Characterization of Three Sugarcane Varieties as Agro-Residue for Bioenergy Use in the Ecuadorian Andes
Abstract
:1. Introduction
2. Materials and Methods
2.1. Study Area
2.2. Plant Morphology
2.3. Moisture Determination and Sample Preparation
2.4. Higher Heating Value
2.5. Thermogravimetric and Proximal Analysis
2.6. Elemental Analysis
2.7. Statistical Analysis
3. Results and Discussion
3.1. Morphology
3.2. Residue Production Yields
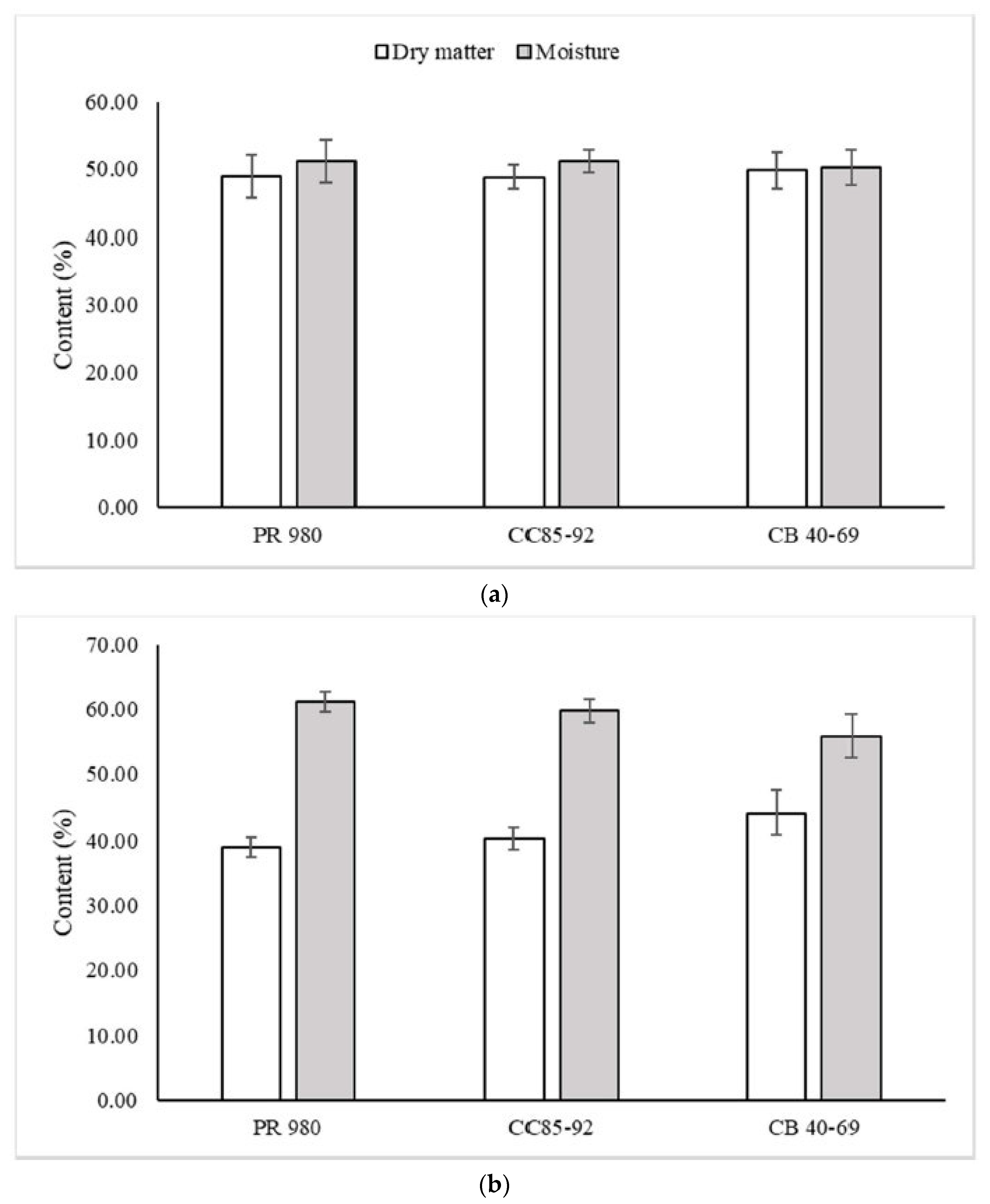
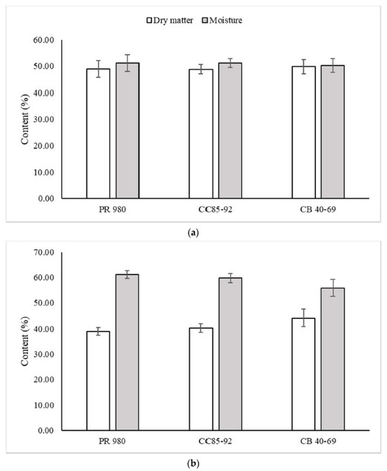
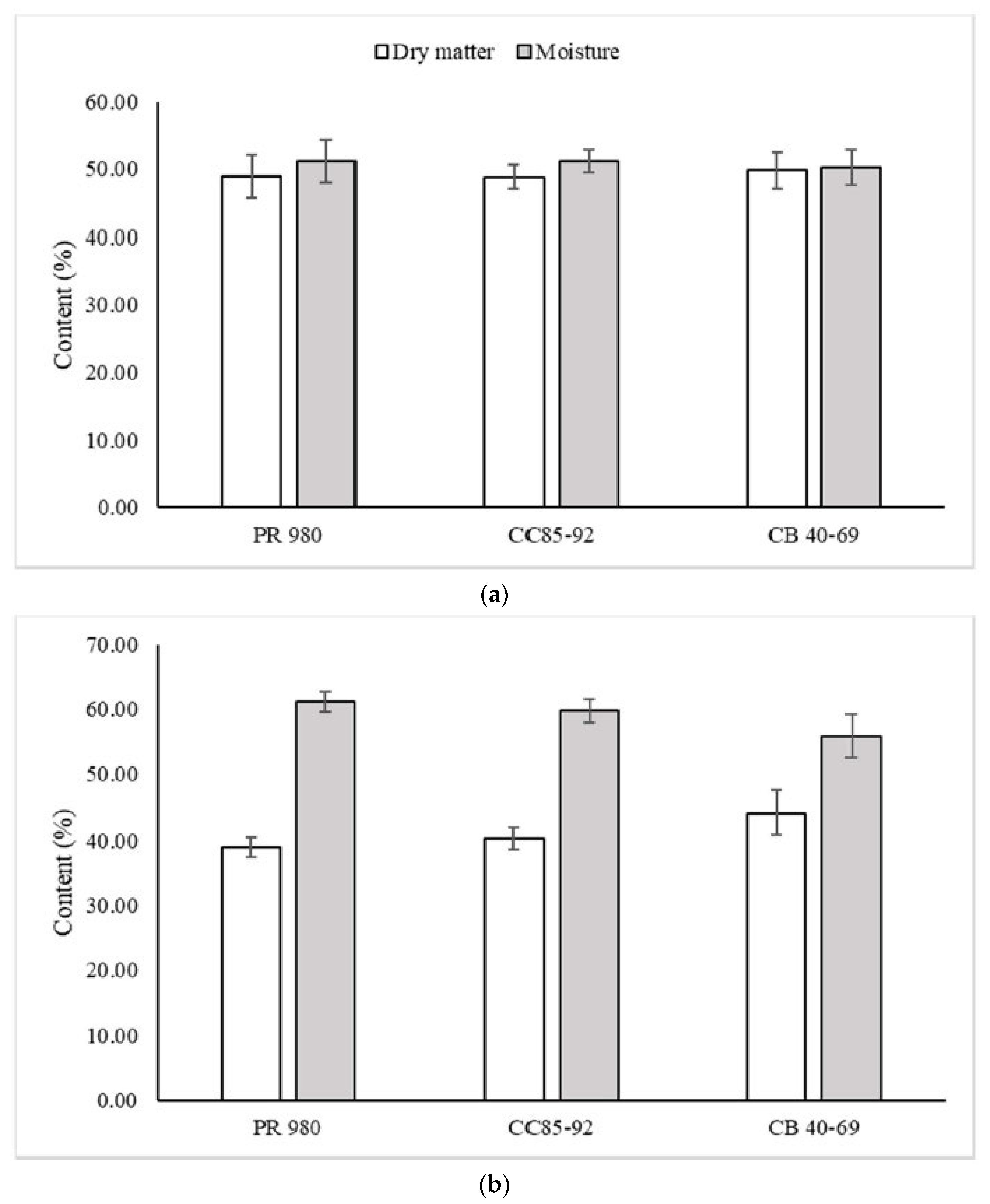
3.3. Moisture Content
3.4. Higher Heat Value
3.5. Elemental Composition of Sugarcane Bagasse
3.6. Proximal Composition of Bagasse
3.7. Structural Composition of Sugarcane Bagasse
