Estimation of Agronomic Characters of Wheat Based on Variable Selection and Machine Learning Algorithms
Abstract
:1. Introduction
2. Materials and Methods
2.1. Study Site and Experiment Design
2.2. Field Data Acquisition
2.3. UAV Image Acquisition
2.4. UAV Image Processing
2.5. Image Feature Extraction
2.5.1. Color Index Extraction
2.5.2. Vegetation Index Extraction
2.6. Variable Selection
2.7. Modelling and Validation of Agronomic Traits in Wheat
3. Results
3.1. Statistics of Ground Truth Data
3.2. Correlation Analysis
3.3. Development of Models
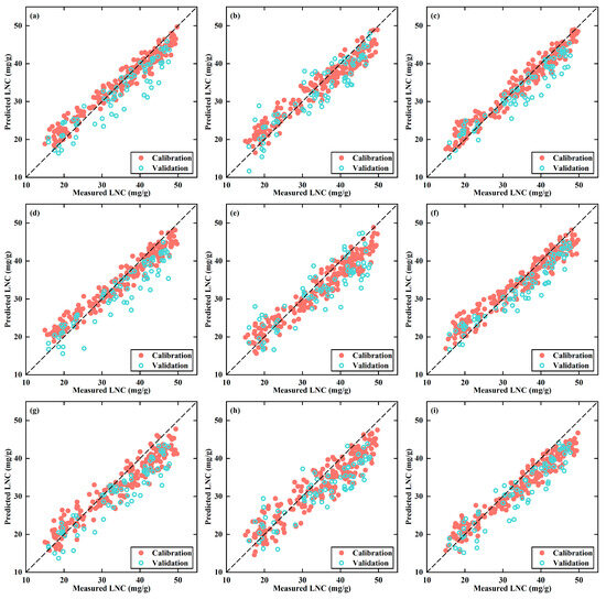
3.4. Validation of Models
4. Discussion
4.1. Comparison of Different Variable-Screening Algorithms
4.2. Impact of Different Combinations of Algorithms on Estimation Models
4.3. Limitations and Future Research
5. Conclusions
Author Contributions
Funding
Data Availability Statement
Acknowledgments
Conflicts of Interest
References
- Yin, Q.; Zhang, Y.; Li, W.; Wang, J.; Wang, W.; Ahmad, I.; Zhou, G.; Huo, Z. Estimation of Winter Wheat SPAD Values Based on UAV Multispectral Remote Sensing. Remote Sens. 2023, 15, 3595. [Google Scholar] [CrossRef]
- Sabanci, K.; Aslan, M.F.; Ropelewska, E.; Unlersen, M.F.; Durdu, A. A Novel Convolutional-Recurrent Hybrid Network for Sunn Pest–Damaged Wheat Grain Detection. Food Anal. Methods 2022, 15, 1748–1760. [Google Scholar] [CrossRef]
- Zhu, J.; Yang, G.; Feng, X.; Li, X.; Fang, H.; Zhang, J.; Bai, X.; Tao, M.; He, Y. Detecting Wheat Heads from UAV Low-Altitude Remote Sensing Images Using Deep Learning Based on Transformer. Remote Sens. 2022, 14, 5141. [Google Scholar] [CrossRef]
- Li, X.; Hu, C.; Delgado, J.A.; Zhang, Y.; Ouyang, Z. Increased Nitrogen Use Efficiencies as a Key Mitigation Alternative to Reduce Nitrate Leaching in North China Plain. Agric. Water Manag. 2007, 89, 137–147. [Google Scholar] [CrossRef]
- Hao, T.; Zhu, Q.; Zeng, M.; Shen, J.; Shi, X.; Liu, X.; Zhang, F.; de Vries, W. Impacts of Nitrogen Fertilizer Type and Application Rate on Soil Acidification Rate under a Wheat-Maize Double Cropping System. J. Environ. Manag. 2020, 270, 110888. [Google Scholar] [CrossRef] [PubMed]
- Shu, M.; Shen, M.; Dong, Q.; Yang, X.; Li, B.; Ma, Y. Estimating the Maize Above-Ground Biomass by Constructing the Tridimensional Concept Model Based on UAV-Based Digital and Multi-Spectral Images. Field Crops Res. 2022, 282, 108491. [Google Scholar] [CrossRef]
- Maimaitijiang, M.; Sagan, V.; Sidike, P.; Hartling, S.; Esposito, F.; Fritschi, F.B. Soybean Yield Prediction from UAV Using Multimodal Data Fusion and Deep Learning. Remote Sens. Environ. 2020, 237, 111599. [Google Scholar] [CrossRef]
- Zaman-Allah, M.; Vergara, O.; Araus, J.L.; Tarekegne, A.; Magorokosho, C.; Zarco-Tejada, P.J.; Hornero, A.; Albà, A.H.; Das, B.; Craufurd, P.; et al. Unmanned Aerial Platform-Based Multi-Spectral Imaging for Field Phenotyping of Maize. Plant Methods 2015, 11, 35. [Google Scholar] [CrossRef]
- Aasen, H.; Honkavaara, E.; Lucieer, A.; Zarco-Tejada, P.J. Quantitative Remote Sensing at Ultra-High Resolution with UAV Spectroscopy: A Review of Sensor Technology, Measurement Procedures, and Data Correction Workflows. Remote Sens. 2018, 10, 1091. [Google Scholar] [CrossRef]
