Study on the Influence of Grooved-Wheel Working Parameters on Fertilizer Emission Performance and Parameter Optimization
Abstract
:1. Introduction
2. Materials and Methods
2.1. Structure Composition of Grooved-Wheel Type Fertilizer Discharger
2.2. Grooved-Wheel Working Parameter Analysis
2.3. Determination and Selection of Simulation Parameters of Fertilizer Particles
2.3.1. Development of Discrete Element Simulation Platform
2.3.2. Discrete Element Contact Model
2.3.3. Experimental Simulation Method
2.3.4. Evaluation Method of Fertilizer Performance
2.4. Bench Test Platform
2.5. Single-Factor Experiment Design
3. Results and Discussion
3.1. The Influence of the Grooved-Wheel Speed
3.1.1. Analysis of Movement State of Fertilizer Particles
3.1.2. Analysis of Force and Kinetic Energy of Fertilizer Particles
3.1.3. Effect of Grooved-Wheel Speed on Fertilization Uniformity and Fertilization Amount
3.2. The Influence of the Working Length of the Grooved Wheel
3.2.1. Analysis of Movement State of Fertilizer Particles
3.2.2. Analysis of Force and Kinetic Energy of Fertilizer Particles
3.2.3. Effect of the Working Length of the Grooved Wheel on Fertilization Uniformity and Fertilization Amount
3.3. The Influence of Forward Speed
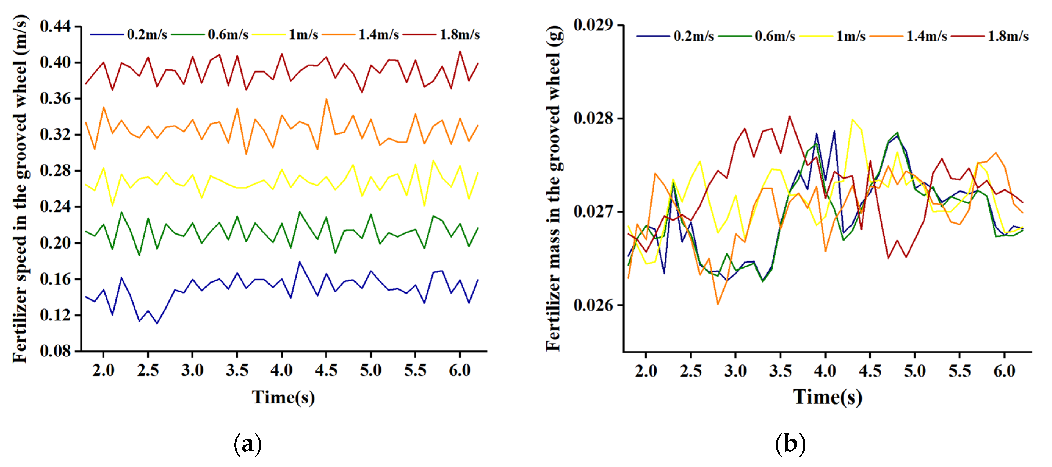
3.3.1. Analysis of Movement State of Fertilizer Particles
3.3.2. Analysis of Force and Kinetic Energy of Fertilizer Particles
3.3.3. Effect of the Forward Speed of the Grooved Wheel on Fertilization Uniformity and Fertilization Amount
3.4. Design and Analysis of Orthogonal Experiment
3.4.1. Variance Analysis
3.4.2. Response Surface Analysis of Interaction between Factors
3.5. Performance Comparison of Optimized Working Parameters
4. Conclusions
Supplementary Materials
Author Contributions
Funding
Data Availability Statement
Conflicts of Interest
References
- Zhang, L.; Qin, R.; Chai, N.; Wei, H.H.; Yang, Y.; Wang, Y.C.; Li, F.M.; Zhang, F. Optimum fertilizer application rate to ensure yield and decrease greenhouse gas emissions in rain-fed agriculture system of the Loess Plateau. Sci. Total Environ. 2022, 823, 153762. [Google Scholar] [CrossRef] [PubMed]
- Yin, J.; Song, Z.; Guo, X.S.; Ding, F.J.; Shen, Y.; Zhang, J.; Zhao, C.Q.; Liu, T.X.; Ma, X.W. Adjusting the fertilizer application structure for nutrient saving and yield increase in potato. Int. J. Plant Prod. 2023, 17, 379–387. [Google Scholar] [CrossRef]
- Wang, J.F.; Wang, Z.T.; Weng, W.X.; Liu, Y.F.; Fu, Z.D.; Wang, J.W. Development status and trends in side-deep fertilization of rice. Renew. Agric. Food Syst. 2022, 37, 550–575. [Google Scholar] [CrossRef]
- Bangura, K.; Gong, H.; Deng, R.L.; Tao, M.; Liu, C.; Cai, Y.H.; Liao, K.F.; Liu, J.W.; Qi, L. Simulation analysis of fertilizer discharge process using the Discrete Element Method. PLoS ONE 2020, 15, e0235872. [Google Scholar] [CrossRef] [PubMed]
- Lv, H.; Yu, J.; Fu, H. Simulation of the operation of a fertilizer spreader based on an outer groove wheel using a discrete element method. Math. Comput. Model. 2013, 58, 836–845. [Google Scholar] [CrossRef]
