Abstract
Calendula officinalis L. (Asteraceae), commonly known as English or pot marigold, is an herbaceous plant with edible flowers. In this study, UPLC-ESI-MS/MS analysis was used for tentative identification of compounds in marigold flower methanol extract (MFE). In addition, RP-HPLC-DAD analysis was used to quantify the flavonoids hesperidin and rutin in MFE. The antileishmanial potentials of the crude extract and compounds were evaluated against Leishmania major promastigotes and amastigotes. Further, in vivo 4-day antimalarial testing of the extract and compounds was carried out at doses of 25 mg kg−1 per day using mice infected with ANKA strain of Plasmodium berghei, following standard procedure. Molecular docking studies were carried out to assess the binding mode of flavonoids against the vital targets of L. major, including pteridine reductase 1 and farnesyl diphosphate synthase enzymes. The in silico antimalarial potentials of flavonoids were evaluated against wild-type Plasmodium falciparum dihydrofolate reductase-thymidylate synthase and phosphoethanolamine methyltransferase enzymes. Twenty compounds were tentatively identified by UPLC-ESI-MS/MS analysis of MFE, of which, seven flavonoids, six saponins, three phenolic acids, three fatty acids, and a triterpene glycoside were identified. MFE phytochemical analysis revealed that hesperidin content was 36.17 mg g−1 extract, that is, 9.9-fold their content of rutin (3.65 mg g−1 extract). The method was validated to ensure reproducibility of the results. The tested samples exhibited antileishmanial potentials against L. major promastigotes, with IC50 values of 98.62, 118.86, and 104.74 ng µL−1 for hesperidin, rutin, and MFE, respectively. Likewise, hesperidin showed inhibitory potentials against L. major amastigote with an IC50 value of 108.44 ± 11.2 µM, as compared to miltefosine. The mean survival time, parasitemia, and suppression percentages showed similar results for the three samples against ANKA strain of P. berghei. The docking studies showed good binding affinities of rutin and hesperidin with numerous H-bonding and van der Waals interactions. Marigold flowers are nutraceuticals, presenting important sources of bioactive flavonoids with potential against neglected tropical diseases.
1. Introduction
Malaria and leishmaniasis are vector-borne diseases in tropical and subtropical countries. These neglected tropical diseases have serious impacts on human health, and present a high economic burden on these countries. Even with high-measure standards for eradication techniques, malaria and leishmaniasis can cause up to 400,000 and 70,000 global deaths annually, respectively [1,2]. No vaccine has been found effective for either of them, and current medications present numerous adverse effects, high cost of treatment, toxicity profiles, and, eventually, the parasites develop drug resistance [3,4]. Natural products have an inevitable role in maintaining the quality of human life against numerous diseases. Many antiparasitic drugs are derived from natural sources, such as quinine and artemisinin. Thus, researchers are directed to natural sustainable sources for the effective management of parasitic diseases and their complications, due to fewer side effects, lower cost, and being environmentally friendly [5].
Calendula officinalis L., commonly known as English marigold or pot marigold, is an herbaceous plant with edible flowers in the family Asteraceae [6]. It is used as a functional food in many countries of the Middle East, such as Egypt and Saudi Arabia. It has shown promising biological activities such as antibacterial, antiseptic, antiviral, anti-inflammatory, antioxidant, antiobesogenic, and hypolipidemic effects [7,8]. The potential anti-inflammatory effects observed by marigold flower extract have encouraged their use in many cosmetic products [9]. In addition, Shahane et al. recently reported the cytotoxic, wound healing, hepatoprotective, anthelmintic, and antiprotozoal activities of C. officinalis [10]. Samra et al. [11] reported a novel compound of C. officinalis methanol extract. The compound demonstrated both in vitro antitrypanosomal and antileishmanial activity against L. donovani. C. officinalis was reported to contain important phytochemicals. Amongst the main chemical constituents identified in C. officinalis were phenolic acids, flavonoids, alkaloids, saponins, triterpenoids, essential oils, and tannins [6]. Thus, C. officinalis flowers were selected for the current study, as they are edible and, therefore, relatively safe, rich in polyphenol compounds and other valuable constituents; in addition, they were reported for antiprotozoal activities that make them a good candidate for this study.
Flavonoids represent a large class of polyphenolic compounds with numerous bioactivities. Hesperidin is a flavanone glycoside of hesperetin and the sugar rutinose. It has shown various pharmacological activities, mainly in blood vessel disorders, and is also used as anti-inflammatory, antimicrobial, antiviral, anticancer, platelet aggregation inhibitor, ultraviolet protecting agent, antioxidant, analgesic, antipyretic, antiallergic, immunomodulatory, antiulcer, and in wound healing [12,13]. Hesperidin was also reported to show antileishmanial effects by targeting sterol C-24 reductase of Leishmania donovani [14]. Several analytical methods have been reported for the determination of hesperidin, either alone or with other flavonoids, in plant extracts, as well as in pharmaceutical formulations [15,16]. Rutin is a flavonoid glycoside of quercetin aglycone and rutinose [17], found among many Citrus plants. Rutin displayed important pharmacological activities, such as antioxidant, hepatoprotective, antiviral, neuroprotective, anti-inflammatory, antiulcer, anticancer, cytotoxic, antihyperglycemic, vasoprotective, anticonvulsant, and cardioprotective effects [18,19,20]. A recent study reported that rutin showed in vitro antiplasmodial activity against P. falciparum; additionally, it showed potential synergy with chloroquine in vivo [21]. Rigane et al. tentatively identified rutin in Calendula officinalis aqueous methanol extract by LC-MS and HPLC [22].
Thus, the aim of this study was to evaluate the in vitro and in vivo antimalarial and antileishmanial potential of pot marigold (C. officinalis L.) flowers and its bioactive flavonoids, in addition to identification of its phytoconstituents by UPLC-PDA-ESI-MS/MS analysis, together with standardization of the extract to the content of rutin and hesperidin. To the best of our knowledge, this is the first study to quantify these flavonoids simultaneously from C. officinalis cultivated in Egypt. Verification of the observed activity was performed by in silico molecular docking for rutin and hesperidin on four enzymes involved in the parasites’ pathways, which are key enzymes for their survival.
