Responses of Tomato Crop and Water Productivity to Deficit Irrigation Strategies and Salinity Stress in Greenhouse
Abstract
:1. Introduction
2. Materials and Methods
2.1. Experimental Design and Growth Conditions
2.2. The Measurements
2.2.1. Applied Irrigation Water
2.2.2. Growth and Physiological Characteristics
2.2.3. Total Yield and Water Productivity (WP)
2.3. Statistical Analysis
3. Results and Discussion
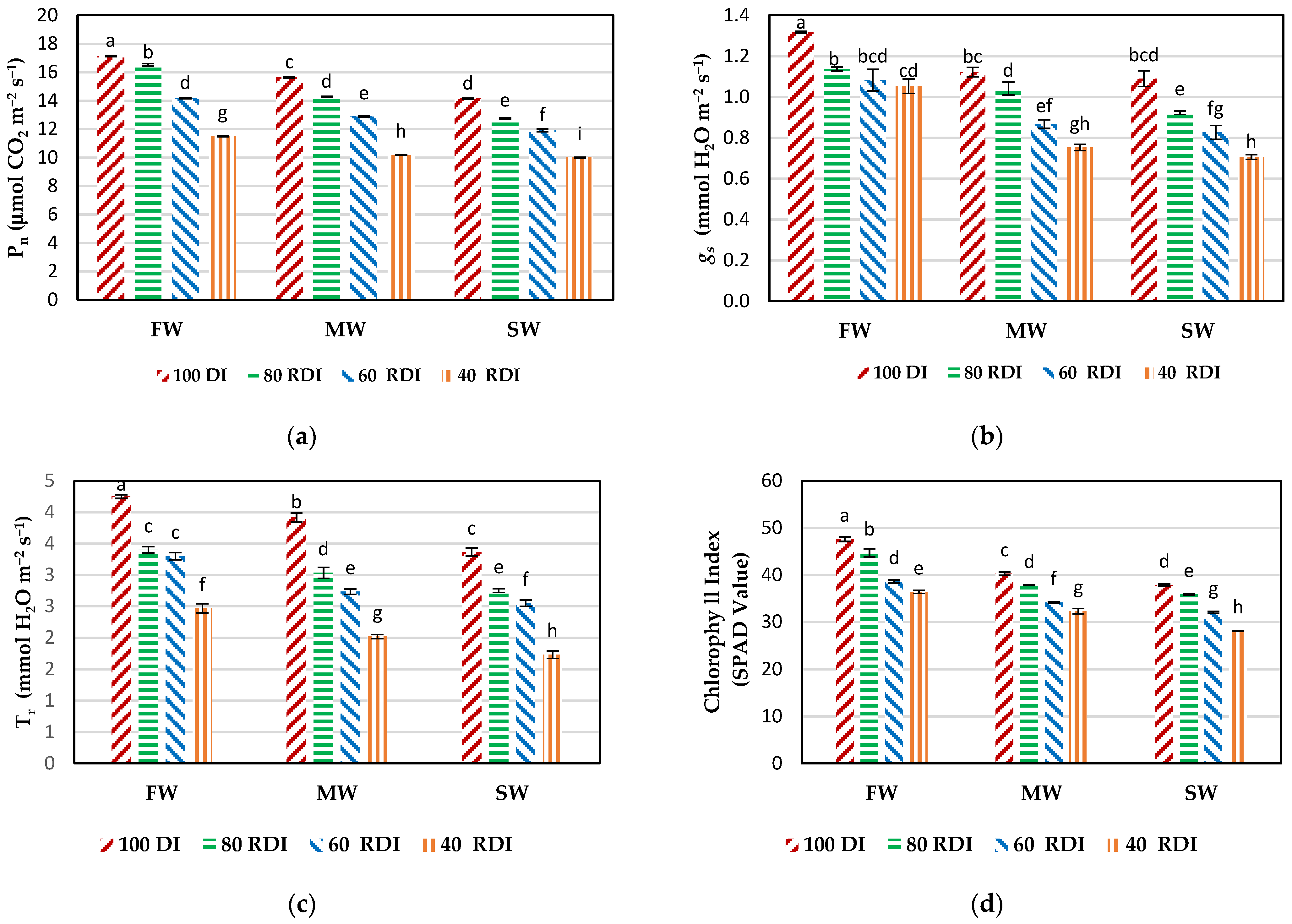
3.1. Physiological Responses of Tomato Plants to Water Quality and Irrigation Levels
3.2. Characteristics of Tomato Plants’ Morphology
3.3. Crop Yield and Water Management Indicators
Yield—Applied Irrigation Water Functions
3.4. Impact of Water Quality and Irrigation Levels on Tomato Fruits Quality
4. Conclusions
- Salinity has a negative impact on stomatal conductance (gs) and transpiration (Tr), as observed by the significant reductions in these physiological parameters with salinity of 3.6 m ds−1 (SW) compared to freshwater (FW: 0.9 m ds−1).