- Mancini, F.; Dubbini, M.; Gattelli, M.; Stecchi, F.; Fabbri, S.; Gabbianelli, G. Using Unmanned Aerial Vehicles (UAV) for High-Resolution Reconstruction of Topography: The Structure from Motion Approach on Coastal Environments. Remote Sens. 2013, 5, 6880–6898. [Google Scholar] [CrossRef]
- Sagan, V.; Maimaitijiang, M.; Sidike, P.; Maimaitiyiming, M.; Erkbol, H.; Hartling, S.; Peterson, K.T.; Peterson, J.; Burken, J.; Fritschi, F. UAV/Satellite Multiscale Data Fusion for Crop Monitoring and Early Stress Detection. Int. Arch. Photogramm. Remote Sens. Spat. Inf. Sci. 2019, XLII-2-W13, 715–722. [Google Scholar] [CrossRef]
- Guo, Y.; Wang, H.; Wu, Z.; Wang, S.; Sun, H.; Senthilnath, J.; Wang, J.; Robin Bryant, C.; Fu, Y. Modified Red Blue Vegetation Index for Chlorophyll Estimation and Yield Prediction of Maize from Visible Images Captured by UAV. Sensors 2020, 20, 5055. [Google Scholar] [CrossRef] [PubMed]
- Nex, F.; Remondino, F. UAV for 3D Mapping Applications: A Review. Appl. Geomat. 2014, 6, 1–15. [Google Scholar] [CrossRef]
- Li, R.; Wang, D.; Zhu, B.; Liu, T.; Sun, C.; Zhang, Z. Estimation of Nitrogen Content in Wheat Using Indices Derived from RGB and Thermal Infrared Imaging. Field Crops Res. 2022, 289, 108735. [Google Scholar] [CrossRef]
- Bendig, J.; Bolten, A.; Bennertz, S.; Broscheit, J.; Eichfuss, S.; Bareth, G. Estimating Biomass of Barley Using Crop Surface Models (CSMs) Derived from UAV-Based RGB Imaging. Remote Sens. 2014, 6, 10395–10412. [Google Scholar] [CrossRef]
- Bendig, J.; Yu, K.; Aasen, H.; Bolten, A.; Bennertz, S.; Broscheit, J.; Gnyp, M.L.; Bareth, G. Combining UAV-Based Plant Height from Crop Surface Models, Visible, and near Infrared Vegetation Indices for Biomass Monitoring in Barley. Int. J. Appl. Earth Obs. Geoinf. 2015, 39, 79–87. [Google Scholar] [CrossRef]
- Willkomm, M.; Bolten, A.; Bareth, G. Non-Destructive Monitoring of Rice by Hyperspectral in-Field Spectrometry and Uav-Based Remote Sensing: Case Study of Field-Grown Rice in North Rhine-Westphalia, Germany. Int. Arch. Photogramm. Remote Sens. Spat. Inf. Sci. 2016, XLI-B1, 1071–1077. [Google Scholar] [CrossRef]
- Inoue, Y.; Sakaiya, E.; Zhu, Y.; Takahashi, W. Diagnostic Mapping of Canopy Nitrogen Content in Rice Based on Hyperspectral Measurements. Remote Sens. Environ. 2012, 126, 210–221. [Google Scholar] [CrossRef]
- Maresma, Á.; Ariza, M.; Martínez, E.; Lloveras, J.; Martínez-Casasnovas, J.A. Analysis of Vegetation Indices to Determine Nitrogen Application and Yield Prediction in Maize (Zea Mays L.) from a Standard UAV Service. Remote Sens. 2016, 8, 973. [Google Scholar] [CrossRef]
- Wu, C.; Niu, Z.; Tang, Q.; Huang, W. Estimating Chlorophyll Content from Hyperspectral Vegetation Indices: Modeling and Validation. Agric. For. Meteorol. 2008, 148, 1230–1241. [Google Scholar] [CrossRef]
- Hunt, E.R.; Doraiswamy, P.C.; McMurtrey, J.E.; Daughtry, C.S.T.; Perry, E.M.; Akhmedov, B. A Visible Band Index for Remote Sensing Leaf Chlorophyll Content at the Canopy Scale. Int. J. Appl. Earth Obs. Geoinf. 2013, 21, 103–112. [Google Scholar] [CrossRef]
- Hunt, E.R.; Cavigelli, M.; Daughtry, C.S.T.; Mcmurtrey, J.E.; Walthall, C.L. Evaluation of Digital Photography from Model Aircraft for Remote Sensing of Crop Biomass and Nitrogen Status. Precision Agric. 2005, 6, 359–378. [Google Scholar] [CrossRef]
