Abstract
Brown rot caused by Monilinia spp. is one of the main causes of pre- and postharvest losses in stone and pome fruit production. The use of beneficial microorganisms is considered one of the most promising, safe and effective alternative methods for controlling these pathogens. This study aimed to investigate the antagonistic potential of 33 Bacillus spp. strains, in order to identify the best candidate for brown rot biocontrol. Strains identified as Bacillus amyloliquefaciens B-241 and Bacillus subtilis B-313 and B-358 were chosen for further ex situ studies on detached apple fruit. The efficacy of B-241 (87.1–93.7%) did not differ significantly from a commercially available synthetic fungicide (p > 0.05). The putative mode of action of B. amyloliquefaciens B-241 against Monilinia species is competition for nutrients and antibiosis. The ethyl acetate extract of the strain, applied at 5 and 12.5 mg/mL, was bioactive in vitro and ex situ. A HPLC analysis confirmed the presence of surfactin and bacillomycin D in the extract. However, before developing a shelf-stable product and commercial production, the spectrum and efficacy on a larger scale of the B-241 strain should be determined, and its efficacy in combination with commercial biofungicides and fungicides tested in vivo.
1. Introduction
Monilinia species are considered one of the main causal agents of losses in pome and stone fruit production during the pre- and postharvest stages of distribution and consumption. The most economically important species, Monilinia laxa (Aderhold and Ruhland) Honey, Monilinia fructigena (Aderhold and Ruhland) Honey, and Monilinia fructicola (G. Winter) Honey, induce indistinguishable symptoms on blossoms, twigs, branches and fruits of numerous susceptible host plants including apple, pear, quince, sweet cherry, sour cherry, apricot, plum, peach, nectarine, almond, etc. Estimates of losses usually reach 30% during the growing season [1], while postharvest losses, due to latent infections, may be more severe, exceeding 80% [2,3].
Preharvest losses can be managed using several available strategic approaches, including sanitation and the use of synthetic fungicides, whereas managing postharvest losses is more challenging. Chemical control of postharvest losses by fungicide application in the orchard during the growing season is still the most widely used method. However, interest in using more sustainable and environmentally friendly alternatives has been increasing in the last few decades.
The application of beneficial microorganisms is thought to be one of the safest, the most promising and effective alternative methods for controlling postharvest pathogens, including Monilinia species. Over the past 30 years, great progress has been made in the development of microbial biocontrol products intended for managing postharvest pathogens, such as Botrytis cinerea, Fusarium sambucinum, Penicillium digitatum, Penicillium expansum, Penicillium italicum, Rhizopus stolonifer, as well as M. fructicola [4,5]. Antagonistic microorganisms used as biocontrol agents (BCAs) against postharvest pathogens include many yeast and bacterial species. A relatively high number of bacterial strains have been utilized as biopesticides, and a vast majority of them belong to the genera Bacillus, Pseudomonas, and Agrobacterium. In particular, numerous microbial antagonists from different groups of microorganisms and different genera have been studied against Monilinia species: Aureobasidium pullulans, Bacillus subtilis, Cryptococcus laurentii, Pseudomonas cepacia, Pseudomonas corrugate, Penicillium frequentans, and Pseudomonas syringae [4]. Species in the genus Bacillus, soil-inhabiting bacteria that form extremely resistant spores with high heat tolerance, are considered safe microorganisms with a great ability to synthesize antimicrobial substances that may be used in agriculture to control pre- and postharvest diseases of fruits and vegetables [6].
Although numerous biocontrol agents have been identified and investigated in semi-commercial and commercial laboratory experiments [7], only a few biological control agents have reached the market. In practice, the acceptance and extensive use of microbial bioproducts is still limited [5]. There are only several examples of successfully commercialized biocontrol products in Europe, such as BioSave (JET Harvest, Longwood, FL, USA), Nexy (Leasafre, Lille, France), Serenade (Bayer, Leverkusen, Germany) and Shemer (Bayer, Leverkusen, Germany) [5]. In the light of increasing public pressure for minimizing the amount of synthetic pesticide use and for the development of safer crop protection alternatives, searching for new indigenous biologically active strains remains vitally important in agricultural research.
The aims of this study were: (1) to investigate the antagonistic potential of 33 indigenous Bacillus spp. strains against the causal agents of brown rot of pome and stone fruits (M. laxa, M. fructigena and M. fructicola) in order to identify the best biocontrol candidate; (2) to determine the mode(s) of action of the most promising biocontrol strains; (3) to test the effectiveness of the chosen Bacillus spp. strains against fruit brown rot pathogens in detached apple fruits ex situ.
2. Materials and Methods
2.1. Bacterial Antagonists
In total, 33 strains of Bacillus spp. from a collection of the Institute of Pesticides and Environmental Protection, isolated from composting material (straw, chicken manure) and compost at different stages of composting, with proven antagonistic activity against some mycopathogenic fungi and plant pathogenic bacteria [8,9] were used: Bacillus subtilis (strains B-106, B-107, B-108, B-109, B-110, B-111, B-112, B-124, B-126, B-128, B-233, B-253, B-270, B-308, B-309, B-310, B-313, B-319, B-322, B-325, B-338, B-348, B-358), Bacillus pumilus (B-138, B-217, B-254, B-256, B-257, B-335), Bacillus amyloliquefaciens (B-129, B-241, B-268), and Bacillus licheniformis (B-276). Bacterial isolates were maintained either in nutrient broth (NB) with 20% glycerol at −20 °C or on nutrient agar plates (NA) at 4 °C until use. Bacterial suspensions were prepared by inoculation of a single colony into fresh NB medium and incubation overnight at 28 °C on a horizontal rotary shaker at 240 rpm.
2.2. Fungal Isolates
To determine the antifungal activity of the tested Bacillus spp. strains, three isolates of Monilinia species (from the collection of isolates of the Institute of Pesticides and Environmental Protection) were used as test organisms: M. fructicola (isolate NPGM), M. laxa (isolate TPGR) and M. fructigena (isolate 13/3/18). The isolates were previously identified, based on morphological and molecular characteristics [10]. Stock cultures of the isolates were maintained on potato dextrose agar (PDA) at 4 °C. The working cultures were obtained by inoculating PDA plates with stock agar plugs containing the mycelium and incubating at 22 °C for seven days.
