The Integrated Effects of Biostimulant Application, Mechanical Weed Control, and Herbicide Application on Weed Growth and Maize (Zea mays L.) Yield
Abstract
:1. Introduction
2. Materials and Methods
2.1. Site Description
2.2. Experimental Setup and Design
2.3. Data Collection
2.4. Statistical Analysis
3. Results
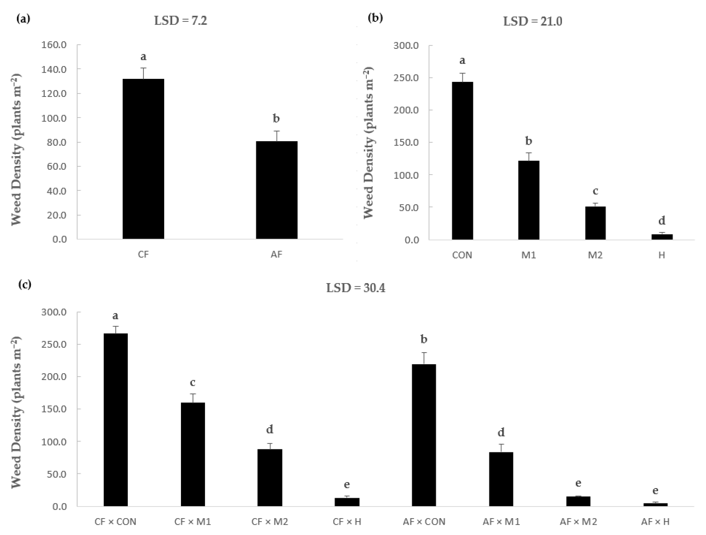
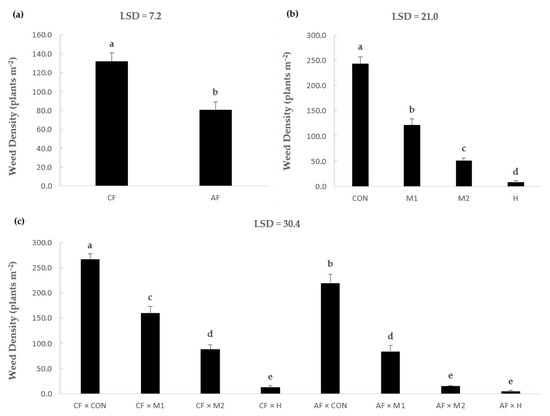
3.1. Weed Density and Biomass
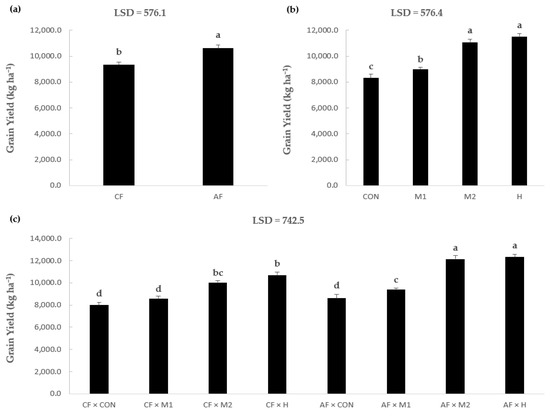
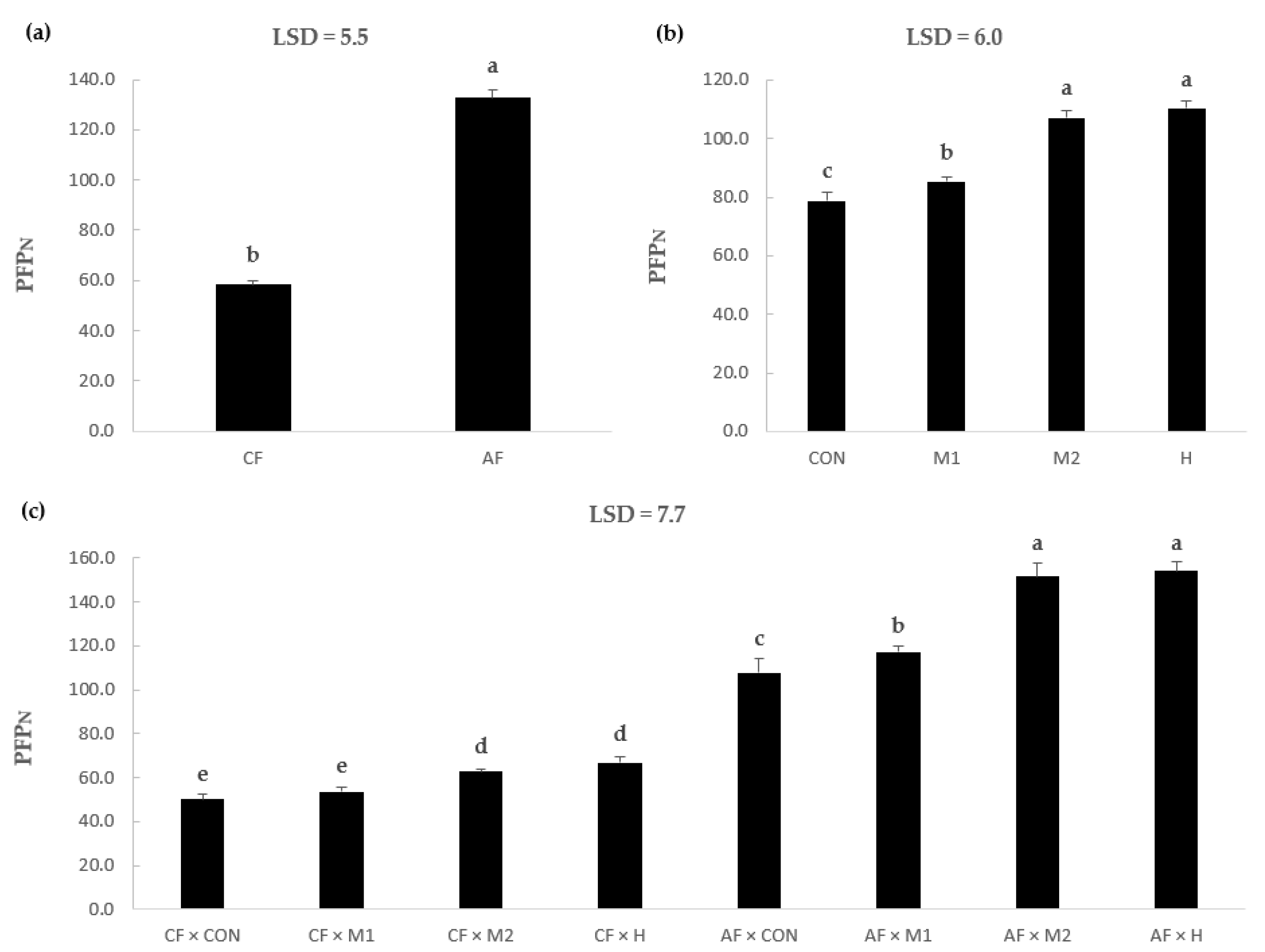
3.2. Maize Grain Yield and Nitrogen Partial Factor Productivity (PFPN)
4. Discussion
5. Conclusions
Author Contributions
Funding
Data Availability Statement
Acknowledgments
Conflicts of Interest
References
- Erenstein, O.; Jaleta, M.; Sonder, K.; Mottaleb, K.; Prasanna, B.M. Global maize production, consumption and trade: Trends and R&D implications. Food Secur. 2022, 14, 1295–1319. [Google Scholar]
- Oerke, E.C. Crop losses to pests. J. Agric. Sci. 2006, 144, 31–43. [Google Scholar] [CrossRef]
- Chauhan, B.S. Grand challenges in weed management. Front. Agron. 2020, 1, 3. [Google Scholar] [CrossRef]
- Ramesh, K.; Matloob, A.; Aslam, F.; Florentine, S.K.; Chauhan, B.S. Weeds in a changing climate: Vulnerabilities, consequences, and implications for future weed management. Front. Plant Sci. 2017, 8, 95. [Google Scholar] [CrossRef] [PubMed]
- Varanasi, A.; Prasad, P.V.; Jugulam, M. Chapter three—Impact of climate change factors on weeds and herbicide efficacy. In Advances in Agronomy; Sparks, D.L., Ed.; Academic Press: Cambridge, MA, USA, 2016; Volume 135, pp. 107–146. [Google Scholar]
