167. [Google Scholar]
- Bakker, P.; Pieterse, C.M.J.; Van Loon, L.C. Induced systemic resistance by fluorescent Pseudomonas spp. Phytopathol. 2007, 97, 239–243. [Google Scholar] [CrossRef]
- Wolf, A.; Fritze, A.; Hagemann, M.; Berg, G. Stenotrophomonas rhizophila sp. nov., a novel plant-associated bacterium with antifungal properties. Int. J. Syst. Evol. Microbiol. 2002, 52, 1937–1944. [Google Scholar]
- Alavi, P.; Starcher, M.; Thallinger, G.; Zachow, C.; Müller, H.; Berg, G. Stenotrophomonas comparative genomics reveals genes and functions that differentiate beneficial and pathogenic bacteria. BMC Genom. 2014, 5, 482. [Google Scholar] [CrossRef]
- Hagemann, M.; Ribbeck-Busch, K.; Klähn, S.; Hasse, D.; Steinbruch, R.; Berg, G. The plant-associated bacterium Stenotrophomonas rhizophila expresses a new enzyme for the synthesis of the compatible solute glucosylglycerol. J. Bacteriol. 2008, 190, 5898–5906. [Google Scholar] [CrossRef]
- Pérez-Flores, P.; Valencia-Cantero, E.; Altamirano-Hernández, J.; Pelagio-Flores, R.; López-Bucio, J.; García-Juárez, P.; Macías-Rodríguez, L. Bacillus methylotrophicus M4-96 isolated from maize (Zea mays) rhizoplane increases growth and auxin content in Arabidopsis thaliana via emission of volatiles. Protoplasma 2017, 254, 2201–2213. [Google Scholar] [CrossRef]
- Bulgarelli, D.; Garrido-Oter, R.; Muench, P.C.; Weiman, A.; Droege, J.; Pan, Y.; McHardy, A.C.; Schulze-Lefert, P. Structure and function of the bacterial root microbiota in wild and domesticated barley. Cell Host Microbe 2015, 17, 392–403. [Google Scholar] [CrossRef]
- Szymańska, S.; Sikora, M.; Hrynkiewicz, K.; Tyburski, J.; Tretyn, A.; Gołębiewski, M. Choosing source of microorganisms and processing technology for next generation beet bioinoculant. Sci. Rep. 2021, 11, 2829. [Google Scholar] [CrossRef]
- Haney, C.H.; Samuel, B.S.; Bush, J.; Ausubel, F.M. Associations with rhizosphere bacteria can confer an adaptive advantage to plants. Nat. Plants 2015, 1, 15051. [Google Scholar] [CrossRef]
- Santhanam, R.; Luu, V.T.; Weinhold, A.; Goldberg, J.; Oh, Y.; Baldwin, I.T. Native root-associated bacteria rescue a plant from a sudden-wilt disease that emerged during continuous cropping. Proc. Nat. Acad. Sci. USA 2015, 112, E5013–E5020. [Google Scholar] [CrossRef]
- Mazzola, M.; Freilich, S. Prospects for biological soilborne disease control: Application of indigenous versus synthetic microbiomes. Phytopathology 2017, 107, 256–263. [Google Scholar] [CrossRef]
- Hillel, D.; Hatfield, J.L. Encyclopedia of Soils in the Environment; Elsevier: Amsterdam, The Netherlands, 2005; Volume 3. [Google Scholar]
- Xu, X.M.; Jeffries, P.; Pautasso, M.; Jeger, M.J. Combined use of biocontrol agents to manage plant diseases in theory and practice. Phytopathology 2011, 101, 1024–1031. [Google Scholar] [CrossRef]
- Kurepin, L.V.; Park, J.M.; Lazarovits, G.; Bernards, M.A. Burkholderia phytofirmans-induced shoot and root growth promotion is associated with endogenous changes in plant growth hormone levels. Plant Growth Regul. 2015, 75, 199–207. [Google Scholar] [CrossRef]
- Tsukanova, K.A.; Meyer, J.J.M.; Bibikova, T.N. Effect of plant growth-promoting Rhizobacteria on plant hormone homeostasis. S. Afr. J. Bot. 2017, 113, 91–102. [Google Scholar] [CrossRef]
- Naiman, A.D.; Latrónico, A.; de Salamone, I.E.G. Inoculation of wheat with Azospirillum brasilense and Pseudomonas fluorescens: Impact on the production and culturable rhizosphere microflora. Eur. J. Soil Biol. 2009, 45, 44–51. [Google Scholar] [CrossRef]
- Kozdrój, J.; Trevors, J.T.; Van Elsas, J.D. Influence of introduced potential biocontrol agents on maize seedling growth and bacterial community structure in the rhizosphere. Soil Biol. Biochem. 2004, 36, 1775–1784. [Google Scholar] [CrossRef]
- Zhong, Y.; Yang, Y.; Liu, P.; Xu, R.; Rensing, C.; Fu, X.; Liao, H. Genotype and rhizobium inoculation modulate the assembly of soybean rhizobacterial communities. Plant Cell Environ. 2019, 42, 2028–2044. [Google Scholar] [CrossRef]
Disclaimer/Publisher’s Note: The statements, opinions and data contained in all publications are solely those of the individual author(s) and contributor(s) and not of MDPI and/or the editor(s). MDPI and/or the editor(s) disclaim responsibility for any injury to people or property resulting from any ideas, methods, instructions or products referred to in the content. |
© 2023 by the authors. Licensee MDPI, Basel, Switzerland. This article is an open access article distributed under the terms and conditions of the Creative Commons Attribution (CC BY) license (https://creativecommons.org/licenses/by/4.0/).





