Effects of Restoration Strategies on the Ion Distribution and Transport Characteristics of Medicago sativa in Saline–Alkali Soil
Abstract
:1. Introduction
2. Material and Methods
2.1. Experimental Site
2.2. Experimental Design
2.3. Sampling and Measurements
2.3.1. Plant Growth and Biomass Variables
2.3.2. Plant Ion Content
2.4. Data Analysis
2.5. Statistical Analysis
3. Results
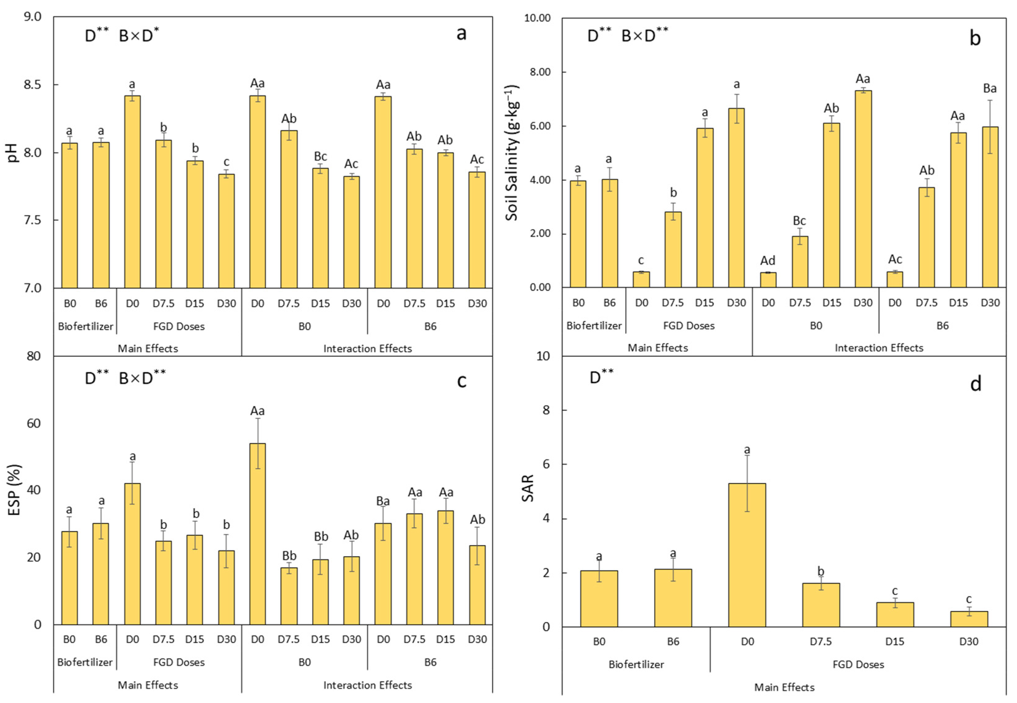
3.1. pH, Salinity, ESP, SAR, and Water-Soluble Ion Content in the Soil
3.2. Plant Growth Indicators and Biomass
3.3. Ionic Effects in M. sativa
3.3.1. Concentrations of Na+, K+, Ca2+, and Mg2+
3.3.2. Ratios of K+/Na+, Ca2+/Na+, Mg2+/Na+ in Plant Organs
3.3.3. Cation TS Ratio of M. sativa
3.4. Correlation Analysis
4. Discussion
4.1. Effects of Different Restoration Measures on Soil
4.2. Effects of Different Restoration Measures on Plant Growth and Yield
4.3. Effects of Different Restoration Measures on Plant Ion Content and Transport
4.4. Restoration Measure–Soil–Plant Correlations
5. Conclusions
Author Contributions
Funding
Data Availability Statement
Acknowledgments
Conflicts of Interest
References
- Ghosh, U.; Thapa, R.; Desutter, T.; He, Y.; Chatterjee, A. Saline–sodic soils: Potential sources of nitrous oxide and carbon dioxide emissions? Pedosphere 2017, 27, 65–75. [Google Scholar] [CrossRef]
- Wang, S.J.; Chen, Q.; Li, Y.; Zhuo, Y.Q.; Xu, L.Z. Research on saline-alkali soil amelioration with FGD gypsum. Resour. Conserv. Recycl. 2017, 121, 82–92. [Google Scholar] [CrossRef]
- Sun, Z.H.J. Ecological Restoration of Typical Saline Lands in Northern China; China Science Publishing & Media Ltd. (CSPM): Beijing, China, 2017. [Google Scholar]
- Zhao, W.; Zhou, Q.; Tian, Z.Z.; Cui, Y.T.; Liang, Y.; Wang, H.Y. Apply biochar to ameliorate soda saline-alkali land, improve soil function and increase corn nutrient availability in the Songnen Plain. Sci. Total Environ. 2020, 722, 137428. [Google Scholar] [CrossRef] [PubMed]
- Qin, W.F.; Song, H.P.; Fan, Y.; Cheng, F.Q. Effects of activated coke on soil properties and growth of two plant species in saline alkali soil in northern Shanxi Province, China. Chin. J. Appl. Ecol. 2021, 32, 1799–1806. [Google Scholar] [CrossRef]
- Zhou, Z.; Li, Z.; Zhang, Z.; You, L.; Xu, L.; Huang, H.; Wang, X.; Gao, Y.; Cui, X. Treatment of the saline-alkali soil with acidic corn stalk biochar and its effect on the sorghum yield in western Songnen Plain. Sci. Total Environ. 2021, 797, 149190. [Google Scholar] [CrossRef]
- Mao, Y.M.; Li, X.P.; Dick, W.A.; Chen, L.M. Remediation of saline-sodic soil with flue gas desulfurization gypsum in a reclaimed tidal flat of southeast China. J. Environ. Sci. 2016, 45, 224–232. [Google Scholar] [CrossRef] [PubMed]
- Zhao, Y.; Wang, S.; Li, Y.; Liu, J.; Zhuo, Y.Q.; Zhang, W.K.; Wang, J.; Xu, L.Z. Long-term performance of flue gas desulfurization gypsum in a large-scale application in a saline-alkali wasteland in northwest China. Agric. Ecosyst. Environ. 2018, 261, 115–124. [Google Scholar] [CrossRef]
