Micrometeorological Comparison of Canopy Temperature between Two Wheat Cultivars Grown under Irrigation in a Hot Environment in Sudan
Abstract
:1. Introduction
2. Materials and Methods
2.1. Field Experiments
2.2. Data Collection and Calculation
2.3. Statistical Analysis
3. Results
3.1. Crop Data
3.2. Micrometeorological Data
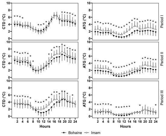
3.3. Comparison of CTD and ATG between Cultivars
3.4. Relationship between ATG and VPG
4. Discussion
5. Conclusions
Author Contributions
Funding
Data Availability Statement
Conflicts of Interest
References
- Asseng, S.; Ewert, F.; Martre, P.; Rötter, R.P.; Lobell, D.B.; Cammarano, D.; Kimball, B.A.; Ottman, M.J.; Wall, G.W.; White, J.W.; et al. Rising Temperatures Reduce Global Wheat Production. Nat. Clim. Chang. 2015, 5, 143–147. [Google Scholar] [CrossRef]
- Zhao, C.; Liu, B.; Piao, S.; Wang, X.; Lobell, D.B.; Huang, Y.; Huang, M.; Yao, Y.; Bassu, S.; Ciais, P.; et al. Temperature Increase Reduces Global Yields of Major Crops in Four Independent Estimates. Proc. Natl. Acad. Sci. USA 2017, 114, 9326–9331. [Google Scholar] [CrossRef]
- Akter, N.; Islam, M.R. Heat Stress Effects and Management in Wheat. A Review. Agron. Sustain. Dev. 2017, 37, 37. [Google Scholar] [CrossRef]
- Shpiler, L.; Blum, A. Differential Reaction of Wheat Cultivars to Hot Environments. Euphytica 1986, 35, 483–492. [Google Scholar] [CrossRef]
- Asseng, S.; Cammarano, D.; Basso, B.; Chung, U.; Alderman, P.D.; Sonder, K.; Reynolds, M.P.; Lobell, D.B. Hot Spots of Wheat Yield Decline with Rising Temperatures. Glob. Chang. Biol. 2017, 23, 2464–2472. [Google Scholar] [CrossRef]
- Zaveri, E.; Lobell, D.B. The Role of Irrigation in Changing Wheat Yields and Heat Sensitivity in India. Nat. Commun. 2019, 10, 4144. [Google Scholar] [CrossRef] [PubMed]
- Iizumi, T.; Ali-Babiker, I.-E.A.; Tsubo, M.; Tahir, I.S.A.; Kurosaki, Y.; Kim, W.; Gorafi, Y.S.A.; Idris, A.A.M.; Tsujimoto, H. Rising Temperatures and Increasing Demand Challenge Wheat Supply in Sudan. Nat. Food 2021, 2, 19–27. [Google Scholar] [CrossRef] [PubMed]
- Amani, I.; Fischer, R.A.; Reynolds, M.P. Canopy Temperature Depression Association with Yield of Irrigated Spring Wheat Cultivars in a Hot Climate. J. Agron. Crop Sci. 1996, 176, 119–129. [Google Scholar] [CrossRef]
- Fischer, R.A.; Rees, D.; Sayre, K.D.; Lu, Z.M.; Condon, A.G.; Larque Saavedra, A. Wheat Yield Progress Associated with Higher Stomatal Conductance and Photosynthetic Rate, and Cooler Canopies. Crop Sci. 1998, 38, 1467–1475. [Google Scholar] [CrossRef]
- Balota, M.; Payne, W.A.; Evett, S.R.; Lazar, M.D. Canopy Temperature Depression Sampling to Assess Grain Yield and Genotypic Differentiation in Winter Wheat. Crop Sci. 2007, 47, 1518–1529. [Google Scholar] [CrossRef]
- Thakur, V.; Rane, J.; Nankar, A.N. Comparative Analysis of Canopy Cooling in Wheat under High Temperature and Drought Stress. Agronomy 2022, 12, 978. [Google Scholar] [CrossRef]
- Rebetzke, G.J.; Jimenez-Berni, J.A.; Fischer, R.A.; Deery, D.M.; Smith, D.C.; Smith, D.J. Review: High-Throughput Phenotyping to Enhance the Use of Crop Genetic Resources. Plant Sci. 2019, 282, 40–48. [Google Scholar] [CrossRef] [PubMed]
