Next Article in Journal
Interactive Effects of Inorganic–Organic Compounds on Passivation of Cadmium in Weakly Alkaline Soil
Next Article in Special Issue
Physiological and Antioxidative Effects of Strontium Oxide Nanoparticles on Wheat
Previous Article in Journal
Vine and Wine Sustainability in a Cooperative Ecosystem—A Review
Previous Article in Special Issue
Uncaria tomentosa-Loaded Chitosan Oligomers–Hydroxyapatite–Carbon Nitride Nanocarriers for Postharvest Fruit Protection
 
 
Font Type:
Arial Georgia Verdana
Font Size:
Aa Aa Aa
Line Spacing:
Column Width:
Background:
Article

Exogenous Application of Zinc Oxide Nanoparticles Improved Antioxidants, Photosynthetic, and Yield Traits in Salt-Stressed Maize

1
Plant Production Department, College of Food and Agriculture Sciences, King Saud University, P.O. Box 2460, Riyadh 11451, Saudi Arabia
2
Department of Crop Sciences, Faculty of Agriculture, Menoufia University, Shibin El-Kom 32514, Egypt
3
Biology Department, College of Science and Humanity Studies, Prince Sattam Bin Abdulaziz University, Al Kharj Box 292, Riyadh 11942, Saudi Arabia
4
Precision Agriculture Research Chair, Deanship of Scientific Research, King Saud University, Riyadh 11451, Saudi Arabia
*
Author to whom correspondence should be addressed.
Agronomy 2023, 13(10), 2645; https://doi.org/10.3390/agronomy13102645
Submission received: 26 September 2023 / Revised: 15 October 2023 / Accepted: 17 October 2023 / Published: 19 October 2023
(This article belongs to the Special Issue Cutting Edge Research of Nanoparticles Application in Agriculture)

Abstract

:
Salinity is one of the most threatening abiotic stresses to agricultural production, alarmingly expanding both through natural salinization phenomena and anthropogenic activities in recent times. The exploration of sustainable and eco-friendly strategic approaches for mitigating the negative impact of salinity on food crops is of vital importance for future food security. Therefore, our study aimed to evaluate zinc oxide nanoparticles (ZnO-NPs) as potent salinity mitigators in maize (Zea mays L.). Three ZnO-NPs foliar treatments (i.e., 0, 50, and 100 mg/L) were applied 40, 55, and 70 days after sowing on maize plants exposed to continuous salinities of 0 mM NaCl (S0), 60 mM NaCl (S1), and 120 mM NaCl (S3) in a semi-automated greenhouse facility. Results showed that the highest salinity (i.e., 120 mM NaCl) significantly affected plant growth attributes, physiological performance, nutrient profiles, antioxidant activity, plant yield, and yield-contributing characteristics of maize plants. Thus, 120 mM NaCl resulted in −53% number of grains per cob (NG), −67% grains weight per cob (GW), −36% 100-grains weight (HGW), and −72% grain yield per plant (GY) compared to controls. However, foliar treatment of maize plants with ZnO-NPs successfully mitigated salinity and significantly improved all studied parameters, except transpiration rate (TR) and intrinsic water use efficiency (iWUE). Foliar application of 100 mg/L of ZnO-NPs alleviated NG, GW, HGW, and GY by 31%, 51%, 13%, and 53%, respectively. Furthermore, principal component analysis (PCA) and Pearson’s correlation further strengthened the significance of ZnO-NP application as salinity mitigators.

1. Introduction

Over 20% of irrigated lands are salt-affected soils, which may expand up to 50% by 2050 [1,2,3,4]. Anthropogenic activities, including excessive use of agrochemicals, industrial waste, and unsustainable agricultural practices are further aiding the development of soil salinity [3,5,6]. Soil salinity is also impacting ecosystems’ natural balance, biodiversity, biochemicals in soil, sustainable food security, and the socio-economic health of farmers’ communities in more than 120 countries across the globe [4,7]. The conjunction of growing food demand, urbanization, land degradation, climate change, and reduced availability of freshwater for irrigation further complicates the problem and compels farmers to use marginal lands such as saline soils and poor-quality irrigation water to enhance net agricultural production [1]. Hence, using sustainable approaches to mitigate salinity has become an important target for agronomic crops that are grown under environmental stresses.
Soil salinity, when it reaches a threshold limit for any crop, negatively influences plant growth, development, reproduction, and yield by creating osmotic stress and ionic toxicity [8]. Salt accumulation in the root zone generates negative water potential, which restricts water absorption and mineral uptake by root cells [9]. Moreover, the high concentration of Na+ disrupts the physical structure of soil by bringing soil colloids together, decreasing soil infiltration rate, restricting the movement of water and air, and causing an anoxic situation by promoting water logging [10]. Furthermore, prolonged exposure to saline environments builds up Na+ and Cl in cellular compartments of aerial plant tissues, which leads to ionic toxicity [4]. At the subcellular level, soil salinity poses harmful effects by generating reactive oxygen species (ROS) such as hydroxyl free radical (OH), singlet oxygen (1O2), and oxide ions (O2) [3]. In addition to ionic imbalance and structural damage to cellular apparatuses, salinity disrupts the biosynthesis of photosynthetic pigments and impairs cell functioning [11,12]. Also, salinity-mediated physiological water scarcity induces stomatal closure, hinders gaseous exchange, and thus further decreases the rate of photosynthesis in stressed plants [13]. In a nutshell, impaired metabolic activity, physiological traits, disproportionate mineral uptake, and subsequent negative impact growth with a significant reduction in crop yield. Therefore, the scientific community is in search of novel approaches to reclaim saline soils and enhance salinity tolerability in crop plants. On-farm practices, genetic modifications, the development of saline-tolerant crops, and aiding plants with a number of natural and synthetic compounds are just a few of the many approaches that can be used to alleviate salinity and enhance crop productivity [7,14,15]. However, strenuous implications and auxiliary restraints such as skilled knowledge, imbalanced ecosystems, environmental hazards, high costs, and low adaptability are restricting the efficient utilization of salinity mitigation techniques.
Nanotechnology has emerged as a multipotent, efficient, and widely acceptable scientific approach in life sciences such as agriculture [16,17,18]. Large surface area to volume ratio, nano size, shape modifications, and capability of efficiently delivering multiple chemicals to cells are the key features of nanoparticles (NPs); thus, they are being tested as nanofertilizers, nanopesticides, and delivery vehicles for various plant growth regulators in agriculture [19,20]. Some recent studies have highlighted the potential of NPs as abiotic stress mitigators and stimulants for plant growth and development largely correlated with their nano sizes and efficacy to deliver minerals/chemicals at the subcellular level [18,21,22]. Metal oxide NPs are successfully gaining the immense attention of agricultural scientists due to their high performance, cost-effectiveness, and eco-friendly nature [19,20]. However, the excessive and unchecked use of NPs can cause oxidative stress in plants and may lead to toxicity [23]. Therefore, sufficient attention and expertise are needed to select desired NPs, understand their mechanisms of action in plants, optimize particle size, and determine efficient and cost-effective doses as per the needs of the targeted plant species and the nature of the abiotic stress [18].
Zinc (Zn) is an essential micronutrient for most crop species and plays an important role in homeostatic and regulatory mechanisms in plants [24]. In addition to the biosynthesis of plant hormones, i.e., abscisic acid, auxin, gibberellin, and cytokinin, Zn is also involved in cell membrane stability, chloroplast development, and production of photosynthetic pigments [25]. Moreover, it regulates cellular metabolism, being a co-factor of several key enzymes including ligases, hydrolases, isomerases, and transferases [26,27]. Also, Zn is well-known for its supervisory role in plant water relations, mineral uptake, and chemiosmotic balance, thus helping to manage drought and salinity [28,29]. The application of Zn fertilizers enhances salinity tolerance in plants by mitigating Na+ excessive uptake and accumulation and by regulating the Na+/K+ ratio in plants under stress [30,31]. Exogenous Zn supply as Zn-NPs has an advantage over conventional Zn fertilizers due to slow release, low cost, higher efficiency, and eco-friendly nature [32,33,34]. The application of zinc oxide nanoparticles (ZnO-NPs) in agriculture is a promising approach to mitigate salinity in plants; however, optimization of the dose and understanding of its efficacy and crop-specific response is yet to be explored.
Maize (Zea mays L.), is the 3rd most important staple cereal food crop and can be used for food, feed and bioenergy purposes [35]. Since its domestication about 9000 years ago, maize has been cultivated in nearly 200 M ha area globally, with an annual production of 1200 million tons, 61% of which is directly used for livestock feed while 13% is used for human consumption [36,37]. It is distributed across nearly all agroecological zones in more than 165 countries worldwide due to its diverse and multiple-purpose nature, in addition to its high adaptability [35]. Undoubtedly, since the green revolution, maize production between 1960 and 2020 has consistently increased both in terms of area and yield; however, the changing climate, predominant abiotic stress (i.e., salinity, drought, and heat), land degradation, and exhaustion of natural resources are currently posing a serious threat to its sustainable production [35,38]. Maize can tolerate mild salinity; however, its early growth stages are sensitive to salinity, and it is hence generally categorized as a “sensitive” crop [39]. Maize possesses significant intraspecific genetic variations in salinity tolerance. Although a few saline-tolerant maize hybrids have been developed [40], salinity management for maize is still largely dependent on on-farm practices. Thus, the following experimental study aimed to evaluate the effect of foliar application of ZnO-NPs on maize growth and physiological performance, antioxidant profile, mineral uptake, yield, and yield-contributing attributes.

2. Materials and Methods

2.1. Nursery Preparation

Maize (Zea mays L., Hybrid-310) seeds were sterilized with 1.0% sodium hypochlorite (NaOCl) solution for 15 min followed by three washes with tap water. Germination trays (50 cm × 31 cm × 6 cm) with 96 (12 × 8) cells were filled with a mixture of peat moss and sand (3:1). Three seeds per cell were placed at a depth of 1.5 cm; this was later on reduced to one seedling per cell. The nursery was grown in a semi-controlled greenhouse with 14 h of light at 27 ± 1 °C and 10 h of dark at 23 ± 1 °C. The relative humidity was maintained at 50–60%. For the first three days, germination trays were covered with a black polythene sheet (1.0 mm) to prevent water loss.

2.2. Transplanting and Growth Conditions

A nursery of three weeks was transplanted to a semi-automatic greenhouse at the College of Food and Agricultural Sciences, King Saud University, Kingdom of Saudi Arabia. The growth conditions were maintained as 13 h of light at 30 ± 1 °C and 11 h of dark at 23 ± 1 °C, with relative humanity of 60–65% using Geosmart environment automated control systems. Agricultural perlite (8–10 mm average diameter) was used as growth media packed in polythene bags of dimensions 100 cm × 25 cm × 25 cm equipped with a semi-closed hydroponic irrigation system. The plant-to-plant distance was maintained at 20 cm and irrigated for 120 s twice a day initially, gradually increasing to four irrigations per day. The experimental study was conducted from April 2022 to August 2022.

2.3. Treatments and Experimental Design

The maize plants were treated with three salinity intensities: S0, S1, and S2 representing control, 60 mM NaCl, and 120 mM NaCl, respectively. The salinity treatments were added to the nutrient solution as described by Basit et al. [41] and the electric conductivity (EC) and pH of the nutrient solution were adjusted to 1.1 dS m−1 and 5.5, respectively. Exogenous zinc oxide nanoparticles (ZnO-NPs) treatment was applied as a foliar spray 40, 55, and 70 days after sowing (DAS). The ZnO-NPs used in this study were obtained from Sigma-Aldrich (St. Louis, MO, USA) as a 20% (w/v) hydro-suspension with an average particle size of <40 nm. The experiment was arranged as a factorial randomized complete block design (RCBD) with salinity as the main factor and ZnO-NPs as a sub-factor with three replications.

2.4. Plant Growth Parameters

2.4.1. Maximum Plant Height, Stem Diameter, and Plant Fresh and Dry Weights

At 94 DAS, physiological maturity—the maximum plant height (PH) in cm—was measured for five plants from each experimental unit using a measuring tape. The stem diameter (SD) was measured, in mm, five centimeters above the first root using a vernier caliper. The diameter was measured from three sides of each stem to compute an average. Five plants per treatment unit were randomly selected for all three replications. From each treatment unit, three plants were harvested and plant fresh weights (FW) were measured immediately using an electric balance. The aforesaid samples were then dried in an electric oven until a constant dry weight (DW) was obtained.