- Zheng, W.Q.; Zhang, L.P.; Zhang, L.X.; Zhou, J.P. Reflux problem analysis and structure optimization of the spiral grooved-wheel fertilizer apparatus. Int. J. Simul. Model. 2020, 19, 422–433. [Google Scholar] [CrossRef]
- Shi, Y.Y.; Hu, Z.C.; Wang, X.C.; Odhiambo, M.R.O. Motion analysis and system response of fertilizer feed apparatus for paddy Variable-Rate fertilizer spreader. Comput. Electron. Agric. 2018, 153, 239–247. [Google Scholar] [CrossRef]
- Zhu, Q.Z.; Wu, G.W.; Chen, L.P.; Zhao, C.J.; Meng, Z.J. lnfluences of structure parameters of straight flute wheel on fertilizing performance of fertilizer apparatus. Trans. Chin. Soc. Agric. Eng. 2018, 34, 12–20. [Google Scholar] [CrossRef]
- Wang, J.F.; Fu, Z.D.; Jiang, R.; Song, Y.L.; Yang, D.Z.; Wang, Z.T. Influences of grooved wheel structural parameters on fertilizer discharge performance: Optimization by simulation and experiment. Powder Technol. 2023, 418, 118309. [Google Scholar] [CrossRef]
- Wang, B.T.; Bai, L.; Ding, S.P.; Yao, Y.X.; Huang, Y.X.; Zhu, R.X. Simulation and experimental study on impact of fluted-roller fertilizer key parameters on fertilizer amount. J. Chin. Agric. Mech. 2017, 10, 1–6. [Google Scholar] [CrossRef]
- Zeng, Z.; Chen, Y. Simulation of soil-micropenetrometer interaction using the discrete element method (DEM). Trans. ASABE 2016, 59, 1157–1163. [Google Scholar] [CrossRef]
- Song, X.F.; Dai, F.; Zhang, F.W.; Wang, D.M.; Liu, Y.C. Calibration of DEM models for fertilizer particles based on numerical simulations and granular experiments. Comput. Electron. Agric. 2023, 204, 107507. [Google Scholar] [CrossRef]
- Liu, J.S.; Gao, C.Q.; Nie, Y.J.; Xu, Z.H. Numerical simulation of fertilizer shunt-plate with uniformity based on EDEM software. Comput. Electron. Agric. 2020, 178, 105737. [Google Scholar] [CrossRef]
- Sun, J.F.; Chen, H.C.; Duan, J.L.; Liu, Z.; Zhu, Q.C. Mechanical properties of the grooved-wheel drilling particles under multivariate interaction influenced based on 3d printing and EDEM simulation. Comput. Electron. Agric. 2020, 172, 105329. [Google Scholar] [CrossRef]
- Du, J.; Yang, Q.; Xia, J.F.; Li, G. Discrete element modeling and verification of an outer groove wheel fertilizer applicator with helical teeth. Trans. ASABE 2020, 63, 659–665. [Google Scholar] [CrossRef]
- Zeng, S.; Tan, Y.; Wang, Y.; Luo, X.; Yao, L.; Huang, D.; Zewen, M. Structural design and parameter determination for fluted-roller fertilizer applicator. Int. J. Agric. Biol. Eng. 2020, 2, 4999. [Google Scholar] [CrossRef]
- Xu, L.; Luo, K.; Zhao, Y.Z. Numerical prediction of wear in SAG mills based on DEM simulations. Powder Technol. 2018, 329, 353–363. [Google Scholar] [CrossRef]
- Coskun, M.B.; Yalcin, I.; Oezarslan, C. Physical properties of sweet corn seed (Zea mays saccharata Sturt.). J. Food Eng. 2006, 74, 523–528. [Google Scholar] [CrossRef]
- Renzo, A.D.; Maio, F.P.D. Comparison of contact-force models for the simulation of collisions in DEM-based granular flow codes. Chem. Eng. Sci. 2004, 59, 525–541. [Google Scholar] [CrossRef]