- Also, FW had the greatest chlorophyll content, which indicates the plant’s morphological characteristics were improving.
- Depending on the availability and quality of the water source, specific irrigation levels should be recommended.
- For salinity of 2.25 m ds−1, a 60% deficit irrigation is ideal, resulting in similar yields to full irrigation (FI) with significantly improved water productivity. In contrast, for SW, an 80% irrigation level is recommended, as it does not significantly reduce yield compared to FI.
- For FW, FI should be used for optimal yield per unit area, although those wishing to preserve water can profit from 60% deficit irrigation.
- Under deficit irrigation and salinity stress, fruit quality indices such total acidity (TA), vitamin C (VC), and total soluble solids (TSS) increased, indicating that improving water management practices can improve fruit quality.
Author Contributions
Funding
Data Availability Statement
Acknowledgments
Conflicts of Interest
References
- Samad, N.; Bruno, V. The urgency of preserving water resources. Environ. News 2013, 21, 3–6. [Google Scholar]
- Al-Omran, A.M.; Aly, A.A.; Al-Wabel, M.I.; Sallam, A.S.; Al-Shayaa, M.S. Hydrochemical characterization of groundwater under agricultural land in an arid environment: A case study of Al-Kharj, Saudi Arabia. Arab. J. Geosci. 2016, 9, 68. [Google Scholar] [CrossRef]
- Alharbi, T.; El-Sorogy, A.S. Risk Assessment of Potentially Toxic Elements in Agricultural Soils of Al-Ahsa Oasis, Saudi Arabia. Sustainability 2022, 15, 659. [Google Scholar] [CrossRef]
- Solangi, K.A.; Wu, Y.; Xing, D.; Qureshi, W.A.; Tunio, M.H.; Sheikh, S.A.; Shabbir, A. Can electrophysiological information reflect the response of mangrove species to salt stress? A case study of rewatering and Sodium nitroprusside application. Plant Signal. Behav. 2022, 17, 2073420. [Google Scholar] [CrossRef] [PubMed]
- Abderrahman, W.A.; Rasheeduddin, M.; Al-Harazin, I.M.; Esuflebbe, M.; Eqnaibi, B.S. Impacts of management practices on groundwater conditions in the eastern province, Saudi Arabia. Hydrogeol. J. 1995, 3, 32–41. [Google Scholar] [CrossRef]
- Mallick, J.; Singh, C.K.; AlMesfer, M.K.; Singh, V.P.; Alsubih, M. Groundwater Quality Studies in the Kingdom of Saudi Arabia: Prevalent Research and Management Dimensions. Water 2021, 13, 1266. [Google Scholar] [CrossRef]
- De Pascale, S.; Orsini, F.; Pardossi, A. Irrigation water quality for greenhouse horticulture. In Good Agricultural Practices for Greenhouse Vegetable Crops: Principles for Mediterranean Climate Areas; Wilfried, B., Womdim, R.N., Nebambi, L., Alison, H., Nicolás, C., Cherubino, L., De Pascale, S., Muien, Q., Eds.; Food and Agriculture Organization of the United Nations: Rome, Italy, 2013; Volume 217, pp. 169–204. [Google Scholar]
- Al-Omran, A.; Al-Harbi, A.; Wahab-Allah, M.; Nadeem, M.; El-Eter, A. Impact of saline water rates under surface and subsurface drip irrigation system on tomato production. Turk. J. Agric. 2010, 33, 1–15. [Google Scholar]
- Biswas, A.; Biswas, A. Comprehensive approaches in rehabilitating salt-affected soils: A review on Indian perspective. Open Trans. Geosci. 2014, 1, 13–24. [Google Scholar] [CrossRef]
- Badji, A.; Benseddik, A.; Bensaha, H.; Boukhelifa, A.; Hasrane, I. Design, technology, and greenhouse management: A review. J. Clean. Prod. 2022, 373, 133753. [Google Scholar] [CrossRef]
- Du, Y.D.; Cao, H.X.; Liu, S.Q.; Gu, X.B.; Cao, Y.X. Response of yield, quality, water and nitrogen use efficiency of tomato to different levels of water and nitrogen under drip irrigation in Northwestern China. J. Integr. Agric. 2017, 16, 1153–1161. [Google Scholar] [CrossRef]
- Lu, J.; Shao, G.; Cui, J.; Wang, X.; Keabetswe, L. Yield, fruit quality and water use efficiency of tomato for processing under regulated deficit irrigation: A meta-analysis. Agric. Water Manag. 2019, 222, 301–312. [Google Scholar] [CrossRef]
- Harmanto; Salokhe, V.M.; Babel, M.S.; Tantau, H.J. Water requirement of drip irrigated tomatoes grown in greenhouse in tropical environment. Agric. Water Manag. 2005, 71, 225–242. [Google Scholar] [CrossRef]
- GASTAT. The General. Authority for Statistics, Agriculture Production Survey Bulletin for 2021 in Saudi Arabia. 2021. Available online: https://www.stats.gov.sa/sites/default/files/Agricultural_Production_Survey_Publication_2021_AR_0.pdf. (accessed on 5 November 2023).