4. Conclusions
Author Contributions
Funding
Data Availability Statement
Acknowledgments
Conflicts of Interest
References
- Muscat, A.; De Olde, E.M.; De Boer, I.J.M.; Ripoll-Bosch, R. The battle for biomass: A systematic review of food-feed-fuel competition. Glob. Food Secur. 2020, 25, 100330. [Google Scholar] [CrossRef]
- Zadeh, Z.; Abdulkhani, A.; Aboelazayem, O.; Saha, B. Recent Insights into Lignocellulosic Biomass Pyrolysis: A Critical Review on Pretreatment, Characterization, and Products Upgrading. Processes 2020, 8, 799. [Google Scholar] [CrossRef]
- García, J.; Machimura, T.; Matsui, T. Optimizing Plant Allocation for Bioethanol Production from Agro-residues Considering CO2 Emission and Energy Demand–Supply Balance: A Case Study in Ecuador. Waste Biomass Valorization 2012, 3, 435–442. [Google Scholar] [CrossRef]
- Combustible Renewables and Waste (% of Total Energy). Available online: https://data.worldbank.org/indicator/EG.USE.CRNW.ZS (accessed on 4 July 2023).
- Cardona, C.; Danches, O.; Montoya, I.; Quintero, J. Producción de etanol carburante. Materias primas convencionales Ingeniería de Recursos Naturales y del Ambiente 2005, 2, 47–55. [Google Scholar]
- Auditoría Ambiental Inicial (Estudio de Impacto Ambiental Expost) y Plan de Manejo Ambiental Del “Ingenio Azucarero Del Norte Compañía de Economía Mixta (IANCEM)”. Available online: https://vdocuments.net/auditora-ambiental-inicial-ingenio-de-la-importancia-de-impactos-ambientales.html (accessed on 6 May 2016).