2.3. In Vitro Assessment of Bacillus spp. Antagonistic Activity towards Monilinia spp.
Preliminary evaluation of the antagonistic activity of Bacillus strains against Monilinia spp. was conducted in a direct confrontation test in vitro. Isolates of the three species of pathogenic fungi used in the tests were grown for seven days at 22 °C on PDA, while bacterial strains were grown on NA medium at 28 °C for 24 h. Agar discs (10 mm) of each tested pathogen were placed on the PDA plates, 1 cm from the plate edge. An overnight culture of each antagonistic bacterial strain was streaked 3 cm away from the opposite edge of the same plate. Plates inoculated with only fungal pathogens were used as controls. The experiment was repeated once with four replicates per treatment. After a seven-day incubation period at 24 °C, the fungal colony diameter was measured in the treated (R1) and control plates (KR), and the percentage of mycelial growth inhibition (PGI) was calculated according to the formula [11]:
PGI(%) = (KR − R1)/KR × 100
After the screening tests, three Bacillus spp. strains (B. amyloliquefaciens strain B-241 and B. subtilis strains B-313 and 358) with the highest antifungal activity were selected for in-depth testing of their antagonistic activity against the three fungal isolates (M. laxa, M. fructigena and M. fructicola) by agar well diffusion method. Bacterial suspensions were prepared in NB at 28 °C on a rotary shaker at 240 rpm for 96 h. The concentration of viable bacterial cells was expressed in colony forming units (CFU) per ml and confirmed by dilution plating on NA at 28 °C for 3 days. The concentration of bacterial suspension for further experiments was adjusted to 1 × 108 CFU/mL. Fungal colonies were grown on MALT at 22 °C for seven days, and conidia of the isolates were collected by flooding with 10 mL of sterile distilled water with one added drop of Tween 20. For the antagonistic experiment, 90-mm Petri plates with two layers of PDA medium were used. The first layer consisted of 2% PDA (20 mL), while the second layer was 1.2% PDA (10 mL) containing a previously prepared suspension of the conidia of each Monilinia spp. isolate adjusted to a final concentration of 105 conidia/mL. One 10-mm-well per plate was formed in the centre, and 100 µL of the prepared suspension of antagonistic bacterial strain was added into each well. Antagonistic activity was tested in four replicates against each fungal isolate. As a control treatment, 100 µL of sterile, distilled water was used. The whole experiment was conducted twice. After 10-day incubation at 24 °C, the antagonistic activity was assessed by measuring the diameter of inhibition zones around the wells and presented in millimetres (mm).
2.4. Investigation of Bacillus spp. Modes of Action
2.4.1. Molecular Detection of Genes Involved in Lipopeptide Synthesis in Bacillus spp. Strains
Screening for four genes involved in lipopeptide synthesis was performed for 33 Bacillus spp. strains. Their DNA was extracted as previously described [8,9].
Amplification of 675 bp long product of sfp gene encoding 4′-phosphopantetheinyl transferase, essential for surfactin synthesis, was carried out using P17 (5′-ATGAAGATTTACGGAATTTA-3′) and P18 (5′-TTATAAAAGCTCTTCGTACG-3′) primers. The PCR reaction mixture consisted of 17.15 µL of PCR water, 2.5 µL KAPA Taq Buffer, 1.75 µL MgCl2 (25 mM), 0.5 µL dNTP Mix (10 mM), and 0.1 µL KAPA Taq DNA Polymerase (5 U/µL), 1 µL of each primer (10 µM) and 1 µL of DNA [12]. Amplification was carried out following the program: initial denaturation at 94 °C for 2 min; 10 autoextension cycles of denaturation at 94 °C for 2 min, annealing at 45 °C for 15 s and elongation at 68 °C for 3 min; 25 cycles of denaturation, annealing and elongation as previously described; and final elongation at 72 °C for 10 min. Detection of a 2000 bp long fragment of the iturin operon (ituA and ituB genes with the intergenic region) was performed using ITUP1-F (5′-AGCTTAGGGAACAATTGTCATCGGGGCTTC-3′) and ITUP1-R (5′-TCAGATAGGCCGCCATATCGGAATGATTCG-3′) primers [13]. The PCR reaction mixture was as described for the sfp amplification, but a different primer pair was used. The PCR program was as follows: initial denaturation at 96 °C for 5 min; 30 cycles of denaturation at 96 °C for 30 s, annealing at 60 °C for 30 s and elongation at 72 °C for 2 min and 30 s; final elongation at 72 °C for 10 min.
Amplification of bamC gene encoding bacillomycin D synthetase (875 bp) was performed using BACC1-F (5′-GAAGGACACGGCAGAGAGTC-3′) and BACC1-R (5′-CGCTGATGACTGTTCATGCT-3′) primers. The PCR reaction mixture was the same as for previous amplifications except for the concentration of primers, which was 20 µM [14]. Amplification was carried out under the following conditions: initial denaturation at 94 °C for 3 min; 35 cycles of denaturation at 94 °C for 1 min, annealing at 60 °C for 30 s and elongation at 72 °C for 1 min and 45 s; and final elongation at 72 °C for 6 min.
The fenD gene for fengycin synthetase (964 bp) was amplified using FEND1-F (5′-TTTGGCAGCAGGAGAAGTT-3′) and FEND1-R (5′-GCTGTCCGTTCTGCTTTTTC-3′) primers. The PCR reaction mixture consisted of: 16.9 µL of PCR water, 2.5 µL KAPA Taq Buffer, 2 µL MgCl2 (25 mM), 0.5 µL dNTP Mix (10 mM), 0.1 µL KAPA Taq DNA Polymerase (5 U/µL), 1 µL of each primer (20 µM) and 1 µL of DNA [14]. The PCR program contained the following stages: initial denaturation at 94 °C for 3 min; 40 cycles of denaturation at 94 °C for 1 min, annealing at 60 °C for 1 min and elongation at 72 °C for 1 min; and final elongation at 72 °C for 10 min.
PCR products were separated by electrophoresis on 1% agarose gel in 0.5 × TBE buffer (45 mM TRIS, 45 mM boric acid, 1 mM EDTA pH 8.3) by adding ethidium-bromide (0.4 µg/mL), at a constant voltage of 3 V/cm for 1.5 h. PCR products were visualized by a UV transilluminator (LKB Bromma, Stockholm, Sweden). The size of amplified DNA fragments was determined by comparison to 100 bp (Nippon Genetics, Düren, Germany) and 1 kb (Invitrogen-Thermo Fisher Scientific, Waltham, MA, USA) DNA ladders.
2.4.2. Inhibitory Activity of Bacillus spp. Cultures and Supernatants against Monilinia fructicola
Bacterial suspensions of the three chosen Bacillus spp. strains (B. amyloliquefaciens B241 and B. subtilis B-313 and B-358) with the highest antimicrobial activity towards all three fungal isolates were prepared as five screening treatments to evaluate their modes of action against the M. fructicola isolate, used as a fungal indicator. Antimicrobial activity was tested using the agar well diffusion method as described above. The treatments (T) included: (1) whole bacterial culture—WBC (prepared by culturing bacterial strains for 96 h in nutrient broth (NB) at 28 °C on rotary shaker at 240 rpm); (2) cell-free supernatant—CFS (prepared by centrifugation of WBC at 12,000 rpm for 10 min at 4 °C and filtration of the supernatant through 0.20 µm filter); (3) heated cell-free supernatant—CFS100 °C (prepared by heating the CFS at 100 °C for 10 min); (4) double-concentrated bacterial cells—2 × BC (prepared by centrifugation of 2 mL of WBC at 12,000 rpm for 10 min at 4 °C and dissolving the precipitated cells in 1 mL of sterile distilled water); (5) ten-fold concentrated cell-free supernatant—10 × CFS (prepared by evaporation of 10 mL of CFS at 42 °C till dry and dissolving the residue in 1 mL of sterile distilled water).
