Calibration of Small-Grain Seed Parameters Based on a BP Neural Network: A Case Study with Red Clover Seeds
Abstract
:1. Introduction
2. Materials and Methods
2.1. Physical Testing of Red Clover Seed Properties
2.1.1. Determination of Basic Physical Parameters
2.1.2. Shear Modulus and Poisson’s Ratio Testing
2.1.3. Contact Parameter Testing
2.1.4. Resting Angle Testing
2.2. Discrete Element Simulation Model Setup
2.2.1. Creation of Red Clover Seed Simulation Model
2.2.2. Setting of Discrete Element Simulation Parameters
2.3. Calibration of Discrete Element Parameters for Red Clover Seeds
2.3.1. Plackett–Burman Experiment
2.3.2. Steepest Ascent Experiment
2.3.3. Central Composite Design Experiment
2.4. Regression Modeling Using Machine Learning Algorithms
2.4.1. BP (Backpropagation)
2.4.2. GA-BP (Genetic Algorithm–Backpropagation)
2.4.3. PSO (Particle Swarm Optimization)
2.4.4. SA (Simulated Annealing)
2.4.5. Data Analysis and Processing
3. Results and Discussion
3.1. Simulation Calibration Test Results
3.2. Machine Learning Regression Models
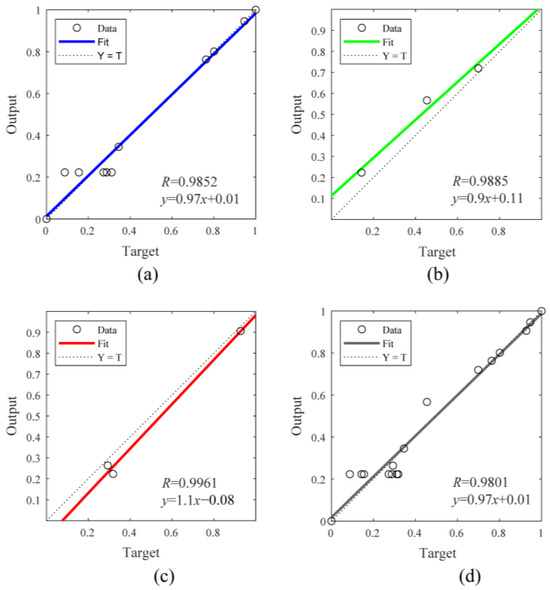
3.2.1. Model Comparison
3.2.2. Model Evaluation
3.2.3. GA-BP Optimization Experiment
3.3. Analysis of Test Results
4. Conclusions
Author Contributions
Funding
Data Availability Statement
Conflicts of Interest
References
- Li, Y.; Wan, L.; Xu, Z.; Zhao, H.; Chen, H.; Song, J. Design of Automatic Control System for Plot Batch Seed Cleaning Machine. Nongye Gongcheng Xuebao/Trans. Chin. Soc. Agric. Eng. 2021, 37, 23–33. [Google Scholar] [CrossRef]
- Ma, X.; Liu, M.; Hou, Z.; Gao, X.; Bai, Y.; Guo, M. Numerical Simulation and Experimental Study on the Pelletized Coating of Small Grain Forage Seeds. Nongye Gongcheng Xuebao/Trans. Chin. Soc. Agric. Eng. 2023, 39, 43–52. [Google Scholar] [CrossRef]
- Zhao, X.; Zhang, T.; Liu, F.; Li, N.; Li, J. Sunflower Seed Suction Stability Regulation and Seeding Performance Experiments. Agronomy 2023, 13, 54. [Google Scholar] [CrossRef]
- Li, X.; Liu, Y.; An, F.; Wang, H.; Xu, Y. Flow Field Distribution and Morphology Variation of Particles in Planetary Ball Milling. Binggong Xuebao/Acta Armamentarii 2022, 43, 876–891. [Google Scholar] [CrossRef]
- Hou, Z.; Dai, N.; Chen, Z.; Qiu, Y.; Zhang, X. Measurement and Calibration of Physical Property Parameters for Agropyron Seeds in a Discrete Element Simulation. Nongye Gongcheng Xuebao/Trans. Chin. Soc. Agric. Eng. 2020, 36, 46–54. [Google Scholar] [CrossRef]
- Wang, S.; Yu, Z.; Aorigele; Zhang, W. Study on the Modeling Method of Sunflower Seed Particles Based on the Discrete Element Method. Comput. Electron Agric. 2022, 198, 107012. [Google Scholar] [CrossRef]
