Characterization of Durum Wheat Resistance against Septoria Tritici Blotch under Climate Change Conditions of Increasing Temperature and CO2 Concentration
Abstract
:1. Introduction
2. Materials and Methods
2.1. Plant Material
2.2. Pathogen Isolation
2.3. Greenhouse Conditioning and Design of Climate Environments
2.4. Inoculation Assays
2.5. Assessment of Macroscopic Components of Resistance
2.6. Assessment of Microscopic Components of Resistance
2.7. Statistical Analysis
3. Results
3.1. Macroscopic Components of Resistance to Z. tritici Infection under Climate Change Conditions
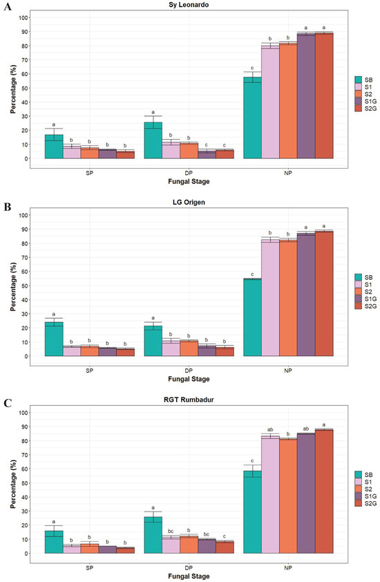
3.2. Microscopic Components of Resistance to Z. tritici Infection under Climate Change Conditions
4. Discussion
4.1. Fungal Penetration Success at Elevated Temperature and [CO2]
4.2. Final Disease Development at Elevated Temperature and [CO2]
4.3. Pycnidia Development at Elevated Temperature and [CO2]
5. Conclusions
Supplementary Materials
Author Contributions
Funding
Data Availability Statement
Acknowledgments
Conflicts of Interest
References
- Shewry, P.R.; Hey, S.J. The contribution of wheat to human diet and health. Food Energy Secur. 2015, 4, 178–202. [Google Scholar] [CrossRef]
- Oerke, E.C. Crop losses to pests. J. Agric. Sci. 2006, 144, 31–43. [Google Scholar] [CrossRef]
- Savary, S.; Willocquet, L.; Pethybridge, S.J.; Esker, P.; McRoberts, N.; Nelson, A. The global burden of pathogens and pests on major food crops. Nat. Ecol. Evol. 2019, 3, 430–439. [Google Scholar] [CrossRef]
- Strange, R.N.; Scott, P.R. Plant disease: A threat to global food security. Annu. Rev. Phytopathol. 2005, 43, 83–116. [Google Scholar] [CrossRef]
- Figueroa, M.; Hammond-Kosack, K.E.; Solomon, P.S. A review of wheat diseases—A field perspective. Mol. Plant Pathol. 2018, 19, 1523–1536. [Google Scholar] [CrossRef] [PubMed]
- Singh, R.P.; Singh, P.K.; Rutkoski, J.; Hodson, D.P.; He, X.; Jørgensen, L.N.; Hovmøller, M.S.; Huerta-Espino, J. Disease Impact on Wheat Yield Potential and Prospects of Genetic Control. Annu. Rev. Phytopathol. 2016, 54, 303–322. [Google Scholar] [CrossRef]
- Quaedvlieg, W.; Kema, G.H.J.; Groenewald, J.Z.; Verkley, G.J.M.; Seifbarghi, S.; Razavi, M.; Mirzadi Gohari, A.; Mehrabi, R.; Crous, P.W. Zymoseptoria gen. nov.: A new genus to accommodate Septoria-like species occurring on graminicolous hosts. Persoonia Mol. Phylogeny Evol. Fungi 2011, 26, 57–69. [Google Scholar] [CrossRef]
- McDonald, B.A.; Mundt, C.C. How knowledge of pathogen population biology informs management of Septoria tritici blotch. Phytopathology 2016, 106, 948–955. [Google Scholar] [CrossRef]
- Estep, L.K.; Torriani, S.F.F.; Zala, M.; Anderson, N.P.; Flowers, M.D.; McDonald, B.A.; Mundt, C.C.; Brunner, P.C. Emergence and early evolution of fungicide resistance in North American populations of Zymoseptoria tritici. Plant Pathol. 2015, 64, 961–971. [Google Scholar] [CrossRef]
- Fones, H.N.; Gurr, S.J. The impact of Septoria tritici Blotch disease on wheat: An EU perspective. Fungal Genet. Biol. 2015, 79, 3–7. [Google Scholar] [CrossRef]
- Ben M’Barek, S.; Laribi, M.; Kouki, H.; Castillo, D.; Araar, C.; Nefzaoui, M.; Ammar, K.; Saint-Pierre, C.; Yahyaoui, A.H. Phenotyping Mediterranean Durum Wheat Landraces for Resistance to Zymoseptoria tritici in Tunisia. Genes 2022, 13, 355. [Google Scholar] [CrossRef] [PubMed]