- Al-Khatib, K.; Paulsen, G.M. Photosynthesis and Productivity during High-Temperature Stress of Wheat Genotypes from Major World Regions. Crop Sci. 1990, 30, 1127–1132. [Google Scholar] [CrossRef]
- Deery, D.M.; Rebetzke, G.J.; Jimenez-Berni, J.A.; Bovill, W.D.; James, R.A.; Condon, A.G.; Furbank, R.T.; Chapman, S.C.; Fischer, R.A. Evaluation of the Phenotypic Repeatability of Canopy Temperature in Wheat Using Continuous-Terrestrial and Airborne Measurements. Front. Plant Sci. 2019, 10, 875. [Google Scholar] [CrossRef]
- Lepekhov, S.B. Canopy Temperature Depression for Drought- and Heat Stress Tolerance in Wheat Breeding. Vavilovskii Zhurnal Genet Sel. 2022, 26, 196–201. [Google Scholar] [CrossRef]
- Neukam, D.; Ahrends, H.; Luig, A.; Manderscheid, R.; Kage, H. Integrating Wheat Canopy Temperatures in Crop System Models. Agronomy 2016, 6, 7. [Google Scholar] [CrossRef]
- Anderegg, J.; Aasen, H.; Perich, G.; Roth, L.; Walter, A.; Hund, A. Temporal Trends in Canopy Temperature and Greenness Are Potential Indicators of Late-Season Drought Avoidance and Functional Stay-Green in Wheat. Field Crops Res. 2021, 274, 108311. [Google Scholar] [CrossRef]
- Grant, O.M.; Chaves, M.M.; Jones, H.G. Optimizing Thermal Imaging as a Technique for Detecting Stomatal Closure Induced by Drought Stress under Greenhouse Conditions. Physiol. Plant. 2006, 127, 507–518. [Google Scholar] [CrossRef]
- Das, S.; Christopher, J.; Apan, A.; Roy Choudhury, M.; Chapman, S.; Menzies, N.W.; Dang, Y.P. UAV-Thermal Imaging and Agglomerative Hierarchical Clustering Techniques to Evaluate and Rank Physiological Performance of Wheat Genotypes on Sodic Soil. ISPRS J. Photogramm. Remote Sens. 2021, 173, 221–237. [Google Scholar] [CrossRef]
- Huband, N.D.S.; Monteith, J.L. Radiative Surface Temperature and Energy Balance of a Wheat Canopy. I. Comparison of Radiative and Aerodynamic Canopy Temperature. Bound.-Layer Meteorol. 1986, 36, 1–17. [Google Scholar] [CrossRef]
- Blum, A.; Mayer, J.; Gozlan, G. Infrared Thermal Sensing of Plant Canopies as a Screening Technique for Dehydration Avoidance in Wheat. Field Crops Res. 1982, 5, 137–146. [Google Scholar] [CrossRef]
- Jackson, R.D.; Idso, S.B.; Reginato, R.J.; Pinter, P.J., Jr. Canopy Temperature as a Crop Water Stress Indicator. Water Resour. Res. 1981, 17, 1133–1138. [Google Scholar] [CrossRef]
- Zhang, F.; Zhang, D.; Li, L.; Zhang, Z.; Liang, X.; Wen, Q.; Chen, G.; Wu, Q.; Zhai, Y. Effect of Planting Density on Canopy Structure, Microenvironment, and Yields of Uniformly Sown Winter Wheat. Agronomy 2023, 13, 870. [Google Scholar] [CrossRef]
- O’Shaughnessy, S.A.; Evett, S.R. Canopy Temperature Based System Effectively Schedules and Controls Center Pivot Irrigation of Cotton. Agric. Water Manag. 2010, 97, 1310–1316. [Google Scholar] [CrossRef]
- Feng, B.; Liu, P.; Li, G.; Dong, S.T.; Wang, F.H.; Kong, L.A.; Zhang, J.W. Effect of Heat Stress on the Photosynthetic Characteristics in Flag Leaves at the Grain-Filling Stage of Different Heat-Resistant Winter Wheat Varieties. J. Agron. Crop Sci. 2014, 200, 143–155. [Google Scholar] [CrossRef]