- Bembenek, M.; Buczak, M.; Baiul, K. Modelling of the Fine-Grained Materials Briquetting Process in a Roller Press with the Discrete Element Method. Materials 2022, 15, 4901. [Google Scholar] [CrossRef]
- Hao, B.; Tong, X.; Chen, Z.; Liu, H. Calibration of Simulation Parameters for Wind Erosion Gas-Solid Two-Phase Flow in Arid and Semiarid Soils. Rev. Bras. Eng. Agric. Ambient. 2022, 26, 564–570. [Google Scholar] [CrossRef]
- Liu, M.; Hou, Z.; Ma, X.; Zhang, X.; Dai, N. Determination and Testing of Pelletized Coated Particles. INMATEH Agric. Eng. 2022, 66, 247–256. [Google Scholar] [CrossRef]
- Adilet, S.; Zhao, J.; Sayakhat, N.; Chen, J.; Nikolay, Z.; Bu, L.; Sugirbayeva, Z.; Hu, G.; Marat, M.; Wang, Z. Calibration Strategy to Determine the Interaction Properties of Fertilizer Particles Using Two Laboratory Tests and DEM. Agriculture 2021, 11, 592. [Google Scholar] [CrossRef]
- Chen, Z.; Wang, G.; Xue, D. An Approach to Calibration of BPM Bonding Parameters for Iron Ore. Powder Technol. 2021, 381, 245–254. [Google Scholar] [CrossRef]
- Zhang, Z.; Mei, F.; Xiao, P.; Zhao, W.; Zhu, X. Discrete Element Modelling and Simulation Parameters Calibration for the Compacted Straw Cube. Biosyst. Eng. 2023, 230, 301–312. [Google Scholar] [CrossRef]
- Cui, Z. Research on Optimization of Adaptive Path Planning for 3D Printing. Master’s Thesis, Dalian University of Technology, Dalian, China, 2022. [Google Scholar] [CrossRef]
- Agatonovic-Kustrin, S.; Zecevic, M.; Zivanovic, L.; Tucker, I.G. Application of Artificial Neural Networks in HPLC Method Development. J. Pharm. Biomed. Anal. 1998, 17, 69–76. [Google Scholar] [CrossRef] [PubMed]
- Veza, I.; Spraggon, M.; Fattah, I.M.R.; Idris, M. Response Surface Methodology (RSM) for Optimizing Engine Performance and Emissions Fueled with Biofuel: Review of RSM for Sustainability Energy Transition. Results Eng. 2023, 18, 101213. [Google Scholar] [CrossRef]
- Bourquin, J.; Schmidli, H.; van Hoogevest, P.; Leuenberger, H. Advantages of Artificial Neural Networks (ANNs) as Alternative Modelling Technique for Data Sets Showing Non-Linear Relationships Using Data from a Galenical Study on a Solid Dosage Form. Eur. J. Pharm. Sci. 1998, 7, 5–16. [Google Scholar] [CrossRef] [PubMed]
- Hammoudi, A.; Moussaceb, K.; Belebchouche, C.; Dahmoune, F. Comparison of Artificial Neural Network (ANN) and Response Surface Methodology (RSM) Prediction in Compressive Strength of Recycled Concrete Aggregates. Constr. Build. Mater. 2019, 209, 425–436. [Google Scholar] [CrossRef]
- Tang, X.; Yue, Y.; Shen, Y. Prediction of Separation Efficiency in Gas Cyclones Based on RSM and GA-BP: Effect of Geometry Designs. Powder Technol. 2023, 416, 118185. [Google Scholar] [CrossRef]