- Gao, H.M.; Wang, X.P.; Qu, Z.H.Y.; Yang, J.S.; Yao, R.J. Combining desulfurization gypsum and organic materials to improve soil quality and sunflower growth in Hetao irrigation district. J. Irrig. Drain. 2020, 39, 85–92. [Google Scholar] [CrossRef]
- Hidri, R.; Barea, J.M.; Mahmoud, O.M.; Abdelly, C.; Azcón, R. Impact of microbial inoculation on biomass accumulation by Sulla carnosa provenances, and in regulating nutrition, physiological and antioxidant activities of this species under non-saline and saline conditions. J. Plant Physiol. 2016, 201, 28–41. [Google Scholar] [CrossRef]
- Hu, W.; Shan, N.; Zhong, X.C. Effects of salt-tolerant forage on bioremediating saline-alkali farmland. Anhui Agric. Sci. Bull. 2008, 7, 148–149 + 151. [Google Scholar]
- Wang, X.; Ji, X.; Liu, L.; Ji, B.; Tian, Y. Effect of epibrassinolide on ion absorption and distribution in Medicago species under NaCl stress. Acta Prataculturae Sin. 2018, 27, 110–119. [Google Scholar] [CrossRef]
- Alvarez-Ayuso, E.; Querol, X.; Tomás, A. Environmental impact of a coal combustion-desulphurisation plant: Abatement capacity of desulphurisation process and environmental characterisation of combustion by-products. Chemosphere 2006, 65, 2009–2017. [Google Scholar] [CrossRef] [PubMed]
- E, S.Z.; Yuan, J.; Yao, J.B. The study of nutrients and heavy metals content characteristics in desulfurized gypsum of Jiuquan Steel Group. Chin. Agric. Sci. Bull. 2014, 30, 193–196. [Google Scholar]
- Wang, Y.; Wang, Z.; Liang, F.; Jing, X.; Feng, W. Application of flue gas desulfurization gypsum improves multiple functions of saline-sodic soils across China. Chemosphere 2021, 277, 130345. [Google Scholar] [CrossRef] [PubMed]
- Shen, W.Y.; Feng, Z.J.; Qin, W.F.; Fan, Y. Growth of ryegrass under salt-alkali stress and characteristics of ion micro-region distribution. Acta Prataculturae Sin. 2020, 29, 52–63. [Google Scholar]
- Ye, L.T.; Zhou, Q.Y.; Li, S.M.; Ma, B. Effects of plastic film-mulching and irrigation on the salt ion distribution and biomass of maize in coastal saline-alkali soil. Agric. Res. Arid Areas 2020, 38, 74–83. [Google Scholar] [CrossRef]
- Liu, D.; Bai, S.; Yang, Q.S.; Qi, X.B.; Liang, Z.J.; Guo, W.; Li, P. A review on the saline-alkaline tolerance of alfalfa (Medicago sativa L.). J. Biol. 2021, 38, 98–101 + 105. [Google Scholar] [CrossRef]
- Wang, W.J.; Ma, D.M.; Zhao, L.J.; Ma, Q.L. Effect of 2,4-table brassinolide on enzyme activity and root ion distribution and absorption in alfalfa seedlings. Acta Agrestia Sin. 2021, 29, 1363–1368. [Google Scholar] [CrossRef]
- Pang, H.C.; Li, Y.Y.; Yang, J.S.; Liang, Y.S. Effect of brackish water irrigation and straw mulching on soil salinity and crop yields under monsoonal climatic conditions. Agric. Water Manag. 2010, 97, 1971–1977. [Google Scholar] [CrossRef]
- Bao, S.D. Soil Agro-Chemical Analysis, 3rd ed.; China Agriculture Press: Beijing, China, 2000; pp. 265–267. [Google Scholar]