- Li, B.; Wim, V.; Shukla, M.K.; Du, T. Drip irrigation provides a trade -off between yield and nutritional quality of tomato in the solar greenhouse. Agric. Water Manag. 2021, 249, 106777. [Google Scholar] [CrossRef]
- FAOSTAT. Food and Agriculture Data: Production, Crops and Livestock Products. Available online: https://www.fao.org/faostat/en/#data/QCL (accessed on 5 November 2023).
- MEWA. Statistical Yearbook 2021: The Ministry of Environment, Water, and Agriculture’s Achievements; Ministry of Environment, Water and Agriculture: Riyadh, Saudi Arabia, 2021; Available online: https://drive.google.com/file/d/1tcmyLHb1hfLOtb42U4I8_p2PAUDffpj-/view?pli=1 (accessed on 5 November 2023).
- Abdul-Hammed, M.; Bolarinwa, I.F.; Adebayo, L.O.; Akindele, S.L. Kinetics of the degradation of carotenoid antioxidants in tomato paste. Adv. J. Food Sci. Technol. 2016, 11, 734–741. [Google Scholar] [CrossRef]
- Ripoll, J.; Urban, L.; Brunel, B.; Bertin, N. Water deficit effects on tomato quality depend on fruit developmental stage and genotype. J. Plant Physiol. 2016, 190, 26–35. [Google Scholar] [CrossRef]
- Nangare, D.; Singh, Y.; Kumar, P.S.; Minhas, P. Growth, fruit yield and quality of tomato (Lycopersicon esculentum Mill.) as affected by deficit irrigation regulated on phenological basis. Agric. Water Manag. 2016, 171, 73–79. [Google Scholar] [CrossRef]
- Johnstone, P.; Hartz, T.; LeStrange, M.; Nunez, J.; Miyao, E. Managing fruit soluble solids with late-season deficit irrigation in drip-irrigated processing tomato production. HortScience 2005, 40, 1857–1861. [Google Scholar] [CrossRef]
- Mahajan, G.; Singh, K. Response of greenhouse tomato to irrigation and fertigation. Agric. Water Manag. 2006, 84, 202–206. [Google Scholar] [CrossRef]
- Beckles, D.M. Factors affecting the postharvest soluble solids and sugar content of tomato (Solanum lycopersicum L.) fruit. Postharvest Biol. Technol. 2012, 63, 129–140. [Google Scholar] [CrossRef]
- Kumar, M.; Etesami, H.; Kumar, V. Saline Soil-Based Agriculture by Halotolerant Microorganisms; Springer Nature Pte Ltd.: Singapore, 2019. [Google Scholar]
- Yang, Y.; Guo, Y. Elucidating the molecular mechanisms mediating plant salt-stress responses. New Phytol. 2018, 217, 523–539. [Google Scholar] [CrossRef]
- Zhang, Q.; Dai, W. Plant response to salinity stress. In Stress. Physiology of Woody Plants, 1st ed.; CRC Press: Boca Raton, FL, USA, 2019; pp. 155–173. [Google Scholar]
- Pan, T.; Liu, M.; Kreslavski, V.D.; Zharmukhamedov, S.K.; Nie, C.; Yu, M.; Kuznetsov, V.V.; Allakhverdiev, S.I.; Shabala, S. Non-stomatal limitation of photosynthesis by soil salinity. Crit. Rev. Environ. Sci. Technol. 2021, 51, 791–825. [Google Scholar] [CrossRef]
- El Ghazali, G.E. Suaeda vermiculata Forssk. ex JF Gmel.: Structural characteristics and adaptations to salinity and drought: A review. Int. J. Sci. 2020, 9, 28–33. [Google Scholar] [CrossRef]
- Arif, Y.; Sami, F.; Siddiqui, H.; Bajguz, A.; Hayat, S. Salicylic acid in relation to other phytohormones in plant: A study towards physiology and signal transduction under challenging environment. Environ. Exp. Bot. 2020, 175, 104040. [Google Scholar] [CrossRef]
- Farooq, M.; Wahid, A.; Kobayashi, N.; Fujita, D.; Basra, S. Plant drought stress: Effects, mechanisms and management. Agron. Sustain. Dev. 2009, 29, 185–212. [Google Scholar] [CrossRef]
- Bacon, M. Water Use Efficiency in Plant Biology; CRC Press, Blackwell Publishing: Boca Raton, FL, USA, 2004. [Google Scholar]
- Agbemafle, R.; Owusu-Sekyere, J.; Bart-Plange, A.; Otchere, J. Effect of deficit irrigation and storage on Physicochemical quality of tomato (Lycopersicon esculentum Mill. var. Pechtomech). Food Sci. Qual. Manag. 2014, 34, 113–120. [Google Scholar]
- Zhang, H.; Xiong, Y.; Huang, G.; Xu, X.; Huang, Q. Effects of water stress on processing tomatoes yield, quality and water use efficiency with plastic mulched drip irrigation in sandy soil of the Hetao Irrigation District. Agric. Water Manag. 2017, 179, 205–214. [Google Scholar] [CrossRef]
- Allen, R.G.; Pereira, L.S.; Raes, D.; Smith, M. Crop Evapotranspiration-Guidelines for Computing Crop Water Requirements; FAO Irrigation and Drainage Paper 56; FAO: Rome, Italy, 1998; p. 300. [Google Scholar]
- Martin, T.N.; Fipke, G.M.; Minussi Winck, J.E.; Márchese, J.A. ImageJ software as an alternative method for estimating leaf area in oats. Acta Agronómica 2020, 69, 162–169. [Google Scholar] [CrossRef]
- Martin, T.N.; Marchese, J.A.; de Sousa, A.K.F.; Curti, G.L.; Fogolari, H.; Cunha, V.D.S. Using the ImageJ software to estimate leaf area in bean crop. Interciencia 2013, 38, 843–848. [Google Scholar]
- ImageJ Image Processing and Analysis in Java; V1.51j8; National Institutes of Health and the Laboratory for Optical and Computational Instrumentation LOCI, University of Wisconsin: Madison, WI, USA, 2017.