- Barrios, G.K.P.; De-Carvalho, R.M.; Kwade, A.; Tavares, L.M. Contact parameter estimation for DEM simulation of iron ore pellet handling. Powder Technol. 2013, 248, 84–93. [Google Scholar] [CrossRef]
- Wang, J.F.; Gao, G.B.; Weng, W.X. Design and experiment of key components of side deep fertilization device for paddy field. Trans. Chin. Soc. Agric. Mach. 2018, 49, 92–104. [Google Scholar] [CrossRef]
- Su, N.; Xu, T.S.; Song, L.T.; Wang, R.J.; Wei, Y.Y. Variable rate fertilization system with adjustable active feed-roll length. Int. J. Agric. Biol. Eng. 2015, 8, 19–26. [Google Scholar] [CrossRef]
- Maleki, M.R.; Mouazen, A.M.; De-Ketelaere, B.; Ramon, H.; De-Baerdemaeker, J. On-the-go variable-rate phosphorus fertilisation based on a visible and near-infrared soil sensor. Biosyst. Eng. 2008, 99, 35–46. [Google Scholar] [CrossRef]
- Kharim, M.N.A.; Wayayok, A.; Shariff, A.R.M.; Abdullah, A.F.; Husin, E.M. Droplet deposition density of organic liquid fertilizer at low altitude uav aerial spraying in rice cultivation. Comput. Electron. Agric. 2019, 167, 105045. [Google Scholar] [CrossRef]
- Sun, X.B.; Niu, L.H.; Cai, M.C.; Liu, Z.; Wang, Z.H.; Wang, J.W. Particle motion analysis and performance investigation of a fertilizer discharge device with helical staggered groove wheel. Comput. Electron. Agric. 2023, 213, 108241. [Google Scholar] [CrossRef]
- Villette, S.; Piron, E.; Miclet, D.; Martin, R.; Jones, G.; Paoli, J.N.; Gée, C. How mass flow and rotational speed affect fertiliser centrifugal spreading: Potential interpretation in terms of the amount of fertiliser per vane. Biosyst. Eng. 2012, 111, 133–138. [Google Scholar] [CrossRef]
- Hu, H.J.; Zhou, Z.L.; Wu, W.C.; Yang, W.H.; Li, T.; Chang, C.; Ren, W.J.; Lei, X.L. Distribution characteristics and parameter optimisation of an air-assisted centralised seed-metering device for rapeseed using a CFD-DEM coupled simulation. Biosyst. Eng. 2021, 208, 246–259. [Google Scholar] [CrossRef]
- Gao, X.; Cui, T.; Zhou, Z.; Yu, Y.; Song, W. DEM study of particle motion in novel high-speed seed metering device. Adv. Powder Technol. 2021, 32, 1438–1449. [Google Scholar] [CrossRef]
- Zha, X.; Zhang, G.; Han, Y.; Salem, A.E.; Fu, J.; Zhou, Y. Structural optimization and performance evaluation of blocking wheel-type screw fertilizer distributor. Agriculture 2021, 11, 248. [Google Scholar] [CrossRef]
- Sugirbay, A.M.; Zhao, J.; Nukeshev, S.O.; Chen, J. Determination of pin-roller parameters and evaluation of the uniformity of granular fertilizer application metering devices in precision farming. Comput. Electron. Agric. 2020, 179, 105835. [Google Scholar] [CrossRef]
- Gao, X.; Xie, G.; Xu, Y. Application of a staggered symmetrical spiral groove wheel on a quantitative feeding device and investigation of particle motion characteristics based on DEM. Powder Technol. 2022, 407, 117650. [Google Scholar] [CrossRef]