2.4.2. Plant Growth Rate (PGR) and Leaf Growth Rate (LGR)

In order to monitor PGR (cm/day) using a non-destructive method, the plant height was recorded for 8 weeks starting from 35 DAS, at a regular interval of 7 days, until 91 DAS. Likewise, LGR (cm2/day was computed from leaf area measured using a portable leaf area meter (LI-3000C) of LI-COR (Lincoln, NE, USA). Five plants from each experiment unit were selected randomly and the sixth leaf from the bottom was tagged and regularly measured at seven-day intervals for eight weeks, starting from 35 DAS to 91 DAS.

2.4.3. Leaf Area, Relative Water Contents (RWC), and Specific Leaf Weight (SLW)

Leaf area per plant (LA), m2/plant, was measured using a portable leaf area meter (LI-3000C) of LI-COR (Lincoln, NE, USA) at 94 DAS for 3 plants per treatment unit. Five leaf samples per plant for three plants per treatment were taken to compute specific leaf weight (SLW). The leaf area of fresh samples was recorded using LI-3000C and samples were then oven-dried at 71 °C until a constant weight was obtained. The data obtained were used to measure SLW in mg/cm2. Fresh leaf samples, discs of 2 cm diameters, were taken from fully expanded leaves and weighed immediately to determine the fresh leaf weight (FW). The samples were submerged in distilled water for 12 h and turgor weight (TW) was recorded followed by oven dry weight (DW) for which samples were placed in an electric oven at 70 °C until a constant weight was obtained. Leaf relative water content (RWC) was computed as a percentage (%) using the equation given below (Equation (1)).
R W C = T u r g o r   w e i g h t F r e s h   w e i g h t     T u r g o r   w e i g h t O v e n   d r y   w e i g h t     ×   100  

2.4.4. Chlorophyll Index (SPAD) Maximum Quantum Yield of PS II [Fv/Fm]

The chlorophyll index was measured as SPAD reading using a portable SPAD 502 Plus (Spectrum Technologies, Bridgend, UK) whereas the dark-adapted maximum quantum yield of photosystem II (PS II) was recorded as Fv/Fm using a portable Handy PEA+ (Hansatech Instruments Ltd., Norfolk, UK). Both parameters were recorded between 9:00 and 11:00 a.m. and three readings were taken per plant from five plants per treatment.

2.4.5. Photosynthetic Performance and Gas Exchange

Photosynthetic and gaseous exchange parameters of maize plants were measured using a portable LI-6400XT photosynthetic system (LI-COR, Li-COR, Lincoln, NE, USA) from fully expanded leaves at 9:00–11:00 a.m. During the measurements, the internal environment of the leaf chamber was adjusted to 25 ± 1 °C, 400 μmol·mol− 1 CO2, 800 m− 2 s− 1 photosynthetic photon flux density (PPFD), and 60–70% relative humidity. Physiological attributes such as rate of photosynthesis (Pn), stomatal conductance (Sc), intercellular CO2 concentration (Ci), and transpiration rate (TR) were recorded simultaneously for five plants per treatment at 70 DAS. The intrinsic water use efficiency (iWUE) and photosynthetic carboxylation capacity (PCC) were calculated as Pn/Sc and Pn/Ci, respectively.

2.4.6. Determination of Na+, K+, Na+/K+, and Zn2+ Concentrations

Dry leaf samples (0.5 g) were manually ground and digested following the method described by Wolf [42]. The Na+ and K+ concentrations (g/kg of DW) in the sample extracts were determined using a Flame Photometer (Corning 400, Sherwood Scientific Ltd., Cambridge, UK). The Na+ to K+ ratio (Na+/K+) was computed from the results obtained, while Zn2+ concentration (mg/kg of DW) was determined with the help of Inductively Coupled Plasma Optical Emission Spectroscopy (ICP-OES) (PerkinElmer Optima 4300 DV ICP-OES, Waltham, MA, USA).

2.4.7. Proline, Total Phenolic Contents, and Antioxidant

The proline content (Prol), in mg/g FW, was analyzed using fresh leaf samples (5.0 g) mixed with 10 mL of sulfosalicylic acid (3% v/v) and centrifuged at 5000 rpm for 10 min in a Benchtop Centrifuge-5810R (Eppendorf, Hamburg, Germany). The supernatant (2 mL) was then homogenized with 2 mL each of ninhydrin and glacial acetic acid. The homogenous mixture was incubated at 94–100 °C in boiling water for one hour followed by an ice shock. A total of 4 mL of chromophore-containing toluene was collected after mixing samples for 20 s. Using a UV–VIS spectrophotometer (SHIMADZU, Kyoto, Japan, UV1800) measurement at 520 nm and a standard curve of known proline concentration, the proline contents of the plant samples were analyzed [43]. The total phenolic contents (TPC), in mg GAE/g FM, were measured by processing the fresh samples from leaves as described by Tawaha et al. [44]. Fresh leaf (250 mg) samples were powdered in liquid nitrogen followed by extraction with 80% ethanol (10 mL) at 37 °C. The phenolic extract was then homogenized with methanol, cooled to 4 °C, and centrifuged at 3500 rpm. TPC was estimated using the Folin-Ciocalteu colorimetric method as described by Singleton and Rossi [45].
To analyze antioxidants’ enzymatic activity, 500 mg of fresh sample from newly expanded leaves was taken. The leaf samples were powdered in liquid nitrogen followed by homogenization with 50 mM phosphate buffer solution at pH 7.0. The mixture was centrifuged at 15,000 rpm for 2 min at 4 °C and the supernatant was preserved through enzymatic activity assays [46]. The antioxidant activity of superoxide dismutase (SOD) was determined using the method by Kong et al. [47], where one unit of SOD activity was taken to represent 50% inhibition of nitro blue tetrazolium (NBT) reduction. Likewise, ascorbate peroxidase (APX) activity was recorded by following Zhu et al. [48], where the consumption of ascorbate was analyzed at 240 nm for 60 s. Catalase (CAT) activity was measured as consumption of H2O2 for 3 min at 240 nm as described by Jiang and Zhang [46]. All samples for Prol, PTC, and antioxidant enzymatic activity analyses were taken 91 DAS from five plants per treatment.

2.4.8. Grain Yield and Yield-Related Attributes

Fully mature plants were harvested 115 DAS and maize cobs were left in sunlight for 3 days to maintain the lowest moisture content. Yield characteristics, i.e., number of grains per cob (NG), grain weight per cob (g) (GW), 100-grain weight (g) (HGW), and grain yield per plant (g/plant) (GY) were recorded for five samples per treatment unit.

2.5. Statistical Analyses

The data obtained for all studied parameters were subjected to statistical analysis using Predictive Analytics SoftWare (PASW) Statistics 21.0 (IBM Inc., Chicago, IL, USA) for analysis of variance (ANOVA). The treatment means were compared using the Least Significant Difference (LSD) at p ≤ 0.05. Pearson’s correlation coefficient was determined using the XLSTAT statistical package (Version 2018, Excel Add-ins soft SARL, New York, NY, USA), whereas principal component analysis (PCA) was conducted by subjecting the pooled data from all three replications to Euclidean distance (version 3.11) to compute PCA.