- Royo, C.; Briceño-Félix, G.A. Spanish wheat pool. In The World Wheat Book: A History of Wheat Breeding; Bonjean, A.P., Angus, W.J., van Ginkel, M., Eds.; Lavoisier Publishing: Paris, France, 2011; pp. 121–154. [Google Scholar]
- Abenavoli, L.; Milanovic, M.; Procopio, A.C.; Spampinato, G.; Maruca, G.; Perrino, E.V.; Mannino, G.C.; Fagoonee, S.; Luzza, F.; Musarella, C.M. Ancient wheats: Beneficial effects on insulin resistance. Minerva Medica 2020, 112, 641–650. [Google Scholar] [CrossRef] [PubMed]
- Goodwin, S.B.; Ben M’Barek, S.; Dhillon, B.; Wittenberg, A.H.J.; Crane, C.F.; Hane, J.K.; Foster, A.J.; van der Lee, T.A.J.; Grimwood, J.; Aerts, A.; et al. Finished genome of the fungal wheat pathogen Mycosphaerella graminicola reveals dispensome structure, chromosome plasticity, and stealth pathogenesis. PLoS Genet. 2011, 7, e1002070. [Google Scholar] [CrossRef] [PubMed]
- Wittenberg, A.H.J.; van der Lee, T.A.J.; Ben M’Barek, S.; Ware, S.B.; Goodwin, S.B.; Kilian, A.; Visser, R.G.F.; Kema, G.H.J.; Schouten, H.J. Meiosis drives extraordinary genome plasticity in the haploid fungal plant pathogen Mycosphaerella graminicola. PLoS ONE 2009, 4, e5863. [Google Scholar] [CrossRef]
- Torriani, S.F.F.; Melichar, J.P.E.; Mills, C.; Pain, N.; Sierotzki, H.; Courbot, M. Zymoseptoria tritici: A major threat to wheat production, integrated approaches to control. Fungal Genet. Biol. 2015, 79, 8–12. [Google Scholar] [CrossRef]
- Brown, J.K.M.; Chartrain, L.; Lasserre-Zuber, P.; Saintenac, C. Genetics of resistance to Zymoseptoria tritici and applications to wheat breeding. Fungal Genet. Biol. 2015, 79, 33–41. [Google Scholar] [CrossRef]
- Pérez-Méndez, N.; Miguel-Rojas, C.; Jimenez-Berni, J.A.; Gomez-Candon, D.; Pérez-De-Luque, A.; Fereres, E.; Catala-Forner, M.; Villegas, D.; Sillero, J.C. Plant Breeding and Management Strategies to Minimize the Impact of Water Scarcity and Biotic Stress in Cereal Crops under Mediterranean Conditions. Agronomy 2022, 12, 75. [Google Scholar] [CrossRef]
- Brading, P.A.; Verstappen, E.C.P.; Kema, G.H.J.; Brown, J.K.M. A gene-for-gene relationship between wheat and Mycosphaerella graminicola, the Septoria tritici blotch pathogen. Phytopathology 2002, 92, 439–445. [Google Scholar] [CrossRef]
- McCartney, C.A.; Brûlé-Babel, A.L.; Lamari, L. Inheritance of race-specific resistance to Mycosphaerella graminicola in wheat. Phytopathology 2002, 92, 138–144. [Google Scholar] [CrossRef]
- Louriki, S.; Rehman, S.; El Hanafi, S.; Bouhouch, Y.; Al-Jaboobi, M.; Amri, A.; Douira, A.; Tadesse, W. Identification of Resistance Sources and Genome-Wide Association Mapping of Septoria tritici Blotch Resistance in Spring Bread Wheat Germplasm of ICARDA. Front. Plant Sci. 2021, 12, 600176. [Google Scholar] [CrossRef]
- Kema, G.H.J.; Annone, J.G.; Sayoud, R.; Van Silfhout, C.H. Genetic variation for virulence and resistance in the wheat-Mycosphaerella graminicola pathosystem. I. Interactions between pathogen isolates and host cultivars. Phytopathology 1996, 86, 200–212. [Google Scholar] [CrossRef]