- Liang, F.; Sun, L.; Zeng, Z.; Kang, J. Treatment of Surfactant Wastewater by Foam Separation: Combining the RSM Method and WOA-BP Neural Network to Explore Optimal Process Conditions. Chem. Eng. Res. Des. 2023, 193, 85–98. [Google Scholar] [CrossRef]
- Fetimi, A.; Dâas, A.; Benguerba, Y.; Merouani, S.; Hamachi, M.; Kebiche-Senhadji, O.; Hamdaoui, O. Optimization and Prediction of Safranin-O Cationic Dye Removal from Aqueous Solution by Emulsion Liquid Membrane (ELM) Using Artificial Neural Network-Particle Swarm Optimization (ANN-PSO) Hybrid Model and Response Surface Methodology (RSM). J. Environ. Chem. Eng. 2021, 9, 105837. [Google Scholar] [CrossRef]
- Dai, N.; Hou, Z.; Qiu, Y.; Zhang, X. Calibration and Experiment of Discrete Element Simulation Parametersof Red Clover Seeds. J. Hebei Agric. Univ. 2021, 44, 92–98. [Google Scholar] [CrossRef]
- Zhou, L.; Dong, Q.; Yu, J.; Wang, Y.; Chen, Y.; Li, M.; Wang, W.; Yu, Y.; Yuan, J. Validation and Calibration of Maize Seed–Soil Inter-Parameters Based on the Discrete Element Method. Agronomy 2023, 13, 2115. [Google Scholar] [CrossRef]
- Zhang, R.; Jiao, W.; Zhou, J.; Qi, B.; Liu, H.; Xia, Q. Parameter Calibration and Experiment of Rice Seeds Discrete Element Model Witrdifferent Filling Particle Radius. Trans. Chin. Soc. Agric. Mach. 2020, 51, 227–235. [Google Scholar] [CrossRef]
- Liu, M.; Hou, Z.; Ma, X.; Dai, N.; Zhang, X. Simulation Parameter Calibration and Experiment of Purple Flower Head Seed Based on Discrete Element. Jiangsu Agric. Sci. 2022, 50, 168–175. [Google Scholar] [CrossRef]
- Chen, L.; Sun, Y.H.; Xie, G.P.; Mao, Q. Analysis of Chewing Process Based on the Discrete Element Method. J. Jilin Univ. 2014, 44. [Google Scholar] [CrossRef]
- Peng, C.; Zhou, T.; Song, S.; Fang, Q.; Zhu, H.; Sun, S. Measurement and Analysis of Restitution Coeffcient of Black Soldier Fly Larvaein Collision Models Baseo on Hertz Contact Theory. Trans. Chin. Soc. Agric. Mach. 2021, 52, 125–134. [Google Scholar] [CrossRef]
- Zeng, Z.; Ma, X.; Cao, X.; Li, Z.; Wang, X. Critical Review of Applications of Discrete Element Method in Agricultural Engineering. Trans. Chin. Soc. Agric. Mach. 2021, 52, 1–20. [Google Scholar] [CrossRef]
- Lenaerts, B.; Aertsen, T.; Tijskens, E.; De Ketelaere, B.; Ramon, H.; De Baerdemaeker, J.; Saeys, W. Simulation of Grain–Straw Separation by Discrete Element Modeling with Bendable Straw Particles. Comput. Electron. Agric. 2014, 101, 24–33. [Google Scholar] [CrossRef]
- Hou, J.; Xie, F.; Wang, X.; Liu, D.; Chen, Z. Measurement of Contact Physical Parameters of Flexible RiceStraw and Discrete Element Simulation Calibration. Acta Agric. Univ. Jiangxiensis 2022, 44, 747–758. [Google Scholar] [CrossRef]