- Sharma, D.K.; Andersen, S.B.; Ottosen, C.-O.; Rosenqvist, E. Wheat Cultivars Selected for High Fv/Fm under Heat Stress Maintain High Photosynthesis, Total Chlorophyll, Stomatal Conductance, Transpiration and Dry Matter. Physiol. Plant 2015, 153, 284–298. [Google Scholar] [CrossRef] [PubMed]
- Steiner, J.L.; Hatfield, J.L. Winds of Change: A Century of Agroclimate Research. Agron. J. 2008, 100, S-132–S-152. [Google Scholar] [CrossRef]
- Mueller, N.D.; Butler, E.E.; McKinnon, K.A.; Rhines, A.; Tingley, M.; Holbrook, N.M.; Huybers, P. Cooling of US Midwest Summer Temperature Extremes from Cropland Intensification. Nat. Clim Chang. 2016, 6, 317–322. [Google Scholar] [CrossRef]
- Medina, S.; Vicente, R.; Nieto-Taladriz, M.T.; Aparicio, N.; Chairi, F.; Vergara-Diaz, O.; Araus, J.L. The Plant-Transpiration Response to Vapor Pressure Deficit (VPD) in Durum Wheat Is Associated with Differential Yield Performance and Specific Expression of Genes Involved in Primary Metabolism and Water Transport. Front. Plant Sci. 2019, 9, 1994. [Google Scholar] [CrossRef] [PubMed]
- Eyland, D.; Gambart, C.; Swennen, R.; Carpentier, S. Diverse Responses among Wild Banana Species to Vapour Pressure Deficit, a Solution for Drought Tolerance Breeding? bioRxiv 2022. [Google Scholar] [CrossRef]
- Gourdji, S.M.; Mathews, K.L.; Reynolds, M.; Crossa, J.; Lobell, D.B. An Assessment of Wheat Yield Sensitivity and Breeding Gains in Hot Environments. Proc. R. Soc. B Biol. Sci. 2013, 280, 20122190. [Google Scholar] [CrossRef]
- Monin, A.S.; Obukhov, A.M. Basic Laws of Turbulent Mixing in the Surface Layer of the Atmosphere. Contrib. Geophys. Inst. Acad. Sci. USSR 1954, 151, e187. [Google Scholar]
- Dugas, W.A.; Fritschen, L.J.; Gay, L.W.; Held, A.A.; Matthias, A.D.; Reicosky, D.C.; Steduto, P.; Steiner, J.L. Bowen Ratio, Eddy Correlation, and Portable Chamber Measurements of Sensible and Latent Heat Flux over Irrigated Spring Wheat. Agric. For. Meteorol. 1991, 56, 1–20. [Google Scholar] [CrossRef]
- Musa, A.I.I.; Tsubo, M.; Ali-Babiker, I.E.A.; Iizumi, T.; Kurosaki, Y.; Ibaraki, Y.; El-Hag, F.M.A.; Tahir, I.S.A.; Tsujimoto, H. Relationship of Irrigated Wheat Yield with Temperature in Hot Environments of Sudan. Theor. Appl. Climatol. 2021, 145, 1113–1125. [Google Scholar] [CrossRef]
- Atlin, G.N.; Cairns, J.E.; Das, B. Rapid Breeding and Varietal Replacement Are Critical to Adaptation of Cropping Systems in the Developing World to Climate Change. Glob. Food Sec. 2017, 12, 31–37. [Google Scholar] [CrossRef] [PubMed]
- Elagib, N.A.; Mansell, M.G. Recent Trends and Anomalies in Mean Seasonal and Annual Temperatures over Sudan. J. Arid Environ. 2000, 45, 263–288. [Google Scholar] [CrossRef]
- Herve, P. The Gezira Irrigation Scheme in Sudan: Objectives, Design, and Performance. Available online: https://documents.worldbank.org/en/publication/documents-reports/documentdetail/377141468778504847/The-Gezira-irrigation-scheme-in-Sudan-objectives-design-and-performance (accessed on 27 December 2022).