- Yildirim, Y. Effect of cone angle and revolution speed of disc on fertilizer distribution uniformity in single-disc rotary fertilizer spreaders. J. Appl. Sci. 2006, 6, 2875–2881. [Google Scholar] [CrossRef]
- Shi, Y.Y.; Chen, M.; Wang, X.C.; Odhiambo, M.R.O. Numerical simulation of spreading performance and distribution pattern of centrifugal variable-rate fertilizer applicator based on DEM software. Comput. Electron. Agric. 2018, 144, 249–259. [Google Scholar] [CrossRef]
- Tang, H.; Jiang, Y.M.; Wang, J.W.; Wang, J.F.; Zhou, W.Q. Numerical analysis and performance optimization of a spiral fertilizer distributor in side deep fertilization of a paddy field. J. Mech. Eng. Sci. 2021, 235, 3495–3505. [Google Scholar] [CrossRef]
- Adilet, S.; Zhao, J.; Sayakhat, N.; Chen, J.; Nikolay, Z.; Bu, L.X.; Sugirbayeva, Z.; Hu, G.; Marat, M.; Wang, Z.W. Calibration strategy to determine the interaction properties of fertilizer particles using two laboratory tests and DEM. Agriculture 2021, 11, 592. [Google Scholar] [CrossRef]
- He, Y.K.; Li, C.L.; Zhao, X.G.; Gao, Y.Y.; Wang, X. Simulation analysis of the fertilizer ejecting device of corn fertilizer applicator based on EDEM. J. Phys. Conf. Ser. 2020, 1633, 012061. [Google Scholar] [CrossRef]





















| Levels | Grooved-Wheel Speed (r/min) | Working Length of Grooved-Wheel (mm) | Forward Speed (m/s) |
|---|---|---|---|
| 1.682 | 60 | 40 | 1.5 |
| 1 | 53.92 | 33.92 | 1.3 |
| 0 | 45 | 25 | 1 |
| −1 | 36.08 | 16.08 | 0.7 |
| −1.682 | 30 | 10 | 0.5 |
| No. | Factor | Performanceindex | |||||
|---|---|---|---|---|---|---|---|
| A (r/min) | B (mm) | C (m/s) | A × B | A × C | B × C | y% | |
| 1 | −1 | −1 | −1 | −1 | −1 | −1 | 20.69 |
| 2 | 1 | −1 | −1 | −1 | −1 | 1 | 9.39 |
| 3 | −1 | 1 | −1 | −1 | 1 | −1 | 11.97 |
| 4 | 1 | 1 | −1 | 1 | −1 | −1 | 6.28 |
| 5 | −1 | −1 | 1 | 1 | −1 | 1 | 21.50 |
| 6 | 1 | −1 | 1 | −1 | 1 | −1 | 19.94 |
| 7 | −1 | 1 | 1 | −1 | −1 | 1 | 17.17 |
| 8 | 1 | 1 | 1 | 1 | 1 | 1 | 12.15 |
| 9 | −1.682 | 0 | 0 | 0 | 0 | 0 | 20.70 |
| 10 | 1.682 | 0 | 0 | 0 | 0 | 0 | 9.73 |
| 11 | 0 | −1.682 | 0 | 0 | 0 | 0 | 21.55 |
| 12 | 0 | 1.682 | 0 | 0 | 0 | 0 | 8.69 |
| 13 | 0 | 0 | −1.682 | 0 | 0 | 0 | 7.60 |
| 14 | 0 | 0 | 1.682 | 0 | 0 | 0 | 20.51 |
| 15 | 0 | 0 | 0 | 0 | 0 | 0 | 17.32 |
| 16 | 0 | 0 | 0 | 0 | 0 | 0 | 18.94 |
| 17 | 0 | 0 | 0 | 0 | 0 | 0 | 17.77 |
| 18 | 0 | 0 | 0 | 0 | 0 | 0 | 19.29 |
| 19 | 0 | 0 | 0 | 0 | 0 | 0 | 18.23 |
| 20 | 0 | 0 | 0 | 0 | 0 | 0 | 16.67 |
| 21 | 0 | 0 | 0 | 0 | 0 | 0 | 19.57 |
| 22 | 0 | 0 | 0 | 0 | 0 | 0 | 17.43 |
| 23 | 0 | 0 | 0 | 0 | 0 | 0 | 16.90 |
| Sources of Variance | Sum of Squares | Freedom | Mean Squares | F | p-Value Prob > F | Significance |
|---|---|---|---|---|---|---|
| A | 129.28 | 1 | 129.28 | 66.76 | <0.0001 | |
| B | 120.30 | 1 | 120.30 | 62.12 | <0.0001 | |
| C | 142.68 | 1 | 142.68 | 73.67 | <0.0001 | |
| A × B | 0.58 | 1 | 0.58 | 0.30 | 0.5942 | |
| A × C | 13.55 | 1 | 13.55 | 6.99 | 0.0202 | |
| B × C | 0.011 | 1 | 0.011 | 5.428 × 10−3 | 0.9424 | |
| A2 | 10.69 | 1 | 10.69 | 5.52 | 0.0352 | |