The experiment was conducted twice. Antagonistic activity was assessed after incubation at 24 °C for 10 days by measuring the diameter of the inhibition zone of mycelial growth (mm).
2.4.3. Ethyl Acetate Extraction of Lipopeptides from Bacillus amyloliquefaciens B-241 Strain
Overnight culture of B. amyloliquefaciens B-241 was inoculated in one litre of fresh Luria–Bertani broth medium (LB) and incubated at 30 °C and 180 rpm for 72 h. The culture was centrifuged at 4000 rpm and 4 °C for 20 min, and the supernatant was collected. An equal amount of ethyl acetate was added to the supernatant (1:1 v/v) along with NaCl (30 g/L). The mixture was left on the magnetic stirrer overnight. After settling in the refrigerator overnight, the upper ethyl acetate phase was collected and evaporated to complete dryness using the rotary evaporator (BÜCHI Rotavapor R-114, Switzerland) at ≤50 °C. The remaining precipitate was dissolved in dimethyl sulfoxide (DMSO) at the final concentration of 25 mg/mL.
2.4.4. Testing the Effect of Ethyl Acetate Extract of Bacillus amyloliquefaciens B-241 on Monilinia fructicola Mycelial Growth Rate In Vitro
Spores of the M. fructicola isolate were used for testing the antagonistic activity of ethyl acetate extract of the selected B. amyloliquefaciens strain B-241 using the agar well diffusion method as described above. Three 10-mm-wells per plate were made and 100 µL of the prepared ethyl acetate extract in DMSO, diluted with sterile distilled water at different final concentrations (25, 12.5, 5 and 2.5 mg/mL), was added to each well. Antagonistic activity was tested in four replicates. Negative control treatments consisted of 100 µL of sterile distilled water and 100 µL of DMSO. The whole experiment was repeated twice. Antifungal activity of the ethyl acetate extract was assessed as described previously (Section 2.3).
2.4.5. Chemical Analysis of Ethyl Acetate Extract of Bacillus amyloliquefaciens B-241
The ethyl acetate extract obtained from the supernatant of B. amyloliquefaciens B-241 strain was subjected to HPLC-MS analysis. The extract was analysed using an Agilent 1260 Infinity high-performance liquid chromatography (HPLC) system hyphenated to a Bruker amaZon SL ion trap mass spectrometer. An Agilent Poroshell 120 EC-C18 (4.6 mm × 100 mm, particle size 4 µm) analytical column was used for the separation of lipopeptide compounds. The mobile phase consisted of (A) 0.1% formic acid in ultrapure water (MS grade) and (B) 0.1% formic acid in acetonitrile (MS grade). A linear gradient program at a flow rate of 1 mL/min was set and the absorption was monitored at 214 nm. The mass detector was set in a positive ion mode. Lipopeptide compounds were identified based on a mass-to-charge ratio (ranging from m/z 400.00 to 2000.00) and compared to commercial lipopeptide standards (Sigma-Aldrich, St. Louis, MO, USA).
2.5. Testing the Effect of Bacterial Cultures and Ethyl Acetate Extract of Bacillus spp. on Brown Rot Disease Suppression Ex Situ
To evaluate the ex situ effect of three selected Bacillus spp. strains on brown rot development, healthy apples of cv. Idared were used. The apples were surface-sterilized by soaking in a 1% sodium hypochlorite solution in water (1:3) for 5 min, rinsing in water, and drying for 1 h at room temperature in a laminar flow cabinet. Three wounds (4 mm in diameter and 3 mm in depth) were made on the fruits’ equatorial zone by a sterile stainless steel rod. Each wound was treated with 10 µL of bacterial suspension (approximately 1 × 108 CFU/mL) of the three strains (B. amyloliquefaciens B-241 and B. subtilis B-313 and B-358), prepared previously. After treatments, the apples were inoculated with mycelial plugs (3 mm diameter) of three fungal species: M. laxa, M. fructigena and M. fructicola. The plugs were cut from a 7-day-old colony on PDA and placed on the wounds upside-down. Wounds treated with water were used as a negative control, and wounds inoculated with only mycelial plugs were used as a positive control. Two reference products for efficacy comparison were used in both experiments: treatment based on the synthetic fungicide prochloraz (Octave, Bayer, Germany) and treatment based on B. velezensis (formerly B. amyloliquefaciens) QST 713 (biofungicide Serenade, Bayer, Germany) at its label rate. Plastic boxes (30 cm × 20 cm × 10 cm) with four inoculated fruit per box were incubated in a growth chamber at 24 °C and relative humidity > 90%. The experiment was conducted twice with four replicates per treatment. Decay development was assessed seven days post-inoculation. Lesion diameters (mm) were measured in two directions at right angles and presented as efficacy (%) calculated according to the formula:
where LD represents lesion diameter in the control, and LD1 represents lesion diameter in the treated fruit.
E(%) = (LD − LD1)/LD × 100
Healthy apples were used to evaluate the ex situ effect of ethyl acetate extract of the most effective strain on brown rot development caused by M. fructicola. The experiment was conducted as described, except that each wound was treated with 10 µL of ethyl acetate extract of the B. amyloliquefaciens strain B-241 at two different concentrations (12.5 and 5 mg/mL). As negative control treatments, 10 µL of sterile distilled water and 10 µL of DMSO were used. Incubation conditions and the assessment of the decay were identical as described above.
2.6. Statistical Analyses
The results were tested for homogeneity and subjected to one-way analysis of variance (ANOVA). The significance was evaluated by Duncan’s test at p < 0.05 for all tests. Statistical analyses were conducted by the general procedures of Statistica v.10 (StatSoft Inc., Tulsa, OK, USA).