- Tahir, I.S.A.; Mustafa, H.; Elbashier, E. Agronomic Performance, Stability and Rust Resistance of Bread Wheat Genotypes under Optimum and Late Sowing Environments in Sudan: A Proposal for the Release of Four Bread Wheat Varieties. In Proceedings of the National Variety Release Committee, Khartoum, Sudan, 2 April 2018. [Google Scholar]
- Cabrera-Bosquet, L.; Molero, G.; Stellacci, A.M.; Bort, J.; Nogués, S.; Araus, J.L. NDVI as a Potential Tool for Predicting Biomass, Plant Nitrogen Content and Growth in Wheat Genotypes Subjected to Different Water and Nitrogen Conditions. Cereal Res. Commun. 2011, 39, 147–159. [Google Scholar] [CrossRef]
- Tan, C.-W.; Zhang, P.-P.; Zhou, X.-X.; Wang, Z.-X.; Xu, Z.-Q.; Mao, W.; Li, W.-X.; Huo, Z.-Y.; Guo, W.-S.; Yun, F. Quantitative Monitoring of Leaf Area Index in Wheat of Different Plant Types by Integrating NDVI and Beer-Lambert Law. Sci. Rep. 2020, 10, 929. [Google Scholar] [CrossRef]
- Allen, R.G.; Pereira, L.S.; Raes, D.; Smith, M. Crop Evapotranspiration-Guidelines for Computing Crop Water Requirements-FAO Irrigation and Drainage Paper 56; FAO: Rome, Italy, 1998; Volume 300, p. D05109. [Google Scholar]
- R Core Team. R: A Language and Environment for Statistical Computing; R Foundation for Statistical Computing: Vienna, Austria, 2023. [Google Scholar]
- Reynolds, M.P.; Balota, M.; Delgado, M.I.B.; Delgado, M.I.; Amani, I.; Fischer, R.A. Physiological and Morphological Traits Associated with Spring Wheat Yield Under Hot, Irrigated Conditions. Aust. J. Plant Physiol. 1994, 21, 717–730. [Google Scholar] [CrossRef]
- Balota, M.; Payne, W.A.; Evett, S.R.; Peters, T.R. Morphological and Physiological Traits Associated with Canopy Temperature Depression in Three Closely Related Wheat Lines. Crop Sci. 2008, 48, 1897–1910. [Google Scholar] [CrossRef]
- Luchiari, A., Jr.; Riha, S.J.; Gomide, R.L. Energy Balance in Irrigated Wheat in the Cerrados Region of Central Brazil. Sci. Agric. 1997, 54, 78–88. [Google Scholar] [CrossRef]
- Rawson, H.M.; Clarke, J.M. Nocturnal Transpiration in Wheat. Funct. Plant Biol. 1988, 15, 397–406. [Google Scholar] [CrossRef]
- Toddl, G.W. Photosynthesis and Respiration of Vegetative and Reproductive Parts of Wheat and Barley Plants in Response to Increasing Temperature. Proc. Okla. Acad. Sci. 1982, 62, 57–62. [Google Scholar]
- Posch, B.C.; Zhai, D.; Coast, O.; Scafaro, A.P.; Bramley, H.; Reich, P.B.; Ruan, Y.-L.; Trethowan, R.; Way, D.A.; Atkin, O.K. Wheat Respiratory O2 Consumption Falls with Night Warming alongside Greater Respiratory CO2 Loss and Reduced Biomass. J. Exp. Bot. 2021, 73, 915–926. [Google Scholar] [CrossRef]
- Choudhury, B.J.; Reginato, R.J.; Idso, S.B. An Analysis of Infrared Temperature Observations over Wheat and Calculation of Latent Heat Flux. Agric. For. Meteorol. 1986, 37, 75–88. [Google Scholar] [CrossRef]
- Jackson, R.D.; Reginato, R.J.; Idso, S.B. Wheat Canopy Temperature: A Practical Tool for Evaluating Water Requirements. Water Resour. Res. 1977, 13, 651–656. [Google Scholar] [CrossRef]
- Ehrler, W.L.; Idso, S.B.; Jackson, R.D.; Reginato, R.J. Diurnal Changes in Plant Water Potential and Canopy Temperature of Wheat as Affected by Drought1. Agron. J. 1978, 70, 999–1004. [Google Scholar] [CrossRef]