2. Materials and Methods
2.1. Plant Material, Solvents, and Chemicals
Plant material from El-Orman Botanical Garden, Egypt, was kindly authenticated by Ms. Trease Labib, Consultant of Plant Taxonomy, Ministry of Agriculture, Egypt. A voucher specimen (PHG-P-CO-447) was kept at Pharmacognosy Department herbarium, Faculty of Pharmacy, Ain Shams University. HPLC grade solvents were used in the current study. Both hesperidin (≥97%) and rutin (≥95%) were purchased from Sigma-Aldrich, Saint Louis, MO, USA.
2.2. Plant Extract Preparation
Calendula officinalis flowers were dried in the shade, then 500 g of the dried flowers were macerated in methanol for three successive repetitions, followed by filtration using Whatman filter paper. The filtrates were combined, and the solvent was completely evaporated using a rotary evaporator at 45 °C and under reduced pressure. The resulting extract was kept at 4 °C for further analysis.
2.3. UPLC-PDA-ESI-MS/MS Analysis of C. officinalis Extract
Phytochemical profiling of C. officinalis extract was performed according to the previously reported methodology [23]. The analysis was carried out using XEVO TQD triple quadruple ESI mass spectrometer (Waters Corporation, Milford, MA, USA), and negative ionization mode was applied. A C18 ACQUITY UPLC–BEH reversed phase column (2.1 mm × 50 mm) was used with packing a particle size of 1.7 µm, and flow rate of 0.2 mL/min. Gradient elution was applied (Table 1) using two solvent systems: water containing 0.1% formic acid (A) and acetonitrile containing 0.1% formic acid (B). PDA detector scanned the UV absorbance of compounds at 200–400 nm. A desolvation temperature of 64 °C was used, and mass fragmentation was performed at CEs (collision energies) of 20, 25, 30, 35, 40, and 50 for molecular weights 100–300, 300–400, 400–500, 500–700, 700–1000, and higher than 1000, respectively.
Table 1.
Elution program used for UPLC-PDA-ESI-MS/MS analysis.
2.4. Chromatographic Conditions and Procedure for Standardization
A C18 reversed-phase 1200 HPLC (Agilent, Waldbronn, Germany) column of dimensions of 150 mm L × 4.6 mm ID, and particle size of 5 μm, was used in the analysis. It was equipped with an autosampler and diode array detector. Gradient elution was applied according to Table 2, using water (solvent A) and acetonitrile (solvent B) as the mobile phases. The mobile phase was first filtered through a Millipore filter, and then degassed by a sonicator for 30 min. The injection volume was adjusted to 20 μL, and flow rate was adjusted to 1.5 mL/min. UV detection was performed at 280 nm.
Table 2.
HPLC gradient elution process timetable.
2.5. Standard, Sample Preparation, and Calibration Curve
Two standard stock solutions of pure hesperidin and rutin were prepared by dissolving 1 mg of each in 10 mL of methanol in a volumetric flask. A mass of 1 mg of C. officinalis L. flower methanol extract was dissolved in 1 mL methanol. Then, the sample was filtered through a membrane filter (0.45 μm). Different dilutions of the standard stock solutions (0.1–0.8 mg/mL) were injected in triplicate. The regression equation and correlation coefficient (r2) were obtained from the curve.
2.6. Validation of Method
2.6.1. Accuracy (Recovery)
The average percentage recoveries of the used standards dilutions were used to determine the accuracy of the method. This was achieved by applying different peak area values into the corresponding regression equations [24]. Three replicates of each concentration were calculated.
2.6.2. Method and Intermediate Precision (Repeatability and Reproducibility)
The instrument’s precision was tested by injecting and analyzing (n = 9) different standard dilutions of 0.1–0.8 mg/mL. Then, the results were reported as % relative standard deviation, RSD. The interday and intraday precisions were determined by analyzing the standard solution at different dilutions (0.1–0.8 mg/mL), thrice on the same day and thrice on a different day. Then results were reported in terms of % RSD [24].
2.6.3. Limits of Detection (LOD) and Quantification (LOQ)
Serial stock dilutions were each made in a volumetric flask; the volumes were completed with methanol and analyzed three times. The LOD was calculated according to the equation: (LOD = 3.3 × SD of response/slope), while LOQ was calculated on the basis of the following equation: (LOQ = 10 × SD of response/slope) [24].
2.7. In Vitro Antileishmanial Activity
Promastigote and amastigote forms of the L. major strain were used for the in vitro evaluation, as reported earlier [25], but with the minor modification of using concentrations in terms of ng/µL instead of µM.
2.8. In Vivo Antimalarial Activity
Swiss albino mice (25–40 g), aged about four to six weeks old, of both sexes, were injected IV with erythrocytes having P. berghei ANKA (chloroquine-sensitive) strain infection (20–30% parasitic load), according to the method described by Fidock et al. [26]. The percentages of parasitemia and suppression were calculated as per the equations provided below, using levels of both treated and untreated groups’ parasites to give an indication of the sample efficacy [27]. Two hours postinfection, mice were divided into groups of five each. Samples were given at a dose of 25 mg kg−1 per day, orally by oral gavage [27]. The WHO has recommended the dose of chloroquine (for adults) to be 25 mg kg−1 [28], and subsequently, some researchers used this dose when testing antimalarial activity on mice [29]. Guided by them, we chose that concentration for the compounds to be comparable to chloroquine. This was carried out after an initial pilot study was performed to assess the efficacy and toxicity of all samples at this dose. The pilot study revealed that this dose was both effective and safe, without any signs of toxicity for the tested mice. The control group was only administered the vehicle, which was composed of 7% tween and 3% ethanol in distilled water, while the reference group received chloroquine phosphate at the same dose. Samples were given orally daily for another three days. After 96 h from the beginning of infection (4th day), the animals’ blood samples were stained with Giemsa to determine parasite levels microscopically. Survival times of mice compared to control were also recorded.