3. Results
3.1. In Vitro Antagonistic Activity of Bacillus spp. towards Monilinia spp. Isolates
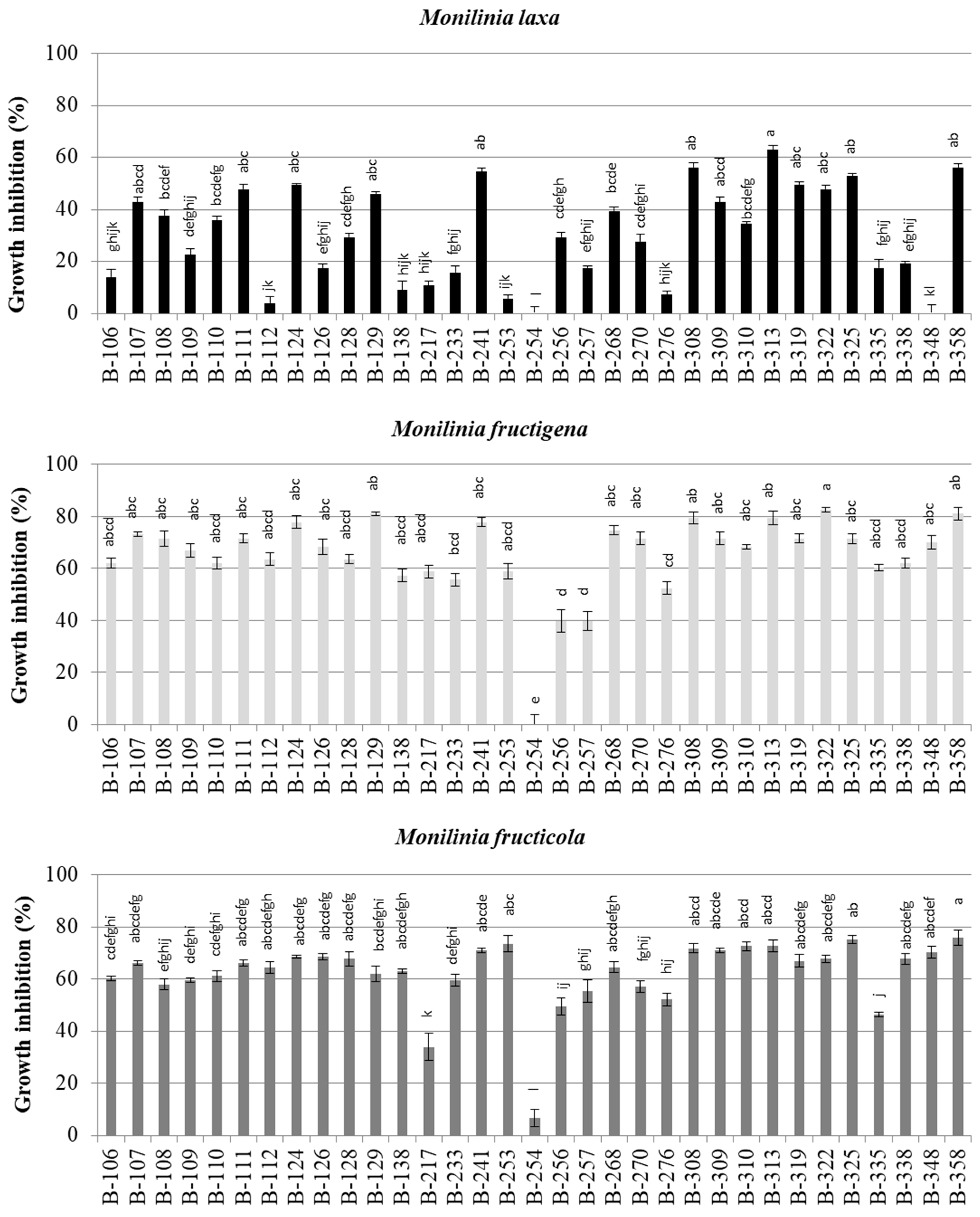
The in vitro antagonistic potential of 33 isolates of Bacillus spp. against causal three agents of brown rot of pome and stone fruits (M. laxa, M. fructigena and M. fructicola) was evaluated in direct confrontation assays and the mean PGI values of the tested pathogens are shown in Figure 1. The ANOVA results revealed statistically significant differences (p < 0.05) in the antagonistic activity of all Bacillus spp. strains against the three fungal pathogens.
Figure 1.
In vitro antifungal activity of Bacillus spp. strains against Monilinia spp. in direct confrontation test. Data in the figure represent the mean growth inhibition of two independent experiments with four replicates. Columns, representing an average growth inhibition, with the same letters are not significantly different (Duncan’s test, p > 0.05). Only columns marked with the same colour are comparable for significant differences. Bars represent standard deviation.
Growth inhibition above 70% was achieved by 15 Bacillus spp. strains against M. fructigena and 9 strains against M. fructicola, respectively. The strain of M. laxa was the least sensitive since only five bacterial strains caused inhibition of its mycelial growth by more than 50%. The highest percentage of inhibition on all tested pathogens was achieved by the strain B-241 of B. amyloliquefaciens and two strains of B. subtilis (B-313 and B-358), and these strains were therefore selected for further investigation. The lowest percentage of growth inhibition of all Monilinia spp. isolates was recorded for the B. pumilus B-254 strain.
The results of the investigation of the effects of three Bacillus spp. strains on the growth of Monilinia spp. isolates in vitro using the agar well diffusion method are shown in Figure 2. The widest zone of inhibition was formed by the strain B. subtilis B-313 against M. fructigena (66.7 mm). Uniform inhibition zones (approximately 58 mm) against all three Monilinia spp. were found for B. amyloliquefaciens B-241. No statistically significant differences were observed in the antagonistic activity of two Bacillus spp. strains (B-241 and B-313) against M. fructigena and M. fructicola, while their activity against M. laxa differed significantly. The strain B. subtilis B-358 exhibited weak inhibition of all fungal isolates tested in this study; inhibition zones against M. laxa and M. fructicola isolates were completely absent, while the zone against M. fructigena isolate was below 10 mm wide.
Figure 2.
In vitro antagonistic activity of Bacillus spp. against Monilinia spp. using agar well diffusion method. Data in the figure represent the mean growth inhibition of two independent experiments with four replicates. Columns, representing average growth inhibition, with the same letters are not significantly different (Duncan’s test, p > 0.05). Only columns marked with the same colour are comparable for significant differences. Bars represent standard deviation.
3.2. Modes of Antagonistic Action of Bacillus spp. Strains
In the screening test for four genes involved in lipopeptide synthesis, gel electrophoresis showed the presence of DNA fragments of an appropriate size in 33 Bacillus spp. strains (Supplementary Figure S1). Fifteen strains were positive for the sfp gene, the iturin operon was detected in six strains, the bamC gene was present in nine strains and 10 strains were positive for the presence of fenD gene (Supplementary Table S1). All examined Bacillus spp. strains had at least one of the amplified genes. Three out of four lipopeptide genes were detected in 13 strains, 13 strains harboured two, and seven strains carried only one of the screened genes. B. amyloliquefaciens B-241 and B. subtilis B-358 strains were positive for iturin operon and bamC gene, while B. subtilis B-313 contained bamC gene.
Statistically significant differences (p < 0.05) were observed among the mycelial growth inhibition diameters due to different treatments. The results showed that the B. amyloliquefaciens B-241 strain exhibited the greatest antifungal effect regardless of treatment, except for CFS, while strain B-313 showed better efficacy (Figure 3). In addition, treatment with WBCs induced the highest mycelial growth inhibition of M. fructicola. The lowest inhibitory effect was found for CFS100 °C of both Bacillus spp. strains. The strain B. subtilis B-358 did not exhibit inhibitory effects in any of the five test treatments.
Figure 3.