- Schirrmann, M.; Giebel, A.; Gleiniger, F.; Pflanz, M.; Lentschke, J.; Dammer, K.-H. Monitoring Agronomic Parameters of Winter Wheat Crops with Low-Cost UAV Imagery. Remote Sens. 2016, 8, 706. [Google Scholar] [CrossRef]
- Cheng, T.; Song, R.; Li, D.; Zhou, K.; Zheng, H.; Yao, X.; Tian, Y.; Cao, W.; Zhu, Y. Spectroscopic Estimation of Biomass in Canopy Components of Paddy Rice Using Dry Matter and Chlorophyll Indices. Remote Sens. 2017, 9, 319. [Google Scholar] [CrossRef]
- Gnyp, M.L.; Miao, Y.; Yuan, F.; Ustin, S.L.; Yu, K.; Yao, Y.; Huang, S.; Bareth, G. Hyperspectral Canopy Sensing of Paddy Rice Aboveground Biomass at Different Growth Stages. Field Crops Res. 2014, 155, 42–55. [Google Scholar] [CrossRef]
- Qi, J.; Chehbouni, A.; Huete, A.R.; Kerr, Y.H.; Sorooshian, S. A Modified Soil Adjusted Vegetation Index. Remote Sens. Environ. 1994, 48, 119–126. [Google Scholar] [CrossRef]
- Weiss, M.; Jacob, F.; Duveiller, G. Remote Sensing for Agricultural Applications: A Meta-Review. Remote Sens. Environ. 2020, 236, 111402. [Google Scholar] [CrossRef]
- Yue, J.; Yang, G.; Tian, Q.; Feng, H.; Xu, K.; Zhou, C. Estimate of Winter-Wheat above-Ground Biomass Based on UAV Ultrahigh-Ground-Resolution Image Textures and Vegetation Indices. ISPRS J. Photogramm. Remote Sens. 2019, 150, 226–244. [Google Scholar] [CrossRef]
- Zha, H.; Miao, Y.; Wang, T.; Li, Y.; Zhang, J.; Sun, W.; Feng, Z.; Kusnierek, K. Improving Unmanned Aerial Vehicle Remote Sensing-Based Rice Nitrogen Nutrition Index Prediction with Machine Learning. Remote Sens. 2020, 12, 215. [Google Scholar] [CrossRef]
- Wang, J.; Zhou, Q.; Shang, J.; Liu, C.; Zhuang, T.; Ding, J.; Xian, Y.; Zhao, L.; Wang, W.; Zhou, G.; et al. UAV- and Machine Learning-Based Retrieval of Wheat SPAD Values at the Overwintering Stage for Variety Screening. Remote Sens. 2021, 13, 5166. [Google Scholar] [CrossRef]
- Chlingaryan, A.; Sukkarieh, S.; Whelan, B. Machine Learning Approaches for Crop Yield Prediction and Nitrogen Status Estimation in Precision Agriculture: A Review. Comput. Electron. Agric. 2018, 151, 61–69. [Google Scholar] [CrossRef]
- Yao, X.; Huang, Y.; Shang, G.; Zhou, C.; Cheng, T.; Tian, Y.; Cao, W.; Zhu, Y. Evaluation of Six Algorithms to Monitor Wheat Leaf Nitrogen Concentration. Remote Sens. 2015, 7, 14939–14966. [Google Scholar] [CrossRef]
- Verrelst, J.; Muñoz, J.; Alonso, L.; Delegido, J.; Rivera, J.P.; Camps-Valls, G.; Moreno, J. Machine Learning Regression Algorithms for Biophysical Parameter Retrieval: Opportunities for Sentinel-2 and -3. Remote Sens. Environ. 2012, 118, 127–139. [Google Scholar] [CrossRef]
- Zheng, H.; Li, W.; Jiang, J.; Liu, Y.; Cheng, T.; Tian, Y.; Zhu, Y.; Cao, W.; Zhang, Y.; Yao, X. A Comparative Assessment of Different Modeling Algorithms for Estimating Leaf Nitrogen Content in Winter Wheat Using Multispectral Images from an Unmanned Aerial Vehicle. Remote Sens. 2018, 10, 2026. [Google Scholar] [CrossRef]
- Bolón-Canedo, V.; Sánchez-Maroño, N.; Alonso-Betanzos, A. Feature Selection for High-Dimensional Data. In Artificial Intelligence: Foundations, Theory, and Algorithms; Springer International Publishing: Cham, Switzerland, 2015; ISBN 978-3-319-21857-1. [Google Scholar]
- Bradstreet, R.B. Kjeldahl Method for Organic Nitrogen. Anal. Chem. 1954, 26, 185–187. [Google Scholar] [CrossRef]