- Coetzee, C.J.; Els, D.N.J.; Dymond, G.F. Discrete Element Parameter Calibration and the Modelling of Dragline Bucket Filling. J. Terramech. 2010, 47, 33–44. [Google Scholar] [CrossRef]
- Yang, L.; Wang, F. Calibration of Parameters of Coated Carrot Seeds Required in DiscreteElement Method Simulation Based on Repose Angle of Particle Heap. J. Agric. Mech. Res. 2023, 45, 143–150. [Google Scholar] [CrossRef]
- Xu, X.; Wei, H.; Yan, J.; Bao, G.; Du, Y. Parameter Calibration of Peanut Pods Discrete Element Simulation. J. Chin. Agric. Mech. 2022, 43, 81–89. [Google Scholar] [CrossRef]
- Kumar, R.; Patel, C.M.; Jana, A.K.; Gopireddy, S.R. Prediction of Hopper Discharge Rate Using Combined Discrete Element Method and Artificial Neural Network. Adv. Powder Technol. 2018, 29, 2822–2834. [Google Scholar] [CrossRef]
- Gai, L. Exploration of Manufacturing Technique and Mechanical Performance Prediction of Reconsolidated Square Materials of Cotton Stalk. Master’s Thesis, Northwest Agriculture and Forestry University, Xianyang, China, 2014. [Google Scholar]
- Zhang, H.; Ma, Y.; Li, Y.; Zhang, R.; Zhang, X. Rupture Energy Prediction Model for Walnut Shell Breaking Based on Genetic BP Neural Network. Nongye Gongcheng Xuebao/Trans. Chin. Soc. Agric. Eng. 2014, 31, 78–84. [Google Scholar] [CrossRef]
- Bu, X.; Xu, Y.; Zhao, M.; Li, D.; Zou, J.; Wang, L.; Bai, J.; Yang, Y. Simultaneous Extraction of Polysaccharides and Polyphenols from Blackcurrant Fruits: Comparison between Response Surface Methodology and Artificial Neural Networks. Ind. Crops Prod. 2021, 170, 113682. [Google Scholar] [CrossRef]
- Nanvakenari, S.; Movagharnejad, K.; Latifi, A. Evaluating the Fluidized-Bed Drying of Rice Using Response Surface Methodology and Artificial Neural Network. LWT 2021, 147, 111589. [Google Scholar] [CrossRef]
- Sabour, M.R.; Amiri, A. Comparative Study of ANN and RSM for Simultaneous Optimization of Multiple Targets in Fenton Treatment of Landfill Leachate. Waste Manag. 2017, 65, 54–62. [Google Scholar] [CrossRef]
- Li, J.; Yao, X.; Xu, K. A Comprehensive Model Integrating BP Neural Network and RSM for the Prediction and Optimization of Syngas Quality. Biomass Bioenergy 2021, 155, 106278. [Google Scholar] [CrossRef]
- Ding, X.; Li, K.; Hao, W.; Yang, Q.; Yan, F.; Cui, Y. Calibration of Simulation Parameters of Camellia Oleifera SeedsBased on RSM and GA-BP-GA Optimization. Nongye Jixie Xuebao/Trans. Chin. Soc. Agric. Mach. 2023, 54, 139–150. [Google Scholar] [CrossRef]










| Physical Parameters | Red Clover Seeds |
|---|---|
| Overall dimensions (length L × width W × thickness T) (mm) | L: 2.0 ± 0.125 × W: 1.5 ± 0.054 × T: 1.1 ± 0.062 |
| Thousand-grain mass (g) | 1.5 ± 0.156 |
| Density (kg·m−3) | 1279 ± 0.035 |
| Moisture content (%) | 15 ± 0.352 |