The influence of different treatments of Bacillus spp. strains on the mycelial growth inhibition radius of Monilinia fructicola: WBC—whole bacterial culture; CFS—cell-free supernatant; CFS100 °C—CFS additionally heated at 100 °C for 10 min; 2 × BC—double concentrated bacterial cells; 10 × CFS—tenfold-concentrated cell-free supernatant. Data in the figure represent the mean growth inhibition of two independent experiments with four replicates. Columns, representing average growth inhibition, marked with the same letters are not significantly different (Duncan’s test, p > 0.05). Only columns marked with the same colour are comparable for significant differences. Bars represent standard deviation.
The results of the evaluation of ethyl acetate extract of B. amyloliquefaciens B-241 on the growth of M. fructicola isolate in vitro using the agar well diffusion method are shown in Figure 4. The widest zone of inhibition (16.9 mm) was formed by the highest concentration of extract used (25 mg/mL). Significantly lower growth inhibition zone diameters were recorded for the other concentrations. The narrowest inhibition zone was found under the influence of ethyl acetate extract at 2.5 mg/mL.
Figure 4.
In vitro antagonistic activity of ethyl acetate extract of Bacillus amyloliquefaciens B-241 against Monilinia fructicola using agar well diffusion method. Data in the figure represent the mean growth inhibition of two independent experiments with four replicates. Columns, representing average growth inhibition, marked with the same letters are not significantly different (Duncan’s test, p > 0.05). Bars represent standard deviation.
The HPLC-MS detected proton [M + H]+ and sodium [M + Na]+ adducts of surfactin and bacillomycin D) [15,16] in the ethyl acetate extract of B. amyloliquefaciens B-241 (Figure 5).
Figure 5.
HPLC mass spectra of lipopeptides produced by Bacillus amyloliquefaciens B-241: (a) surfactin; (b) bacillomycin D.3.3. Ex Situ Efficacy of Bacillus spp. Strains against Brown Rot Disease.
The sensitivity of three plant pathogenic Monilinia species (M. laxa, M. fructigena and M. fructicola) to three Bacillus spp. strains (B. amyloliquefaciens B-241 and B. subtilis B-313 and B-358) was tested in ex situ experiments. A biofungicide based on B. velezensis QST 713 (Serenade) and a prochloraz-based synthetic fungicide were also included in the sensitivity testing as reference products.
A statistically significant decrease was detected in the development of brown rot on apple fruit induced by the strain B. amyloliquefaciens B-241, compared with the untreated control (p < 0.05). Notably, the efficacy of B-241 was equal to the commercially available synthetic fungicide, applied at its recommended application rate, regardless of the pathogen used for inoculation (Figure 6 and Figure S2). A significantly lower inhibition of brown rot development was recorded in treatments with B. subtilis B 313 and B-358 strains. The biofungicide based on B. velezensis showed the lowest efficacy in suppression of brown rot symptoms, regardless of the causal agent.
Figure 6.
Effects of Bacillus spp. strains on Monilinia spp. in ex situ conditions. Data in the figure represent the mean of two trails conducted over time with four replicates per treatment. Columns, representing average efficacy, marked with the same letters are not significantly different (Duncan’s test, p > 0.05). Only columns marked with the same colour are comparable for significant differences.
A statistically significant (p < 0.05) decrease in the development of brown rot caused by M. fructicola on apple fruit was induced by the ethyl acetate extract of B-241 in comparison with the untreated control. Both tested concentrations of B-241 ethyl acetate extract were more efficient than the commercial biofungicide based on B. velezensis. The higher tested concentration (12.5 mg/mL) exhibited a significantly higher effect on suppressing brown rot (55.7%) (Figure 7 and Figure S3). The synthetic fungicide prochloraz showed 100% efficacy in controlling brown rot on detached apple fruit.
Figure 7.
Effects of ethyl acetate extract of Bacillus amyloliquefaciens B-241 against Monilinia fructicola in ex situ conditions. Data in the figure represent the mean of two trails conducted over time with four replicates per treatment. Columns, representing average efficacy, marked with the same letters are not significantly different (Duncan’s test, p > 0.05).
4. Discussion
Brown rot is one of the most devastating fungal diseases of pome and stone fruits. Significant changes in the prevalence and distribution of Monilinia species have been noted over the past twenty years. In addition to M. laxa and M. fructigena, which are the native and widespread pathogens of pome and stone fruits in most European countries, including Serbia, M. fructicola, has also been introduced and became widely established as the most devastating species [13]. In the light of significant changes regarding the distribution of brown rot causal agents, the removal of many fungicides from the market, and the major impact of these pathogens on the production, distribution, and marketability of pome and stone fruits, the objective of the present study was to find the best biocontrol candidate for suppression or mitigation of losses caused by Monilinia species. In particular, the sensitivity of recently introduced and established Monilinia species to potential biocontrol agents should be determined and compared with the native species.
Species belonging to the Bacillus genus, the most promising biocontrol agents, can synthesize a broad spectrum of antibacterial and antifungal metabolites that are used intensively in agriculture and human medicine [4,5]. Over the past twenty years, the biopesticide market has significantly grown worldwide, and the increase is the highest in Europe, at almost 10% every year [17,18,19]. Concerning the control of brown rot on stone fruits, only three biocontrol products based on Bacillus subtilis, Bacillus amyloliquefaciens and Saccharomyces cerevisiae are currently approved for field applications in some countries [19]. In Serbia, BCA-based products for postharvest application against Monilinia-induced brown rot are yet to be formally registered and approved.
In the present study, we examined the in vitro and ex situ potential of Bacillus spp. strains for the suppression of brown rot of pome and stone fruits caused by Monilinia spp., and attempted to elucidate the mode of action of the most promising candidates. Preliminary investigation using the direct confrontation test showed a great potential of numerous Bacillus spp. strains for suppressing of M. laxa, M. fructigena and M. fructicola in vitro. However, only three isolates were selected as promising strains for further investigation, as they all caused growth inhibition higher than 60% for all tested fungi. The B. amyloliquefaciens strain B-241 and two strains of B. subtilis (B-313 and B-358) were further examined for their activity, using 96-h-old cultures and the agar well diffusion method. This test revealed some discrepancies in growth inhibition of the tested isolates of Monilinia spp., compared to the direct confrontation test. For example, B. subtilis B-358, while exhibiting great potential in the direct confrontation test, showed weak inhibition against all tested fungal isolates in the agar well diffusion test. On the other hand, high inhibition of all three fungal isolates was achieved by the strain B. amyloliquefaciens B-241 in both tests (Figure 1 and Figure 2). In a study published by Lahlali et al. [20], B. amyloliquefaciens and B. subitlis strains inhibited the growth of M. fructigena from 43.1 to 82.86% in vitro. Additionally, four B. amyloliquefaciens strains reduced the mycelial growth of M. fructigena and M. laxa in dual culture assays by >90% [21]. Similarly, our B. amyloliquefaciens B241 strain inhibited M. fructigena growth by 77.8%, while M. fructicola and M. laxa were inhibited by 71.1 and 54.5%, respectively, in the direct confrontation test.