- Patterson, D.T. Weeds in a changing climate. Weed Sci. 1995, 43, 685–700. [Google Scholar] [CrossRef]
- Westwood, J.H.; Charudattan, R.; Duke, S.O.; Fennimore, S.A.; Marrone, P.; Slaughter, D.C.; Swanton, C.; Zollinger, R. Weed management in 2050: Perspectives on the future of weed science. Weed Sci. 2018, 66, 275–285. [Google Scholar] [CrossRef]
- Little, N.G.; DiTommaso, A.; Westbrook, A.S.; Ketterings, Q.M.; Mohler, C.L. Effects of fertility amendments on weed growth and weed–crop competition: A review. Weed Sci. 2021, 69, 132–146. [Google Scholar] [CrossRef]
- Bajwa, A.A.; Anjum, S.A.; Nafees, W.; Tanveer, M.; Saeed, H.S. Impact of fertilizer use on weed management in conservation agriculture-a review. Pak. J. Agric. Res. 2014, 27, 69–78. [Google Scholar]
- Kaur, S.; Kaur, R.; Chauhan, B.S. Understanding crop-weed-fertilizer-water interactions and their implications for weed management in agricultural systems. Crop Prot. 2018, 103, 65–72. [Google Scholar] [CrossRef]
- Alijani, K.; Kazemeini, S.A.; Bahrani, M.J.; Ghadiri, H. Weed seed bank as affected by tillage, residue, and fertilization management under sweet corn-wheat cropping sequence in Iran. Weed Biol. Manag. 2023, 23, 3–13. [Google Scholar] [CrossRef]
- Blackshaw, R.E.; Molnar, L.J.; Janzen, H.H. Nitrogen fertilizer timing and application method affect weed growth and competition with spring wheat. Weed Sci. 2004, 52, 614–622. [Google Scholar] [CrossRef]
- Blackshaw, R.E.; Semach, G.; Janzen, H.H. Fertilizer application method affects nitrogen uptake in weeds and wheat. Weed Sci. 2002, 50, 634–641. [Google Scholar] [CrossRef]