3. Results

Statistical analysis, i.e., ANOVA, depicted that salinity treatment significantly (p < 0.05) affected maize growth as well as physiological, antioxidant, mineral uptake, and yield attributes evaluated in this study. Likewise, foliar application of ZnO-NPs significantly (p < 0.05) influenced all studied parameters, except TR and iWUE. Moreover, the interactive effect of various combinations of salinity and foliar ZnO-NPs was also significant, excluding SD, DW, iWUE, CE, and NG.
Plant growth parameters such as PH, SD, FW, DW, and RWC were significantly affected by salinity. The 120 mM NaCl (S2) salinity resulted in −19%, −9%, −22%, −22%, and −17% lower PH, SD, FW, DW, and RWC, respectively, compared to the control (S0) (Table 1). However, the foliar application of ZnO-NPs successfully ameliorated the salinity-induced decline in maize plants’ growth attributes. Therefore, 100 mg/L of ZnO-NPs resulted in 31%, 20%, 27%, 27%, and 8% higher PH, SD, FW, DW, and RWC, respectively, compared to untreated plants (control) (Table 1). Like their individual effects, the interactive effects of various combinations of salinity and ZnO-NPs also recorded significant PH, FW, and RWC; however, the results were non-significant for SD and DW. Thus, the maximum values for PH (284.33 cm), FW per plant (508.63 g), and leaf RWC (83.47%) were found for the combination of ZnO-NPs at 100 mg/L and salinity control (S0), whereas the minimum values of PH, FW, and RWC of 168.33 cm, 347.43 g, and 63.27%, respectively, were found for combined treatments of 120 mM NaCl (S2) stress under no ZnO-NPs (control) treatment (Table 1).
Leaf performance attributes such as LA per plant (Figure 1A), Fv/Fm (Figure 1C), and SPAD reading (Figure 1D) were significantly reduced by salinity, whereas SLW (Figure 1B) was significantly increased. The S2 saline intensity (120 mM NaCl) resulted in −34%, −21%, and −41% lower LA, Fv/Fm, and SPAD readings, respectively, compared to S0 (control); however, SLW increased by 16% under S2 conditions. Results obtained from our study proved that the foliar application of ZnO-NPs in maize significantly neutralized the deleterious effects of salinity (Figure 1). Thus, foliar application of 100 mg/L ZnO-NPs resulted in 48%, 29%, and 42% higher leaf area, Fv/Fm, and SPAD, respectively, compared to the control. Moreover, the aforesaid treatment reduced SLW by −13% compared to the no ZnO-NPs application control (Figure 1B). Like their individual effects, the interactive effects of various combinations of salinity and ZnO-NPs were also found to be significant for the aforementioned parameters. The maximum values of leaf area (0.841 m2/plant), Fv/Fm (0.814), and SPAD (76.6 reading) were found for the combined treatment of 100 mg/L ZnO-NPs with S0 (saline control), whereas the lowest numbers 0.335 m2/plant, 0.421, and 25.2 SPAD reading were recorded for leaf area, Fv/Fm, and SPAD, respectively, for the combination of ZnO-NPs control (0 mg/L) and 120 mM NaCl (S2). Contrary to other parameters, the highest SLW (62.67 g/m2) (Figure 1B) was found for the combined treatment of 0 mg/L ZnO-NPs and S2 (120 mM NaCl).
The growth responses of plants exposed to various salinity intensities and treated with exogenous ZnO-NPs were monitored as PGR and LGR continually for 8 consecutive weeks between 35 DAS and 91 DAS as shown in Figure 2. Results showed a decline in PGR at 63 DAS in all treatment units; however, this change was sharper for S2 (120 mM NaCl) compared to S0 and S1 (Figure 2A). However, the foliar application of 100 mg/L ZnO-NPs significantly resulted in higher PGR under all salinity treatments, especially at early growth stages (i.e., 42 DAS) and later growth stages (i.e., 70 DAS). Nearly similar results were obtained for LGR, where salinity S1 and S2 resulted in overall lower LGR compared to the control (S0). Moreover, once again, the 100 mg/L ZnO-NPs foliar application improved the LGR under all salinity intensities, especially between 49 and 63 DAS (Figure 2B).
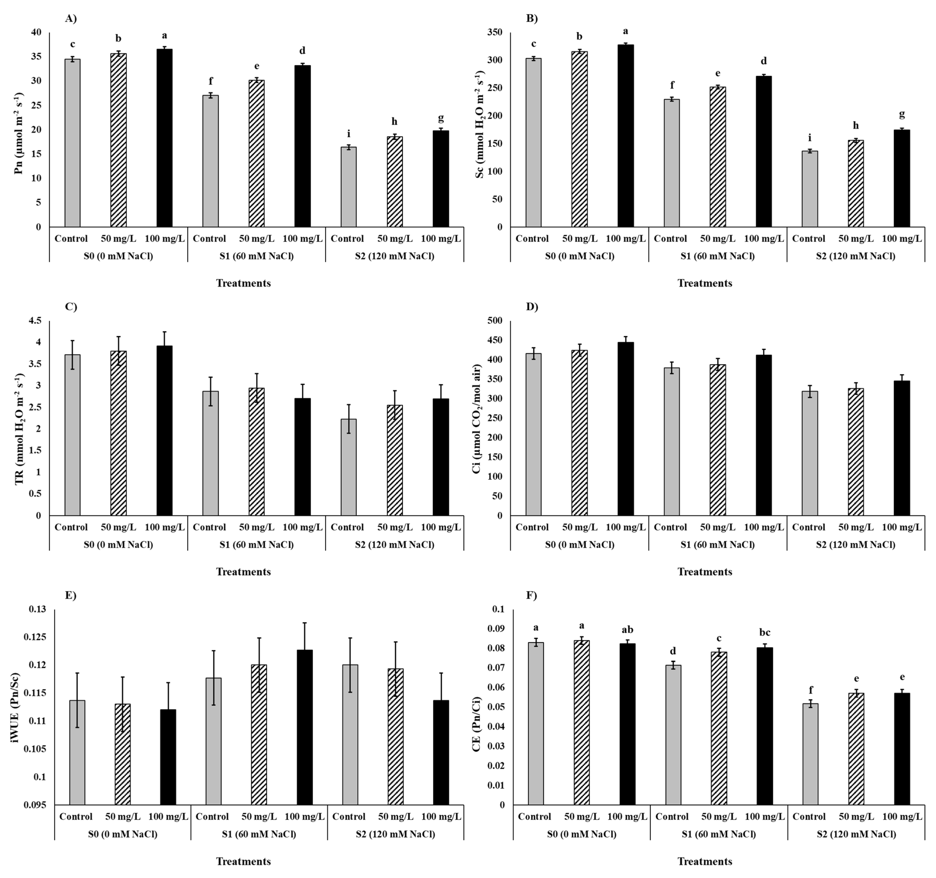
The photosynthetic and gaseous exchange performance under salinity was significantly affected, especially under 120 mM NaCl (S2) stress intensity. Thus, the salinity S2 resulted in −49%, −51%, −35%, −23%, and −33% Pn, Sc, TR, Ci, and CE, respectively, compared to the control (S0), whereas the iWUE improved by 4% in salinity plants (S2) compared to unstressed (S0) plants (Figure 3). However, the foliar application of ZnO-NPs improved the aforementioned physiological attributes of maize plants by successfully ameliorating the deleterious effects of salinity, except TR and iWUE. The foliar application of 100 mg/L ZnO-NPs resulted in 15%, 15%, 8%, and 7% higher Pn, Sc, Ci, and CE respectively, compared to the control (Figure 3A,B,D,F). However, the interactive effects of various combinations of ZnO-NPs and salinity were less consistent. The interactive effects were significant for Pn, Sc, and CE but non-significant for TR, Ci, and iWUE (Figure 3). The combined treatment of 0 mg/L ZnO-NPs (control) and 120 mM NaCl (S2) resulted in lowest values for Pn (16.41 µmol m−2 s−1), Sc (136.62 µmol H2O m−2 s−1), and CE (0.0517 Pn/Ci), whereas the highest Pn (36.52 µmol m−2 s−1) and Sc (327.33 µmol H2O m−2 s−1) values were found for the combination of 100 mg/L ZnO-NPs and 0 mM NaCl (S0).
The antioxidant defense attributes of enzymes such as SOD, CAT, and APX, and non-enzymes, i.e., Proline (Prol) and total phenolic contents (TPC) of maize plants were significantly affected by salinity. Salinity at 120 mM NaCl (S2) resulted in a 348% increase in proline content, whereas a 30% increase in TPC was found in plants under 60 mM NaCl (S1) stress compared to the control (S0). Antioxidant enzymatic activity of SOD, CAT, and APX increased by 77%, 95%, and 102%, respectively, when maize plants were subjected to S2 (120 mM NaCl) salinity compared to the control (Table 2). Interestingly, the foliar application of ZnO-NPs at 100 mg/L further facilitated antioxidant defense mechanisms; therefore, increases of 16%, 22%, and 26% were recorded for SOD, CAT, and APX, respectively. Like enzymatic activity, application of 100 mg/L ZnO-NPs also improved TPC by 30% compared to the control but resulted in −63% lower proline content (Table 2). Moreover, the interactive effects of ZnO-NPs and salinity were also highly significant for the antioxidant profile of maize plants. The combined treatment of S2 and 100 mg/L ZnO-NPs resulted in maximum antioxidant activities of 188.67 U/gFW for SOD, 66.33 U/gFW/min for CAT, and 41.67 µmol/gFW/min for APX. The highest proline contents were obtained for plants grown with 120 mM NaCl and not treated with ZnO-NPs, whereas the highest values of TPC were obtained for plants treated with 100 mg ZnO-NPs/L and grown with 60 mM NaCl (Table 2).
The elemental profiles of Na+, K+, Na+/K+, and Zn2+ concentrations in maize leaves were significantly affected by salinity. The 120 mM NaCl intensity resulted in 369% and 581% higher Na+ concentration and Na+/K+ ratio, respectively, but reduced K+ concentration by −28% and Zn2+ by −41% compared to S0 (Figure 4). The foliar application of ZnO-NPs significantly minimized salinity based on the modifications in the aforesaid parameters. ZnO-NPs (100 mg/L) reduced Na+ and Na+/K+ ratio by −19% and −42%, respectively, in comparison to the control (Figure 4A,C). However, the same treatment (100 mg/L ZnO-NPs) improved K+ and Zn2+ concentrations by 30% and 92%, respectively, compared to the control (Figure 4B,D). The interactive effects of various combinations of ZnO-NPs and salinity were also significant for Na+ and K+ concentrations and for the Na+/K+ ratio; however, the interactive effect for Zn2+ was non-significant. The combined effect of S2 (120 mM NaCl) and ZnO-NPs control (0 mg/L) resulted in the maximum Na+ concentration (22.34 g/kg DM), the highest Na+/K+ ratio (2.99), and the lowest K+ concentration (7.48 g/kg DM) (Figure 4A–C).
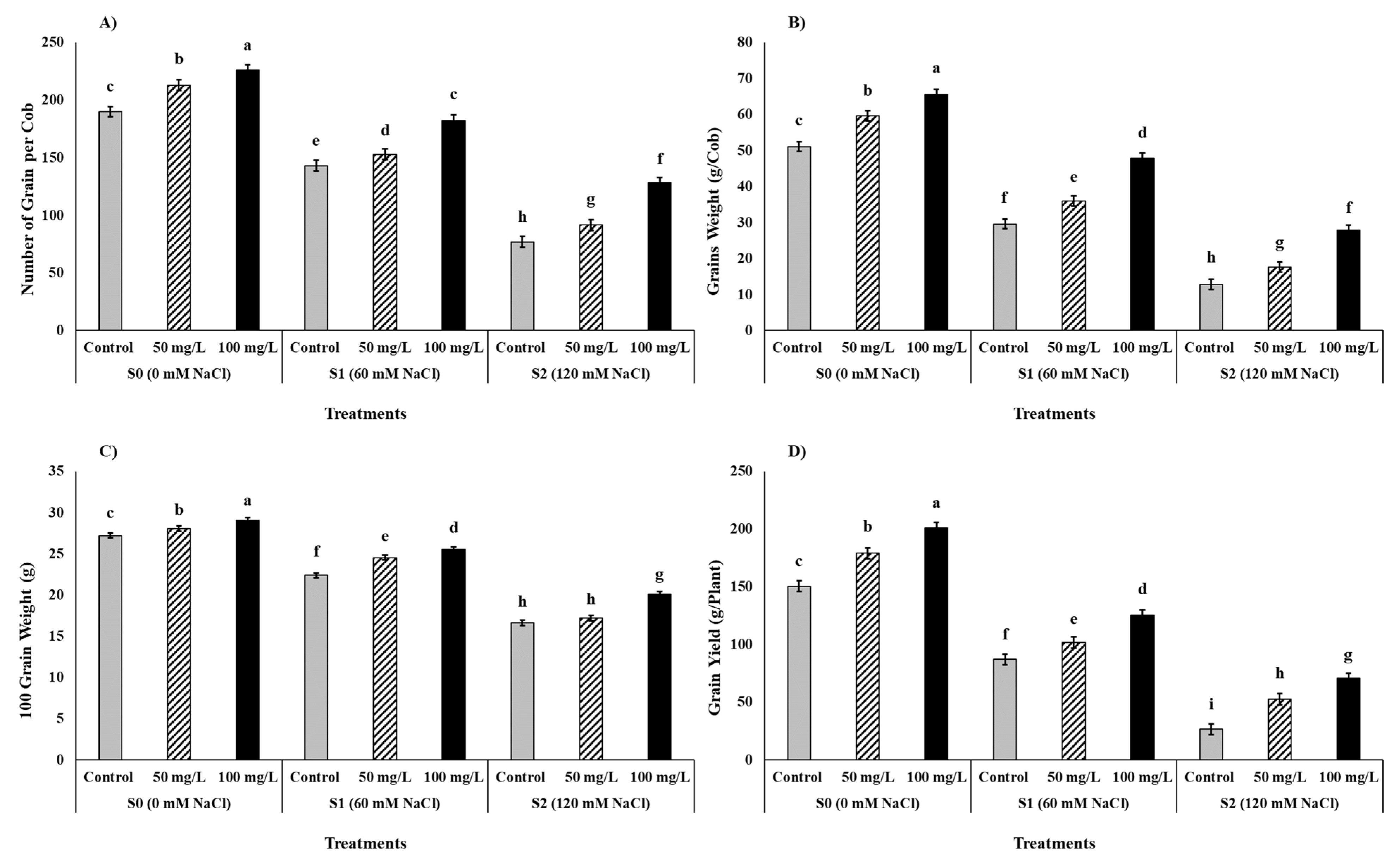
Salinity significantly hampered grain yield and yield-related attributes such as the number of grains per cob (NG), grain weight per cob (GW), 100-grain weight (HGW), and grain yield per plant (GY). In comparison to S0, salinity at 120 mM NaCl (S2) reduced the NG, GW, HGW, and GY by −53%, −67%, −36%, and −72%, respectively (Figure 5). However, the foliar application of ZnO-NPs successfully ameliorated the salinity-induced decline in yield and yield attributes; thus, the 100 mg/L ZnO-NPs application improved NG, GW, HGW, and GY by 31%, 51%, 13%, and 53%, respectively (Figure 5). Like their individual effects, the interactive effects of various ZnO-NPs and salinity combinations were also significant for all aforesaid yield attributes. The combination of 100 mg/L ZnO-NPs and salinity control (S0) resulted in maximum NG (226.00), GW (65.67 g), HGW (29.07 g), and GY (201.02 g), whereas the lowest values of NG (77.00), GW (12.80 g), and GYt (24.40 g) were recorded for the combination of ZnO-NPs control (0 mg/L) and 120 mM NaCl (Figure 5).
Pearson’s correlations conducted for combined exogenous ZnO-NPs treatments and various salinity intensities are depicted in a correlation matrix in Table 3. Most of the growth attributes, such as DW and LA, resulted in strong correlations with plant yield (GY) and physiological traits such as photosynthesis (Pn) and stomatal conductance (Sc), whereas strong negative correlations were found between growth attributes, i.e., iWUE and Na+/K+, and antioxidants, i.e., SOP, CAT, and APX. Similarly, most of the growth, physiological, and biochemical traits were significant in correlation with yield (GY), except iWUE, Na+/K+, and antioxidants (SOP, CAT, and APX), which had strong negative correlations with yield (Table 3).
PCA was performed to assess the impact of salinity and exogenous application of ZnO-NPs on maize plants. The analysis revealed that 99.39% of the overall diversity was captured. PC1 accounted for 89.78% of the variation, followed by PC2 with 7.24%, and PC3 with 1.42%. PC1 had the highest eigenvalue (21075.1), followed by PC2 (1700.8) (Table 4).
Biplot analysis was performed to identify the best treatment (combination of salinity and ZnO-NPs application) for maize plants. Similarly, the ideal characteristics were also determined based on the best performance under PC1 and PC2. The treatment S0Z2 (0 mM NaCl + 100 mg/L ZnO-NPs) and S1Z2 (60 mM NaCl + 100 mg/L ZnO-NPs) showed superior performance in PC1. Likewise, the most notable features, including fresh weight (FW), dry weight (DW), plant height (PH), CAT, SOD, Zn2+, proline content (Prol), and SPAD readings were observed in PC1, quadrant 1. In general, biplot analysis supported the foliar application of ZnO-NPs, as the results indicated that ZnO-NPs enhanced plant performance under salinity (Figure 6). The foliar application of ZnO-NPs to salt-stressed plants showed a positive influence on most of the studied traits of maize in both quadrants of PC1.