The antagonistic strains B-241, B-313 and B-358 were selected for further examination of their modes of action against M. fructicola. Whole bacterial cells (WBC) caused the greatest reduction in mycelial growth, followed by double-concentrated bacterial cells (2 × BC), tenfold-concentrated cell-free supernatants (10 × CFS), cell-free supernatants (CFS) and heat-treated cell-free supernatants (CFS100 °C). The results indicated a role of antifungal metabolites in the inhibition of pathogen growth. Specifically, cell-free supernatants showed inhibition to a certain extent but the antagonistic activity was lost after exposing the supernatants to high temperature, which suggests that the strains produced and excreted substance(s) that had antifungal potential and were temperature-sensitive. However, it appears that modes of action other than antibiosis are involved in the antagonistic activity, as indicated by the higher inhibition of WBC that contains both metabolically active cells and antimicrobial substances secreted during cultivation.
Numerous studies have reported the implication of lipopeptides in antagonistic and biocontrol activities of Bacillus spp. strains. Molecular detection of genes associated with the biosynthesis of lipopeptide compounds showed successful amplification of at least one out of four selected genes in 33 Bacillus spp. strains. Therefore, we used the standard method for extracting lipopeptides from bacterial supernatant. The ethyl acetate extract of B. amyloliquefaciens B-241 inhibited the growth of M. fructicola in vitro in a concentration-dependent manner (Figure 4), suggesting a possible role of lipopeptide compounds in suppression of that plant pathogen. Liu et al. [22] proved that the lipopeptides bacillomycin D and fengycin contributed together to the inhibition of conidial germination of M. fructicola, and fengycin had a significant role in suppressing the mycelial growth of the pathogen in vitro. Another study showed that iturins produced by B. amyloliquefaciens BUZ-14 were the main lipopeptides responsible for brown rot suppression in peaches [23]. In a more recent study, iturin operon and the bamC and fenD genes were detected in a B. subtilis B6 strain with biocontrol activity towards several apple fruit rot causal agents, including M. fructicola [24]. Indeed, molecular analysis showed the potential of B. amyloliquefaciens B-241 for iturin synthesis, which could explain its remarkable antagonistic activity towards Monilinia spp. HPLC analysis confirmed the synthesis of bacillomycin D by B. amyloliquefaciens B-241, and also revealed the presence of surfactins in the extract. However, the sfp gene responsible for surfactin synthesis was not detected in the B-241 strain in our study. The sfp gene for 4′-phosphopantetheinyl transferase is an essential element of peptide synthesis systems, implicated in regulating surfactin biosynthesis gene expression [25]. Its absence in the genome of B. amyloliquefaciens B-241 suggested that other genes of the surfactin operon, such as srfAA encoding the surfactin synthetase subunit 1, could be more significant in surfactin synthesis. Based on molecular analyses, several Bacillus spp. strains in our study had the potential for iturin synthesis but were less successful in the inhibition of plant pathogenic fungi in vitro than B-241, as the dual culture assay showed. Both B. amyloliquefaciens B-241 and B. subtilis B-358 strains were shown to harbour the iturin operon and bamC gene, but were not equally successful in antagonism towards M. fructicola in vitro or ex situ. These differences could be assigned either to the extreme structural diversity of lipopeptide compounds or the synthesis efficiency, which is highly dependent on an ecological context. Studies have shown that lipopeptide production can be modulated by the presence of pathogens [26]. Zihalirwa Kulimushi et al. [27] showed that the fenC gene expression was upregulated and the production of fengycins was enhanced in co-cultures of the biocontrol strain B. amyloliquefaciens S499 and the plant pathogen Rhizomucor variabilis, in comparison with pure culture. The increase in surfactin, iturin and fengycin synthesis in two B. velezensis strains was also detected in the presence of Ralstonia solanacearum [28]. Similarly, surfactin production was increased 10-fold in a BCA–plant pathogen co-culture [29]. In this study, we detected synthesis of surfactin and bacillomycin D in the axenic B. amyloliquefaciens B-241 strain. Further investigation will reveal if co-culture with any of Monilinia species will cause an increase in the synthesis of these metabolites. Additional analyses are also required to identify the specific lipopeptide compounds produced by B. amyloliquefaciens B-241, and to associate individual compounds with its antifungal activity towards Monilinia spp. In that context, complex quadritrophic interactions among the antagonist, pathogen, host, and resident epiphytic microbiota should be considered when investigating modes of action, and the integration of advanced microbiological, microscopic, biochemical and molecular techniques is highly recommended [5]. Although three bacterial strains were selected to test the sensitivity of Monilinia species on detached apples, only B. amyloliquefaciens B-241 showed the same efficacy as the commercially available synthetic fungicide, with more than 80% of brown rot suppression (Figure 6). In a study by Zhou et al. [30], Bacillus sp. C06 isolate reduced lesion diameters caused by M. fructicola on apples by 54.17%, and prolonged the shelf life of peaches to seven days when applied as either bacterial cells or cell-free filtrate. A more recent study reported the suppression of M. fructigena by B. amyloliquefaciens B10W10 strain that was statistically comparable to the commercial fungicide thiophanate methyl, at both lower and higher pathogen pressure, similar to the results of this study [20].
Dimkić et al. [31] tested an ethyl acetate extract of the strain B. amyloliquefaciens SS-12.6 against various postharvest pathogens of apples and obtained promising results in vitro, which were also confirmed in situ (reduction in necrosis caused by M. fructigena by 66.6%). In our study, the ethyl acetate extract of B. amyloliquefaciens B-241 reduced brown rot symptoms by 55.7% at 12.5 mg/mL and 30.6% at 5 mg/mL, while the commercial products reduced symptoms by 22.8% and 100% (biofungicide and synthetic fungicide, respectively) (Figure 7). A 20-fold diluted lipopeptide fraction from a 96-h-old culture of B. amyloliquefaciens BUZ-14 successfully controlled brown rot caused by M. fructicola and M. laxa by completely preventing the development of lesions on peaches [23]. Moreover, the CPA-8 strain of B. amyloliquefaciens was described as an effective antagonist against the postharvest late brown rot of peaches and nectarines [32], even in field conditions under standard Monilinia spp. levels [33]. Yánez-Mendizábal et al. [34] confirmed the involvement of fengycins in the postharvest protection of peaches by demonstrating that fengycin-defective mutants and their cell-free supernatants lost their biocontrol activity. The biocontrol CPA-8 wild-type strain was as efficient in fruit trials as the commercial formulation based on B. velezensis QST 713. At the same time, in our study, B. amyloliquefaciens B-241 exceeded the efficacy of that commercial biocontrol strain.
All things considered, our study revealed a great potential of lipopeptide-producing the B. amyloliquefaciens B-241 strain for postharvest protection and a possibility for its application as a preventive measure in the biocontrol of brown rot disease. Although the results obtained in the control of Monilinia species of pome and stone fruit are promising, large-scale studies are needed to gain deeper insight into the potential of the novel B. amyloliquefaciens B-241 strain for biological control at a commercial production level. Future work should be focused on the potential of that strain in larger plots and commercial production at different dosages and application rates and in vivo efficacy tests in combination with commercial biofungicides and fungicides.