- Gitelson, A.A.; Stark, R.; Grits, U.; Rundquist, D.; Kaufman, Y.; Derry, D. Vegetation and Soil Lines in Visible Spectral Space: A Concept and Technique for Remote Estimation of Vegetation Fraction. Int. J. Remote Sens. 2002, 23, 2537–2562. [Google Scholar] [CrossRef]
- Jia, L.; Buerkert, A.; Chen, X.; Roemheld, V.; Zhang, F. Low-Altitude Aerial Photography for Optimum N Fertilization of Winter Wheat on the North China Plain. Field Crops Res. 2004, 89, 389–395. [Google Scholar] [CrossRef]
- Guijarro, M.; Pajares, G.; Riomoros, I.; Herrera, P.J.; Burgos-Artizzu, X.P.; Ribeiro, A. Automatic Segmentation of Relevant Textures in Agricultural Images. Comput. Electron. Agric. 2011, 75, 75–83. [Google Scholar] [CrossRef]
- Riehle, D.; Reiser, D.; Griepentrog, H.W. Robust Index-Based Semantic Plant/Background Segmentation for RGB- Images. Comput. Electron. Agric. 2020, 169, 105201. [Google Scholar] [CrossRef]
- Rasmussen, J.; Ntakos, G.; Nielsen, J.; Svensgaard, J.; Poulsen, R.N.; Christensen, S. Are Vegetation Indices Derived from Consumer-Grade Cameras Mounted on UAVs Sufficiently Reliable for Assessing Experimental Plots? Eur. J. Agron. 2016, 74, 75–92. [Google Scholar] [CrossRef]
- Wang, Y.; Wang, D.; Zhang, G.; Wang, J. Estimating Nitrogen Status of Rice Using the Image Segmentation of G-R Thresholding Method. Field Crops Res. 2013, 149, 33–39. [Google Scholar] [CrossRef]
- Baret, F.; Guyot, G. Potentials and Limits of Vegetation Indices for LAI and APAR Assessment. Remote Sens. Environ. 1991, 35, 161–173. [Google Scholar] [CrossRef]
- Gitelson, A.A.; Kaufman, Y.J.; Merzlyak, M.N. Use of a Green Channel in Remote Sensing of Global Vegetation from EOS-MODIS. Remote Sens. Environ. 1996, 58, 289–298. [Google Scholar] [CrossRef]
- Tucker, C.J.; Elgin, J.H.; McMurtrey, J.E.; Fan, C.J. Monitoring Corn and Soybean Crop Development with Hand-Held Radiometer Spectral Data. Remote Sens. Environ. 1979, 8, 237–248. [Google Scholar] [CrossRef]
- Haboudane, D.; Miller, J.R.; Pattey, E.; Zarco-Tejada, P.J.; Strachan, I.B. Hyperspectral Vegetation Indices and Novel Algorithms for Predicting Green LAI of Crop Canopies: Modeling and Validation in the Context of Precision Agriculture. Remote Sens. Environ. 2004, 90, 337–352. [Google Scholar] [CrossRef]
- Ceccato, P.; Gobron, N.; Flasse, S.; Pinty, B.; Tarantola, S. Designing a Spectral Index to Estimate Vegetation Water Content from Remote Sensing Data: Part 1: Theoretical Approach. Remote Sens. Environ. 2002, 82, 188–197. [Google Scholar] [CrossRef]
- Peñuelas, J.; Gamon, J.A.; Fredeen, A.L.; Merino, J.; Field, C.B. Reflectance Indices Associated with Physiological Changes in Nitrogen- and Water-Limited Sunflower Leaves. Remote Sens. Environ. 1994, 48, 135–146. [Google Scholar] [CrossRef]
- Fernández-Manso, A.; Fernández-Manso, O.; Quintano, C. SENTINEL-2A Red-Edge Spectral Indices Suitability for Discriminating Burn Severity. Int. J. Appl. Earth Obs. Geoinf. 2016, 50, 170–175. [Google Scholar] [CrossRef]
- Behmann, J.; Steinrücken, J.; Plümer, L. Detection of Early Plant Stress Responses in Hyperspectral Images. ISPRS J. Photogramm. Remote Sens. 2014, 93, 98–111. [Google Scholar] [CrossRef]