4. Discussion

Over accumulation of salts in plants’ root zones, generally referred to as “salinity”, induces subsequent abiotic abnormalities such as oxidative stress and physiological drought, which consequently impairs plants’ growth, metabolism, physiological balance, and, ultimately, yield [8,12,13]. Our findings highlighted the deleterious impact of salinity on 30 different indicators of maize plants and thus the importance of mitigating salinity. However, the foliar application of ZnO-NPs has proven to be a significant stress mitigator and thus can be assumed to be a potential strategy for enhancing saline tolerance in crops.
Seedling establishment followed by plant growth are the primary developmental stages in agricultural crops that are directly influenced by salinity [9,12,49,50]. Zea mays is known as a “sensitive to moderately sensitive” crop when it comes to salinity; thus, salinity may hamper its growth and development significantly [51,52]. In this study, plant growth attributes such as maximum plant height (PH), stem diameter (SD), fresh and dry weights per plant (FW, DW), and leaf relative water contents (RWC) were significantly reduced in plants exposed to 120 mM NaCl (S2) compared to unstressed plants (S0) (Table 1). Furthermore, leaf area per plant (LA), specific leaf weight (SLW), chlorophyll index (SPAD-reading), and photochemical efficiency of PSII (Fv/Fm) were also significantly affected by salinity (Figure 1). The continuous monitoring of plant growth using plant growth rate (PGR) and leaf growth rate (LGR) (Figure 2) are growth indicators that further strengthened our findings. Understandably, the impaired plant growth under salinity can be attributed to the over-accumulation of Na+ and Cl ions in different cellular compartments of both root and aerial plant organs [4,53]. The accretion of these ions up to noxious levels interferes with genetic expression, protein synthesis, enzymatic activity, energy metabolism, and cell division, damages the cellular ultrastructure and eventually may cause cell death [12,54]. In addition to ionic toxicity, salinity causes osmotic imbalance, denaturation of cell membranes, osmolyte leakage, and nutrient imbalance, thus affecting turgor pressure, cell elongation, and morphological features of stressed plants [4,55,56]. Even though most plants are capable of osmoregulation through biosynthesis of compatible organic electrolytes, it may cost them 10-fold higher energy, which becomes even worse under continuous exposure to hypertonic solutions, such as in our study [57]. Therefore, the efficient sequestration of Na+ ions and osmoregulation exert additional energy demand on cellular metabolism and thus affect plant growth and development [58]. However, the foliar application of ZnO-NPs, especially at 100 mg/L, successfully ameliorated salinity-induced reduction in studies of growth parameters (Table 1, Figure 1 and Figure 2). The exogenous application of ZnO-NPs possibly contributed to a slow and persistent supply of zinc ions (Zn2+), which elevated salinity tolerance by improving antioxidant activity and maintaining cell stability [24,34]. The zinc provided by ZnO-NPs promotes endogenous plant regulators/growth promoters such as indole-3-acetic acid (IAA) and gibberellic acid (GA3), which contribute to metabolic activity, cell elongation, and cell division, and thus enhance plant growth [25,59]. Zafar et al. [60] reported that foliar application of ZnO-NPs significantly alleviated salinity in spinach (Spinacia oleracea) by regulating biochemical activity, promoting the biosynthesis of chlorophyll and thus resulting in higher plant growth, fresh weight, and dry weight. In Brassica napus L., seed priming with ZnO-NPs resulted in significantly higher shoot length and weight even under 150 mM NaCl salinity compared to the control [61].
Photosynthetic activity (Pn), gaseous exchange (Sc), and associated physiological characteristics such as transpiration rate, Ci, iWUE, and the carboxylation efficiency of maize plants were significantly affected by salinity, i.e., 120 mM NaCl, compared to the control. However, the exogenous application of ZnO-NPs, especially 100 mg/L, significantly alleviated stress-induced alteration in physiological performance and resulted in much higher values of the aforementioned parameters, even under 120 mM NaCl stress (Figure 3). Explicably, oxidative stress induced by salinity disrupts the central dogma of protein synthesis, damages cellular organelles, impairs cell metabolic functions, hinders enzymatic activity, and reduces the biosynthesis of photosynthetic pigments such as chlorophyll [11,12]. On the other hand, ionic toxicity due to hyperaccumulation of Na+ in cellular compartments denatures the thylakoid membrane and results in swollen chloroplasts under salinity [62,63]. Moreover, salinity suppresses the net rate of photosynthesis by impeding electron transport rate (ETR) non-photochemical quenching (NPQ) and maximum quantum yield of PS II, and by inducing photo-inhibition and over-excitation of energy in the electron chain [54,64]. In hypertonic nutrient solution in the root zone, Na+ competes with several metallic cations and reduces the nutrient uptake required for biosynthesis of photosynthetic pigments and biochemical activity of photosynthetic enzymes, which subsequently lowers net CO2 assimilation, iWUE, and carboxylation efficiency in stressed plants compared to unstressed plants [54,65]. Furthermore, the lower K+ absorption in response to salinity leads to interrupted guard cells’ functionality, which subsequently affects stomatal aperture and closure. Thus, ex-osmosis in the root zone, physiological drought, stomatal closure, reduced transpiration rate, and gaseous exchange result in interrupted photosynthetic activity in salinated plants [13,58,66,67].
The ZnO-NPs-associated increase in photosynthetic performance can be attributed to the role of Zn2+ ion as a cofactor of several key metabolic enzymes, including transferases, isomerases, hydrolases, and ligases, thus directly improving cellular performance when available in adequate amounts [26,27]. Moreover, Zn2+ has recurrently been reported as an authoritative ion in osmoregulation, mineral uptake, and water relations; therefore, it can potentially minimize salinity-induced physiological drought and ionic toxicity, which consequently improves gaseous exchange in stressed plants [28,29]. Furthermore, the application of ZnO-NPs stimulates the biosynthesis of photosynthetic pigments by ameliorating the negative effects of ionic toxicity caused by salinity or heavy metals [68,69]. Faizan et al. [70] reported that the application of ZnO-NPs results in significant improvement in chlorophyll structure, fluorescence efficiency, photochemical efficiency of PSII, and rate of photosynthetic in Oryza sativa L. under cadmium (Cd) ionic stress. According to Zafar et al. [60], seed priming with ZnO-NPs improved the biosynthesis of chlorophyll a, chlorophyll b, and carotenoids in Spinacia oleracea L. when exposed to salinity. Likewise, in Triticum aestivum L., seed priming with ZnO-NPs successfully ameliorated salinity-mediated damage to cellular structures and imbalance of electrophoretic profile of shoot proteins, and reduced chlorophyll production and photosynthetic performance [71]. The foliar application of ZnO-NPs in Triticum aestivum L. improved photosynthetic activity, metabolism, and rate of transpiration by minimizing the oxidative damage of photosynthetic apparatus caused by salinity [68].
Prolonged salinity in plants stimulates secondary stresses such as ionic toxicity and physiological drought, which consequently lead to the hyperproduction of ROS [4,72,73]. The over-accumulation of ROS in cellular compartments results in the denaturation of proteins, lipid peroxidation of cellular membranes, oxidative damage of nucleic acids, impaired signal transduction, and electrolyte leakage, which consequently affects chemiosmotic potential, cell water relations, secondary metabolites, and hence cell elongation, division, differentiation, and functionality [55,56,74,75]. Our findings showed that maize plants under salinity, especially 120 mM NaCl, had significantly higher enzymatic antioxidants (i.e., SOD, CAT, APX) and nonenzymatic antioxidants (proline and total phenolic contents) compared to controls (Table 2). Plants possess a natural antioxidant defense mechanism consisting of both antioxidant enzymes and non-enzymatic molecules to scavenge ROS under stress conditions such as salinity [3]. Thus, enhancing antioxidants such as SOD, CAT, APX, proline, and TPC is crucial for withstanding salinity and can be used as a biomarker of stress tolerance in plants [Mittler, 2002]. As a first line of antioxidant defense, SOD catalysis generates hydroxyl free radicals, singlet oxygen, oxide ions, and hydrogen peroxide [3,76], whereas APX possibly helps in cell signaling regulation, while CAT is vital for ROS scavenging [74,77]. Phenolic compounds and proline play an important role in preventing protein detitanation and lipid peroxidation, thus maintaining cell membrane stability under salinity [78]. Therefore, in the current study, special attention was paid to the antioxidant activity of maize plants, and the effect of ZnO-NPs foliar application on antioxidants was evaluated. Our results showed that exogenous application of 100 mg/L ZnO-NPs significantly improved antioxidant enzymatic activity, i.e., SOD, CAT, and APX, and improved TPC and proline contents compared to untreated plants (Table 2). According to some recent studies, the exogenous aid of ZnO-NPs mitigates abiotic stresses in plants by improving antioxidant defense mechanisms, antioxidants enzymatic activity, and promoting carbohydrate metabolism [79,80,81,82,83]. Ali et al. [84] reported that foliar application of ZnO-NPs at 100 mg/L in Hordeum vulgare under 100 mM NaCl stress significantly improved antioxidant activity (i.e., SOD, CAT, and APX) in leaf tissues of nine genotypes. Likewise, in Gossipyum barbadense, fertilization with Zn nanoparticles at 200 ppm significantly enhances salinity tolerance by improving antioxidant activity [85]. Plants under salinity can sense Na+ ionic toxicity and hyperosmosis, which stimulate different cell signaling mechanisms such as ROS production and mitogen-activated protein kinase (MAPK), which triggers antioxidant enzymes against salinity [86]. Due to their smaller size and higher affinity, ZnO-NPs can penetrate through cell membranes and are known to stimulate K+ channels, MAPK, and antioxidant activity to enhance tolerance in stressed plants [87].
Salinity management and tolerance mechanisms in plants are fundamentally dependent upon Na+ and K+ chemiosmotic balance. Both Na and K belong to the same group of “alkali metals” and thus share nearly similar chemical properties, hydrated ionic radii, and protein channels on cellular membranes [88]. At symplastic entry sites, Na+ competes with K+; therefore, under saline conditions, higher uptake and hyperaccumulation of Na+ ions significantly lower the K+ ion concentration in plants’ aerial organs and thus increase the Na+/K+ ratio [12,72]. Our results highlighted a significant decrease in K+ and Zn2+ concentrations while increasing Na+ and the Na+/K+ ratio, especially under 120 mM NaCl stress compared to control/unstressed plants (Figure 4). Abdelaziz et al. [89] reported that, compared to unstressed tissues, significant downregulation of genes associated with K+ affinity and K+ inward-rectification channels were found in Arabidopsis root tissues under salinity due to Na+ toxicity. A sufficient concentration of K+ is vital for the biosynthesis of osmoticum, cytosolic enzymes’ optimum activity, cell membrane integrity, and chemiosmotic potential [74,88]. Therefore, in our study, prime attention was devoted to ionic balance and the effect of ZnO-NP application on Na+, K+, and Zn2+ concentrations. The results showed that, compared to the control, foliar application of 100 mg/L of ZnO-NPs significantly increased K+ and Zn2+ in maize leaves but reduced Na+ and Na+/K+ ratio, even under salinity conditions (Figure 4). The supervisory role of Zinc in helping plants under saline and drought stresses manage mineral uptake, plant water relations, and chemiosmotic balance has been reported [28,29]. Thus, the exogenous supply of Zn significantly mitigates Na+ ionic toxicity by suppressing Na+ uptake and hyperaccumulation and consequently maintains the Na+/K+ ratio in addition to the Zn2+ content [30,31]. Salinity-induced ionic imbalance creates K+ deficiency, which in return hampers plant growth both at cellular and organismic levels [90]. However, the exogenous application of Zn as ZnO-NPs enhances salinity tolerance in plants by promoting K+ accumulation rather than Na+ [91,92]. El-Badri et al. [61] reported that Brassica napus L. seed priming with ZnO-NPs under salinity significantly substituted Na+ with K+, Ca2+, and Zn2+ in the cell cytosol. Likewise, in Solanum tuberosum L. under drought stress, foliar application of 100 mg/L ZnO-NPs encouraged K+, Ca2+, P, and Mg2+ (macronutrients), and Zn2+ and Fe2+ (micronutrients) [93].
The economic yield of crop plants itself is an aggregative consequence of several growth, developmental, physiological, biochemical, and homeostatic events that are vulnerable to abiotic stresses such as salinity [65,94]. Several reports have concluded that insufficient photosynthesis and poor physiological performance of plants under salinity result in low CO2 assimilation and, hence, grain yield [8,65,95]. Moreover, salinity management strategies such as osmoregulation, active uptake of mineral ions, biosynthesis of antioxidants, organic osmolytes, and ROS scavenging cost additional metabolic energy [50,52,57]. Therefore, reprioritization of photosynthetic products and energy compounds, and carbon partitioning under salinity cause lower biomass production and economic yield compared to unstressed plants [65,96]. In the current study, maize yield attributes such as the number of grains per cob, grain weight per cob, 100-grain weight, and grain yield per plant were significantly reduced by salinity, especially when plants were exposed to continuous 120 mM NaCl stress (Figure 5). Some of the recent studies have reported nearly similar findings for Solanum lycopersicum [97,98,99], Cucumis sativus [100,101], and Lactuca sativa [102]. However, the foliar application of ZnO-NPs in our study successfully mitigated salinity and thus significantly improved the aforesaid maize yield attributes even under high salinity (120 mM NaCl). The exogenous supply of 100 mg/L of ZnO-NPs compared to the control performed significantly better at ameliorating the negative impact of salinity in yield and yield attributes (Figure 5). Zinc (Zn) is an essential micronutrient for most agricultural plants; therefore, an adequate supply of Zn is vital for crop yield and quality, and its deficiency caused by salinity results in serious losses during crop production [85]. In most essential cellular processes such as DNA replication, transcription, and protein synthesis, and the biosynthesis of chlorophyll, lipids, carbohydrates, and hormones, Zn plays an important role as a co-factor of several key enzymes. Moreover, it regulates the uptake of phosphates, Ca, K, and Na, and thus maintains osmoregulation in plants under abiotic stresses [24,29,87]. Therefore, the exogenous application of Zn nanoparticles potentially improves the yield and quality of crop plants by providing Zn and mitigating the deleterious effects induced by salinity. Seleiman et al. [93] reported that foliar application of ZnO-NPs at 100 mg/L significantly improved quality and yield characteristics in Solanum tuberosum under water-deficit stress. Likewise, the application of ZnO-NPs in Trilicum aestivum under 10 dS m−1 salinity improved grain yield by 42.2% [82].
Moreover, Pearson’s correlation (Table 3) highlighted the strength of the correlation between various growth, physiological, photosynthetic, biochemical, mineral, and yield attributes of maize plants under the combined effect of salinity and ZnO-NPs applications. PCA further portrayed the influence of ZnO-NPs and salinity on the distribution of various studied parameters within the PC components (Figure 6). Thus, it can be proposed that the exogenous application of ZnO-NPs in maize can assist with tolerating salinity via significant improvement in growth, physiological, antioxidant, and yield performance. According to Sneath and Sokal et al. [103], multivariate analysis techniques such as analysis of variance (ANOVA), correlation, and PCA are significant for understanding the impact of various treatments or plant species under abiotic stress intensities. Our results (Figure 6) depicted the variations among the studied attributes and the decreases under various combinations of ZnO-NPs applications and salinity intensities. Nearly similar findings of phenotypic variability under salinity were also reported for Vicia faba [104] and triticale [105]. Principal component analysis is a technique that is widely used in plant breeding and screening programs to cluster genotypes and study traits under various stresses/treatments. Otie et al. [106] reported that the combination of salinity and foliar application of 24-Epibrassinolide in Glycine max resulted in clusters.