Supplementary Materials
The following supporting information can be downloaded at: https://www.mdpi.com/article/10.3390/agronomy13112839/s1, Table S1: Molecular detection of genes involved in lipopeptide biosynthesis (sfp encoding surfactin synthetase, iturin operon, bamC encoding bacillomycin D synthetase, fenD encoding fengycin synthetase) in Bacillus spp. strains; Figure S1: Gel electrophoresis of genes for lipopeptide synthesis in 33 Bacillus spp. strains: (a) sfp gene (675 bp), (b) iturin operon (2000 bp), (c) bamC gene (875 bp), (d) fenD gene (964 bp). M—DNA ladder 100 bp/1 kb; K—negative control; Figure S2: Effect of tested Bacillus spp. strains on Monilinia spp. in ex situ conditions; Figure S3: Effect of ethyl acetate extract of Bacillus amyloliquefaciens B-241 against Monilinia fructicola under ex situ conditions.
Author Contributions
Conceptualization, T.B. and B.P.; methodology, J.H. and O.M.; validation, J.H., M.M. and S.M.-M.; formal analysis, J.H., O.M., M.M. and B.P.; investigation, J.H., M.M. and O.M.; writing—original draft preparation, J.H. and O.M.; writing—review and editing, T.B., S.M.-M., S.S. and B.P.; visualization, J.H., O.M. and M.M.; supervision, B.P.; funding acquisition, S.S. and B.P. All authors have read and agreed to the published version of the manuscript.
Funding
This work was funded by the Ministry of Science, Technological Development and Innovation of the Republic of Serbia (contract numbers 451-03-47/2023-01/200214 and 451-03-47/2023-01/200178).
Institutional Review Board Statement
Not applicable.
Informed Consent Statement
Not applicable.
Data Availability Statement
Data are contained within the article and Supplementary Materials.
Acknowledgments
The authors gratefully acknowledge the assistance of Corrado Guarnaccia of the International Centre for Genetic Engineering and Biotechnology (Trieste, Italy) in conducting the chemical analysis.
Conflicts of Interest
The authors declare no conflict of interest.
References
- van Leeuwen, G.C.M.; Baayen, R.P.; Jeger, M.J. Pest risk assessment for countries of the European Union (as PRA area) on Monilinia fructicola. EPPO Bull. 2001, 31, 481–487. [Google Scholar] [CrossRef]
- Larena, I.; Torres, R.; De Cal, A.; Liñán, M.; Melgarejo, P.; Domenichini, P.; Bellini, A.; Mandrin, J.F.; Ochoa De Eribe, X.; Usall, J. Biological control of post-harvest brown rot (Monilinia spp.) of peaches by field applications of Epicoccum nigrum. Biol. Control 2005, 32, 305–310. [Google Scholar] [CrossRef]
- Usall, J.; Casals, C.; Sisquella, M.; Palou, L.; De Cal, A. Alternative technologies to control post-harvest diseases of stone fruit. Stewart Postharvest Rev. 2015, 11, 2. [Google Scholar]
- Sharma, R.R.; Singh, D.; Singh, R. Biological control of post-harvest diseases of fruits and vegetables by microbial antagonists: A review. Biol. Control 2009, 50, 205–221. [Google Scholar] [CrossRef]
- Spadaro, D.; Droby, S. Development of biocontrol products for post-harvest diseases of fruit: The importance of elucidating the mechanisms of action of yeast antagonists. Trends Food Sci. Technol. 2016, 47, 39–49. [Google Scholar] [CrossRef]
- Lastochkina, O.; Seifikalhor, M.; Aliniaeifard, S.; Baymiev, A.; Pusenkova, L.; Garipova, S.; Kulabuhova, D.; Maksimov, I. Bacillus spp.: Efficient biotic strategy to control post-harvest diseases of fruits and vegetables. Plants 2019, 8, 97. [Google Scholar] [CrossRef]
- Droby, S.; Wisniewski, M.; Macarisin, D.; Wilson, C. Twenty years of post-harvest biocontrol research: Is it time for a new paradigm? Postharvest Biol. Technol. 2009, 52, 137–145. [Google Scholar] [CrossRef]
- Stanojević, O.; Milijašević-Marčić, S.; Potočnik, I.; Stepanović, M.; Dimkić, I.; Stanković, S.; Berić, T. Isolation and identification of Bacillus spp. from compost material, compost and mushroom casing soil active against Trichoderma spp. Arch. Biol. Sci. 2016, 68, 73. [Google Scholar] [CrossRef]
- Stanojević, O.; Berić, T.; Potočnik, I.; Rekanović, E.; Stanković, S.; Milijašević-Marčić, S. Biological control of green mould and dry bubble diseases of cultivated mushroom (Agaricus bisporus L.) by Bacillus spp. Crop Prot. 2019, 126, 104–944. [Google Scholar] [CrossRef]
- Hrustić, J.; Delibašić, G.; Stanković, I.; Grahovac, M.; Krstić, B.; Bulajić, A.; Tanović, B. Monilinia Species Causing Brown Rot of Stone Fruit in Serbia. Plant Dis. 2015, 99, 709–717. [Google Scholar] [CrossRef]
- Korsten, L.; De Jager, E. Mode of Action of Bacillus subtilis for Control of Avocado Post harvest Pathogens. South Afr. Avocado Grow. Assoc. Yearb. 1995, 18, 124–130. [Google Scholar]
- Hsieh, F.C.; Li, M.C.; Lin, T.C.; Kao, S.S. Rapid detection and characterization of surfactin-producing Bacillus subtilis and closely related species based on PCR. Curr. Microbiol. 2004, 49, 186–191. [Google Scholar] [CrossRef]
- Tsuge, K.; Inoue, S.; Ano, T.; Itaya, M.; Shoda, M. Horizontal transfer of iturin A operon, itu, to Bacillus subtilis 168 and conversion into an iturin A producer. Antimicrob. Agents Chemother. 2005, 49, 4641–4648. [Google Scholar] [CrossRef]
- Ramarathnam, R.; Bo, S.; Chen, Y.; Fernando, W.D.; Xuewen, G.; De Kievit, T. Molecular and biochemical detection of fengycin- and bacillomycin D-producing Bacillus spp., antagonistic to fungal pathogens of canola and wheat. Can. J. Microbiol. 2007, 53, 901–911. [Google Scholar] [CrossRef] [PubMed]
- Bochynek, M.; Lewińska, A.; Witwicki, M.; Dębczak, A.; Łukaszewicz, M. Formation and structural features of micelles formed by surfactin homologues. Front. Bioeng. Biotechnol. 2023, 11, 1211319. [Google Scholar] [CrossRef]