2.9. Molecular Docking Study
A molecular docking study was performed using Accelrys Discovery Studio 2.5, San Diego, CA, USA, for rutin and hesperidin on the active sites of wild-type Plasmodium falciparum dihydrofolate reductase-thymidylate synthase (PDB-ID: 1J3I), phosphoethanolamine methyltransferase enzyme from P. falciparum (PDB-ID: 2UJ9), L. major pteridine reductase 1 (PDB-ID: 2BFM), and Leishmania farnesyl diphosphate synthase enzymes (PDB-ID: 4JZX). The crystal structures of these enzymes cocrystallized with their docked ligands were used to identify active sites, upon which, docking procedures were performed as in previously reported methodology [30,31]. After docking of either compound, and applying CHARMm field forces, the binding energies were automatically calculated by the program software and were recorded.
2.10. Statistical Analyses
The antimalarial activities of the tested compounds and extract were presented as mean ± SD. To evaluate the suppression statistical significance, one-way ANOVA was performed using Origin 6.0 software. Additionally, Microsoft Excel 2007 was used to analyze the mean survival time and percentages of suppression and parasitemia. All data analyses were performed at a 95% confidence level. Regarding the antileishmanial in vitro assays, the IC50 value determination was carried out from the sigmoidal dose–response curves by using GraphPad Prism 5.0 Software (San Diego, CA, USA), while its SD was calculated using Microsoft Excel 2007. The analysis was performed in triplicate.
3. Results
3.1. UPLC-ESI-MS Analysis of C. officinalis Extract
Twenty compounds were tentatively identified by UPLC-ESI-MS/MS analysis of C. officinalis extract, of which, flavonoids and their glycosides represent the major class of compounds (seven compounds), in addition to six saponins, three phenolic acids, three fatty acids, and a triterpene glycoside. The compounds identified are presented in Table 3, while the chromatogram of the extract is shown in Figure 1.
Table 3.
Compounds tentatively identified in C. officinalis extract using LC-MS in negative ion mode.
Figure 1.
TIC chromatogram of C. officinalis methanol extract in negative ion mode.
Peak 1 showed a molecular ion peak at m/z 179 for caffeic acid, and the fragment of m/z 135 is for loss of carbon dioxide [M – H − 44]−. Peaks 2, 3, and 9 showed molecular ion peaks at m/z 609, 609, 463, respectively, with molecular ion fragment of m/z 300 for [aglycone − 2H]. Peak 3 showed molecular ion fragments of m/z 271 and 255 for deprotonation and loss of CO and CO2 moieties, respectively. Thus, peaks 2, 3, and 9 were identified as hesperidin (2.97%), rutin (1.12%), and quercetin hexoside (0.24%), respectively. Peak 4 showed a molecular ion peak at m/z 623 [M − H]− for narcissin, and a fragment ion of m/z 315 for rutinose sugar loss, while fragmentation of the isorhamnetin aglycone moiety yielded a fragment ion at m/z 300 [35]. Peaks 5 and 10 were identified as quercetin hexuronide and quercetin, where the m/z 301 fragments, among which is 151 is for [M − H]− of quercetin aglycone, which, upon retro-Diel–Alder’s fragmentation, will yield fragments, among which is the observed fragment ion m/z 151. Peak 6 showed a molecular ion peak at m/z 515 for dicaffeoyl quinic (4.72%), where the fragment ion 191 is for a deprotonated caffeic acid moiety, and 173 is for deprotonated quinic acid after loss of one molecule of water. Peak 7 was identified as p-Hydroxybenzoic acid with [M − H]− of 137, where loss of carbon dioxide moiety yielded a fragment ion of m/z 93. Peak 9 showed a molecular ion at m/z 971, which was also previously identified from Calendula species as betavulgaroside VI [33]. Peaks 11, 18, and 20 were fatty acids, and were identified as oxo-dihydroxy octadecenoic acid (5.48%), dihydroxyoctadecenoic acid (0.5%), and 9-hydroxy-10,12-octadecadienoic acid (6.49%), with molecular ions at m/z 327, 313, and 295, respectively. Their fragment ions observed were a result of subsequent loss of water molecules, which confirmed their identification. Peak 19 was identified as a triterpene glycoside, 3-O-glucuruopyranosyl of oleanolic acid with [M − H]− of m/z 631. Peaks 12 and 14 were identified as gluco-glucuronic acid hedragenin and glucuronic acid hedragenin, and are among the commonly reported saponins in Calendula species [33]. Another saponin previously reported in Calendula is soyasaponin βe’ (peak 17). Peak 13 showed [M − H]− of 955 for ginsenoside Ro, where upon mass fragmentation and loss of one molecule of glucose yielded a fragment ion at m/z 793. Peak 15 was identified as pinobanksin-O-acetate with [M − H]− at 313, a major fragment ion at 201, and a UV absorption maximum at 291 nm. Peak 16 was identified as calenduloside G, with [M − H]− at m/z 793, and the observed fragment ion at m/z 631 is due to loss of a glucose sugar moiety.