- Gitelson, A.; Merzlyak, M.N. Quantitative Estimation of Chlorophyll-a Using Reflectance Spectra: Experiments with Autumn Chestnut and Maple Leaves. J. Photochem. Photobiol. B Biol. 1994, 22, 247–252. [Google Scholar] [CrossRef]
- Gupta, R.K.; Vijayan, D.; Prasad, T.S. Comparative Analysis of Red-Edge Hyperspectral Indices. Adv. Space Res. 2003, 32, 2217–2222. [Google Scholar] [CrossRef]
- Ahmad, S.; Chandra Pandey, A.; Kumar, A.; Parida, B.R.; Lele, N.V.; Bhattacharya, B.K. Chlorophyll Deficiency (Chlorosis) Detection Based on Spectral Shift and Yellowness Index Using Hyperspectral AVIRIS-NG Data in Sholayar Reserve Forest, Kerala. Remote Sens. Appl. Soc. Environ. 2020, 19, 100369. [Google Scholar] [CrossRef]
- Metternicht, G. Vegetation Indices Derived from High-Resolution Airborne Videography for Precision Crop Management. Int. J. Remote Sens. 2003, 24, 2855–2877. [Google Scholar] [CrossRef]
- Sims, D.A.; Gamon, J.A. Relationships between Leaf Pigment Content and Spectral Reflectance across a Wide Range of Species, Leaf Structures and Developmental Stages. Remote Sens. Environ. 2002, 81, 337–354. [Google Scholar] [CrossRef]
- Hunt, E.R.; Daughtry, C.S.T.; Eitel, J.U.H.; Long, D.S. Remote Sensing Leaf Chlorophyll Content Using a Visible Band Index. Agron. J. 2011, 103, 1090–1099. [Google Scholar] [CrossRef]
- Herrmann, I.; Karnieli, A.; Bonfil, D.J.; Cohen, Y.; Alchanatis, V. SWIR-Based Spectral Indices for Assessing Nitrogen Content in Potato Fields. Int. J. Remote Sens. 2010, 31, 5127–5143. [Google Scholar] [CrossRef]
- Main, R.; Cho, M.A.; Mathieu, R.; O’Kennedy, M.M.; Ramoelo, A.; Koch, S. An Investigation into Robust Spectral Indices for Leaf Chlorophyll Estimation. ISPRS J. Photogramm. Remote Sens. 2011, 66, 751–761. [Google Scholar] [CrossRef]
- Shu, M.; Shen, M.; Zuo, J.; Yin, P.; Wang, M.; Xie, Z.; Tang, J.; Wang, R.; Li, B.; Yang, X.; et al. The Application of UAV-Based Hyperspectral Imaging to Estimate Crop Traits in Maize Inbred Lines. Plant Phenomics 2021, 2021, 9890745. [Google Scholar] [CrossRef]
- Xing, Z.; Du, C.; Shen, Y.; Ma, F.; Zhou, J. A Method Combining FTIR-ATR and Raman Spectroscopy to Determine Soil Organic Matter: Improvement of Prediction Accuracy Using Competitive Adaptive Reweighted Sampling (CARS). Comput. Electron. Agric. 2021, 191, 106549. [Google Scholar] [CrossRef]
- Li, H.-D.; Xu, Q.-S.; Liang, Y.-Z. libPLS: An Integrated Library for Partial Least Squares Regression and Linear Discriminant Analysis. Chemom. Intell. Lab. Syst. 2018, 176, 34–43. [Google Scholar] [CrossRef]
- Zhang, H.; Wang, H.; Dai, Z.; Chen, M.; Yuan, Z. Improving Accuracy for Cancer Classification with a New Algorithm for Genes Selection. BMC Bioinform. 2012, 13, 298. [Google Scholar] [CrossRef] [PubMed]
- Yun, Y.-H.; Bin, J.; Liu, D.-L.; Xu, L.; Yan, T.-L.; Cao, D.-S.; Xu, Q.-S. A Hybrid Variable Selection Strategy Based on Continuous Shrinkage of Variable Space in Multivariate Calibration. Anal. Chim. Acta 2019, 1058, 58–69. [Google Scholar] [CrossRef] [PubMed]
- Yun, Y.-H.; Wang, W.-T.; Tan, M.-L.; Liang, Y.-Z.; Li, H.-D.; Cao, D.-S.; Lu, H.-M.; Xu, Q.-S. A Strategy That Iteratively Retains Informative Variables for Selecting Optimal Variable Subset in Multivariate Calibration. Anal. Chim. Acta 2014, 807, 36–43. [Google Scholar] [CrossRef] [PubMed]