| B2 | 30.45 | 1 | 30.45 | 15.72 | 0.0016 | |
| C2 | 24.06 | 1 | 24.06 | 12.42 | 0.0037 | |
| e | 8.88 | 8 | 1.11 |
| Structure Parameters | Working Parameters | CV (%) | |||
|---|---|---|---|---|---|
| Optimize the rear grooved wheel | Depth of groove (mm) | 9 | Grooved-wheel speed (r/min) | 53.64 | 4.95 |
| Ridge thickness (mm) | 2 | Working length (mm) | 33.45 | ||
| Lead angle (°) | 45 | Forward speed (m/s) | 0.71 | ||
| Wang et al. [9] | Depth of groove (mm) | 9 | Grooved-wheel speed (r/min) | 45 | 9.08 |
| Ridge thickness (mm) | 2 | Working length (mm) | 40 | ||
| Lead angle (°) | 45 | Forward speed (m/s) | 1 | ||
| Zhu et al. [8] | Depth of groove (mm) | * | Grooved-wheel speed (r/min) | 20 | 5.48 |
| Ridge thickness (mm) | * | Working length (mm) | 20 | ||
| Lead angle (°) | * | Forward speed (m/s) | 0.5 | ||
| Villette et al. [26] | Depth of groove (mm) | 15 | Grooved-wheel speed (r/min) | 30 | 31.48 |
| Ridge thickness (mm) | 2 | Working length (mm) | 30 | ||
| Lead angle (°) | 60 | Forward speed (m/s) | 0.6 | ||
| He et al. [36] | Depth of groove (mm) | 8.5 | Grooved-wheel speed (r/min) | 40 | 14.62 |
| Ridge thickness (mm) | * | Working length (mm) | 21 | ||
| Lead angle (°) | * | Forward speed (m/s) | * | ||
Disclaimer/Publisher’s Note: The statements, opinions and data contained in all publications are solely those of the individual author(s) and contributor(s) and not of MDPI and/or the editor(s). MDPI and/or the editor(s) disclaim responsibility for any injury to people or property resulting from any ideas, methods, instructions or products referred to in the content. |
© 2023 by the authors. Licensee MDPI, Basel, Switzerland. This article is an open access article distributed under the terms and conditions of the Creative Commons Attribution (CC BY) license (https://creativecommons.org/licenses/by/4.0/).
Share and Cite
Wang, J.; Wang, R.; Ju, J.; Song, Y.; Fu, Z.; Lin, T.; Chen, G.; Jiang, R.; Wang, Z. Study on the Influence of Grooved-Wheel Working Parameters on Fertilizer Emission Performance and Parameter Optimization. Agronomy 2023, 13, 2779. https://doi.org/10.3390/agronomy13112779
Wang J, Wang R, Ju J, Song Y, Fu Z, Lin T, Chen G, Jiang R, Wang Z. Study on the Influence of Grooved-Wheel Working Parameters on Fertilizer Emission Performance and Parameter Optimization. Agronomy. 2023; 13(11):2779. https://doi.org/10.3390/agronomy13112779
Chicago/Turabian StyleWang, Jinfeng, Ruidong Wang, Jinyan Ju, Yuling Song, Zuodong Fu, Tenghui Lin, Guoqing Chen, Rui Jiang, and Zhentao Wang. 2023. "Study on the Influence of Grooved-Wheel Working Parameters on Fertilizer Emission Performance and Parameter Optimization" Agronomy 13, no. 11: 2779. https://doi.org/10.3390/agronomy13112779
APA StyleWang, J., Wang, R., Ju, J., Song, Y., Fu, Z., Lin, T., Chen, G., Jiang, R., & Wang, Z. (2023). Study on the Influence of Grooved-Wheel Working Parameters on Fertilizer Emission Performance and Parameter Optimization. Agronomy, 13(11), 2779. https://doi.org/10.3390/agronomy13112779