- Yang, L.L.; Li, F.; Chen, Y.; Zhao, B.; Xiao, R.; Hou, B.B.; Zhou, W.Q. Optimization and improvement of spectrophotometry method to determine cation exchange capacity in soil. Chin. Agric. Sci. Bull. 2020, 36, 119–122. [Google Scholar]
- U.S. Salinity Laboratory Staff. Diagnosis and Improvement of Saline and Alkali Soils; USDA Handbook No. 60; U.S. Government Printing Office: Washington, DC, USA, 1954.
- Dahlawi, S.; Naeem, A.; Rengel, Z.; Naidu, R. Biochar application for the remediation of salt-affected soils: Challenges and opportunities. Sci. Total Environ. 2018, 625, 320–335. [Google Scholar] [CrossRef]
- Zhang, W.; Zhang, W.; Wang, S.; Liu, J.; Li, Y.; Zhuo, Y.; Xu, L.; Zhao, Y. Band application of flue gas desulfurization gypsum improves sodic soil amelioration. Environ. Manag. 2021, 298, 113535. [Google Scholar] [CrossRef] [PubMed]
- Agbede, T.M.; Adekiya, A.O.; Ogeh, J.S. Effects of organic fertilizers on yam productivity and some soil properties of a nutrient-depleted tropical alfisol. Arch. Agron. Soil Sci. 2013, 59, 803–822. [Google Scholar] [CrossRef]
- Arai, M.; Miura, T.; Tsuzura, H.; Minamiya, Y.; Kaneko, N. Two-year responses of earthworm abundance, soil aggregates, and soil carbon to no-tillage and fertilization. Geoderma 2018, 332, 135–141. [Google Scholar] [CrossRef]
- Zheng, P.S.; Hao, B.P.; Feng, Y.C.; Ding, Y.C.; Li, Y.F.; Xue, Z.Q.; Cao, W.D. Effects of different saline-alkali land amendments on soil physicochemical properties and alfalfa growth and yield. Chin. J. Eco-Agric. 2012, 20, 1216–1221. [Google Scholar] [CrossRef]
- Tian, Y.; Liu, S.H.J.; Feng, H.J. Effect of applying the desulfurization gypsum combined with polymaleic anhydride on alkali soil improvement. Soils Fertil. Sci. China 2018, 1, 114–120. [Google Scholar]
- Wang, X.P.; Yang, J.S.; Zhang, S.H.J.; Yao, R.J.; Xie, W.P. Effects of combined application of gypsum and humic acid on improvement of saline-alkali soil and cotton growth in arid areas. J. Soils 2020, 52, 327–332. [Google Scholar]
- Wang, F.Y.; Wang, C.H.; Liu, Q.Q.; Jin, S.J.; Xie, Y.J. Improved effect of humic acid, earthworm protein fertilizer and vermicompost on coastal saline soils. J. China Agric. Univ. 2015, 20, 89–94. [Google Scholar] [CrossRef]
- Wang, J.M.; Bai, Z.K.; Ye, C.Q.; Xu, C.H. Saline and sodic soils properties as affected by the combined application of desulphurization by-product and microbial agent. J. Basic Sci. Eng. 2015, 23, 1080–1087. [Google Scholar]
- Pang, H.C.; Li, Y.Y.; Yan, H.J.; Liang, Y.S.; Hou, X.B. Effects of inoculating different microorganism agents on the improvement of salinized soil. J. Agro Environ. Sci. 2009, 28, 951–955. [Google Scholar]
- Pang, H.; Li, Y.; Yu, T.Y.; Liu, G.J.; Dong, L.H. Effects of microorganism agent on soil salination and alfalfa growth under different salt stress. Plant Nutr. Fertil. Sci. 2011, 17, 1403–1408. [Google Scholar]
- Li, M.; Jiang, L.; Sun, Z.; Wang, J.; Rui, Y.; Zhong, L.; Wang, Y.; Kardol, P. Effects of flue gas desulfurization gypsum by-products on microbial biomass and community structure in alkaline–saline soils. J. Soils Sediments 2012, 12, 1040–1053. [Google Scholar] [CrossRef]