5. Conclusions

Salinity stress, particularly 120 mM NaCl, resulted in a significant reduction in plant growth attributes, photosynthetic efficiency, gaseous exchange, physiological mechanism, mineral uptake, antioxidant profile, and grain yield of maize. However, foliar application of ZnO-NPs mitigated salinity-induced stress and significantly improved the abovementioned traits of maize grown with either 60 or 120 mM NaCl. The highest exogenous application of ZnO-NPs (i.e., 100 mg/L) resulted in higher grain yields for salt-stressed maize in comparison to those that were not treated with ZnO-NPs. The increment in the yield of maize treated with ZnO-NPs was attributed to enhanced growth, improved physiological performance, optimization of mineral uptake and osmotic balance, and strengthened antioxidant defense mechanism contributed by exogenous ZnO-NPs application.

6. Recommendations

The exogenous application of ZnO-NPs in agronomic crops under salinity could be considered an eco-friendly and cost-effective salinity mitigator. However, prior to its commercial application, further exploration of its efficacy in various climatic conditions, optimization of crop-specific doses and application methods may increase the effective utilization of such a strategic approach to benefit the farming community and, thus, global food security.

Author Contributions

Conceptualization, M.F.S., E.T. and A.A.; methodology, M.F.S. and A.A.; software, M.F.S., B.A.A., E.T. and A.A.; validation, M.F.S. and A.A.; formal analysis, M.F.S. and A.A.; investigation, M.F.S. and A.A.; resources, M.F.S.; data curation, M.F.S., B.A.A. and E.T.; writing—original draft preparation, M.F.S. and A.A.; writing—review and editing, M.F.S., B.A.A. and E.T.; supervision, M.F.S.; project administration, M.F.S. All authors have read and agreed to the published version of the manuscript.

Funding

The authors extend their appreciation to Prince Sattam bin Abdulaziz University for funding this research work through project number (PSAU/2023/01/8920).

Data Availability Statement

The data are contained within the article.

Conflicts of Interest

The authors declare that there are no conflict of interest.