3.2. Method Development for Standardization
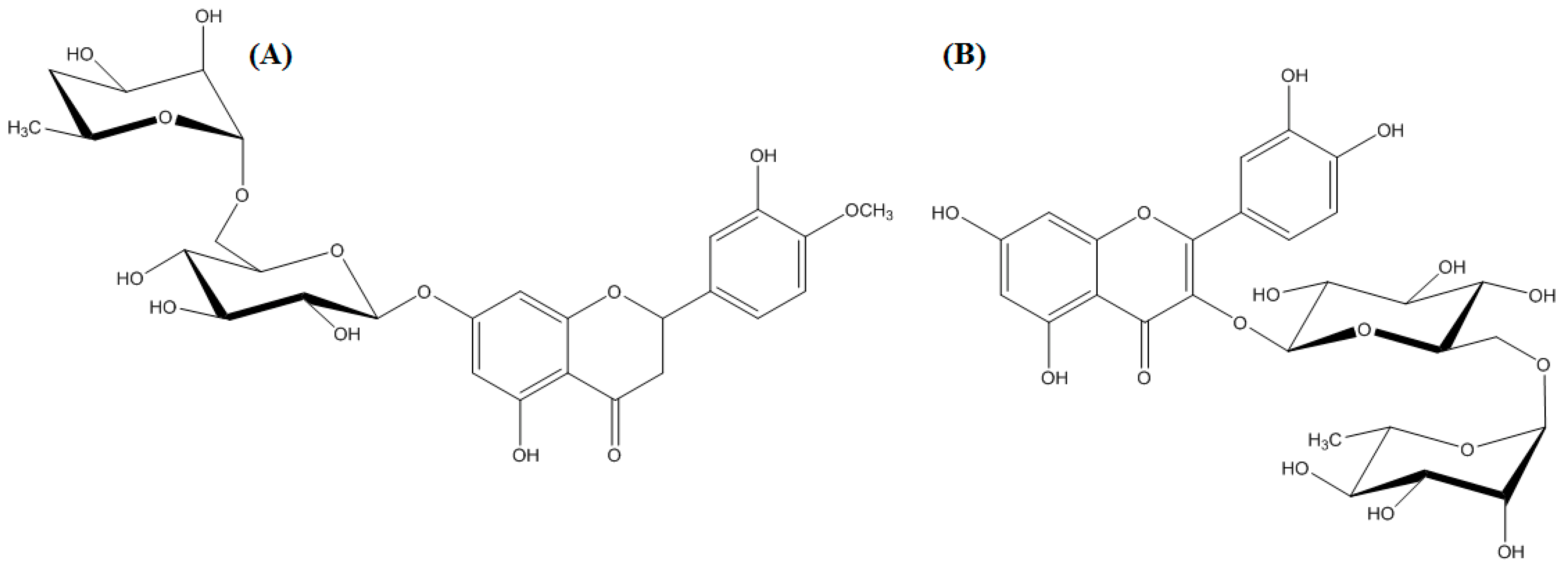
The retention time of either the hesperidin or rutin (Figure 2) peak was found to be reproducible when injecting each standard several times. The total runtime of the extract was 15 min. Symmetric and well-resolved peaks were obtained for rutin and hesperidin, respectively.
Figure 2.
Chemical structures of (A) hesperidin and (B) rutin.
3.3. Validation of Method
A calibration curve was constructed for each reference standard by plotting the peak area against its corresponding standard concentration. The calibration curves were linear in the ranges of 0.1–0.8 mg mL−1 for rutin, and 0.2–0.8 mg mL−1 for hesperidin. The accuracy of the developed HPLC method was determined as the mean value of % recovery, as shown in Table 4.
Table 4.
Accuracy data of the developed method.
The LOD values for hesperidin and rutin were 0.06 and 0.03 mg/mL, respectively, while their corresponding LOQ values were found to be 0.1938 and 0.09 mg/mL, respectively; all parameters evaluated are presented in Table 5.
Table 5.
Parameters of the developed RP-HPLC method validation.
3.4. Quantification of Hesperidin and Rutin in C. officinalis Extract
According to the proposed method, the contents of hesperidin and rutin in C. officinalis flower extract were deduced from the calibration curve of the individual standards, and were found to be 36.17 and 3.65 mg g−1 extract, respectively.
3.5. Antileishmanial Activity
Antipromastigote activity against L. minor for the extract, tested compounds, and reference standards are recorded in Table 6.
Table 6.
In vitro antileishmanial (antipromastigote) activity of Calendula extract, rutin, and hesperidin.
The in vitro antiamastigotes activity of hesperidin was observed at an IC50 of a value 108.44 ± 11.2 ng µL−1 (177.72 µM) against the intracellular forms of L. major. The antiamastigotes activity of rutin was much weaker (>300 ng µL−1). Miltefosine was used as a reference drug, with IC50 = 6.908 ± 6.2 ng µL (16.95 µM).
3.6. Antimalarial Activity
In vivo antimalarial activity of the extract and compounds were evaluated against P. berghei (Table 7) at a dose of 25 mg kg−1 per day. It was observed that all tested samples showed potential antimalarial effects compared to the negative control. The percentages of parasitemia were greatly reduced, and suppression reached up to half. The mice survived 5.8–6.1 days in the case of groups receiving Calendula extract or either of its bioactive flavonoids, as compared to only 3.33 days in the negative control, and up to 13.22 days in mice receiving the reference drug, chloroquine phosphate.
Table 7.
In vivo antimalarial activities of Calendula extract, rutin, and hesperidin.
3.7. Molecular Docking Study
Molecular docking studies were carried to demonstrate the flavonoids’ possible mechanisms as antileishmanial and antimalarial compounds. The docking studies showed good binding affinities of rutin and hesperidin on P. falciparum dihydrofolate reductase- thymidylate synthase, phosphoethanolamine methyltransferase enzymes, L. major pteridine reductase 1, and farnesyl diphosphate synthase enzymes, with numerous H-bonding and van der Waals interactions. Binding interactions are demonstrated in Figure 3, Figure 4, Figure 5 and Figure 6, while the binding energies are displayed in Table 8.
Figure 3.
Diagrams of rutin (A,B) and hesperidin (C,D) binding to the active sites of Pf-DHFR-TS.
Figure 4.
Diagrams of rutin (A,B) and hesperidin (C,D) binding to the active sites of phosphoethanolamine methyltransferase from Plasmodium falciparum.
Figure 5.
Diagrams of rutin (A,B) and hesperidin (C,D) binding to the active sites of Leishmania major pteridine reductase 1 (PTR1).
Figure 6.
Diagrams of rutin (A,B) and hesperidin (C,D) binding to the active sites of Leishmania major farnesyl diphosphate synthase.
Table 8.
C-Docker binding energy (Kcal/mol) of the compounds on the target P. falciparum and L. major enzymes.
4. Discussion
UPLC-ESI-MS/MS analysis of C. officinalis revealed the presence of numerous flavonoidal aglycones and their glycosides, such as quercetin and isorhamnetin glycosides, in addition to triterpenoid saponins such as ginsenoside Ro, calenduloside G, and oleanolic acid-3-O-hexuronide. Dicaffeoyl quinic acid was the major phenolic acid identified in the extract. Three fatty acids were identified as oxo-dihydroxy octadecenoic acid, dihydroxyoctadecenoic acid, and 9-hydroxy-10,12-octadecadienoic acid. These compounds were identified in Calendula officinalis and other Calendula species, such as C. aegyptiaca fruits [32,33], which supported our results.