- Li, Y.; Song, H.; Zhou, L.; Xu, Z.; Zhou, G. Tracking chlorophyll fluorescence as an indicator of drought and rewatering across the entire leaf lifespan in a maize field. Agric. Water Manag. 2019, 211, 190–201. [Google Scholar] [CrossRef]
- Helrich, K. Official Methods of Analysis of the Association of Official Analytical Chemists, 15th ed.; Association of Official Analytical Chemists: Arlington, VA, USA, 1990. [Google Scholar]
- Caruso, G.; Conti, S.; Villari, G.; Borrelli, C.; Melchionna, G.; Minutolo, M.; Russo, G.; Amalfitano, C. Effects of transplanting time and plant density on yield, quality and antioxidant content of onion (Allium cepa L.) in southern Italy. Sci. Hortic. 2014, 166, 111–120. [Google Scholar] [CrossRef]
- Patanè, C.; Tringali, S.; Sortino, O. Effects of deficit irrigation on biomass, yield, water productivity and fruit quality of processing tomato under semi-arid Mediterranean climate conditions. Sci. Hortic. 2011, 129, 590–596. [Google Scholar] [CrossRef]
- Kijne, J.W.; Barker, R.; Molden, D.J. Water Productivity in Agriculture: Limits and Opportunities for Improvement; Cabi: Wallingford, UK, 2003; Volume 1. [Google Scholar]
- El-Shafei, A.A.; Mattar, M.A. Irrigation Scheduling and Production of Wheat with Different Water Quantities in Surface and Drip Irrigation: Field Experiments and Modelling Using CROPWAT and SALTMED. Agronomy 2022, 12, 1488. [Google Scholar] [CrossRef]
- Helweg, O.J. Functions of Crop Yield from Applied Water. Agron. J. 1991, 83, 769–773. [Google Scholar] [CrossRef]
- Statistix. Data Analysis Software for Researchers: Statistix 9, Version 9.0; Analytical Sofware: Tallahassee FL, USA, 2010. [Google Scholar]
- Obadi, A.; Alharbi, A.; Alomran, A.; Alghamdi, A.G.; Louki, I.; Alkhasha, A. Effect of Biochar Application on Morpho-Physiological Traits, Yield, and Water Use Efficiency of Tomato Crop under Water Quality and Drought Stress. Plants 2023, 12, 2355. [Google Scholar] [CrossRef] [PubMed]
- Ahmed, A.F.; Yu, H.; Yang, X.; Jiang, W. Deficit Irrigation Affects Growth, Yield, Vitamin C Content, and Irrigation Water Use Efficiency of Hot Pepper Grown in Soilless Culture. HortScience Horts 2014, 49, 722–728. [Google Scholar] [CrossRef]
- CoHort Software. Costat Statistical Package, Version 6.45; CoHort Software: Monterey, CA, USA, 2020. [Google Scholar]
- Ors, S.; Ekinci, M.; Yildirim, E.; Sahin, U.; Turan, M.; Dursun, A. Interactive effects of salinity and drought stress on photosynthetic characteristics and physiology of tomato (Lycopersicon esculentum L.) seedlings. S. Afr. J. Bot. 2021, 137, 335–339. [Google Scholar] [CrossRef]
- Alordzinu, K.; Jiuhao, L.; Appiah, S.; Aasmi, A.; Blege, P.; Afful, E. Water stress affects the physio-morphological development of tomato growth. Afr. J. Agric. Res. 2021, 17, 733–742. [Google Scholar] [CrossRef]
- Liang, G.; Liu, J.; Zhang, J.; Guo, J. Effects of Drought Stress on Photosynthetic and Physiological Parameters of Tomato. J. Am. Soc. Hortic. Sci. 2020, 145, 12–17. [Google Scholar] [CrossRef]
- Liu, J.; Zhang, R.; Zhang, G.; Guo, J.; Dong, Z. Effects of soil drought on photosynthetic traits and antioxidant enzyme activities in Hippophae rhamnoides seedlings. J. For. Res. 2017, 28, 255–263. [Google Scholar] [CrossRef]
- Wong, S.; Cowan, I.; Farquhar, G. Stomatal conductance correlates with photosynthetic capacity. Nature 1979, 282, 424–426. [Google Scholar] [CrossRef]