- Wei, L.; Yuan, Z.; Yu, M.; Huang, C.; Cao, L. Estimation of Arsenic Content in Soil Based on Laboratory and Field Reflectance Spectroscopy. Sensors 2019, 19, 3904. [Google Scholar] [CrossRef]
- Liaw, A.; Wiener, M. Classification and Regression by randomForest. R News 2002, 2, 18–22. [Google Scholar]
- Sun, J.; Yang, J.; Shi, S.; Chen, B.; Du, L.; Gong, W.; Song, S. Estimating Rice Leaf Nitrogen Concentration: Influence of Regression Algorithms Based on Passive and Active Leaf Reflectance. Remote Sens. 2017, 9, 951. [Google Scholar] [CrossRef]
- Cen, H.; Wan, L.; Zhu, J.; Li, Y.; Li, X.; Zhu, Y.; Weng, H.; Wu, W.; Yin, W.; Xu, C.; et al. Dynamic Monitoring of Biomass of Rice under Different Nitrogen Treatments Using a Lightweight UAV with Dual Image-Frame Snapshot Cameras. Plant Methods 2019, 15, 32. [Google Scholar] [CrossRef]
- Yang, L.; Zhang, X.; Liang, S.; Yao, Y.; Jia, K.; Jia, A. Estimating Surface Downward Shortwave Radiation over China Based on the Gradient Boosting Decision Tree Method. Remote Sens. 2018, 10, 185. [Google Scholar] [CrossRef]
- Friedman, J.H. Greedy Function Approximation: A Gradient Boosting Machine. Ann. Statist. 2001, 29, 1189–1232. [Google Scholar] [CrossRef]
- Wei, Z.; Meng, Y.; Zhang, W.; Peng, J.; Meng, L. Downscaling SMAP Soil Moisture Estimation with Gradient Boosting Decision Tree Regression over the Tibetan Plateau. Remote Sens. Environ. 2019, 225, 30–44. [Google Scholar] [CrossRef]
- Wang, L.; Zhou, X.; Zhu, X.; Dong, Z.; Guo, W. Estimation of Biomass in Wheat Using Random Forest Regression Algorithm and Remote Sensing Data. Crop J. 2016, 4, 212–219. [Google Scholar] [CrossRef]
- Tran, T.N.; Afanador, N.L.; Buydens, L.M.C.; Blanchet, L. Interpretation of Variable Importance in Partial Least Squares with Significance Multivariate Correlation (sMC). Chemom. Intell. Lab. Syst. 2014, 138, 153–160. [Google Scholar] [CrossRef]
- Chandrashekar, G.; Sahin, F. A Survey on Feature Selection Methods. Comput. Electr. Eng. 2014, 40, 16–28. [Google Scholar] [CrossRef]
- Li, R.; Wang, D.; Zhu, B.; Liu, T.; Sun, C.; Zhang, Z. Estimation of Grain Yield in Wheat Using Source–Sink Datasets Derived from RGB and Thermal Infrared Imaging. Food Energy Secur. 2023, 12, e434. [Google Scholar] [CrossRef]
- Han, L.; Yang, G.; Dai, H.; Xu, B.; Yang, H.; Feng, H.; Li, Z.; Yang, X. Modeling Maize Above-Ground Biomass Based on Machine Learning Approaches Using UAV Remote-Sensing Data. Plant Methods 2019, 15, 10. [Google Scholar] [CrossRef]
- Wang, L.; Chen, S.; Li, D.; Wang, C.; Jiang, H.; Zheng, Q.; Peng, Z. Estimation of Paddy Rice Nitrogen Content and Accumulation Both at Leaf and Plant Levels from UAV Hyperspectral Imagery. Remote Sens. 2021, 13, 2956. [Google Scholar] [CrossRef]
- Yang, B.; Ma, J.; Yao, X.; Cao, W.; Zhu, Y. Estimation of Leaf Nitrogen Content in Wheat Based on Fusion of Spectral Features and Deep Features from Near Infrared Hyperspectral Imagery. Sensors 2021, 21, 613. [Google Scholar] [CrossRef] [PubMed]
- Fu, Y.; Yang, G.; Pu, R.; Li, Z.; Li, H.; Xu, X.; Song, X.; Yang, X.; Zhao, C. An Overview of Crop Nitrogen Status Assessment Using Hyperspectral Remote Sensing: Current Status and Perspectives. Eur. J. Agron. 2021, 124, 126241. [Google Scholar] [CrossRef]