- Gerard, G.S.; Börner, A.; Lohwasser, U.; Simón, M.R. Genome-wide association mapping of genetic factors controlling Septoria tritici blotch resistance and their associations with plant height and heading date in wheat. Euphytica 2017, 213, 27. [Google Scholar] [CrossRef]
- Porras, R.; Pérez-De-Luque, A.; Sillero, J.C.; Miguel-Rojas, C. Behavior of Spanish durum wheat genotypes against Zymoseptoria tritici: Resistance and susceptibility. Span. J. Agric. Res. 2021, 19, e1002. [Google Scholar] [CrossRef]
- Suffert, F.; Sache, I.; Lannou, C. Assessment of quantitative traits of aggressiveness in Mycosphaerella graminicola on adult wheat plants. Plant Pathol. 2013, 62, 1330–1341. [Google Scholar] [CrossRef]
- Karisto, P.; Hund, A.; Yu, K.; Anderegg, J.; Walter, A.; Mascher, F.; McDonald, B.A.; Mikaberidze, A. Ranking quantitative resistance to Septoria tritici blotch in elite wheat cultivars using automated image analysis. Phytopathology 2018, 108, 568–581. [Google Scholar] [CrossRef]
- Stewart, E.L.; Hagerty, C.H.; Mikaberidze, A.; Mundt, C.C.; Zhong, Z.; McDonald, B.A. An improved method for measuring quantitative resistance to the wheat pathogen Zymoseptoria tritici using high-throughput automated image analysis. Phytopathology 2016, 106, 782–788. [Google Scholar] [CrossRef]
- Somai-Jemmali, L.; Randoux, B.; Siah, A.; Magnin-Robert, M.; Halama, P.; Reignault, P.; Hamada, W. Similar infection process and induced defense patterns during compatible interactions between Zymoseptoria tritici and both bread and durum wheat species. Eur. J. Plant Pathol. 2017, 147, 787–801. [Google Scholar] [CrossRef]
- Somai-Jemmali, L.; Siah, A.; Harbaoui, K.; Fergaoui, S.; Randoux, B.; Magnin-Robert, M.; Halama, P.; Reignault, P.; Hamada, W. Correlation of fungal penetration, CWDE activities and defense-related genes with resistance of durum wheat cultivars to Zymoseptoria tritici. Physiol. Mol. Plant Pathol. 2017, 100, 117–125. [Google Scholar] [CrossRef]
- Chaudhry, S.; Sidhu, G.P.S. Climate change regulated abiotic stress mechanisms in plants: A comprehensive review. Plant Cell Rep. 2022, 41, 1–31. [Google Scholar] [CrossRef]
- Velásquez, A.C.; Castroverde, C.D.M.; He, S.Y. Plant–Pathogen Warfare under Changing Climate Conditions. Curr. Biol. 2018, 28, R619–R634. [Google Scholar] [CrossRef]
- Juroszek, P.; von Tiedemann, A. Linking plant disease models to climate change scenarios to project future risks of crop diseases: A review. J. Plant Dis. Prot. 2015, 122, 3–15. [Google Scholar] [CrossRef]
- Miedaner, T.; Juroszek, P. Climate change will influence disease resistance breeding in wheat in Northwestern Europe. Theor. Appl. Genet. 2021, 134, 1771–1785. [Google Scholar] [CrossRef] [PubMed]
- Newbery, F.; Qi, A.; Fitt, B.D. Modelling impacts of climate change on arable crop diseases: Progress, challenges and applications. Curr. Opin. Plant Biol. 2016, 32, 101–109. [Google Scholar] [CrossRef] [PubMed]
- Suzuki, N.; Rivero, R.M.; Shulaev, V.; Blumwald, E.; Mittler, R. Abiotic and biotic stress combinations. New Phytol. 2014, 203, 32–43. [Google Scholar] [CrossRef]
- Hay, W.T.; McCormick, S.P.; Vaughan, M.M. Effects of atmospheric CO2 and temperature on wheat and corn susceptibility to Fusarium graminearum and deoxynivalenol contamination. Plants 2021, 10, 2582. [Google Scholar] [CrossRef]