References

  1. Hopmans, J.W.; Qureshi, A.S.; Kisekka, I.; Munns, R.; Grattan, S.R.; Rengasamy, P.; Ben-Gal, A.; Assouline, S.; Javaux, M.; Minhas, P.S.; et al. Critical knowledge gaps and research priorities in global soil salinity. Adv. Agron. 2021, 169, 1–191. [Google Scholar] [CrossRef]
  2. Mukhopadhyay, R.; Sarkar, B.; Jat, H.S.; Sharma, P.C.; Bolan, N.S. Soil salinity under climate change: Challenges for sustainable agriculture and food security. J. Environ. Manag. 2021, 280, 111736. [Google Scholar] [CrossRef] [PubMed]
  3. Negacz, K.; Vellinga, P.; Barrett-Lennard, E.; Choukr-Allah, R.; Elzenga, T. Future of Sustainable Agriculture in Saline Environments; Taylor & Francis: Abingdon, UK, 2021; p. 541. [Google Scholar] [CrossRef]
  4. Singh, A. Soil salinization management for sustainable development: A review. J. Environ. Manag. 2021, 277, 111383. [Google Scholar] [CrossRef] [PubMed]
  5. Eswar, D.; Karuppusamy, R.; Chellamuthu, S. Drivers of soil salinity and their correlation with climate change. Curr. Opin. Environ. Sustain. 2021, 50, 310–318. [Google Scholar] [CrossRef]
  6. Aksoy, S.; Yildirim, A.; Gorji, T.; Hamzehpour, N.; Tanik, A.; Sertel, E. Assessing the performance of machine learning algorithms for soil salinity mapping in Google Earth Engine platform using Sentinel-2A and Landsat-8 OLI data. Adv. Space Res. 2022, 69, 1072–1086. [Google Scholar] [CrossRef]
  7. Mokrani, S.; Nabti, E.H.; Cruz, C. Recent trends in microbial approaches for soil desalination. Appl. Sci. 2022, 12, 3586. [Google Scholar] [CrossRef]
  8. Whitney, K.; Scudiero, E.; El-Askary, H.M.; Skaggs, T.H.; Allali, M.; Corwin, D.L. Validating the use of MODIS time series for salinity assessment over agricultural soils in California, USA. Ecol. Indic. 2018, 93, 889–898. [Google Scholar] [CrossRef]
  9. Talat, N. Alleviation of soil salinization and the management of saline soils, climate change, and soil interactions. In Climate Change and Soil Interactions; Elsevier: Amsterdam, The Netherlands, 2020; pp. 305–329. [Google Scholar] [CrossRef]
  10. Ramos, T.B.; Castanheira, N.; Oliveira, A.R.; Paz, A.M.; Darouich, H.; Simionesei, L.; Farzamian, M.; Gonçalves, M.C. Soil salinity assessment using vegetation indices derived from Sentinel-2 multispectral data. application to Lezíria Grande, Portugal. Agric. Water Manag. 2020, 241, 106387. [Google Scholar] [CrossRef]
  11. Ali, Y.; Aslam, Z.; Ashraf, M.Y.; Tahir, G.R. Effect of salinity on chlorophyll concentration, leaf area, yield and yield components of rice genotypes grown under saline environment. Int. J. Environ. Sci. Technol. 2004, 1, 221–225. [Google Scholar] [CrossRef]
  12. Singh, A. Soil salinity: A global threat to sustainable development. Soil Use Manag. 2022, 38, 39–67. [Google Scholar] [CrossRef]
  13. Abideen, Z.; Koyro, H.W.; Huchzermeyer, B.; Ahmed, M.Z.; Zulfiqar, F.; Egan, T.; Khan, M.A. Phragmites karka plants adopt different strategies to regulate photosynthesis and ion flux in saline and water deficit conditions. Plant Biosyst. 2020, 155, 524–534. [Google Scholar] [CrossRef]
  14. Ahammed, G.J.; Li, C.X.; Li, X.; Liu, A.; Chen, S.; Zhou, J. Overexpression of tomato RING E3 ubiquitin ligase gene SlRING1 confers cadmium tolerance by attenuating cadmium accumulation and oxidative stress. Physiol. Plant. 2020, 173, 449–459. [Google Scholar] [CrossRef] [PubMed]
  15. Hajihashemi, S.; Skalicky, M.; Brestic, M.; Pavla, V. Cross-talk between nitric oxide, hydrogen peroxide and calcium in salt-stressed Chenopodium quinoa Willd. At seed germination stage. Plant Physiol. Biochem. 2020, 154, 657–664. [Google Scholar] [CrossRef]
  16. Orooji, Y.; Ghanbari, M.; Amiri, O.; Salavati-Niasari, M. Facile fabrication of silver iodide/graphitic carbon nitride nanocomposites by notable photo catalytic performance through sunlight and antimicrobial activity. J. Hazard. Mater. 2020, 389, 122079. [Google Scholar] [CrossRef] [PubMed]
  17. Karimi-Maleh, H.; Ayati, A.; Davoodi, R.; Tanhaei, B.; Karimi, F.; Malekmohammadi, S.; Orooji, Y.; Fu, L.; Sillanpaa, M. Recent advances in using of chitosan-based adsorbents for removal of pharmaceutical contaminants: A review. J. Clean. Prod. 2021, 291, 125–880. [Google Scholar] [CrossRef]
  18. Salam, A.; Afridi, M.S.; Javed, M.A.; Saleem, A.; Hafeez, A.; Khan, A.R.; Zeeshan, M.; Ali, B.; Azhar, W.; Ulhassan, Z.; et al. Nano-priming against abiotic stress: A way forward towards sustainable agriculture. Sustainability 2022, 14, 14880. [Google Scholar] [CrossRef]
  19. Shahid, M.; Naeem-Ullah, U.; Khan, W.; Saeed, D.S.; Razzaq, K. Application of nanotechnology for insect pests management: A review. J. Innov. Sci. 2021, 7, 28–39. [Google Scholar] [CrossRef]
  20. Sharma, S.; Singh, S.S.; Bahuguna, A.; Yadav, B.; Barthwal, A.; Nandan, R.; Khatana, R.; Pandey, A.; Thakur, R.; Singh, H. Nanotechnology: An efficient tool in plant nutrition management. In Ecosystem Services: Types, Management and Benefits; Nova Science Publishers, Inc.: Hauppauge, NY, USA, 2022. [Google Scholar]
  21. Singh, A.; Singh, N.Á.; Afzal, S.; Singh, T.; Hussain, I. Zinc oxide nanoparticles: A review of their biological synthesis, antimicrobial activity, uptake, translocation and biotransformation in plants. J. Mater. Sci. 2018, 53, 185–201. [Google Scholar] [CrossRef]
  22. Mali, S.C.; Raj, S.; Trivedi, R. Nanotechnology a novel approach to enhance crop productivity. Biochem. Biophys. Rep. 2020, 24, 100821. [Google Scholar] [CrossRef]
  23. Pooja, P.; Nandwal, A.S.; Chand, M.; Pal, A.; Kumari, A.; Rani, B.; Goel, V.; Kulshreshtha, N. Soil Moisture Deficit Induced Changes in Antioxidative Defense Mechanism of Sugarcane (Saccharum officinarum) Varieties Differing in Maturity. 2020. Available online: https://agris.fao.org/agris-search/search.do?recordID=IN2022004578 (accessed on 19 May 2023).
  24. Bana, R.C.; Gupta, A.K.; Bana, R.S.; Shivay, Y.S.; Bamboriya, S.D.; Thakur, N.P.; Puniya, R.; Gupta, M.; Jakhar, S.R.; Kailash Chaudhary, R.S.; et al. Zinc-coated urea for enhanced zinc biofortification, nitrogen use efficiency and yield of basmati rice under typic fluvents. Sustainability 2021, 14, 104. [Google Scholar] [CrossRef]
  25. Zulfiqar, F.; Ashraf, M. Nanoparticles potentially mediate salt stress tolerance in plants. Plant Physiol. Biochem. 2021, 160, 257–268. [Google Scholar] [CrossRef] [PubMed]
  26. Cakmak, I. Possible roles of zinc in protecting plant cells from damage by reactive oxygen species. New Phytol. 2000, 146, 185–205. [Google Scholar] [CrossRef] [PubMed]
  27. Garcia-Lopez, J.I.; Nino-Medina, G.; Olivares-Saenz, E.; Lira-Saldivar, R.H.; Barriga-Castro, E.D.; Vazquez-Alvarado, R.; Rodriguez-Salinas, P.A.; Zavala-Garcia, F. Foliar application of zinc oxide nanoparticles and zinc sulfate boosts the content of bioactive compounds in habanero peppers. Plants 2019, 8, 254. [Google Scholar] [CrossRef]
  28. Elamawi, R.M.; Bassiouni, S.M.; Elkhoby, W.M.; Zayed, B.A. Effect of zinc oxide nanoparticles on brown spot disease and rice productivity under saline soil. J. Plant Prot. Pathol. 2016, 7, 171–181. [Google Scholar] [CrossRef]
  29. Sturikova, H.; Krystofova, O.; Huska, D.; Adam, V. Zinc, zinc nanoparticles and plants. J. Hazard. Mater. 2018, 349, 101–110. [Google Scholar] [CrossRef] [PubMed]
  30. Nadeem, F.; Azhar, M.; Anwar-ul-Haq, M.; Sabir, M.; Samreen, T.; Tufail, A.; Awan, H.U.M.; Juan, W. Comparative response of two rice (Oryza sativa L.) cultivars to applied zinc and manganese for mitigation of salt stress. J. Soil Sci. Plant Nutr. 2020, 20, 2059–2072. [Google Scholar] [CrossRef]
  31. Tolay, I. The impact of different Zinc (Zn) levels on growth and nutrient uptake of Basil (Ocimum basilicum L.) grown under salinity stress. PLoS ONE 2021, 16, 0246493. [Google Scholar] [CrossRef]
  32. Cicek, S.; Nadaroglu, H. The use of nanotechnology in the agriculture. Adv. Nano Res. 2015, 3, 207–223. [Google Scholar] [CrossRef]
  33. Shang, Y.; Hasan, M.K.; Ahammed, G.J.; Li, M.; Yin, H.; Zhou, J. Applications of nanotechnology in plant growth and crop protection: A review. Molecules 2019, 24, 2558. [Google Scholar] [CrossRef]
  34. Zulfiqar, F.; Navarro, M.; Ashraf, M.; Akram, N.A.; Munn’e-Bosch, S. Nanofertilizer use for sustainable agriculture: Advantages and limitations. Plant Sci. 2019, 289, 110270. [Google Scholar] [CrossRef]
  35. Erenstein, O.; Jaleta, M.; Sonder, K.; Mottaleb, K.; Prasanna, B.M. Global maize production, consumption and trade: Trends and R&D implications. Food Secur. 2022, 14, 1295–1319. [Google Scholar] [CrossRef]
  36. Erenstein, O. The evolving maize sector in Asia: Challenges and opportunities. J. New Seeds 2010, 11, 1–15. [Google Scholar] [CrossRef]
  37. Grote, U.; Fasse, A.; Nguyen, T.T.; Erenstein, O. Food security and the dynamics of wheat and maize value chains in Africa and Asia. Front. Sustain. Food Syst. 2021, 4, 617009. [Google Scholar] [CrossRef]
  38. Bhusal, B.; Poudel, M.R.; Rishav, P.; Regmi, R.; Neupane, P.; Bhattarai, K.; Maharjan, B.; Bigyan, K.C.; Acharya, S. A review on abiotic stress resistance in maize (Zea mays L.): Effects, resistance mechanisms and management. J. Biol. Today’s World 2021, 10, 1–3. [Google Scholar]
  39. Sabagh, A.E.; Çiğ, F.; Seydoşoğlu, S.; Battaglia, M.L.; Javed, T.; Iqbal, M.A.; Awad, M. Salinity stress in maize: Effects of stress and recent developments of tolerance for improvement. Cereal Grains 2021, 1, 213. [Google Scholar]
  40. Prasanna, B.M.; Cairns, J.E.; Zaidi, P.H.; Beyene, Y.; Makumbi, D.; Gowda, M.; Magorokosho, C.; Zaman-Allah, M.; Olsen, M.; Das, A.; et al. Beat the stress: Breeding for climate resilience in maize for the tropical rainfed environments. Theor. Appl. Genet. 2021, 134, 1729–1752. [Google Scholar] [CrossRef]
  41. Basit, F.; Chen, M.; Ahmed, T.; Shahid, M.; Noman, M.; Liu, J.; An, J.; Hashem, A.; Fahad Al-Arjani, A.B.; Alqarawi, A.A.; et al. Seed priming with brassinosteroids alleviates chromium stress in rice cultivars via improving ROS metabolism and antioxidant defense response at biochemical and molecular levels. Antioxidants 2021, 10, 1089. [Google Scholar] [CrossRef]
  42. Wolf, B. The comprehensive system of leaf analysis and its use for diagnosing crop nutrient status. Commun. Soil Sci. Plant Anal. 1982, 3, 1035–1059. [Google Scholar] [CrossRef]
  43. Bates, L.S.; Waldren, R.A.; Teare, I.D. Rapid determination of free proline for water-stress studies. Plant Soil 1973, 39, 205–207. [Google Scholar] [CrossRef]
  44. Tawaha, K.; Alali, F.Q.; Gharaibeh, M.; Mohammad, M.; El-Elimat, T. Antioxidant activity and total phenolic content of selected Jordanian plant species. Food Chem. 2017, 104, 1372–1378. [Google Scholar] [CrossRef]
  45. Singleton, V.L.; Rossi, J.A. Colorimetry of total phenolics with phosphomolybdic-phosphotungstic acid reagents. Am. J. Enol. Vitic. 1965, 16, 144–158. [Google Scholar] [CrossRef]
  46. Jiang, M.; Zhang, J. Water stress-induced abscisic acid accumulation triggers the increased generation of reactive oxygen species and up-regulates the activities of antioxidant enzymes in maize leaves. J. Exp. Bot. 2002, 53, 2401–2410. [Google Scholar] [CrossRef] [PubMed]
  47. Kong, L.; Wang, M.; Bi, D. Selenium modulates the activities of antioxidant enzymes, osmotic homeostasis and promotes the growth of sorrel seedlings under salt stress. Plant Growth Regul. 2005, 45, 155–163. [Google Scholar] [CrossRef]
  48. Zhu, Z.; Wei, G.; Li, J.; Qian, Q.; Yu, J. Silicon alleviates salt stress and increases antioxidant enzymes activity in leaves of salt-stressed cucumber (Cucumis sativus L.). Plant Sci. 2004, 167, 527–533. [Google Scholar] [CrossRef]
  49. Zhao, C.; Zhang, H.; Song, C.; Zhu, J.K.; Shabala, S. Mechanisms of plant responses and adaptation to soil salinity. Innovation 2020, 1, 100017. [Google Scholar] [CrossRef]
  50. Chourasia, K.N.; Lal, M.K.; Tiwari, R.K.; Dev, D.; Kardile, H.B.; Patil, V.U.; Kumar, A.; Vanishree, G.; Kumar, D.; Bhardwaj, V.; et al. Salinity stress in potato: Understanding physiological, biochemical and molecular responses. Life 2021, 11, 545. [Google Scholar] [CrossRef]
  51. Farooq, M.; Hussain, M.; Wakeel, A.; Siddique, K.H. Salt stress in maize: Effects, resistance mechanisms, and management. A review. Agron. Sustain. Dev. 2015, 35, 461–481. [Google Scholar] [CrossRef]
  52. EL Sabagh, A.; Hossain, A.; Barutçular, C.; Iqbal, M.A.; Islam, M.S.; Fahad, S.; Sytar, O.; Çiğ, F.; Meena, R.S.; Erman, M. Consequences of salinity stress on the quality of crops and its mitigation strategies for sustainable crop production: An outlook of arid and semi-arid regions. In Environment, Climate, Plant and Vegetation Growth; Springer: Berlin/Heidelberg, Germany, 2020; pp. 503–533. [Google Scholar]
  53. Gerona, M.E.B.; Deocampo, M.P.; Egdane, J.A.; Ismail, A.M.; Dionisio-Sese, M.L. Physiological responses of contrasting rice genotypes to salt stress at reproductive stage. Rice Sci. 2019, 26, 207–219. [Google Scholar] [CrossRef]
  54. Yang, Z.; Li, J.L.; Liu, L.N.; Xie, Q.; Sui, N. Photosynthetic regulation under salt stress and salt-tolerance mechanism of sweet sorghum. Front. Plant Sci. 2020, 10, 1722. [Google Scholar] [CrossRef]
  55. Guo, Q.; Liu, L.; Barkla, B.J. Membrane lipid remodeling in response to salinity. Int. J. Mol. Sci. 2019, 20, 4264. [Google Scholar] [CrossRef]
  56. Shahzad, R.; Harlina, P.W.; Ewas, M.; Zhenyuan, P.; Nie, X.; Gallego, P.P.; Ullah Khan, S.; Nishawy, E.; Khan, A.H.; Jia, H. Foliar applied 24-epibrassinolide alleviates salt stress in rice (Oryza sativa L.) by suppression of ABA levels and upregulation of secondary metabolites. J. Plant Interact. 2021, 16, 533–549. [Google Scholar] [CrossRef]
  57. Shabala, S.; Shabala, S.; Cuin, T.A.; Pang, J.; Percey, W.; Chen, Z.; Conn, S.; Eing, C.; Wegner, L.H. Xylem ionic relations and salinity tolerance in barley. Plant J. 2010, 61, 839–853. [Google Scholar] [CrossRef]
  58. Yun, P.; Xu, L.; Wang, S.S.; Shabala, L.; Shabala, S.; Zhang, W.Y. Piriformospora indica improves salinity stress tolerance in Zea mays L. plants by regulating Na+ and K+ loading in root and allocating K+ in shoot. Plant Growth Regul. 2018, 86, 323–331. [Google Scholar] [CrossRef]
  59. Cakmak, I. Enrichment of cereal grains with zinc: Agronomic or genetic biofortification? Plant Soil 2008, 302, 1–17. [Google Scholar] [CrossRef]
  60. Zafar, S.; Perveen, S.; Kamran Khan, M.; Shaheen, M.R.; Hussain, R.; Sarwar, N.; Rashid, S.; Nafees, M.; Farid, G.; Alamri, S.; et al. Effect of zinc nanoparticles seed priming and foliar application on the growth and physio-biochemical indices of spinach (Spinacia oleracea L.) under salt stress. PLoS ONE 2022, 17, e0263194. [Google Scholar] [CrossRef]
  61. El-Badri, A.M.; Batool, M.; Mohamed, I.A.; Khatab, A.; Sherif, A.; Wang, Z.; Salah, A.; Nishawy, E.; Ayaad, M.; Kuai, J.; et al. Modulation of salinity impact on early seedling stage via nano-priming application of zinc oxide on rapeseed (Brassica napus L.). Plant Physiol. Biochem. 2021, 166, 376–392. [Google Scholar] [CrossRef]
  62. Miller, G.A.D.; Suzuki, N.; Ciftci-Yilmaz, S.U.L.T.A.N.; Mittler, R.O.N. Reactive oxygen species homeostasis and signalling during drought and salinity stresses. Plant Cell Environ. 2010, 33, 453–467. [Google Scholar] [CrossRef] [PubMed]
  63. Yue, J.; Fu, Z.; Zhang, L.; Zhang, Z.; Zhang, J. The positive effect of different 24-epiBL pretreatments on salinity tolerance in Robinia pseudoacacia L. seedlings. Forests 2018, 10, 4. [Google Scholar] [CrossRef]
  64. Shin, Y.K.; Bhandari, S.R.; Jo, J.S.; Song, J.W.; Cho, M.C.; Yang, E.Y.; Lee, J.G. Response to salt stress in lettuce: Changes in chlorophyll fluorescence parameters, phytochemical contents, and antioxidant activities. Agronomy 2020, 10, 1627. [Google Scholar] [CrossRef]
  65. Liu, C.; Mao, B.; Yuan, D.; Chu, C.; Duan, M. Salt tolerance in rice: Physiological responses and molecular mechanisms. Crop J. 2022, 10, 13–25. [Google Scholar] [CrossRef]
  66. Acosta-Motos, J.R.; Ortuño, M.F.; Bernal-Vicente, A.; Diaz-Vivancos, P.; Sanchez-Blanco, M.J.; Hernandez, J.A. Plant responses to salt stress: Adaptive mechanisms. Agronomy 2017, 7, 18. [Google Scholar] [CrossRef]
  67. Razzaq, A.; Ali, A.; Safdar, L.B.; Zafar, M.M.; Rui, Y.; Shakeel, A.; Shaukat, A.; Ashraf, M.; Gong, W.; Yuan, Y. Salt stress induces physiochemical alterations in rice grain composition and quality. J. Food Sci. 2020, 85, 14–20. [Google Scholar] [CrossRef]
  68. Rizwan, M.; Ali, S.; Ali, B.; Adrees, M.; Arshad, M.; Hussain, A.; Zia ur Rehman, M.; Waris, A.A. Zinc and iron oxide nanoparticles improved the plant growth and reduced the oxidative stress and cadmium concentration in wheat. Chemosphere 2019, 214, 269–277. [Google Scholar] [CrossRef] [PubMed]
  69. Faizan, M.; Hayat, S.; Pichtel, J. Effects of zinc oxide nanoparticles on crop plants: A perspective analysis. In Sustainable Agriculture Reviews 41; Springer: Cham, Switzerland, 2020; pp. 83–99. [Google Scholar] [CrossRef]
  70. Faizan, M.; Bhat, J.A.; Hessini, K.; Yu, F.; Ahmad, P. Zinc oxide nanoparticles alleviates the adverse effects of cadmium stress on Oryza sativa via modulation of the photosynthesis and antioxidant defense system. Ecotoxicol. Environ. Saf. 2021, 220, 112401. [Google Scholar] [CrossRef] [PubMed]
  71. Abou-Zeid, H.M.; Ismail, G.S.M.; Abdel-Latif, S.A. Influence of seed priming with ZnO nanoparticles on the salt-induced damages in wheat (Triticum aestivum L.) plants. J. Plant Nutr. 2021, 44, 629–643. [Google Scholar] [CrossRef]
  72. Munns, R.; Tester, M. Mechanisms of salinity tolerance. Annu. Rev. Plant Biol. 2008, 59, 651. [Google Scholar] [CrossRef]
  73. Babitha, K.C.; Vemanna, R.S.; Nataraja, K.N.; Udayakumar, M. Overexpression of EcbHLH57 transcription factor from Eleusine coracana L. in tobacco confers tolerance to salt, oxidative and drought stress. PLoS ONE 2015, 10, e0137098. [Google Scholar] [CrossRef]