- Charis, G.; Danha, G.; Muzenda, E. Characterizations of Biomasses for Subsequent Thermochemical Conversion: A Comparative Study of Pine Sawdust and Acacia Tortilis. Processes 2020, 8, 546. [Google Scholar] [CrossRef]
- Montoya, J.; Chejne, F.; Castillo, E.; Acero, J.; Gómez, C.; Sarmiento, J.; Valdés, C.; Garzón, L.; Osorio, J.; Tirado, D.; et al. Pirólisis Rápido de Biomasa, 1st ed.; ECOPETROL: Medellín, Colombia, 2014; pp. 45–78. [Google Scholar]
- Saldarriaga, J.; Aguado, R.; Pablos, A.; Amutio, M.; Olazar, M.; Bilbao, J. Fast characterization of biomass fuels by thermogravimetric analysis (TGA). Fuel 2015, 140, 744–751. [Google Scholar] [CrossRef]
- Becerra, A.; Buitrago, A.; Pinto, P. Sostenibilidad del aprovechamiento del bagazo de caña de azúcar en el Valle del Cauca. Ing. Solidar. 2016, 12, 133–149. [Google Scholar] [CrossRef]
- Yang, B.; Dai, Z.; Ding, S.; Wyman, C. Enzymatic hydrolysis of cellulosic biomass. Biofuels 2014, 2, 421–449. [Google Scholar] [CrossRef]
- Castaño, P.; Mejía, C. Producción de etanol a partir de almidón de yuca utilizando la estrategia de proceso sacarificación-fermentación simultáneas (ssf). VITAE 2008, 15, 251–258. [Google Scholar]
- Urgiles, N.; Cofre, D.; Loján, P.; Maita, J.; Alvarez, P.; Báez, S.; Tamargo, E.; Eguiguren, P.; Ojeda, L.; Aguirre, N. Composición florística, estructura y estimación de la biomasa vegetal de los páramos de Cajanuma, parque Nacional Podocarpus. Bosques Latid. Cero 2018, 8, 44–53. [Google Scholar]
- Muñoz, F.; Cancino, J.; Rodríguez, R.; Olave, R. Evaluación de crecimiento, rendimiento y calorimetría de la biomasa de Miscanthus x giganteus (Poaceae) establecimiento en el centro-sur de Chile. FCA UNCUYO 2016, 50, 47–60. [Google Scholar]
- Fonseca, S.; Rodríguez, H.; Camargo, G. Caracterización de residuos de maíz del municipio de Ventaquemada. Av. Cienc. Ing. 2017, 8, 29–36. [Google Scholar]
- Rueda, Y.; Tannous, K. Análisis cinético de la descomposición térmica de biomasas aplicando un esquema de reacciones paralelas independientes. UIS Ing. 2017, 16, 119–128. [Google Scholar] [CrossRef]
- Manals, E.; Penedo, M.; Salas, D. Caracterización del bagazo de caña como biomasa vegetal. RTQ 2015, 35, 244–255. [Google Scholar]
- Del Toro, F. Characterization of sugarcane varieties in the province of Misiones. Argent. Feijóo 2011, 57–60. [Google Scholar]
- Ramírez, J.; Insuasty, O.; Murcia, M. Varieties of sugarcane used in the sugarcane agroindustry in Colombia 2014. Corpoica 2014, 59–61. [Google Scholar]
- Dariva, T.; Da Silva, M.; Marchezan, E. Competição de cultivares de cana-de-açücar em Santa Maria, RS. Pesq. Agropec. Bras. 1986, 21, 515–522. [Google Scholar]
- Pimentel, F.; Pompilio, C. Novas Variedades de Cana-de-Açúcar. An. Esc. Super. Agric. Luiz Queiroz 1959, 16, 200–210. [Google Scholar]
- Secalla, A.; Olivera, H. Variedades de cana-de-açúcar VII—Série de ensaios realizado no período de 1959 a 1962. Bragantia 1967, 26, 198–212. [Google Scholar] [CrossRef]