- Matić, S.; Cucu, M.A.; Garibaldi, A.; Gullino, M.L. Combined effect of CO2 and temperature on wheat powdery mildew development. Plant Pathol. J. 2018, 34, 316–326. [Google Scholar] [CrossRef]
- Melloy, P.; Aitken, E.; Luck, J.; Chakraborty, S.; Obanor, F. The influence of increasing temperature and CO2 on Fusarium crown rot susceptibility of wheat genotypes at key growth stages. Eur. J. Plant Pathol. 2014, 140, 19–37. [Google Scholar] [CrossRef]
- Atkinson, N.J.; Jain, R.; Urwin, P.E. The response of plants to simultaneous biotic and abiotic stress. In Combined Stresses in Plants; Mahalingam, R., Ed.; Springer: Cham, Switzerland, 2015; pp. 181–201. [Google Scholar]
- Castroverde, C.D.M.; Dina, D. Temperature regulation of plant hormone signaling during stress and development. J. Exp. Bot. 2021, 72, 7436–7458. [Google Scholar] [CrossRef]
- Kim, J.H.; Castroverde, C.D.M.; Huang, S.; Li, C.; Hilleary, R.; Seroka, A.; Sohrabi, R.; Medina-Yerena, D.; Huot, B.; Wang, J.; et al. Increasing the resilience of plant immunity to a warming climate. Nature 2022, 607, 339–344. [Google Scholar] [CrossRef]
- Chungu, C.; Gilbert, J.; Townley-Smith, F. Septoria tritici blotch development as affected by temperature, duration of leaf wetness, inoculum concentration, and host. Plant Dis. 2001, 85, 430–435. [Google Scholar] [CrossRef]
- Hess, D.E.; Shaner, G. Effect of moisture and temperature on development of Septoria tritici blotch in wheat. Phytopathology 1987, 77, 215–219. [Google Scholar] [CrossRef]
- Magboul, A.M.; Geng, S.; Gilchrist, D.G.; Jackson, L.F. Environmental Influence on the Infection of Wheat by Mycosphaerella graminicola. Phytopathology 1992, 82, 1407–1413. [Google Scholar] [CrossRef]
- Wainshilbaum, S.J.; Lipps, P.E. Effect of Temperature and Growth Stage of Wheat on Development of Leaf and Glume Blotch Caused by Septoria tritici and S. nodorum. Plant Dis. 1991, 75, 993–998. [Google Scholar] [CrossRef]
- Váry, Z.; Mullins, E.; McElwain, J.C.; Doohan, F.M. The severity of wheat diseases increases when plants and pathogens are acclimatized to elevated carbon dioxide. Glob. Chang. Biol. 2015, 21, 2661–2669. [Google Scholar] [CrossRef]
- Royo, C.; Soriano, J.M.; Alvaro, F. Wheat: A Crop in the Bottom of the Mediterranean Diet Pyramid. In Mediterranean Identities—Environment, Society, Culture; Fuerst-Bjeliš, B., Ed.; InTech: Rijeka, Croatia, 2017; pp. 381–399. [Google Scholar] [CrossRef]
- Diffenbaugh, N.S.; Giorgi, F. Climate change hotspots in the CMIP5 global climate model ensemble. Clim. Chang. 2012, 114, 813–822. [Google Scholar] [CrossRef]
- Trnka, M.; Rötter, R.P.; Ruiz-Ramos, M.; Kersebaum, K.C.; Olesen, J.E.; Žalud, Z.; Semenov, M.A. Adverse weather conditions for European wheat production will become more frequent with climate change. Nat. Clim. Chang. 2014, 4, 637–643. [Google Scholar] [CrossRef]
- Stewart, E.L.; McDonald, B.A. Measuring quantitative virulence in the wheat pathogen Zymoseptoria tritici using high-throughput automated image analysis. Phytopathology 2014, 104, 985–992. [Google Scholar] [CrossRef]
- National Center for Biotechnology Information (NCBI), Bethesda, MD, USA. Available online: https://www.ncbi.nlm.nih.gov/ (accessed on 12 July 2023).