- Tuzet, A.; Perrier, A.; Leuning, R. A coupled model of stomatal conductance, photosynthesis and transpiration. Plant Cell Environ. 2003, 26, 1097–1116. [Google Scholar] [CrossRef]
- Hao, S.; Cao, H.; Wang, H.; Pan, X. The physiological responses of tomato to water stress and re-water in different growth periods. Sci. Hortic. 2019, 249, 143–154. [Google Scholar] [CrossRef]
- Liu, F.; Jensen, C.R.; Andersen, M.N. Hydraulic and chemical signals in the control of leaf expansion and stomatal conductance in soybean exposed to drought stress. Funct. Plant Biol. 2003, 30, 65–73. [Google Scholar] [CrossRef] [PubMed]
- Parkash, V.; Singh, S. A Review on Potential Plant-Based Water Stress Indicators for Vegetable Crops. Sustainability 2020, 12, 3945. [Google Scholar] [CrossRef]
- Raghavendra, A.S.; Gonugunta, V.K.; Christmann, A.; Grill, E. ABA perception and signalling. Trends Plant Sci. 2010, 15, 395–401. [Google Scholar] [CrossRef]
- Sperry, J.S.; Alder, N.N.; Eastlack, S.E. The effect of reduced hydraulic conductance on stomatal conductance and xylem cavitation. J. Exp. Bot. 1993, 44, 1075–1082. [Google Scholar] [CrossRef]
- Hörtensteiner, S.; Kräutler, B. Chlorophyll breakdown in higher plants. Biochim. Biophys. Acta (BBA) Bioenerg. 2011, 1807, 977–988. [Google Scholar] [CrossRef]
- Tang, X.; Mu, X.; Shao, H.; Wang, H.; Brestic, M. Global plant-responding mechanisms to salt stress: Physiological and molecular levels and implications in biotechnology. Crit. Rev. Biotechnol. 2015, 35, 425–437. [Google Scholar] [CrossRef]
- Kazerooni, E.A.; Maharachchikumbura, S.S.; Al-Sadi, A.M.; Rashid, U.; Kang, S.-M.; Lee, I.-J. Actinomucor elegans and podospora bulbillosa positively improves endurance to water deficit and Salinity Stresses in tomato plants. J. Fungi 2022, 8, 785. [Google Scholar] [CrossRef]
- Gabhi, R.; Basile, L.; Kirk, D.W.; Giorcelli, M.; Tagliaferro, A.; Jia, C.Q. Electrical conductivity of wood biochar monoliths and its dependence on pyrolysis temperature. Biochar 2020, 2, 369–378. [Google Scholar] [CrossRef]
- Al-Harbi, A.R.; Al-Omran, A.M.; Alenazi, M.M.; Wahb-Allah, M.A. Salinity and Deficit Irrigation Influence Tomato Growth, Yield and Water Use Efficiency at Different Developmental Stages. Int. J. Agric. Biol. 2015, 17, 241–250. [Google Scholar]
- Romero-Aranda, R.; Cuartero, J. Plant water uptake and water use efficiency of greenhouse tomato cultivars irrigated with saline water. Agric. Water Manag. 2005, 78, 54–66. [Google Scholar]
- Colimba-Limaico, J.E.; Zubelzu-Minguez, S.; Rodríguez-Sinobas, L. Optimal Irrigation Scheduling for Greenhouse Tomato Crop (Solanum lycopersicum L.) in Ecuador. Agronomy 2022, 12, 1020. [Google Scholar] [CrossRef]
- Wu, Y.; Yan, S.; Fan, J.; Zhang, F.; Xiang, Y.; Zheng, J.; Guo, J. Responses of growth, fruit yield, quality and water productivity of greenhouse tomato to deficit drip irrigation. Sci. Hortic. 2021, 275, 109710. [Google Scholar] [CrossRef]
- Al-Harbi, A.; Wahb-Allah, M.; Al-Omran, A. Effects of salinity and irrigation management on growth and yield of tomato grown under greenhouse conditions. In Proceedings of the International Symposium on Strategies Towards Sustainability of Protected Cultivation in Mild Winter Climate 807, Antalya, Turkey, 7–10 April 2009; pp. 201–206. [Google Scholar]