- Ehrler, W.L.; Idso, S.B.; Jackson, R.D.; Reginato, R.J. Wheat Canopy Temperature: Relation to Plant Water Potential 1. Agron. J. 1978, 70, 251–256. [Google Scholar] [CrossRef]
- Pinter, P.J.; Zipoli, G.; Reginato, R.J.; Jackson, R.D.; Idso, S.B.; Hohman, J.P. Canopy Temperature as an Indicator of Differential Water Use and Yield Performance among Wheat Cultivars. Agric. Water Manag. 1990, 18, 35–48. [Google Scholar] [CrossRef]
- Monteith, J.L. Evaporation and Surface Temperature. Q. J. R. Meteorol. Soc. 1981, 107, 1–27. [Google Scholar] [CrossRef]
- Ayeneh, A.; Van Ginkel, M.; Reynolds, M.P.; Ammar, K. Comparison of Leaf, Spike, Peduncle and Canopy Temperature Depression in Wheat under Heat Stress. Field Crops Res. 2002, 79, 173–184. [Google Scholar] [CrossRef]
- Chai, Y.; Zhao, Z.; Lu, S.; Chen, L.; Hu, Y. Field Evaluation of Wheat Varieties Using Canopy Temperature Depression in Three Different Climatic Growing Seasons. Plants 2022, 11, 3471. [Google Scholar] [CrossRef] [PubMed]
- Biswas, P.; Mondal, S.; Maji, S.; Mondal, A.; Bandopadhyay, P. Microclimate Modification in Field Crops: A Way Toward Climate-Resilience. In Climate-Resilient Agriculture, Vol 1: Crop Responses and Agroecological Perspectives; Hasanuzzaman, M., Ed.; Springer International Publishing: Cham, Switzerland, 2023; pp. 647–666. ISBN 978-3-031-37424-1. [Google Scholar]







Disclaimer/Publisher’s Note: The statements, opinions and data contained in all publications are solely those of the individual author(s) and contributor(s) and not of MDPI and/or the editor(s). MDPI and/or the editor(s) disclaim responsibility for any injury to people or property resulting from any ideas, methods, instructions or products referred to in the content. |
© 2023 by the authors. Licensee MDPI, Basel, Switzerland. This article is an open access article distributed under the terms and conditions of the Creative Commons Attribution (CC BY) license (https://creativecommons.org/licenses/by/4.0/).
Share and Cite
Mohammed, A.A.A.; Tsubo, M.; Ma, S.; Kurosaki, Y.; Ibaraki, Y.; Tahir, I.S.A.; Gorafi, Y.S.A.; Idris, A.A.M.; Tsujimoto, H. Micrometeorological Comparison of Canopy Temperature between Two Wheat Cultivars Grown under Irrigation in a Hot Environment in Sudan. Agronomy 2023, 13, 3032. https://doi.org/10.3390/agronomy13123032
Mohammed AAA, Tsubo M, Ma S, Kurosaki Y, Ibaraki Y, Tahir ISA, Gorafi YSA, Idris AAM, Tsujimoto H. Micrometeorological Comparison of Canopy Temperature between Two Wheat Cultivars Grown under Irrigation in a Hot Environment in Sudan. Agronomy. 2023; 13(12):3032. https://doi.org/10.3390/agronomy13123032
Chicago/Turabian StyleMohammed, Almutaz Abdelkarim Abdelfattah, Mitsuru Tsubo, Shaoxiu Ma, Yasunori Kurosaki, Yasuomi Ibaraki, Izzat Sidahmed Ali Tahir, Yasir Serag Alnor Gorafi, Amani A. M. Idris, and Hisashi Tsujimoto. 2023. "Micrometeorological Comparison of Canopy Temperature between Two Wheat Cultivars Grown under Irrigation in a Hot Environment in Sudan" Agronomy 13, no. 12: 3032. https://doi.org/10.3390/agronomy13123032
APA StyleMohammed, A. A. A., Tsubo, M., Ma, S., Kurosaki, Y., Ibaraki, Y., Tahir, I. S. A., Gorafi, Y. S. A., Idris, A. A. M., & Tsujimoto, H. (2023). Micrometeorological Comparison of Canopy Temperature between Two Wheat Cultivars Grown under Irrigation in a Hot Environment in Sudan. Agronomy, 13(12), 3032. https://doi.org/10.3390/agronomy13123032