- Nan, J.; Chen, X.; Chen, C.; Lashari, M.S.; Deng, J.; Du, Z. Impact of flue gas desulfurization gypsum and lignite humic acid application on soil organic matter and physical properties of a saline-sodic farmland soil in Eastern China. J. Soils Sediments 2016, 16, 2175–2185. [Google Scholar] [CrossRef]
- Chen, L.M.; Ramsier, C.; Bigham, J.; Slater, B.; Kost, D.; Lee, Y.B.; Dick, W.A. Oxidation of FGD-CaSO3 and effect on soil chemical properties when applied to the soil surface. Fuel 2009, 88, 1167–1172. [Google Scholar] [CrossRef]
- Liu, G.; Yang, J.; Lü, Z.; Yu, S.; He, L. Effects of different adjustment measures on improvement of light moderate saline soils and crop yield. Trans. CSAE 2011, 27, 164–169. [Google Scholar]
- Rajapaksha, A.U.; Chen, S.S.; Tsang, D.C.W.; Zhang, M.; Vithanage, M.; Mandal, S.; Gao, B.; Bolan, N.S.; Ok, Y.S.J.C. Engineered/designer biochar for contaminant removal/immobilization from soil and water: Potential and implication of biochar modification. Chemosphere 2016, 148, 276–291. [Google Scholar] [CrossRef] [PubMed]
- Clark, R.B.; Ritchey, K.D.; Baligar, V.C. Benefits and constraints for use of FGD products on agricultural land. Fuel 2001, 80, 821–828. [Google Scholar] [CrossRef]
- Vishnu, D.R.; Tatiana, M.; Chen, Y.N.; Svetlana, S.; Victor, A.C.; Saglara, M. A review on salinity adaptation mechanism and characteristics of Populus euphratica, a boon for arid ecosystems. Acta Ecol. Sin. 2016, 36, 497–503. [Google Scholar] [CrossRef]
- Tang, R.J.; Luan, S. Regulation of calcium and magnesium homeostasis in plants: From transporters to signaling network. Curr. Opin. Plant Biol. 2017, 39, 97–105. [Google Scholar] [CrossRef]
- Cakmak, I. The role of potassium in alleviating detrimental effects of abiotic stresses in plants. Z. Pflanzenernähr. Bodenk. 2005, 168, 521–530. [Google Scholar] [CrossRef]
- Wakeel, A. Potassium–sodium interactions in soil and plant under saline-sodic conditions. Z. Pflanzenernähr. Bodenk. 2013, 176, 344–354. [Google Scholar] [CrossRef]
- Lashari, M.S.; Liu, Y.M.; Li, L.Q.; Pan, W.N.; Fu, J.Y.; Pan, G.X.; Zheng, J.; Zheng, J.; Zhang, X.; Yu, X. Effects of amendment of biochar-manure compost in conjunction with pyroligneous solution on soil quality and wheat yield of a salt-stressed cropland from Central China Great Plain. Field Crop Res. 2013, 144, 113–118. [Google Scholar] [CrossRef]
- Peter, M.K. Interactions between Ca, Mg, Na and K: Alleviation of toxicity in saline solutions. J. Plant Soil. 2012, 352, 353–362. [Google Scholar] [CrossRef]
- Marschner, H. Mineral Nutrition of Higher Plants, 2nd ed.; Academic Press: Pittsburgh, PA, USA, 1995. [Google Scholar]
- Horlitz, M.; Klaff, P. Gene-specific trans-regulatory functions of magnesium for chloroplast mRNA stability in higher plants. J. Biol. Chem. 2000, 275, 35638–35645. [Google Scholar] [CrossRef] [PubMed]
- White, P.J.; Broadley, M.R. Biofortification of crops with seven mineral elements often lacking in human diets—iron, zinc, copper, calcium, magnesium, selenium and iodine. New Phytol. 2009, 182, 49–84. [Google Scholar] [CrossRef]