- Gao, Y.; Shao, G.; Lu, J.; Wang, Y.; Cui, J. Changes in yield of tomato irrigated with salty water varied by soil properties and irrigation practices: A meta-analysis. Arch. Agron. Soil. Sci. 2023, 69, 2300–2313. [Google Scholar] [CrossRef]
- Yang, H.; Du, T.; Mao, X.; Ding, R.; Shukla, M.K. A comprehensive method of evaluating the impact of drought and salt stress on tomato growth and fruit quality based on EPIC growth model. Agric. Water Manag. 2019, 213, 116–127. [Google Scholar] [CrossRef]
- Tura, L.E.; Tolossa, T.T. Systematic review: Effect of irrigation water quality and deficit irrigation on crop yield and water use efficiency. Turk. J. Agric. Food Sci. Technol. 2020, 8, 1201–1210. [Google Scholar] [CrossRef]
- Chand, J.B.; Hewa, G.; Hassanli, A.; Myers, B. Deficit irrigation on tomato production in a greenhouse environment: A review. J. Irrig. Drain. Eng. 2021, 147, 04020041. [Google Scholar] [CrossRef]
- Kirda, C.; Çetin, M.; Dasgan, Y.; Topçu, S.; Kaman, H.; Ekici, B.; Derici, M.R.; Ozguven, A. Yield response of greenhouse grown tomato to partial root drying and conventional deficit irrigation. Agric. Water Manag. 2004, 69, 191–201. [Google Scholar] [CrossRef]
- Wang, C.; Gu, F.; Chen, J.; Yang, H.; Jiang, J.; Du, T.; Zhang, J. Assessing the response of yield and comprehensive fruit quality of tomato grown in greenhouse to deficit irrigation and nitrogen application strategies. Agric. Water Manag. 2015, 161, 9–19. [Google Scholar] [CrossRef]
- Yang, H.; Du, T.; Qiu, R.; Chen, J.; Wang, F.; Li, Y.; Wang, C.; Gao, L.; Kang, S. Improved water use efficiency and fruit quality of greenhouse crops under regulated deficit irrigation in northwest China. Agric. Water Manag. 2017, 179, 193–204. [Google Scholar] [CrossRef]
- Yang, H.; Du, T.; Mao, X.; Shukla, M.K. Modeling tomato evapotranspiration and yield responses to salinity using different macroscopic reduction functions. Vadose Zone J. 2020, 19, e20074. [Google Scholar] [CrossRef]
- Chand, J.; Hewa, G.; Hassanli, A.; Myers, B. Evaluation of Deficit Irrigation and Water Quality on Production and Water Productivity of Tomato in Greenhouse. Agriculture 2020, 10, 297. [Google Scholar] [CrossRef]
- Liu, H.; Li, H.; Ning, H.; Zhang, X.; Li, S.; Pang, J.; Wang, G.; Sun, J. Optimizing irrigation frequency and amount to balance yield, fruit quality and water use efficiency of greenhouse tomato. Agric. Water Manag. 2019, 226, 105787. [Google Scholar] [CrossRef]
- Lipan, L.; Issa-Issa, H.; Moriana, A.; Zurita, N.M.; Galindo, A.; Martín-Palomo, M.J.; Andreu, L.; Carbonell-Barrachina, Á.A.; Hernández, F.; Corell, M. Scheduling regulated deficit irrigation with leaf water potential of cherry tomato in greenhouse and its effect on fruit quality. Agriculture 2021, 11, 669. [Google Scholar] [CrossRef]
- Mitchell, J.; Shennan, C.; Grattan, S.; May, D. Tomato fruit yields and quality under water deficit and salinity. J. Am. Soc. Hortic. Sci. 1991, 116, 215–221. [Google Scholar] [CrossRef]
- Chen, J.; Kang, S.; Du, T.; Guo, P.; Qiu, R.; Chen, R.; Gu, F. Modeling relations of tomato yield and fruit quality with water deficit at different growth stages under greenhouse condition. Agric. Water Manag. 2014, 146, 131–148. [Google Scholar] [CrossRef]
- Guichard, S.; Bertin, N.; Leonardi, C.; Gary, C. Tomato fruit quality in relation to water and carbon fluxes. Agronomie 2001, 21, 385–392. [Google Scholar] [CrossRef]