Numerous analytical methods have been developed for phenolics quantification in plant extracts. High-performance liquid chromatography is considered the most commonly used technique due to its high reproducibility, selectivity, and simplicity [33]. In the current study, the contents of hesperidin and rutin in C. officinalis flower extract were 36.17 and 3.65 mg/g extract, respectively. Thus, the flowers’ content of hesperidin was more than that of rutin. Olennikov et al. [36] quantified rutin in the Greenheart Orange variety of C. officinalis, and its content was found to be 2.26 mg/g, which is comparable to our results. Hernández-Saavedra et al. quantified the phenolic acids and the flavonoids in a C. officinalis infusion using HPLC–UV/Vis, and reported that its major compounds were hesperidin and epigallocatechin gallate [8]. The current HPLC method was rapid, accurate, and provided reproducible and convenient results.
In vitro antileishmanial activity evaluation was conducted against Leishmania major promastigote and amastigote forms for the extract and compounds, whereas an in vivo suppressive test was carried out against P. berghei ANKA strain-infected mice. Both rutin and hesperidin showed potential activity against the tested parasites. The results of antimalarial activities were compared to chloroquine, and showed effects that are comparable to those presented by other researchers [37]. Moreover, the results of the current study came in accordance with a study by Bhatt et al. (2022) that reported rutin to have in vitro antiplasmodial activity against P. falciparum, and showed synergy with chloroquine when tested in vivo [21]. Hesperidin was also recently reported to target sterol C-24 reductase of Leishmania donovani [14], which further supported the observed results. Several flavonoids have been reported for their bioactivities against numerous neglected tropical diseases, displaying interesting antiparasitic effects [38]. Antitrypanosomal activity was reported by Marin et al. for flavonoids isolated from Delphinium staphisagria [39], as well as for the flavonoids apigenin, isokaempferide [40], and brachydin B and C [41]. Quercetin-4-methylether has been reported to decrease parasitaemia in P. berghei-infected mice [42], while quercetin showed a notable decrease in lesion size of mice infected with Leishmania amazonensis at a dose of 30 mg/kg [43]. The biflavonoid larenoflavone showed antimalarial activity against Plasmodium falciparum K1 with IC50 values of 0.2 μg/mL, and antileishmanial activities with IC50 values of 3.9 μg/mL [44]. Shokri et al. reported antimalarial and antileishmanial potentials of 3-imidazolylflavanones [45].
Molecular docking studies were herein conducted for rutin and hesperidin on four enzymes that are involved in the parasites’ pathways, and are key enzymes for their survival. The selected enzymes for carrying out the in silico study in P. falciparum included P. falciparum dihydrofolate reductase-thymidylate synthase (Pf-DHFR-TS), which is an antifolate target enzyme that is essential for folate and thymidylate production, and subsequent DNA synthesis [46]. Cycloquanil and pyrimethamine are among the antimalarial drugs that target Pf-DHFR-TS [46]. P. falciparum phosphoethanolamine methyltransferase (Pf-PMT) has an important role in the pathway of phosphatidylcholine synthesis, which is a membrane phospholipid in P. falciparum, which thus affects its survival; additionally, it is not found in humans, so it is specific for targeting these parasites [47,48]. Similarly, L. major pteridine reductase 1 (Lm-PTR1) is an enzyme in Leishmania species and not in humans, having a major role in both conjugated and unconjugated pterins reduction driven by NADPH, and is important in the parasite folate pathway [49]. Moreover, L. major farnesyl diphosphate synthase (Lm-FPPS) enzyme was selected as a target in Leishmania. This enzyme is an important intermediate in the metabolism of sterols, such as ergosterol synthesized by Leishmania, and being involved in many pathways of the parasite as a precursor in the synthesis of different molecules [50]. The docking study further supported the biological effects exerted by the flavonoids rutin and hesperidin, by showing good binding affinities for these enzymes via numerous H-bonding and van der Waals interactions.
Thus, rutin or hesperidin can potentially be used for antimalarial and antileishmanial activities. Yet, further clinical studies to determine the dose, duration of treatment, etc., are required.
5. Conclusions
UPLC-ESI-MS analysis of the edible pot marigold (Calendula officinalis L.) flower extract revealed twenty compounds, of which, seven flavonoids, six saponins, three phenolic acids, three fatty acids, and a triterpene glycoside were identified. RP-HPLC-DAD was used for quantitative analysis of the flavonoids rutin and hesperidin in MFE. The results revealed that the content of hesperidin and rutin in C. officinalis flower extract were found to be 36.17 and 3.65 mg/g extract, respectively. The applied method was further validated in terms of accuracy, precision, repeatability, linearity, range, limits of detection (LOD), and quantification (LOQ). The method was found to be rapid, accurate, precise, sensitive, and linear within the used range. The extract and its bioactive flavonoids showed potential antiparasitic activities when tested in vitro against L. major promastigotes and amastigotes forms, as compared to miltefosine. Moreover, in vivo antimalarial activities of the tested compounds and extract were evaluated against Plasmodium berghei ANKA strain-infected mice, revealing potential antimalarial effects, with nearly similar results for the three tested samples as demonstrated by mean survival time, parasitemia, and suppression percentage data. Molecular docking studies conducted on key enzymes of P. falciparum and L. minor revealed that both rutin and hesperidin showed good binding affinities to the target enzymes, which supported the observed biological activities. In conclusion, Calendula officinalis L. flowers can represent a valuable source of important bioactive compounds with potential activity against important tropical diseases.
Author Contributions
Conceptualization, N.M.M., A.A.B. and A.A.A.-H.; methodology, A.A.B. and N.M.M.; formal analysis, A.A.B., H.U., M.A. and N.M.M.; writing—original draft preparation, A.A.A.-H., N.M.M. and M.A.; writing—review and editing, A.A.A.-H., A.A.B., H.U., M.A. and N.M.M. All authors have read and agreed to the published version of the manuscript.