- Schneider, C.A.; Rasband, W.S.; Eliceiri, K.W. NIH Image to ImageJ: 25 years of image analysis. Nat. Methods 2012, 9, 671–675. [Google Scholar] [CrossRef]
- Shetty, N.P.; Kristensen, B.K.; Newmana, M.A.; Møller, K.; Gregersen, P.L.; Jørgensen, H.J.L. Association of hydrogen peroxide with restriction of Septoria tritici in resistant wheat. Physiol. Mol. Plant Pathol. 2003, 62, 333–346. [Google Scholar] [CrossRef]
- R Core Team. R: A Language and Environment for Statistical Computing; R Foundation for Statistical Computing: Vienna, Austria, 2023; Available online: https://www.r-project.org/ (accessed on 1 June 2023).
- Fones, H.N.; Eyles, C.J.; Kay, W.; Cowper, J.; Gurr, S.J. A role for random, humidity-dependent epiphytic growth prior to invasion of wheat by Zymoseptoria tritici. Fungal Genet. Biol. 2017, 106, 51–60. [Google Scholar] [CrossRef]
- Chaloner, T.M.; Fones, H.N.; Varma, V.; Bebber, D.P.; Gurr, S.J. A new mechanistic model of weather-dependent Septoria tritici blotch disease risk. Philos. Trans. R. Soc. B Biol. Sci. 2019, 374, 20180266. [Google Scholar] [CrossRef] [PubMed]
- Francisco, C.S.; Ma, X.; Zwyssig, M.M.; McDonald, B.A.; Palma-Guerrero, J. Morphological changes in response to environmental stresses in the fungal plant pathogen Zymoseptoria tritici. Sci. Rep. 2019, 9, 9642. [Google Scholar] [CrossRef] [PubMed]
- Suffert, F.; Sache, I.; Lannou, C. Early stages of Septoria tritici blotch epidemics of winter wheat: Build-up, overseasoning, and release of primary inoculum. Plant Pathol. 2011, 60, 166–177. [Google Scholar] [CrossRef]
- Eastburn, D.M.; McElrone, A.J.; Bilgin, D.D. Influence of atmospheric and climatic change on plant-pathogen interactions. Plant Pathol. 2011, 60, 54–69. [Google Scholar] [CrossRef]
- Elad, Y.; Pertot, I. Climate Change Impacts on Plant Pathogens and Plant Diseases. J. Crop Improv. 2014, 28, 99–139. [Google Scholar] [CrossRef]
- Yates, S.; Mikaberidze, A.; Krattinger, S.G.; Abrouk, M.; Hund, A.; Yu, K.; Studer, B.; Fouche, S.; Meile, L.; Pereira, D.; et al. Precision phenotyping reveals novel loci for quantitative resistance to Septoria tritici blotch. Plant Phenomics 2019, 2019, 3285904. [Google Scholar] [CrossRef]
- Cheng, C.; Gao, X.; Feng, B.; Sheen, J.; Shan, L.; He, P. Plant immune response to pathogens differs with changing temperatures. Nat. Commun. 2013, 4, 2530. [Google Scholar] [CrossRef]
- Orton, E.S.; Rudd, J.J.; Brown, J.K.M. Early molecular signatures of responses of wheat to Zymoseptoria tritici in compatible and incompatible interactions. Plant Pathol. 2017, 66, 450–459. [Google Scholar] [CrossRef]
- Sánchez-Vallet, A.; McDonald, M.C.; Solomon, P.S.; McDonald, B.A. Is Zymoseptoria tritici a hemibiotroph? Fungal Genet. Biol. 2015, 79, 29–32. [Google Scholar] [CrossRef]