- Wang, F.; Kang, S.; Du, T.; Li, F.; Qiu, R. Determination of comprehensive quality index for tomato and its response to different irrigation treatments. Agric. Water Manag. 2011, 98, 1228–1238. [Google Scholar] [CrossRef]
- Wu, Z.; Fan, Y.; Qiu, Y.; Hao, X.; Li, S.; Kang, S. Response of yield and quality of greenhouse tomatoes to water and salt stresses and biochar addition in Northwest China. Agric. Water Manag. 2022, 270, 107736. [Google Scholar] [CrossRef]








| Soil Physical Parameters | ||||||||||
|---|---|---|---|---|---|---|---|---|---|---|
| Soil Depth (cm) | ρb (g cm−3) | CaCO3 (%) | OM (%) | Mechanical Analysis (%) | θS% | θFC% | θWP% | |||
| Sand | Silt | Clay | Soil Texture | |||||||
| 0–15 | 1.6 | 15.8 | 0.4 | 88.8 | 5.0 | 6.8 | Loamy sand | 24.4 | 17.5 | 8.7 |
| 15–30 | 1.6 | 19.4 | 0.8 | 83.5 | 8.8 | 8.1 | Loamy sand | 25.2 | 18.3 | 9.9 |
| 30–50 | 1.6 | 23.0 | 1.1 | 78.2 | 12.5 | 9.3 | Sandy loam | 26.0 | 19.0 | 11.0 |
| Chemical Analysis | ||||||||||
| Soil Depth (cm) | pH | ECe (dS m−1) | Cations (meq L−1) | Anions (meq L−1) | SAR | |||||
| Ca+2 | Mg+2 | Na+ | K+ | SO42− | HCO3− | Cl− | ||||
| 0–15 | 7.39 | 4.01 | 8.17 | 2.26 | 18.4 | 14 | 25.38 | 12 | 25.83 | 2.03 |
| 15–30 | 7.36 | 3.94 | 11.17 | 1.8 | 16.0 | 3.9 | 18.23 | 18 | 18.46 | 3.09 |
| 30–50 | 7.32 | 3.87 | 14.17 | 1.31 | 13.6 | 9.9 | 11.08 | 24 | 11.08 | 4.14 |
| Water Sample | pH | EC (dS m−1) | Cations (meq L−1) | Anions (meq L−1) | SAR | |||||
|---|---|---|---|---|---|---|---|---|---|---|
| Ca+2 | Mg+2 | Na+ | K+ | CO3−2 | HCO3− | Cl− | ||||
| FW | 7.10 | 0.90 | 4.20 | 2.4 | 7.3 | 0.13 | 0.00 | 2.00 | 7.20 | 4.02 |
| MW | 7.31 | 2.25 | 3.50 | 2.30 | 19.67 | 3.94 | 0.00 | 2.44 | 19.25 | 12.14 |
| SW | 7.52 | 3.60 | 2.80 | 2.2 | 32.04 | 0.29 | 0.00 | 2.87 | 31.29 | 20.26 |
| Treatments | Pn * (μmol CO2 m−2 s−1) | Tr * (mmol H2O m−2 s−1) | gs * (mmol H2O m−2 s−1) | Chlorophyll ** (SPAD) | |
|---|---|---|---|---|---|
| Quality | FW | 14.83 a | 3.35 a | 1.15 a | 41.88 a |
| MW | 13.25 b | 2.93 b | 0.95 b | 36.02 b | |
| SW | 12.2 c | 2.6 c | 0.89 c | 33.53 c | |
| p-value | 0.000 | 0.000 | 0.000 | 0.000 | |
| LSD | 0.064 | 0.113 | 0.053 | 0.861 | |
| RDI | 100% | 15.64 a | 3.84 a | 1.18 a | 42.02 a |
| 80% | 14.52 b | 3.06 b | 1.03 b | 39.68 b | |
| 60% | 12.99 c | 2.86 c | 0.93 c | 34.76 c | |
| 40% | 10.56 d | 2.07 d | 0.84 d | 32.11 d | |
| p-value | 0.000 | 0.000 | 0.000 | 0.000 | |
| LSD | 0.093 | 0.098 | 0.045 | 0.555 | |
| Quality × RDI | p-value | 0.000 | 0.079 | 0.032 | 0.000 |
| LSD | 0.162 | 0.169 | 0.078 | 0.961 | |
| Treatments | Leaf Area (cm2) | Plant Length (cm) | Stem Diameter (mm) | Stem Fresh Weight (g) | Stem Dry Weight (g) | |
|---|---|---|---|---|---|---|
| Quality | FW | 1227.38 a | 441.59 a | 9.28 a | 417.83 a | 44.4 a |
| MW | 1195.2 a | 412.16 b | 7.73 b | 353.14 b | 40.85 b | |
| SW | 1151.38a | 364.83 c | 7.4 c | 290.79 c | 38.15 c | |
| p-value | 0.132 | 0.000 | 0.000 | 0.000 | 0.000 | |
| LSD | 79.989 | 6.115 | 0.113 | 3.677 | 0.717 | |
| RDI | 100% | 1431.01 a | 482.59 a | 9.59 a | 469.58 a | 48.11 a |
| 80% | 1293.84 b | 428.6 b | 8.64 b | 341.94 b | 41.97 b | |
| 60% | 1074.84 c | 390.56 c | 7.56 c | 336.88 b | 39.83 c | |
| 40% | 965.59 d | 323.03 d | 6.74 d | 267.27 c | 34.63 d | |
| p-value | 0.000 | 0.000 | 0.000 | 0.000 | 0.000 | |
| LSD | 55.889 | 5.911 | 0.138 | 7.153 | 0.715 | |