Funding
This research was funded by Princess Nourah bint Abdulrahman University Researchers Supporting Project number (PNURSP2023R93), Princess Nourah bint Abdulrahman University, Riyadh, Saudi Arabia.
Institutional Review Board Statement
Animal handling and study were approved by the Animal Care and Use Committee, Faculty of Pharmacy, Alexandria University (ACUC17/18).
Data Availability Statement
All data used are included in this manuscript.
Acknowledgments
The authors express their gratitude to Princess Nourah bint Abdulrahman University Researchers Supporting Project number (PNURSP2023R93), Princess Nourah bint Abdulrahman University, Riyadh, Saudi Arabia.
Conflicts of Interest
The authors declare no conflict of interest.
References
- Varela-Aramburu, S.; Ghosh, C.; Goerdeler, F.; Priegue, P.; Moscovitz, O.; Seeberger, P.H. Targeting and Inhibiting Plasmodium falciparum Using Ultra-small Gold Nanoparticles. ACS Appl. Mater. Interfaces 2020, 12, 43380–43387. [Google Scholar] [CrossRef] [PubMed]
- Mousavi, P.; Rahimi Esboei, B.; Pourhajibagher, M.; Fakhar, M.; Shahmoradi, Z.; Hejazi, S.H.; Hassannia, H.; Omran, A.N.; Hasanpour, H. Anti-leishmanial effects of resveratrol and resveratrol nanoemulsion on Leishmania major. BMC Microbiol. 2022, 22, 56. [Google Scholar] [CrossRef] [PubMed]
- Rufin Marie, T.K.; Mbetyoumoun Mfouapon, H.; Madiesse Kemgne, E.A.; Jiatsa Mbouna, C.D.; Tsouh Fokou, P.V.; Sahal, D.; Fekam Boyom, F. Anti-Plasmodium falciparum Activity of Extracts from 10 Cameroonian Medicinal Plants. Medicines 2018, 5, 115. [Google Scholar] [CrossRef] [PubMed]
- Haldar, A.K.; Sen, P.; Roy, S. Use of antimony in the treatment of leishmaniasis: Current status and future directions. Mol. Biol. Int. 2011, 2011, 571242. [Google Scholar] [CrossRef] [PubMed]
- Sebisubi, F.M.; Tan, G.T. Phytochemistry and Pharmacognosy: Natural Products with Antimalarial Activity; UNESCO-EOLSS: Paris, France, 2016. [Google Scholar]
- Abdelwahab, S.I.; Taha, M.M.E.; Taha, S.M.E.; Alsayegh, A.A. Fifty-year of Global Research in Calendula officinalis L. (1971−2021): A Bibliometric Study. Clin. Complement. Med. Pharmacol. 2022, 2, 100059. [Google Scholar] [CrossRef]
- Ercetin, T.; Senol, F.S.; Orhan, I.E.; Toker, G. Comparative assessment of antioxidant and cholinesterase inhibitory properties of the marigold extracts from Calendula arvensis L. and Calendula officinalis L. Ind. Crops Prod. 2012, 36, 203–208. [Google Scholar] [CrossRef]
- Hernández-Saavedra, D.; Pérez-Ramírez, I.F.; Ramos-Gómez, M.; Mendoza-Díaz, S.; Loarca-Piña, G.; Reynoso-Camacho, R. Phytochemical characterization and effect of Calendula officinalis, Hypericum perforatum, and Salvia officinalis infusions on obesity-associated cardiovascular risk. Med. Chem. Res. 2016, 25, 163–172. [Google Scholar] [CrossRef]
- Silva, D.; Ferreira, M.S.; Sousa-Lobo, J.M.; Cruz, M.T.; Almeida, I.F. Anti-Inflammatory Activity of Calendula officinalis L. Flower Extract. Cosmetics 2021, 8, 31. [Google Scholar] [CrossRef]
- Shahane, K.; Kshirsagar, M.; Tambe, S.; Jain, D.; Rout, S.; Ferreira, M.K.M.; Mali, S.; Amin, P.; Srivastav, P.P.; Cruz, J.; et al. An Updated Review on the Multifaceted Therapeutic Potential of Calendula officinalis L. Pharmaceuticals 2023, 16, 611. [Google Scholar] [CrossRef]
- Samra, R.M.; Maatooq, G.T.; Zaki, A.A. A New Antiprotozoal Compound from Calendula officinalis. Nat. Prod. Res. 2022, 36, 5747–5752. [Google Scholar] [CrossRef]
- Agrawal, P.K.; Agrawal, C.; Blunden, G. Pharmacological Significance of Hesperidin and Hesperetin, Two Citrus Flavonoids, as Promising Antiviral Compounds for Prophylaxis Against and Combating COVID-19. Nat. Prod. Commun. 2021, 16, 1934578X2110425. [Google Scholar] [CrossRef]
- Jadeja, R.N.; Devkar, R.V. Polyphenols and Flavonoids in Controlling Non-Alcoholic Steatohepatitis. Polyphen. Hum. Health Dis. 2014, 1, 615–623. [Google Scholar]
- Tabrez, S.; Rahman, F.; Ali, R.; Akand, S.K.; Alaidarous, M.A.; Banawas, S.; Dukhyil, A.A.B.; Rub, A. Hesperidin Targets Leishmania donovani Sterol C-24 Reductase to Fight against Leishmaniasis. ACS Omega 2021, 6, 8112–8118. [Google Scholar] [CrossRef] [PubMed]
- Alam, P.; Alam, A.; Anwer, M.K.; Alqasoumi, S.I. Quantitative estimation of hesperidin by HPTLC in different varieties of citrus peels. Asian Pac. J. Trop.Biomed. 2014, 4, 262–266. [Google Scholar] [CrossRef] [PubMed]
- Sun, Y.; Wang, J.; Gu, S.; Liu, Z.; Zhang, Y.; Zhang, X. Simultaneous determination of flavonoids in different parts of Citrus reticulata ‘Chachi’ fruit by high performance liquid chromatography Photodiode Array Detection. Molecules 2010, 15, 5378–5388. [Google Scholar] [CrossRef] [PubMed]