- Riens, B.; Heldt, H.W. Decrease of Nitrate Reductase Activity in Spinach Leaves during a Light-Dark Transition. Plant Physiol. 1992, 98, 573–577. [Google Scholar] [CrossRef]
- Chen, L.B.; Cai, D.; Zhang, L.A.; Song, S.W.; Luo, X.; Chen, Y.J.; Li, J.F.; Xu, T.; Mao, D.D. Advances in mechanisms of magnesium transport and response to magnesium stress in plants. Front. Plant Sci. 2021, 25, 442–447. [Google Scholar] [CrossRef]










| Index | Soil | FGD Gypsum |
|---|---|---|
| pH | 8.90 | 7.23 ± 0.06 |
| Water content/% | 13 | |
| EC/μm·cm−1 | 367.79 | |
| Na+/mg·kg−1 | 54.2 | 574.0 |
| K+/mg·kg−1 | 10.6 | 19.6 |
| Ca2+/mg·kg−1 | 78.5 | 2731.0 |
| Mg2+/mg·kg−1 | 24.8 | 55.0 |
| Cl−/mg·kg−1 | 4.4 | 435.0 |
| SO42−/mg·kg−1 | 15.6 | 7950.0 |
| HCO3− + CO32−/mg·kg−1 | 363.0 | 126.0 |
| Exchangeable Na/cmol (Na+)·kg−1 | 0.33 | 2.59 |
| Index | Humic Acid |
|---|---|
| Humic acid content | 75% |
| Organic matter | 80% |
| pH | 4.46 |
| Exchangeable K/g·kg−1 | 50.56 |
| Exchangeable Na/g·kg−1 | 0.62 |
| Total N | 0.52% |
| P2O5 | 0.35% |
| K2O | 0.12% |
| Treatment | Bio-Fertilizer /g·kg−1 | FGD Gypsum + Humic Acid /g·kg−1 | |
|---|---|---|---|
| B0 | D0 | 0 | 0 |
| D7.5 | 0 | 7.5 + 0.75 | |
| D15 | 0 | 15.0 + 1.5 | |
| D30 | 0 | 30.0 + 3.0 | |
| B6 | D0 | 6.0 | 0 |
| D7.5 | 6.0 | 7.5 + 0.75 | |
| D15 | 6.0 | 15.0 + 1.5 | |
| D30 | 6.0 | 30.0 + 3.0 | |
Disclaimer/Publisher’s Note: The statements, opinions and data contained in all publications are solely those of the individual author(s) and contributor(s) and not of MDPI and/or the editor(s). MDPI and/or the editor(s) disclaim responsibility for any injury to people or property resulting from any ideas, methods, instructions or products referred to in the content. |
© 2023 by the authors. Licensee MDPI, Basel, Switzerland. This article is an open access article distributed under the terms and conditions of the Creative Commons Attribution (CC BY) license (https://creativecommons.org/licenses/by/4.0/).
Share and Cite
Yu, B.; Chen, L.; Baoyin, T. Effects of Restoration Strategies on the Ion Distribution and Transport Characteristics of Medicago sativa in Saline–Alkali Soil. Agronomy 2023, 13, 3028. https://doi.org/10.3390/agronomy13123028
Yu B, Chen L, Baoyin T. Effects of Restoration Strategies on the Ion Distribution and Transport Characteristics of Medicago sativa in Saline–Alkali Soil. Agronomy. 2023; 13(12):3028. https://doi.org/10.3390/agronomy13123028
Chicago/Turabian StyleYu, Baole, Lingling Chen, and Taogetao Baoyin. 2023. "Effects of Restoration Strategies on the Ion Distribution and Transport Characteristics of Medicago sativa in Saline–Alkali Soil" Agronomy 13, no. 12: 3028. https://doi.org/10.3390/agronomy13123028
APA StyleYu, B., Chen, L., & Baoyin, T. (2023). Effects of Restoration Strategies on the Ion Distribution and Transport Characteristics of Medicago sativa in Saline–Alkali Soil. Agronomy, 13(12), 3028. https://doi.org/10.3390/agronomy13123028