- Kumar, O. Exergy analysis of a grid-connected bagasse-based cogeneration plant of sugar factory and exhaust heat utilization for running a cold storage. Renew. Energy 2019, 143, 149–163. [Google Scholar]
- Onésippe, C.; Bilba, K.; Zaknoune, A.; Arsène, M. Auto-coherent homogenization applied to the assessment of thermal conductivity: Case of SCB bagasse fibers and moisture content effect. Build. Eng. 2020, 33, 101537. [Google Scholar] [CrossRef]
- Chen, C.; Huang, Y.; Yang, S.; Qin, S.; Chen, F. Effect of oxygen enriched atmospheres on combustion of bagasse, coal and theirs blends by thermogravimetric análisis. Environ. Chem. Eng. 2020, 8, 104398. [Google Scholar] [CrossRef]
- Carriel, C.; Moreirab, R.; Cruz, R.; Richtera, D.; Funkea, A.; Raffelta, K.; Grunwaldta, J.; Dahmen, N. From agriculture residue to upgraded product: The thermochemical conversion of sugarcane bagasse for fuel and chemical products. Fuel Process. Technol. 2020, 197, 106199. [Google Scholar]
- Manyuchi, M.; Mbohwa, C.; Muzenda, E. Evaluating the Usability of Bio Coal from SCB Bagasse as a Solid Fuel. Procedia Manuf. 2019, 33, 516–521. [Google Scholar] [CrossRef]
- López, A.; Neri, F.; Sandoval, R.; Marques da Silva, M.; Arias del Campo, E.; Salinas, J.; Escobedo, M.; Collins-Martínez, V. Low temperature SCB bagasse pyrolysis for the production of high purity hydrogen through steam reforming and CO2 capture. Hydrog. Energy 2013, 28, 12580–12588. [Google Scholar] [CrossRef]
- Moreira, B.; Viana, R.; Magalhães, A.; Caraschi, J.; Zied, D.; Dias, E.; Rinker, D. Production of Pleurotus ostreatus var. florida on briquettes and recycling its spent substrate as briquettes for fuel grade biosolids. Clean. Prod. 2020, 274, 123919. [Google Scholar] [CrossRef]
- Espírito Santo, M.; Brito, E.; Gontijo, F.; de Azevedo, E.; Cunha, G.P.; Novotny, E.; Oliveira, V.; Kumar, A.; Silveira, M.; Polikarpov, I. Multifaceted characterization of sugarcane bagasse under different steam explosion severity conditions leading to distinct enzymatic hydrolysis yields. Ind. Crops Prod. 2019, 139, 111542. [Google Scholar]
- Liu, Z.; Quek, A.; Balasubramanian, R. Preparation and characterization of fuel pellets from woody biomass, agro-residues and their corresponding hydrochars. Appl. Energy 2014, 113, 1315–1322. [Google Scholar] [CrossRef]






| Characteristic | Variety | ||
|---|---|---|---|
| CB 40-69 (n = 30) | CC 85-92 (n = 30) | PR 980 (n = 30) | |
| BL—base width (cm) * | 3.70 ± 0.38 b | 4.80 ± 0.12 a | 3.89 ± 0.65 b |
| BL—medium width (cm) * | 5.42 ± 0.51 b | 4.49 ± 0.14 c | 7.04 ± 0.66 a |
| BL—tip width (cm) ** | 1.40 ± 0.80 c | 2.39 ± 0.39 b | 3.45 ± 1.69 a |
| BL—length width (m) | 1.51 ± 0.20 a | 1.20 ± 0.08 c | 1.32 ± 0.09 b |
| ML—base width (cm) * | 3.67 ± 0.44 b | 4.81 ± 0.12 a | 3.76 ± 0.79 b |
| ML—medium width (cm) * | 5.46 ± 0.47 b | 4.51 ± 0.22 c | 6.94 ± 0.70 a |
| ML—tip width (cm) ** | 1.39 ± 0.25 c | 2.38 ± 0.43 b | 3.35 ± 1.63 a |
| ML—length (m) | 1.52 ± 0.20 a | 1.19 ± 0.04 c | 1.32 ± 0.08 b |
| HL—base width (cm) * | 3.73 ± 0.40 b | 4.78 ± 0.12 a | 3.71 ± 0.66 b |