  74. Jiang, C.; Zu, C.; Lu, D.; Zheng, Q.; Shen, J.; Wang, H.; Li, D. Effect of exogenous selenium supply on photosynthesis, Na+ accumulation and antioxidative capacity of maize (Zea mays L.) under salinity stress. Sci. Rep. 2017, 7, 42039. [Google Scholar] [CrossRef]
  75. Singh, A.; Roychoudhury, A. Gene regulation at transcriptional and post-transcriptional levels to combat salt stress in plants. Physiol. Plant. 2021, 173, 1556–1572. [Google Scholar] [CrossRef]
  76. Van Raamsdonk, J.M.; Hekimi, S. Superoxide dismutase is dispensable for normal animal lifespan. Proc. Natl. Acad. Sci. USA 2012, 109, 5785–5790. [Google Scholar] [CrossRef] [PubMed]
  77. Mittler, R. Oxidative stress, antioxidants and stress tolerance. Trends Plant Sci. 2002, 7, 405–410. [Google Scholar] [CrossRef] [PubMed]
  78. Tanveer, M. Role of 24-Epibrassinolide in inducing thermo-tolerance in plants. J. Plant Growth Regul. 2019, 38, 945–955. [Google Scholar] [CrossRef]
  79. Singh, R.P.; Handa, R.; Manchanda, G. Nanoparticles in sustainable agriculture: An emerging opportunity. J. Control. Release 2021, 329, 1234–1248. [Google Scholar] [CrossRef]
  80. Adrees, M.; Khan, Z.S.; Hafeez, M.; Rizwan, M.; Hussain, K.; Asrar, M.; Alyemeni, M.N.; Wijaya, L.; Ali, S. Foliar exposure of zinc oxide nanoparticles improved the growth of wheat (Triticum aestivum L.) and decreased cadmium concentration in grains under simultaneous Cd and water deficient stress. Ecotoxicol. Environ. Saf. 2021, 208, 111627. [Google Scholar] [CrossRef]
  81. Faizan, M.; Bhat, J.A.; Chen, C.; Alyemeni, M.N.; Wijaya, L.; Ahmad, P.; Yu, F. Zinc oxide nanoparticles (ZnO-NPs) induce salt tolerance by improving the antioxidant system and photosynthetic machinery in tomato. Plant Physiol. Biochem. 2021, 161, 122–130. [Google Scholar] [CrossRef] [PubMed]
  82. Adil, M.; Bashir, S.; Bashir, S.; Aslam, Z.; Ahmad, N.; Younas, T.; Asghar, R.M.A.; Alkahtani, J.; Dwiningsih, Y.; Elshikh, M.S. Zinc oxide nanoparticles improved chlorophyll contents, physical parameters, and wheat yield under salt stress. Front. Plant Sci. 2022, 13, 932861. [Google Scholar] [CrossRef] [PubMed]
  83. Aqeel, U.; Aftab, T.; Khan, M.M.A.; Naeem, M.; Khan, M.N. A comprehensive review of impacts of diverse nanoparticles on growth, development and physiological adjustments in plants under changing environment. Chemosphere 2022, 291, 132672. [Google Scholar] [CrossRef]
  84. Ali, B.; Saleem, M.H.; Ali, S.; Shahid, M.; Sagir, M.; Tahir, M.B.; Qureshi, K.A.; Jaremko, M.; Selim, S.; Hussain, A.; et al. Mitigation of salinity stress in barley genotypes with variable salt tolerance by application of zinc oxide nanoparticles. Front. Plant Sci. 2022, 13, 973782. [Google Scholar] [CrossRef]
  85. Hussein, M.M.; Abou-Baker, N.H. The contribution of nano-zinc to alleviate salinity stress on cotton plants. R. Soc. Open Sci. 2018, 5, 171809. [Google Scholar] [CrossRef]
  86. Qiao, T.; Zhao, Y.; Zhong, D.B.; Yu, X. Hydrogen peroxide and salinity stress act synergistically to enhance lipids production in microalga by regulating reactive oxygen species and calcium. Algal Res. 2021, 53, 102017. [Google Scholar] [CrossRef]
  87. Seleiman, M.F.; Ahmad, A.; Battaglia, M.L.; Bilal, H.M.; Alhammad, B.A.; Khan, N. Zinc oxide nanoparticles: A unique salinity mitigator with the potential to increase future crop production. S. Afr. J. Bot. 2023, 159, 208–218. [Google Scholar] [CrossRef]
  88. Zhu, J.K. Regulation of ion homeostasis under salt stress. Curr. Opin. Plant Biol. 2003, 6, 441–445. [Google Scholar] [CrossRef]
  89. Abdelaziz, M.E.; Kim, D.; Ali, S.; Fedoroff, N.V.; Al-Babili, S. The endophytic fungus Piriformospora indica enhances Arabidopsis thaliana growth and modulates Na+/K+ homeostasis under salt stress conditions. Plant Sci. 2017, 263, 107–115. [Google Scholar] [CrossRef] [PubMed]
  90. Heikal, Y.M.; El-Esawi, M.A.; El-Ballat, E.M.; Abdel-Aziz, H.M. Applications of nanoparticles for mitigating salinity and drought stress in plants: An overview on the physiological, biochemical and molecular genetic aspects. N. Z. J. Crop Hortic. Sci. 2022, 51, 297–327. [Google Scholar] [CrossRef]
  91. Noohpisheh, Z.; Amiri, H.; Mohammadi, A.; Farhadi, S. Effect of the foliar application of zinc oxide nanoparticles on some biochemical and physiological parameters of Trigonella foenum-graecum under salinity stress. Plant Biosyst. Int. J. Deal. All Asp. Plant Biol. 2021, 155, 267–280. [Google Scholar] [CrossRef]
  92. Dey, A.; Somaiah, S. Green synthesis and characterization of zinc oxide nanoparticles using leaf extract of Thryallis glauca (Cav.) Kuntze and their role as antioxidant and antibacterial. Microsc. Res. Tech. 2022, 85, 2835–2847. [Google Scholar] [CrossRef] [PubMed]
  93. Seleiman, M.F.; Al-Selwey, W.A.; Ibrahim, A.A.; Shady, M.; Alsadon, A.A. Foliar applications of ZnO and SiO2 nanoparticles mitigate water deficit and enhance potato yield and quality traits. Agronomy 2023, 13, 466. [Google Scholar] [CrossRef]
  94. Das, P.; Nutan, K.K.; Singla-Pareek, S.L.; Pareek, A. Understanding salinity responses and adopting ‘omics-based’approaches to generate salinity tolerant cultivars of rice. Front. Plant Sci. 2015, 6, 712. [Google Scholar] [CrossRef]
  95. Wegner, L.H.; Stefano, G.; Shabala, L.; Rossi, M.; Mancuso, S.; Shabala, S. Sequential depolarization of root cortical and stelar cells induced by an acute salt shock–implications for Na+ and K+ transport into xylem vessels. Plant Cell Environ. 2011, 34, 859–869. [Google Scholar] [CrossRef] [PubMed]
  96. Kumawat, K.C.; Nagpal, S.; Sharma, P. Potential of plant growth-promoting rhizobacteria-plant interactions in mitigating salt stress for sustainable agriculture: A review. Pedosphere 2022, 32, 223–245. [Google Scholar] [CrossRef]
  97. Costan, A.; Stamatakis, A.; Chrysargyris, A.; Petropoulos, S.A.; Tzortzakis, N. Interactive effects of salinity and silicon application on Solanum lycopersicum growth, physiology and shelf-life of fruit produced hydroponically. J. Sci. Food Agric. 2020, 100, 732–743. [Google Scholar] [CrossRef] [PubMed]
  98. Loudari, A.; Benadis, C.; Naciri, R.; Soulaimani, A.; Zeroual, Y.; Gharous, M.E.; Kalaji, H.M.; Oukarroum, A. Salt stress affects mineral nutrition in shoots and roots and chlorophyll a fluorescence of tomato plants grown in hydroponic culture. J. Plant Interact. 2020, 15, 398–405. [Google Scholar] [CrossRef]
  99. Tola, E.; Al-Gaadi, K.A.; Madugundu, R.; Patil, V.C.; Sygrimis, N. Impact of water salinity levels on the spectral behavior and yield of tomatoes in hydroponics. J. King Saud Univ. Sci. 2023, 35, 102515. [Google Scholar] [CrossRef]
  100. Harizanova, A.; Koleva-Valkova, L. Effect of silicon on photosynthetic rate and the chlorophyll fluorescence parameters at hydroponically grown cucumber plants under salinity stress. J. Cent. Eur. Agric. 2019, 20, 953–960. [Google Scholar] [CrossRef]
  101. Moncada, A.; Vetrano, F.; Miceli, A. Alleviation of salt stress by plant growth-promoting bacteria in hydroponic leaf lettuce. Agronomy 2020, 10, 1523. [Google Scholar] [CrossRef]
  102. Kaloterakis, N.; van Delden, S.H.; Hartley, S.; De Deyn, G.B. Silicon application and plant growth promoting rhizobacteria consisting of six pure Bacillus species alleviate salinity stress in cucumber (Cucumis sativus L.). Sci. Hortic. 2021, 288, 110383. [Google Scholar] [CrossRef]
  103. Sneath, P.H.; Sokal, R.R. Numerical Taxonomy; Freeman: San Francisco, CA, USA, 1973. [Google Scholar]
  104. Afzal, M.; Alghamdi, S.S.; Migdadi, H.H.; El-Harty, E.; Al-Faifi, S.A. Agronomical and physiological responses of faba bean genotypes to salt stress. Agriculture 2022, 12, 235. [Google Scholar] [CrossRef]
  105. Saed-Moucheshi, A.; Pessarakli, M.; Heidari, B. Comparing relationships among yield and its related traits in mycorrhizal and nonmycorrhizal inoculated wheat cultivars under different water regimes using multivariate statistics. Int. J. Agron. 2013, 2013, 682781. [Google Scholar] [CrossRef]
  106. Otie, V.; Ibrahim, A.; Udo, I.; Kashiwagi, J.; Matsuura, A.; Shao, Y.; Itam, M.; An, P.; Eneji, A.E. Foliarly applied 24-Epibrassinolide modulates the electrical conductivity of the saturated rhizospheric soil extracts of soybean under salinity stress. Plants 2022, 11, 2330. [Google Scholar] [CrossRef]
Figure 1. Effect of foliar application of ZnO-NPs (control, 50 mg/L, and 100 mg/L) on (A) leaf area per plant, (B) specific leaf weight, (C) photochemical efficiency of PSII (Fv/Fm), and (D) SPAD reading of maize plants grown under various salinity conditions. Different lowercase letters represent the significance between different treatments of salinity and ZnO-NPs.
Figure 1. Effect of foliar application of ZnO-NPs (control, 50 mg/L, and 100 mg/L) on (A) leaf area per plant, (B) specific leaf weight, (C) photochemical efficiency of PSII (Fv/Fm), and (D) SPAD reading of maize plants grown under various salinity conditions. Different lowercase letters represent the significance between different treatments of salinity and ZnO-NPs.
Agronomy 13 02645 g001
Figure 2. Effect of foliar application of ZnO-NPs (control, 50 mg/L, and 100 mg/L) on (A) plant growth rate (PGR) and (B) leaf growth rate (LGR) of maize plants grown under various salinity conditions.
Figure 2. Effect of foliar application of ZnO-NPs (control, 50 mg/L, and 100 mg/L) on (A) plant growth rate (PGR) and (B) leaf growth rate (LGR) of maize plants grown under various salinity conditions.
Agronomy 13 02645 g002
Figure 3. Effect of foliar application of ZnO-NPs (control, 50 mg/L, and 100 mg/L) on (A) rate of photosynthesis (Pn), (B) stomatal conductance (Sc), (C) transpiration rate (TR), (D) intercellular CO2 concentration (Ci), (E) intrinsic water use efficiency (iWUE), and (F) carboxylation efficiency (CE) of maize grown under salinity. Different lowercase letters represent the significance between different treatments of salinity and ZnO-NPs.
Figure 3. Effect of foliar application of ZnO-NPs (control, 50 mg/L, and 100 mg/L) on (A) rate of photosynthesis (Pn), (B) stomatal conductance (Sc), (C) transpiration rate (TR), (D) intercellular CO2 concentration (Ci), (E) intrinsic water use efficiency (iWUE), and (F) carboxylation efficiency (CE) of maize grown under salinity. Different lowercase letters represent the significance between different treatments of salinity and ZnO-NPs.
Agronomy 13 02645 g003
Figure 4. Effect of foliar application of ZnO-NPs (control, 50 mg/L, and 100 mg/L) on (A) Na+ concentration, (B) K+ concentration, (C) Na+/K+ ratio, and (D) Zn2+ concentration in leaves of maize plants grown under salinity conditions. Different lowercase letters represent the significance between different treatments of salinity and ZnO-NPs.
Figure 4. Effect of foliar application of ZnO-NPs (control, 50 mg/L, and 100 mg/L) on (A) Na+ concentration, (B) K+ concentration, (C) Na+/K+ ratio, and (D) Zn2+ concentration in leaves of maize plants grown under salinity conditions. Different lowercase letters represent the significance between different treatments of salinity and ZnO-NPs.
Agronomy 13 02645 g004
Figure 5. Effect of foliar application of ZnO-NPs (control, 50 mg/L, and 100 mg/L) on (A) number of grains per cob, (B) grain weight per cob, (C) 100-grain weight, and (D) grain yield per plant of maize grown under salinity conditions. Different lowercase letters represent the significance between different treatments of salinity and ZnO-NPs.
Figure 5. Effect of foliar application of ZnO-NPs (control, 50 mg/L, and 100 mg/L) on (A) number of grains per cob, (B) grain weight per cob, (C) 100-grain weight, and (D) grain yield per plant of maize grown under salinity conditions. Different lowercase letters represent the significance between different treatments of salinity and ZnO-NPs.
Agronomy 13 02645 g005
Figure 6. Biplot analysis (PC1 and PC2) of combined data of various ZnO-NPs treatments and salinity intensities.
Figure 6. Biplot analysis (PC1 and PC2) of combined data of various ZnO-NPs treatments and salinity intensities.
Agronomy 13 02645 g006
Table 1. The effect of foliar application of ZnO-NPs on maximum plant height (PH), stem diameter (SD), fresh and dry weights per plant (FW, DW), and leaf RWC of maize plants grown under various salinity conditions.
Table 1. The effect of foliar application of ZnO-NPs on maximum plant height (PH), stem diameter (SD), fresh and dry weights per plant (FW, DW), and leaf RWC of maize plants grown under various salinity conditions.
Treatments/ParametersMaximum Plant Height (cm)Stem Diameter (mm)Fresh Weight (g/Plant) Dry Weight (g/Plant)RWC (%)
Salinity
S0 (0 mM NaCl)249.67 A18.31 A526.23 A117.06 A82.36 A
S1 (60 mM NaCl)223.33 B17.82 B461.12 B102.32 B74.73 B
S2 (120 mM NaCl)202.44 C16.70 C412.09 C91.58 C68.37 C
LSD0.052.670.286.372.230.92
ZnO-NPs
Control (0 mg/L)191.78 C15.79 C418.26 C92.96 C72.26 C
50 mg/L 232.01 B18.02 B450.61 B100.08 B75.03 B
100 mg/L251.67 A18.99 A530.58 A117.92 A78.17 A
LSD0.054.700.4110.763.961.10
Salinity × ZnO-NPs
SalinityZnO-NPs
S0
(0 mM NaCl)
Control 209.67 e16.37486.97 c108.2181.77 a
50 mg/L 255.00 b18.63508.63 b113.5281.83 a
100 mg/L284.33 a19.90583.10 a129.4783.47 a
S1
(60 mM NaCl)
Control 197.33 f15.93420.37 e93.4371.73 d
50 mg/L 226.01 d18.28446.07 d98.5374.77 c
100 mg/L246.67 c19.23516.93 b115.0177.71 b
S2
(120 mM NaCl)
Control 168.33 g15.07347.43 g77.2363.27 f
50 mg/L 215.03 e17.18397.13 f88.2368.52 e
100 mg/L224.00 d17.83491.70 c109.3173.33 cd
LSD0.058.140.7118.636.861.90
S0 = 0 mM NaC; S1 = 60 mM NaCl; S2 = 120 mM NaCl. Uppercase letters (A, B, C) represent significant differences between the individual means of salinity and ZnO-NPs treatments, whereas lowercase letters (a, b, c, d, e, f, g) represent salinity + ZnO-NPs interactive treatments. The numbers in bold are reparenting LSD at p ≤ 0.05.
Table 2. The effect of foliar application of ZnO-NPs on leaf proline content, total phenolic content, and antioxidant enzymatic activity of SOD, CAT, and APX of maize plants grown under salinity conditions.
Table 2. The effect of foliar application of ZnO-NPs on leaf proline content, total phenolic content, and antioxidant enzymatic activity of SOD, CAT, and APX of maize plants grown under salinity conditions.
Treatments/ParametersProline (mg/gFW)Phenolic (mgGAE/gFM)SOD (U/gFW) CAT (U/gFW/min)APX (µmol/gFW/min)
Salinity
S0 (0 mM NaCl)0.48 C47.25 B98.67 C31.56 C19.56 C
S1 (60 mM NaCl)1.65 B61.40 A137.11 B47.56 B29.11 B
S2 (120 mM NaCl)2.15 A35.11 C175.11 A61.44 A39.56 A
LSD0.050.052.262.150.801.53
ZnO-NPs
Control (0 mg/L)2.38 A41.06 C126.56 C42.56 C25.33 C
50 mg/L 1.02 B49.21 B137.89 B46.01 B28.02 B
100 mg/L0.88 C53.49 A146.44 A52.00 A31.89 C
LSD0.050.061.331.901.611.21
Salinity × ZnO-NPs
SalinityZnO-NPs
S0
(0 mM NaCl)
Control 0.49 f44.32 e93.33 i23.99 g18.67 g
50 mg/L 0.48 f47.39 d98.33 h31.01 g19.00 fg
100 mg/L0.46 f50.03 c104.33 g34.33 f21.01 f
S1
(60 mM NaCl)
Control 2.83 b52.06 c126.33 f41.67 e25.67 e
50 mg/L 1.17 d61.52 b138.67 e 45.67 d28.67 d
100 mg/L0.96 e70.62 a146.33 d55.33 c33.00 c
S2
(120 mM NaCl)
Control 3.83 a26.79 g160.01 c56.67 c31.67 c
50 mg/L 1.39 c38.71 f176.67 b61.33 b36.33 b
100 mg/L1.21 d39.83 f188.67 a66.33 a41.67 a
LSD0.050.112.313.282.782.10
S0 = 0 mM NaCl; S1 = 60 mM NaCl; S2 = 120 mM NaCl. Uppercase letters (A, B, C) represent significant differences between the individual means for salinity and ZnO-NPs treatments, whereas lowercase letters (a–i) represent salinity + ZnO-NPs interactive treatments. The numbers in bold are reparenting LSD at p ≤ 0.05.
Table 3. Pearson’s correlation matrix of maize plants’ response to foliar application of ZnO-NPs and various salinity intensities.
Table 3. Pearson’s correlation matrix of maize plants’ response to foliar application of ZnO-NPs and various salinity intensities.
VariablesDWLARWCPnSciWUESODCATAPXNa+/K+Zn++GY
DW-*********ns*nsns*******
LA0.986-*******ns*nsns********
RWC0.9140.929-******ns***ns********
Pn0.7890.8040.931-***ns*************
Sc0.8130.8320.9530.993-ns**************
iWUE−0.562−0.581−0.596−0.366−0.468-nsnsnsnsnsns
SOD−0.693−0.728−0.865−0.912−0.9400.570-********ns***
CAT−0.432−0.470−0.721−0.803−0.8320.5330.918-*****ns**
APX−0.376−0.422−0.654−0.776−0.8020.4690.9040.981-nsns**
Na+/K+−0.838−0.858−0.960−0.936−0.9430.4930.8670.7240.650-*****
Zn++0.9350.9630.8540.7770.784−0.393−0.638−0.351−0.330−0.803-**
GY0.8810.9100.9670.9450.972−0.594−0.929−0.777−0.755−0.9180.851-
ns = non-significant; * = p ≤ 0.05; ** = p ≤ 0.01; *** = p ≤ 0.001; The upper right half part of the table presents the significance, while the lower left half of the Table presents the values of the correlation. The numbers in bold are reparenting significance at p ≤ 0.05.
Table 4. Eigenvalues, variance proportions, cumulative eigenvalues, and cumulative variances for each component of principal component analysis (PCA) performed for various traits of maize plants treated with ZnO-NPs under multiple salinity intensities.
Table 4. Eigenvalues, variance proportions, cumulative eigenvalues, and cumulative variances for each component of principal component analysis (PCA) performed for various traits of maize plants treated with ZnO-NPs under multiple salinity intensities.
PCEigenvalueVariance (%)Cumulative Eigenvalue (%)Cumulative Variance (%)
121,075.189.78621,075.189.786
21700.787.245822,775.8897.0318
3333.8331.422223,109.71398.454
4219.7070.9360123,329.4299.39001
Disclaimer/Publisher’s Note: The statements, opinions and data contained in all publications are solely those of the individual author(s) and contributor(s) and not of MDPI and/or the editor(s). MDPI and/or the editor(s) disclaim responsibility for any injury to people or property resulting from any ideas, methods, instructions or products referred to in the content.