| Quality × RDI | p-value | 0.920 | 0.000 | 0.000 | 0.000 | 0.067 |
| LSD | 96.803 | 10.239 | 0.238 | 12.390 | 1.239 | |
| Treatments | Y (t ha−1) | YR (%) | WP (kg m−3) | IWP (%) | |
|---|---|---|---|---|---|
| Quality | FW | 102.43 a | 0.00 | 20.49 a | 0.00 |
| MW | 92.05 b | 10.13 | 18.73 b | −9.40 | |
| SW | 76.9 c | 24.92 | 15.71 c | −30.43 | |
| p-value | 0.000 | - | 0.000 | - | |
| LSD | 2.501 | - | 0.393 | - | |
| RDI | 100% | 105.34 a | 0.00 | 14.07 d | 0.00 |
| 80% | 98.89 b | 6.12 | 16.56 c | 15.04 | |
| 60% | 90.92 c | 13.69 | 20.32 b | 30.76 | |
| 40% | 66.69 d | 36.69 | 22.3 a | 36.91 | |
| p-value | 0.000 | - | 0.000 | - | |
| LSD | 1.581 | - | 0.340 | - | |
| Quality × RDI | p-value | 0.000 | - | 0.000 | - |
| LSD | 2.738 | - | 2.499 | - | |
| Quality of Water (S) | Equations | R² |
|---|---|---|
| Quadratic polynomial function (one independent variable; W) | ||
| FW = 0.9 dS m–1 | 0.94 | |
| MW = 2.25 dS m–1 | 0.94 | |
| SW = 3.6 dS m–1 | 0.94 | |
| 2nd-order polynomial function (two independent variables; W and S) | ||
| 0.95 | ||
| Treatments | TA (% Citric Acid) | VC (mg 100 g−1) | TSS (%) | |
|---|---|---|---|---|
| Quality | FW | 4.22c | 30.42c | 4.13c |
| MW | 4.49b | 32.83b | 4.33b | |
| SW | 4.9a | 33.67a | 4.77a | |
| p-value | 0.000 | 0.000 | 0.000 | |
| LSD | 0.078 | 0.274 | 0.054 | |
| RDI | 100% | 3.89d | 29.31d | 3.85d |
| 80% | 4.41c | 32.26c | 4.08c | |
| 60% | 4.54b | 33.43b | 4.75b | |
| 40% | 5.31a | 34.22a | 4.96a | |
| p-value | 0.000 | 0.000 | 0.000 | |
| LSD | 0.071 | 0.293 | 0.084 | |
| Quality × RDI | p-value | 0.000 | 0.118 | 0.009 |
| LSD | 0.124 | 0.507 | 0.146 | |
Disclaimer/Publisher’s Note: The statements, opinions and data contained in all publications are solely those of the individual author(s) and contributor(s) and not of MDPI and/or the editor(s). MDPI and/or the editor(s) disclaim responsibility for any injury to people or property resulting from any ideas, methods, instructions or products referred to in the content. |
© 2023 by the authors. Licensee MDPI, Basel, Switzerland. This article is an open access article distributed under the terms and conditions of the Creative Commons Attribution (CC BY) license (https://creativecommons.org/licenses/by/4.0/).
Share and Cite
Alshami, A.K.; El-Shafei, A.; Al-Omran, A.M.; Alghamdi, A.G.; Louki, I.; Alkhasha, A. Responses of Tomato Crop and Water Productivity to Deficit Irrigation Strategies and Salinity Stress in Greenhouse. Agronomy 2023, 13, 3016. https://doi.org/10.3390/agronomy13123016
Alshami AK, El-Shafei A, Al-Omran AM, Alghamdi AG, Louki I, Alkhasha A. Responses of Tomato Crop and Water Productivity to Deficit Irrigation Strategies and Salinity Stress in Greenhouse. Agronomy. 2023; 13(12):3016. https://doi.org/10.3390/agronomy13123016
Chicago/Turabian StyleAlshami, Akram K., Ahmed El-Shafei, Abdulrasoul M. Al-Omran, Abdulaziz G. Alghamdi, Ibrahim Louki, and Arafat Alkhasha. 2023. "Responses of Tomato Crop and Water Productivity to Deficit Irrigation Strategies and Salinity Stress in Greenhouse" Agronomy 13, no. 12: 3016. https://doi.org/10.3390/agronomy13123016
APA StyleAlshami, A. K., El-Shafei, A., Al-Omran, A. M., Alghamdi, A. G., Louki, I., & Alkhasha, A. (2023). Responses of Tomato Crop and Water Productivity to Deficit Irrigation Strategies and Salinity Stress in Greenhouse. Agronomy, 13(12), 3016. https://doi.org/10.3390/agronomy13123016