- Manning, W.J.; von Tiedemann, A. Climate change: Potential effects of increased atmospheric Carbon dioxide (CO2), ozone (O3), and ultraviolet-B (UV-B) radiation on plant diseases. Environ. Pollut. 1995, 88, 219–245. [Google Scholar] [CrossRef]
- Loladze, I. Hidden shift of the ionome of plants exposed to elevated CO2 depletes minerals at the base of human nutrition. Elife 2014, 3, e02245. [Google Scholar] [CrossRef] [PubMed]
- Yang, F.; Melo-Braga, M.N.; Larsen, M.R.; Joørgensen, H.J.L.; Palmisano, G. Battle through signaling between wheat and the fungal pathogen Septoria tritici revealed by proteomics and phosphoproteomics. Mol. Cell. Proteom. 2013, 12, 2497–2508. [Google Scholar] [CrossRef] [PubMed]
- Bazinet, Q.; Tang, L.; Bede, J.C. Impact of Future Elevated Carbon Dioxide on C3 Plant Resistance to Biotic Stresses. Mol. Plant-Microbe Interact. 2022, 35, 527–539. [Google Scholar] [CrossRef] [PubMed]
- Volk, T.; Epke, K.; Gerstner, V.; Leuthner, C.; Rotterdam, A.; Johnen, A.; Richthnfen, J.S.V. Klimawandel in Nordrhein-Westfalen-Auswirkungen auf Schädlinge und Pilzkrankheiten Wichtiger Ackerbaukulturen; Abschlussbericht; Pro-Plant GmbH: Münster, Germany, 2010. (In German) [Google Scholar]
- Kema, G.H.J.; Yu, D.Z.; Rijkenberg, F.H.J.; Shaw, M.W.; Baayen, R.P. Histology of the pathogenesis of Mycosphaerella graminicola in wheat. Phytopathology 1996, 86, 777–786. [Google Scholar] [CrossRef]
- Eyal, Z. The Septoria tritici and Stagonospora nodorum blotch diseases of wheat. Eur. J. Plant Pathol. 1999, 105, 629–641. [Google Scholar] [CrossRef]
- Shearer, B.L.; Wilcoxson, R.D. Variation in the size of macropycnidiospores and pycnidia of Septoria tritici on wheat. Can. J. Bot. 1978, 56, 742–746. [Google Scholar] [CrossRef]
- Eyal, Z.; Scharen, A.L.; Prescott, J.M.; van Ginkel, M. The Septoria Diseases of Wheat: Concepts and Methods of Disease Management; Hettel, G.P., Ed.; CIMMYT: Mexico City, Mexico, 1987. [Google Scholar]
- Gough, F.J. Effect of Wheat Host Cultivars on Pycnidiospore Production by Septoria tritici. Phytopathology 1978, 68, 1343–1345. [Google Scholar] [CrossRef]
- Stewart, E.L.; Croll, D.; Lendenmann, M.H.; Sánchez-Vallet, A.; Hartmann, F.E.; Palma-Guerrero, J.; Ma, X.; McDonald, B.A. Quantitative trait locus mapping reveals complex genetic architecture of quantitative virulence in the wheat pathogen Zymoseptoria tritici. Mol. Plant Pathol. 2018, 9, 201–216. [Google Scholar] [CrossRef]




| Accession | Environmental Set | PLACL (%) | Pyc/Lesion (Pyc/cm2) | Pyc/Leaf (Pyc/cm2) |
|---|---|---|---|---|
| Sy Leonardo | SB | 37.48 (6.11 ± 0.09) a | 601.27 ± 33.09 a | 222.77 ± 10.81 a |
| S1 | 21.71 (4.61 ± 0.17) b | 226.00 ± 27.66 b | 47.01 ± 5.81 b | |