- Lu, J.; Eitel, J.U.H.; Engels, M.; Zhu, J.; Ma, Y.; Liao, F.; Zheng, H.; Wang, X.; Yao, X.; Cheng, T.; et al. Improving Unmanned Aerial Vehicle (UAV) Remote Sensing of Rice Plant Potassium Accumulation by Fusing Spectral and Textural Information. Int. J. Appl. Earth Obs. Geoinf. 2021, 104, 102592. [Google Scholar] [CrossRef]
- Fu, Y.; Yang, G.; Song, X.; Li, Z.; Xu, X.; Feng, H.; Zhao, C. Improved Estimation of Winter Wheat Aboveground Biomass Using Multiscale Textures Extracted from UAV-Based Digital Images and Hyperspectral Feature Analysis. Remote Sens. 2021, 13, 581. [Google Scholar] [CrossRef]







| Experiment | Dates | Stage | Field Measurements |
|---|---|---|---|
| Exp.1 | 17 March 2020 | Jointing | LNC, AGB |
| 02 April 2020 | Booting | LNC, AGB | |
| 25 April 2020 | Flowering | LNC, AGB | |
| Exp.2 | 24 March 2021 | Jointing | LNC, AGB |
| 09 April 2021 | Booting | LNC, AGB | |
| 29 April 2021 | Flowering | LNC, AGB |
| Color Indices | Calculation | Reference |
|---|---|---|
| Visible Atmospherically Resistance Index | [37] | |
| Excess Red Index | [38] | |
| Excess Green Index | [38] | |
| Green Leaf Index | [39] | |
| Excess Green Minus Excess Red | [40] | |
| Normalized Green-Red Difference Index | [41] | |
| Normalized Green-Blue Difference Index | [41] | |
| Modified Green-Blue Vegetation Index | [16] | |
| Red-Green-Blue Vegetation Index | [16] | |
| Red-Green Ratio Index | [42] |
| Vegetation Indices | Calculation | Reference |
|---|---|---|
| Ratio Vegetation Index | [43] | |
| Normalized Difference Vegetation Index | [43] | |
| Green Normalized Difference Vegetation Index | [44] | |
| Difference Vegetation Index | [45] | |
| Re-normalized Difference Vegetation index | [46] | |
| Water Index | [47] | |
| Water Band Index | [48] | |
| Modified Red-Edge Simple Ratio Index | [49] | |
| Modified Red-Edge NDVI | [50] | |
| Normalized Pigment Chlorophyll Index | [48] | |
| Red Edge NDVI | [51] | |
| Relative Index | [52] | |
| Vogelmann Red Edge Index | [53] | |
| Atmospherically Resistant Vegetation Index | [54] | |
| Plant Senescence Reflectance Index | [55] | |
| Modified Chlorophyll Absorption in Reflectance Index | [56] | |
| Transformed Chlorophyll Absorption Ratio | [57] | |
| Optimized Soil Adjusted Vegetation Index | [58] |
| Stages | AGB (t/hm2) | LNC (mg/g) | ||||||||
|---|---|---|---|---|---|---|---|---|---|---|
| Number | Range | Mean | SD | CV (%) | Number | Range | Mean | SD | CV (%) | |
| Calibration | ||||||||||
| Jointing stage | 72 | 1.98–6.47 | 4.12 | 0.89 | 21.53 | 72 | 19.24–49.74 | 37.12 | 10.20 | 27.47 |
| Booting stage | 72 | 5.25–12.37 | 8.68 | 1.67 | 19.18 | 72 | 16.94–49.40 | 35.51 | 9.83 | 27.68 |
| Flowering stage | 72 | 8.22–16.59 | 12.06 | 2.05 | 16.98 | 72 | 15.01–42.74 | 30.30 | 8.45 | 27.89 |
| Validation | ||||||||||
| Jointing stage | 24 | 2.06–6.31 | 4.05 | 1.29 | 31.83 | 24 | 19.35–47.74 | 36.70 | 10.14 | 27.63 |
| Booting stage | 24 | 5.48–11.31 | 8.59 | 1.77 | 20.59 | 24 | 18.68–46.51 | 35.52 | 9.62 | 27.10 |
| Flowering stage | 24 | 8.42–16.55 | 11.97 | 2.52 | 21.05 | 24 | 15.92–42.70 | 30.60 | 8.68 | 28.37 |
| Variable | CARS-AGB | IRIVs-AGB | RF-AGB | CARS-LNC | IRIVs-LNC | RF-LNC |
|---|---|---|---|---|---|---|
| R | √ | |||||
| G | √ | √ | ||||
| B | √ | |||||
| r | ||||||
| g | √ | |||||
| b | √ | |||||
| VARI | ||||||
| ExR | ||||||
| ExG | ||||||
| GLI | ||||||
| ExGR | √ | |||||
| NGRDI | ||||||