Share and Cite

MDPI and ACS Style

Seleiman, M.F.; Ahmad, A.; Alhammad, B.A.; Tola, E. Exogenous Application of Zinc Oxide Nanoparticles Improved Antioxidants, Photosynthetic, and Yield Traits in Salt-Stressed Maize. Agronomy 2023, 13, 2645. https://doi.org/10.3390/agronomy13102645

AMA Style

Seleiman MF, Ahmad A, Alhammad BA, Tola E. Exogenous Application of Zinc Oxide Nanoparticles Improved Antioxidants, Photosynthetic, and Yield Traits in Salt-Stressed Maize. Agronomy. 2023; 13(10):2645. https://doi.org/10.3390/agronomy13102645

Chicago/Turabian Style

Seleiman, Mahmoud F., Awais Ahmad, Bushra Ahmed Alhammad, and ElKamil Tola. 2023. "Exogenous Application of Zinc Oxide Nanoparticles Improved Antioxidants, Photosynthetic, and Yield Traits in Salt-Stressed Maize" Agronomy 13, no. 10: 2645. https://doi.org/10.3390/agronomy13102645

APA Style

Seleiman, M. F., Ahmad, A., Alhammad, B. A., & Tola, E. (2023). Exogenous Application of Zinc Oxide Nanoparticles Improved Antioxidants, Photosynthetic, and Yield Traits in Salt-Stressed Maize. Agronomy, 13(10), 2645. https://doi.org/10.3390/agronomy13102645

Note that from the first issue of 2016, this journal uses article numbers instead of page numbers. See further details here.

Article Metrics

Back to TopTop