| S2 | 23.29 (4.79 ± 0.14) b | 266.08 ± 33.85 b | 61.81 ± 8.67 b | |
| S1G | 5.12 (2.21 ± 0.12) d | 105.05 ± 18.32 c | 4.43 ± 0.63 c | |
| S2G | 9.24 (2.97 ± 0.16) c | 139.21 ± 18.75 c | 11.92 ± 1.83 c | |
| LG Origen | SB | 9.09 (2.94 ± 0.16) a | 70.83 ± 23.85 a | 4.63 ± 0.91 a |
| S1 | 1.61 (1.17 ± 0.12) b | 82.05 ± 32.36 ab | 1.43 ± 0.52 b | |
| S2 | 2.19 (1.36 ± 0.14) b | 47.91 ± 20.67 ab | 1.71 ± 0.87 b | |
| S1G | 0.73 (0.56 ± 0.16) c | 2.00 ± 1.70 b | 0.05 ± 0.37 b | |
| S2G | 1.75 (1.26 ± 0.10) b | 44.82 ± 24.46 b | 0.83 ± 0.49 b | |
| RGT Rumbadur | SB | 8.88 (2.95 ± 0.10) a | 12.59 ± 2.11 ab | 1.18 ± 0.21 a |
| S1 | 5.17 (2.22 ± 0.12) b | 12.41 ± 1.65 a | 0.60 ± 0.08 a | |
| S2 | 8.67 (2.88 ± 0.15) a | 7.60 ± 1.06 ab | 0.66 ± 0.12 a | |
| S1G | 1.76 (1.25 ± 0.10) c | 10.44 ± 2.56 ab | 0.22 ± 0.06 b | |
| S2G | 2.42 (1.51 ± 0.09) c | 5.49 ± 1.38 b | 0.13 ± 0.03 b |
Disclaimer/Publisher’s Note: The statements, opinions and data contained in all publications are solely those of the individual author(s) and contributor(s) and not of MDPI and/or the editor(s). MDPI and/or the editor(s) disclaim responsibility for any injury to people or property resulting from any ideas, methods, instructions or products referred to in the content. |
© 2023 by the authors. Licensee MDPI, Basel, Switzerland. This article is an open access article distributed under the terms and conditions of the Creative Commons Attribution (CC BY) license (https://creativecommons.org/licenses/by/4.0/).
Share and Cite
Porras, R.; Miguel-Rojas, C.; Lorite, I.J.; Pérez-de-Luque, A.; Sillero, J.C. Characterization of Durum Wheat Resistance against Septoria Tritici Blotch under Climate Change Conditions of Increasing Temperature and CO2 Concentration. Agronomy 2023, 13, 2638. https://doi.org/10.3390/agronomy13102638
Porras R, Miguel-Rojas C, Lorite IJ, Pérez-de-Luque A, Sillero JC. Characterization of Durum Wheat Resistance against Septoria Tritici Blotch under Climate Change Conditions of Increasing Temperature and CO2 Concentration. Agronomy. 2023; 13(10):2638. https://doi.org/10.3390/agronomy13102638
Chicago/Turabian StylePorras, Rafael, Cristina Miguel-Rojas, Ignacio J. Lorite, Alejandro Pérez-de-Luque, and Josefina C. Sillero. 2023. "Characterization of Durum Wheat Resistance against Septoria Tritici Blotch under Climate Change Conditions of Increasing Temperature and CO2 Concentration" Agronomy 13, no. 10: 2638. https://doi.org/10.3390/agronomy13102638
APA StylePorras, R., Miguel-Rojas, C., Lorite, I. J., Pérez-de-Luque, A., & Sillero, J. C. (2023). Characterization of Durum Wheat Resistance against Septoria Tritici Blotch under Climate Change Conditions of Increasing Temperature and CO2 Concentration. Agronomy, 13(10), 2638. https://doi.org/10.3390/agronomy13102638