| HL—medium width (cm) | 5.46 ± 0.42 b | 4.53 ± 0.21 c | 7.00 ± 0.73 a |
| HL—tip width (cm) | 1.38 ± 0.16 c | 2.38 ± 0.60 b | 3.22 ± 1.51 a |
| HL—length (m) | 1.51 ± 0.09 a | 1.28 ± 0.29 b | 1.30 ± 0.09 b |
| Number of leaves | 36.57 ± 1.89 a | 31.93 ± 3.82 b | 31.43 ± 4.51 b |
| Stem base diameter (mm) * | 38.81 ± 5.92 a | 28.32 ± 5.88 b | 30.69 ± 3.20 b |
| Stem medium diameter (mm) * | 37.05 ± 3.77 a | 26.20 ± 5.65 c | 31.02 ± 3.38 b |
| Stem high diameter (mm) * | 35.04 ± 2.70 a | 23.23 ± 5.67 c | 29.38 ± 3.35 b |
| Stem length (m) | 2.75 ± 0.22 a | 2.30 ± 0.24 b | 2.60 ± 0.35 a |
| Element | PR 980 | CC 85-92 | CB 40-69 |
|---|---|---|---|
| N (%) | 0.23 ± 0.02 a | 0.21 ± 0.06 a | 0.45 ± 0.19 a |
| C (%) | 44.38 ± 0.89 a | 44.79 ± 0.60 a | 42.17 ± 1,24 b |
| H (%) | 8.85 ± 0.92 a | 9.40 ± 1.50 a | 7.96 ± 0.12 a |
| S (%) | 0.23 ± 0.09 b | 0.17 ± 0.01 b | 0.43 ± 0.03 a |
| C:N | 193.60 ± 12.82 a | 220.00 ± 59.10 a | 106.49 ± 44.47 a |
| Variety | PR 980 | CC 85-92 | CB 40-69 |
|---|---|---|---|
| Moisture (%) | 5.20 ± 0.27 ab | 4.63 ± 0.28 b | 5.81 ± 0.37 a |
| Volatiles (%) | 78.62 ± 0.27 a | 80.35 ± 1.04 a | 82.68 ± 3.11 a |
| Fixed carbon (%) | 14.57 ± 0.53 a | 14.82 ± 0.67 a | 12.76 ± 2.10 a |
| Ashes (%) | 7.74 ± 0.56 a | 5.44 ± 0.35 b | 5.43 ± 0.25 b |
Disclaimer/Publisher’s Note: The statements, opinions and data contained in all publications are solely those of the individual author(s) and contributor(s) and not of MDPI and/or the editor(s). MDPI and/or the editor(s) disclaim responsibility for any injury to people or property resulting from any ideas, methods, instructions or products referred to in the content. |
© 2023 by the authors. Licensee MDPI, Basel, Switzerland. This article is an open access article distributed under the terms and conditions of the Creative Commons Attribution (CC BY) license (https://creativecommons.org/licenses/by/4.0/).
Share and Cite
García-Montoya, J.; Quinteros, O.; Chimbo-Yépez, G.; Álvarez, L.; Velázquez-Martí, B. Characterization of Three Sugarcane Varieties as Agro-Residue for Bioenergy Use in the Ecuadorian Andes. Agronomy 2023, 13, 2967. https://doi.org/10.3390/agronomy13122967
García-Montoya J, Quinteros O, Chimbo-Yépez G, Álvarez L, Velázquez-Martí B. Characterization of Three Sugarcane Varieties as Agro-Residue for Bioenergy Use in the Ecuadorian Andes. Agronomy. 2023; 13(12):2967. https://doi.org/10.3390/agronomy13122967
Chicago/Turabian StyleGarcía-Montoya, Juan, Omar Quinteros, Gabriel Chimbo-Yépez, Luis Álvarez, and Borja Velázquez-Martí. 2023. "Characterization of Three Sugarcane Varieties as Agro-Residue for Bioenergy Use in the Ecuadorian Andes" Agronomy 13, no. 12: 2967. https://doi.org/10.3390/agronomy13122967
APA StyleGarcía-Montoya, J., Quinteros, O., Chimbo-Yépez, G., Álvarez, L., & Velázquez-Martí, B. (2023). Characterization of Three Sugarcane Varieties as Agro-Residue for Bioenergy Use in the Ecuadorian Andes. Agronomy, 13(12), 2967. https://doi.org/10.3390/agronomy13122967