- Sofic, E.; Copra-Janicijevic, A.; Salihovic, M.; Tahirovic, I.; Kroyer, G. Screening of medicinal plant extracts for quercetin-3-rutinoside (rutin) in Bosna and Herzegovina. Med. Plants 2010, 2, 97–102. [Google Scholar]
- Hafez, M.M.; Al-Harbi, N.O.; Al-Hoshani, A.R.; Al-hosaini, K.A.; Al Shrari, S.D.; Al Rejaie, S.S.; Sayed-Ahmed, M.M.; Al-Shabanah, O.A. Hepato-protective effect of rutin via IL-6/STAT3 pathway in CCl4-induced hepatotoxicity in rats. Biol. Res. 2015, 48, 30. [Google Scholar] [CrossRef] [PubMed]
- Al-Dhabi, N.A.; Arasu, M.V.; Park, C.H.; Park, S.U. An up-to-date review of rutin and its biological and pharmacological activities. EXCLI J. 2015, 14, 59–63. [Google Scholar]
- Dubey, S.; Ganeshpurkar, A.; Shrivastava, A.; Bansal, D.; Dubey, N. Rutin exerts antiulcer effect by inhibiting the gastric proton pump. Indian J. Pharmacol. 2013, 45, 415–417. [Google Scholar]
- Bhatt, D.; Kumar, S.; Kumar, P.; Bisht, S.; Kumar, A.; Maurya, A.K.; Pal, A.; Bawankule, D.U. Rutin ameliorates malaria pathogenesis by modulating inflammatory mechanism: An in vitro and in vivo study. Inflammopharmacology 2022, 30, 159–171. [Google Scholar] [CrossRef]
- Rigane, G.; Younes, S.B.; Ghazghazi, H.; Salem, R.B. Investigation into the biological activities and chemical composition of L. growing in Tunisia. Int. Food Res. J. 2013, 20, 3001–3007. [Google Scholar]
- Abdallah, S.H.; Mostafa, N.M.; Mohamed, M.; Nada, A.S.; Singab, A.N.B. UPLC-ESI-MS/MS profiling and hepatoprotective activities of Stevia leaves extract, butanol fraction and stevioside against radiation-induced toxicity in rats. Nat. Prod. Res. 2022, 36, 5619–5625. [Google Scholar] [CrossRef] [PubMed]
- ICH Guidelines Q2 (R1), Validation of Analytical Procedures, Text and Methodology. 1995. Available online: https://www.google.com.hk/url?sa=t&rct=j&q=&esrc=s&source=web&cd=&ved=2ahUKEwjT0JSajaSCAxXOyTgGHeULAH4QFnoECBsQAQ&url=https%3A%2F%2Fwww.ema.europa.eu%2Fen%2Fdocuments%2Fscientific-guideline%2Fich-q-2-r1-validation-analytical-procedures-text-methodology-step-5_en.pdf&usg=AOvVaw23XHf7pVaw-fLLJp-OMmSC&opi=89978449 (accessed on 28 June 2023).
- Temraz, M.G.; Elzahhar, P.A.; Bekhit, A.E.-D.A.; Bekhit, A.A.; Labib, H.F.; Belal, A.S.F. Anti-leishmanial click modifiable thiosemicarbazones: Design, synthesis, biological evaluation and in silico studies. Eur. J. Med. Chem. 2018, 151, 585–600. [Google Scholar] [CrossRef] [PubMed]
- Fidock, D.A.; Rosenthal, P.J.; Croft, S.L.; Brun, R.; Nwaka, S. Antimalarial drug discovery: Efficacy models for compound screening. Nat. Rev. Drug Discov. 2004, 3, 509–520. [Google Scholar] [CrossRef] [PubMed]
- Kalra, B.S.; Chawla, S.; Gupta, P.; Valecha, N. Screening of antimalarial drugs: An overview. Indian J. Pharmacol. 2006, 38, 5–12. [Google Scholar] [CrossRef]
- World Health Organization. Guidelines for the Treatment of Malaria; World Health Organization: Geneva, Switzerland, 2010. [Google Scholar]
- Belay, Y.; Gurmu, A.E.; Wubneh, Z.B. Antimalarial Activity of Stem Bark of Periploca linearifolia during Early and Established Plasmodium Infection in Mice. Evid.-Based Complement. Altern. Med. 2018, 2018, 4169397. [Google Scholar] [CrossRef] [PubMed]
- Mostafa, N.M.; Mostafa, A.M.; Ashour, M.L.; Elhady, S.S. Neuroprotective Effects of Black Pepper Cold-Pressed Oil on Scopolamine-Induced Oxidative Stress and Memory Impairment in Rats. Antioxidants 2021, 10, 1993. [Google Scholar] [CrossRef] [PubMed]
- Mostafa, N.M. β-Amyrin Rich Bombax ceiba Leaf Extract with Potential Neuroprotective Activity against Scopolamine-Induced Memory Impairment in Rats. Rec. Nat. Prod. 2018, 12, 480–492. [Google Scholar] [CrossRef]
- Matei, O.; Gatea, F.; Radu, G.L. Analysis of phenolic compounds in some medicinal herbs by LC–MS. J. Chromatogr. Sci. 2015, 53, 1147–1154. [Google Scholar] [CrossRef]
- Grati, W.; Samet, S.; Bouzayani, B.; Ayachi, A.; Treilhou, M.; Téné, N.; Mezghani-Jarraya, R. HESI-MS/MS Analysis of Phenolic compounds from Calendula aegyptiaca Fruits Extracts and Evaluation of Their Antioxidant Activities. Molecules 2022, 27, 2314. [Google Scholar] [CrossRef]
- Santos Ferreira, C.D.; Pereyra, A.; Patriarca, A.; Mazzobre, M.F.; Polak, T.; Abram, V.; Buera, M.P.; PoklarUlrih, N. Phenolic Compounds in Extracts from Eucalyptus globulus Leaves and Calendula officinalis Flowers. J. Nat. Prod. Resour. 2016, 2, 53–57. [Google Scholar]
- El-Zahar, H.; Menze, E.T.; Handoussa, H.; Osman, A.K.; El-Shazly, M.; Mostafa, N.M.; Swilam, N. UPLC-PDA-MS/MS Profiling and Healing Activity of Polyphenol-Rich Fraction of Alhagi maurorum against Oral Ulcer in Rats. Plants 2022, 11, 455. [Google Scholar] [CrossRef]