| NO. | Test Parameters | Encoding | ||
|---|---|---|---|---|
| Low (−1) | Middle (0) | High (+1) | ||
| A | Seed Poisson’s ratio | 0.2 | 0.3 | 0.4 |
| B | Seed shear modulus (MPa) | 5 | 12.5 | 20 |
| C | Seed–seed collision restitution coefficient | 0.4 | 0.5 | 0.6 |
| D | Seed–steel plate collision restitution coefficient | 0.5 | 0.6 | 0.7 |
| E | Seed–seed static friction coefficient | 0.5 | 0.6 | 0.7 |
| F | Seed–steel plate static friction coefficient | 0.3 | 0.4 | 0.5 |
| G | Seed–seed rolling friction coefficient | 0.6 | 0.7 | 0.8 |
| H | Seed–steel plate rolling friction coefficient | 0.2 | 0.35 | 0.5 |
| Levels | Test Parameters | ||
|---|---|---|---|
| E | F | G | |
| −1.682 | 0.513 | 0.313 | 0.613 |
| −1 | 0.54 | 0.34 | 0.64 |
| 0 | 0.58 | 0.38 | 0.68 |
| +1 | 0.62 | 0.42 | 0.72 |
| +1.682 | 0.647 | 0.447 | 0.747 |
| No. | Test Parameters | Repose Angle θ (°) | |||||||
|---|---|---|---|---|---|---|---|---|---|
| A | B | C | D | E | F | G | H | ||
| 1 | 1 | 1 | −1 | 1 | 1 | −1 | 1 | −1 | 23.62 |
| 2 | −1 | 1 | 1 | 1 | −1 | 1 | 1 | −1 | 21.64 |
| 3 | 1 | −1 | 1 | 1 | 1 | 1 | −1 | 1 | 32.67 |
| 4 | −1 | 1 | −1 | −1 | 1 | 1 | 1 | 1 | 39.59 |
| 5 | −1 | −1 | 1 | 1 | −1 | −1 | 1 | 1 | 18.78 |
| 6 | −1 | −1 | −1 | 1 | 1 | 1 | −1 | −1 | 32.09 |
| 7 | 1 | −1 | −1 | −1 | −1 | 1 | 1 | 1 | 19.77 |
| 8 | 1 | 1 | −1 | 1 | −1 | −1 | −1 | 1 | 8.95 |
| 9 | 1 | 1 | 1 | −1 | −1 | 1 | −1 | −1 | 10.88 |
| 10 | −1 | 1 | 1 | −1 | 1 | −1 | −1 | 1 | 16.56 |
| 11 | 1 | −1 | 1 | −1 | 1 | −1 | 1 | −1 | 19.79 |
| 12 | −1 | −1 | −1 | −1 | −1 | −1 | −1 | −1 | 3.87 |
| 13 | 0 | 0 | 0 | 0 | 0 | 0 | 0 | 0 | 23.79 |
| Parameters | Degree of Freedom | Sum of Squares | F-Value | p-Value |
|---|---|---|---|---|
| A | 1 | 23.66 | 3.06 | 0.1786 |
| B | 1 | 2.74 | 0.3537 | 0.5939 |
| C | 1 | 4.78 | 0.6173 | 0.4894 |
| D | 1 | 62.06 | 8.02 | 0.0661 |
| E | 1 | 539.08 | 69.68 | 0.0036 ** |
| F | 1 | 352.84 | 45.61 | 0.0066 ** |
| G | 1 | 121.41 | 15.69 | 0.0287 * |
| H | 1 | 49.74 | 6.43 | 0.085 |
| No. | Test Parameters | Repose Angle θ (°) | Relative Error Y (%) | ||
|---|---|---|---|---|---|
| E | F | G | |||
| 1 | 0.50 | 0.30 | 0.6 | 17.92 | 27.07% |
| 2 | 0.54 | 0.34 | 0.64 | 22.93 | 6.67% |
| 3 | 0.58 | 0.38 | 0.68 | 24.18 | 1.59% |
| 4 | 0.62 | 0.42 | 0.72 | 25.73 | 4.51% |
| 5 | 0.66 | 0.46 | 0.76 | 28.15 | 12.72% |
| 6 | 0.70 | 0.50 | 0.8 | 36.26 | 32.24% |
| No. | Test Parameters | Relative Error Y (%) | ||
|---|---|---|---|---|
| E | F | G | ||
| 1 | −1 | −1 | −1 | 6.04 |
| 2 | 1 | −1 | −1 | 1.75 |
| 3 | −1 | 1 | −1 | 3.23 |
| 4 | 1 | 1 | −1 | 0.53 |
| 5 | −1 | −1 | 1 | 6.47 |
| 6 | 1 | −1 | 1 | 5.06 |
| 7 | −1 | 1 | 1 | 4.68 |
| 8 | 1 | 1 | 1 | 5.29 |
| 9 | −1.682 | 0 | 0 | 6.15 |
| 10 | 1.682 | 0 | 0 | 2.27 |