| NGBDI | √ | |||||
| MGRVI | ||||||
| RGBVI | ||||||
| RGRI | √ | |||||
| RVI | ||||||
| NDVI | √ | |||||
| GNDVI | √ | √ | √ | √ | √ | |
| DVI | √ | √ | √ | √ | ||
| RDVI | √ | √ | ||||
| WI | √ | √ | ||||
| WBI | √ | √ | √ | √ | ||
| mRESR | √ | √ | ||||
| mRENDVI | √ | √ | √ | |||
| NPCI | √ | √ | ||||
| RENDVI | √ | √ | √ | |||
| RI | √ | √ | √ | √ | ||
| VREI | √ | |||||
| ARVI | √ | √ | ||||
| PSRI | √ | √ | √ | √ | ||
| MCARI | √ | √ | √ | |||
| TCARI | √ | √ | √ | √ | √ | |
| OSAVI | √ | √ |
| Agronomic Traits | Algorithms | Calibration | Validation | ||||
|---|---|---|---|---|---|---|---|
| R2 | RMSE (t/hm2) | NRMSE (%) | R2 | RMSE (mg/g) | NRMSE (%) | ||
| AGB | CARS-GBDT | 0.61 | 2.26 | 27.22 | 0.52 | 1.89 | 23.03 |
| CARS-MLR | 0.43 | 2.74 | 33.03 | 0.48 | 1.96 | 23.91 | |
| CARS-RFR | 0.65 | 2.16 | 26.01 | 0.58 | 1.76 | 21.47 | |
| IRIVs-GBDT | 0.66 | 2.10 | 25.32 | 0.49 | 1.95 | 23.74 | |
| IRIVs-MLR | 0.51 | 2.54 | 30.66 | 0.41 | 2.09 | 25.50 | |
| IRIVs-RFR | 0.75 | 1.80 | 21.75 | 0.67 | 1.56 | 19.06 | |
| RF-GBDT | 0.70 | 1.98 | 23.87 | 0.55 | 1.84 | 22.40 | |
| RF-MLR | 0.53 | 2.50 | 30.14 | 0.44 | 2.05 | 24.99 | |
| RF-RFR | 0.79 | 1.67 | 20.19 | 0.68 | 1.54 | 18.74 | |
| LNC | CARS-GBDT | 0.94 | 2.50 | 7.28 | 0.81 | 3.51 | 10.25 |
| CARS-MLR | 0.91 | 2.90 | 8.44 | 0.78 | 3.74 | 10.91 | |
| CARS-RFR | 0.95 | 2.32 | 6.75 | 0.87 | 2.88 | 8.42 | |
| IRIVs-GBDT | 0.93 | 2.65 | 7.73 | 0.80 | 3.57 | 10.40 | |
| IRIVs-MLR | 0.88 | 3.37 | 9.83 | 0.75 | 4.01 | 11.68 | |
| IRIVs-RFR | 0.92 | 2.87 | 8.37 | 0.83 | 3.34 | 9.75 | |
| RF-GBDT | 0.87 | 3.61 | 10.51 | 0.76 | 3.94 | 11.49 | |
| RF-MLR | 0.82 | 4.19 | 12.23 | 0.69 | 4.45 | 12.98 | |
| RF-RFR | 0.89 | 3.31 | 9.64 | 0.78 | 3.77 | 10.99 | |
Disclaimer/Publisher’s Note: The statements, opinions and data contained in all publications are solely those of the individual author(s) and contributor(s) and not of MDPI and/or the editor(s). MDPI and/or the editor(s) disclaim responsibility for any injury to people or property resulting from any ideas, methods, instructions or products referred to in the content. |
© 2023 by the authors. Licensee MDPI, Basel, Switzerland. This article is an open access article distributed under the terms and conditions of the Creative Commons Attribution (CC BY) license (https://creativecommons.org/licenses/by/4.0/).
Share and Cite
Wang, D.; Li, R.; Liu, T.; Sun, C.; Guo, W. Estimation of Agronomic Characters of Wheat Based on Variable Selection and Machine Learning Algorithms. Agronomy 2023, 13, 2808. https://doi.org/10.3390/agronomy13112808
Wang D, Li R, Liu T, Sun C, Guo W. Estimation of Agronomic Characters of Wheat Based on Variable Selection and Machine Learning Algorithms. Agronomy. 2023; 13(11):2808. https://doi.org/10.3390/agronomy13112808
Chicago/Turabian StyleWang, Dunliang, Rui Li, Tao Liu, Chengming Sun, and Wenshan Guo. 2023. "Estimation of Agronomic Characters of Wheat Based on Variable Selection and Machine Learning Algorithms" Agronomy 13, no. 11: 2808. https://doi.org/10.3390/agronomy13112808
APA StyleWang, D., Li, R., Liu, T., Sun, C., & Guo, W. (2023). Estimation of Agronomic Characters of Wheat Based on Variable Selection and Machine Learning Algorithms. Agronomy, 13(11), 2808. https://doi.org/10.3390/agronomy13112808