- Jemil, N.; Manresa, A.; Rabanal, F.; Ayed, H.B.; Hmidet, N.; Nasri, M. Structural characterization and identification of cyclic lipopeptides produced by Bacillus methylotrophicus DCS1 strain. J. Chromatogr. B 2017, 1060, 374–386. [Google Scholar] [CrossRef] [PubMed]
- Droby, S.; Wisniewski, M.; Teixidó, N.; Spadaro, D.; Jijakli, H.M. The science, development, and commercialization of post-harvest biocontrol products. Postharvest Biol. Technol. 2016, 122, 22–29. [Google Scholar] [CrossRef]
- Casals, C.; Torres, R.; Teixidó, N.; De Cal, A.; Segarra, J.; Usall, J. Brown rot on stone fruit: From epidemiology studies to the development of effective control strategies. Sci. Hortic. 2022, 301, 111096. [Google Scholar] [CrossRef]
- Damalas, C.A.; Koutroubas, S.D. Current Status and Recent Developments in Biopesticide Use. Agriculture 2018, 8, 13. [Google Scholar] [CrossRef]
- Lahlali, R.; Mchachti, O.; Radouane, N.; Ezrari, S.; Belabess, Z.; Khayi, S.; Mentag, R.; Tahiri, A.; Barka, E.A. The potential of novel bacterial isolates from natural soil for the control of brown rot disease (Monilinia fructigena) on apple fruits. Agronomy 2020, 10, 1814. [Google Scholar] [CrossRef]
- Lahlali, R.; Aksissou, W.; Lyousfi, N.; Ezrari, S.; Blenzar, A.; Tahiri, A.; Ennahli, S.; Hrustić, J.; MacLean, D.; Amiri, S. Biocontrol activity and putative mechanism of Bacillus amyloliquefaciens (SF14 and SP10), Alcaligenes faecalis ACBC1, and Pantoea agglomerans ACBP1 against brown rot disease of fruit. Microb. Pathog. 2020, 139, 103914. [Google Scholar] [CrossRef] [PubMed]
- Liu, J.; Zhou, T.; He, D.; Li, X.Z.; Wu, H.; Liu, W.; Gao, X. Functions of lipopeptides bacillomycin D and fengycin in antagonism of Bacillus amyloliquefaciens C06 towards Monilinia fructicola. Microb. Physiol. 2011, 20, 43–52. [Google Scholar] [CrossRef] [PubMed]
- Calvo, H.; Mendiara, I.; Arias, E.; Blanco, D.; Venturini, M.E. The role of iturin A from B. amyloliquefaciens BUZ-14 in the inhibition of the most common postharvest fruit rots. Food Microbiol. 2019, 82, 62–69. [Google Scholar] [CrossRef] [PubMed]
- Hrustić, J.; Mihajlović, M.; Stevanović, M.; Gašić, S.; Grahovac, M.; Tanović, B. Effectiveness of an indigenous Bacillus subtilis B6 strain in the control of postharvest apple fruit rot. Eur. J. Plant Pathol. 2023. [Google Scholar] [CrossRef]
- Swaathy, S.; Kavitha, V.; Sahaya Pravin, A.; Sekaran, G.; Mandal, A.B.; Gnanamani, A. Phylogenetic framework and biosurfactant gene expression analysis of marine Bacillus spp. of Eastern Coastal Plain of Tamil Nadu. Int. J. Bacteriol. 2014, 2014, 860491. [Google Scholar] [CrossRef]
- Cawoy, H.; Debois, D.; Franzil, L.; De Pauw, E.; Thonart, P.; Ongena, M. Lipopeptides as main ingredients for inhibition of fungal phytopathogens by Bacillus subtilis/amyloliquefaciens. Microb. Biotechnol. 2015, 8, 281–295. [Google Scholar] [CrossRef]
- Zihalirwa Kulimushi, P.; Argüelles Arias, A.; Franzil, L.; Steels, S.; Ongena, M. Stimulation of fengycin-type antifungal lipopeptides in Bacillus amyloliquefaciens in the presence of the maize fungal pathogen Rhizomucor variabilis. Front. Microbiol. 2017, 8, 850. [Google Scholar] [CrossRef]
- Cao, Y.; Pi, H.; Chandrangsu, P.; Li, Y.; Wang, Y.; Zhou, H.; Cai, Y. Antagonism of two plant-growth promoting Bacillus velezensis isolates against Ralstonia solanacearum and Fusarium oxysporum. Sci. Rep. 2018, 8, 4360. [Google Scholar] [CrossRef]
- Akintayo, S.O.; Hosseini, B.; Vahidinasab, M.; Messmer, M.; Pfannstiel, J.; Bertsche, U.; Lilge, L. Characterization ofantifungal properties of lipopeptide-producing Bacillus velezensis strains and their proteome-based response to the phytopathogens, Diaporthe spp. Front. Bioeng. Biotechnol. 2023, 11, 1228386. [Google Scholar] [CrossRef]
- Zhou, T.; Schneider, K.E.; Li, X.Z. Development of biocontrol agents from food microbial isolates for controlling post-harvest peach brown rot caused by Monilinia fructicola. Int. J. Food Microbiol. 2008, 126, 180–185. [Google Scholar] [CrossRef]
- Dimkić, I.; Živković, S.; Berić, T.; Ivanović, Ž.; Gavrilović, V.; Stanković, S.; Fira, D.J. Characterization and evaluation of two Bacillus strains, SS-12.6 and SS-13.1, as potential agents for the control of phytopathogenic bacteria and fungi. Biol. Control 2013, 65, 312–321. [Google Scholar] [CrossRef]
- Casals, C.; Teixidó, N.; Viñas, I.; Silvera, E.; Lamarca, N.; Usall, J. Combination of hot water, Bacillus subtilis CPA-8 and sodium bicarbonate treatments to control post-harvest brown rot on peaches and nectarines. Eur. J. Plant Pathol. 2010, 128, 51–63. [Google Scholar] [CrossRef]
- Gotor-Vila, A.; Teixidó, N.; Casals, C.; Torres, R.; De Cal, A.; Guijarro, B.; Usall, J. Biological control of brown rot in stone fruit using Bacillus amyloliquefaciens CPA-8 under field conditions. Crop Prot. 2017, 102, 72–80. [Google Scholar] [CrossRef]
- Yánez-Mendizábal, V.; Zeriouh, H.; Viñas, I.; Torres, R.; Usall, J.; de Vicente, A.; Teixidó, N. Biological control of peach brown rot (Monilinia spp.) by Bacillus subtilis CPA-8 is based on production of fengycin-like lipopeptides. Eur. J. Plant Pathol. 2012, 132, 609–619. [Google Scholar] [CrossRef]
Disclaimer/Publisher’s Note: The statements, opinions and data contained in all publications are solely those of the individual author(s) and contributor(s) and not of MDPI and/or the editor(s). MDPI and/or the editor(s) disclaim responsibility for any injury to people or property resulting from any ideas, methods, instructions or products referred to in the content. |
© 2023 by the authors. Licensee MDPI, Basel, Switzerland. This article is an open access article distributed under the terms and conditions of the Creative Commons Attribution (CC BY) license (https://creativecommons.org/licenses/by/4.0/).