| 11 | 0 | −1.682 | 0 | 5.69 |
| 12 | 0 | 1.682 | 0 | 2.03 |
| 13 | 0 | 0 | −1.682 | 2.58 |
| 14 | 0 | 0 | 1.682 | 5.06 |
| 15 | 0 | 0 | 0 | 1.49 |
| 16 | 0 | 0 | 0 | 1.38 |
| 17 | 0 | 0 | 0 | 1.05 |
| 18 | 0 | 0 | 0 | 2.24 |
| 19 | 0 | 0 | 0 | 1.42 |
| 20 | 0 | 0 | 0 | 2.15 |
| 21 | 0 | 0 | 0 | 2.38 |
| 22 | 0 | 0 | 0 | 2.42 |
| 23 | 0 | 0 | 0 | 1.45 |
| Source of Variance | Mean Square | Degree of Freedom | Sum of Squares | p-Value |
|---|---|---|---|---|
| Model | 75.35 | 7 | 10.48 | <0.0001 ** |
| E | 15.01 | 1 | 15.01 | <0.0001 ** |
| F | 10.10 | 1 | 10.10 | 0.0002 ** |
| G | 14.60 | 1 | 14.60 | <0.0001 ** |
| EG | 4.79 | 1 | 4.79 | 0.0035 ** |
| E2 | 11.97 | 1 | 11.97 | <0.0001 ** |
| F2 | 8.80 | 1 | 8.80 | 0.0003 ** |
| G2 | 8.47 | 1 | 8.47 | 0.0003 ** |
| Residual | 6.01 | 15 | 0.400 8 | |
| Lack-of-fit | 3.88 | 7 | 0.554 | 0.1635 |
| Pure Error | 2.13 | 8 | 0.266 7 | |
| Cor Total | 79.36 | 22 |
| Arithmetic | R2 | MSE | MAE |
|---|---|---|---|
| BP | 0.9017 | 0.3850 | 0.3271 |
| GA-BP | 0.9605 | 0.1397 | 0.2677 |
| PSO | 0.9572 | 0.1479 | 0.2973 |
| SA | 0.99 | 0.1975 | 0.4704 |
Disclaimer/Publisher’s Note: The statements, opinions and data contained in all publications are solely those of the individual author(s) and contributor(s) and not of MDPI and/or the editor(s). MDPI and/or the editor(s) disclaim responsibility for any injury to people or property resulting from any ideas, methods, instructions or products referred to in the content. |
© 2023 by the authors. Licensee MDPI, Basel, Switzerland. This article is an open access article distributed under the terms and conditions of the Creative Commons Attribution (CC BY) license (https://creativecommons.org/licenses/by/4.0/).
Share and Cite
Ma, X.; Guo, M.; Tong, X.; Hou, Z.; Liu, H.; Ren, H. Calibration of Small-Grain Seed Parameters Based on a BP Neural Network: A Case Study with Red Clover Seeds. Agronomy 2023, 13, 2670. https://doi.org/10.3390/agronomy13112670
Ma X, Guo M, Tong X, Hou Z, Liu H, Ren H. Calibration of Small-Grain Seed Parameters Based on a BP Neural Network: A Case Study with Red Clover Seeds. Agronomy. 2023; 13(11):2670. https://doi.org/10.3390/agronomy13112670
Chicago/Turabian StyleMa, Xuejie, Mengjun Guo, Xin Tong, Zhanfeng Hou, Haiyang Liu, and Haiyan Ren. 2023. "Calibration of Small-Grain Seed Parameters Based on a BP Neural Network: A Case Study with Red Clover Seeds" Agronomy 13, no. 11: 2670. https://doi.org/10.3390/agronomy13112670
APA StyleMa, X., Guo, M., Tong, X., Hou, Z., Liu, H., & Ren, H. (2023). Calibration of Small-Grain Seed Parameters Based on a BP Neural Network: A Case Study with Red Clover Seeds. Agronomy, 13(11), 2670. https://doi.org/10.3390/agronomy13112670