- Olennikov, D.N.; Kashchenko, N.I.; Chirikova, N.K.; Akobirshoeva, A.; Zilfikarov, I.N.; Vennos, C. Isorhamnetin and Quercetin Derivatives as Anti-Acetylcholinesterase Principles of Marigold (Calendula officinalis) Flowers and Preparations. Int. J. Mol. Sci. 2017, 18, 1685. [Google Scholar] [CrossRef] [PubMed]
- Birru, E.M.; Geta, M.; Gurmu, A.E. Antiplasmodial activity of Indigofera spicata root extract against Plasmodium berghei infection in mice. Malar. J. 2017, 16, 198. [Google Scholar] [CrossRef] [PubMed]
- Boniface, P.K.; Ferreira, E.I. Flavonoids as efficient scaffolds: Recent trends for malaria, leishmaniasis, Chagas disease, and dengue. Phytother. Res. 2019, 33, 2473–2517. [Google Scholar] [CrossRef] [PubMed]
- Marín, C.; Ramírez-Macías, I.; López-Céspedes, A.; Olmo, F.; Villegas, N.; Díaz, J.G.; Rosales, M.J.; Gutiérrez-Sánchez, R.; Sánchez-Moreno, M. In vitro and in vivo trypanocidal activity of flavonoids from Delphinium staphisagria against Chagas disease. J. Nat. Prod. 2011, 74, 744–750. [Google Scholar] [CrossRef] [PubMed]
- Gohari, A.R.; Saeidnia, S.; Matsuo, K.; Uchiyama, N.; Yagura, T.; Ito, M.; Kiuchi, F.; Honda, G. Flavonoid constituents of Dracocephalum kotschyi growing in Iran and their trypanocidal activity. Nat. Med. 2003, 57, 250–252. [Google Scholar]
- Da Rocha, C.Q.; Queiroz, E.F.; Meira, C.S.; Moreira, D.R.; Soares, M.B.; Marcourt, L.; Vilegas, W.; Wolfender, J.L. Dimeric flavonoids from Arrabidaea brachypoda and assessment of their anti-Trypanosoma cruzi activity. J. Nat. Prod. 2014, 77, 1345–1350. [Google Scholar] [CrossRef]
- Ezenyi, I.C.; Salawu, O.A.; Kulkarni, R.; Emeje, M. Antiplasmodial activity-aided isolation and identification of quercetin-4′-methyl ether in Chromolaena odorata leaf fraction with high activity against chloroquine-resistant Plasmodium falciparum. Parasitol. Res. 2014, 113, 4415–4422. [Google Scholar] [CrossRef]
- Montrieux, E.; Perera, W.H.; García, M.; Maes, L.; Cos, P.; Monzote, L. In vitro and in vivo activity of major constitutents from Pluchea carolinensis against Leishmania amazonensis. Parasitol. Res. 2004, 113, 2925–2932. [Google Scholar] [CrossRef]
- Weniger, B.; Vonthron-Sénécheau, C.; Arango, G.J.; Kaiser, M.; Brun, R.; Anton, R. A bioactive biflavonoid from Campnosperma panamense. Fitoterapia 2004, 75, 764–767. [Google Scholar] [CrossRef] [PubMed]
- Shokri, A.; Emami, S.; Fakhar, M.; Teshnizi, S.H.; Keighobadi, M. In vitro antileishmanial activity of novel azoles (3-imidazolylflavanones) against promastigote and amastigote stages of Leishmania major. Acta Trop. 2017, 167, 73–78. [Google Scholar] [CrossRef] [PubMed]
- Chaianantakul, N.; Sirawaraporn, R.; Sirawaraporn, W. Insights into the role of the junctional region of Plasmodium falciparum dihydrofolate reductase-thymidylate synthase. Malar. J. 2013, 12, 91. [Google Scholar] [CrossRef] [PubMed]
- Garg, A.; Lukk, T.; Kumar, V.; Choi, J.-Y.; Augagneur, Y.; Voelker, D.R.; Nair, S.; Mamoun, C.B. Structure, Function and Inhibition of the Phosphoethanolamine Methyltransferases of the Human Malaria Parasites Plasmodium vivax and Plasmodium knowlesi. Sci. Rep. 2015, 5, 9064. [Google Scholar] [CrossRef] [PubMed]
- Lee, S.G.; Kim, Y.; Alpert, T.D.; Nagata, A.; Jez, J.M. Structure and reaction mechanism of phosphoethanolamine methyltransferase from the malaria parasite Plasmodium falciparum: An antiparasitic drug target. J. Biol. Chem. 2012, 287, 1426–1434. [Google Scholar] [CrossRef] [PubMed]
- Dello Iacono, L.; Di Pisa, F.; Mangani, S. Crystal structure of the ternary complex of Leishmania major pteridine reductase 1 with the cofactor NADP+/NADPH and the substrate folic acid. Acta Crystallogr. F Struct. Biol. Commun. 2022, 78 Pt 4, 170–176. [Google Scholar] [CrossRef] [PubMed]
- Gadelha, A.P.R.; Brigagao, C.M.; da Silva, M.B.; Rodrigues, A.B.M.; Guimarães, A.C.R.; Paiva, F.; de Souza, W. Insights about the structure of farnesyl diphosphate synthase (FPPS) and the activity of bisphosphonates on the proliferation and ultrastructure of Leishmania and Giardia. Parasites Vectors 2020, 13, 168. [Google Scholar] [CrossRef]
Disclaimer/Publisher’s Note: The statements, opinions and data contained in all publications are solely those of the individual author(s) and contributor(s) and not of MDPI and/or the editor(s). MDPI and/or the editor(s) disclaim responsibility for any injury to people or property resulting from any ideas, methods, instructions or products referred to in the content. |
© 2023 by the authors. Licensee MDPI, Basel, Switzerland. This article is an open access article distributed under the terms and conditions of the Creative Commons Attribution (CC BY) license (https://creativecommons.org/licenses/by/4.0/).