- Ottaiano, L.; Di Mola, I.; Cozzolino, E.; El-Nakhel, C.; Rouphael, Y.; Mori, M. Biostimulant application under different nitrogen fertilization levels: Assessment of yield, leaf quality, and nitrogen metabolism of tunnel-grown lettuce. Agronomy 2021, 11, 1613. [Google Scholar] [CrossRef]
- Yakhin, O.I.; Lubyanov, A.A.; Yakhin, I.A.; Brown, P.H. Biostimulants in plant science: A global perspective. Front. Plant Sci. 2017, 7, 2049. [Google Scholar] [CrossRef] [PubMed]
- Baltazar, M.; Correia, S.; Guinan, K.J.; Sujeeth, N.; Bragança, R.; Gonçalves, B. Recent advances in the molecular effects of biostimulants in plants: An overview. Biomolecules 2021, 11, 1096. [Google Scholar] [CrossRef]
- Du Jardin, P. Plant biostimulants: Definition, concept, main categories and regulation. Sci. Hortic. 2015, 196, 3–14. [Google Scholar] [CrossRef]
- Hamid, B.; Zaman, M.; Farooq, S.; Fatima, S.; Sayyed, R.Z.; Baba, Z.A.; Sheikh, T.A.; Reddy, M.S.; El Enshasy, H.; Gafur, A.; et al. Bacterial plant biostimulants: A sustainable way towards improving growth, productivity, and health of crops. Sustainability 2021, 13, 2856. [Google Scholar] [CrossRef]
- Kanatas, P.; Gazoulis, I.; Travlos, I. Irrigation timing as a practice of effective weed management in established alfalfa (Medicago sativa L.) crop. Agronomy 2021, 11, 550. [Google Scholar] [CrossRef]
- Soltani, N.; Shropshire, C.; Sikkema, P.H. Effect of biostimulants added to postemergence herbicides in corn, oats and winter wheat. Agric. Sci. 2015, 6, 527–534. [Google Scholar] [CrossRef]
- Matysiak, K.; Miziniak, W.; Kaczmarek, S.; Kierzek, R. Herbicides with natural and synthetic biostimulants in spring wheat. Cienc. Rural 2018, 48, e20180405. [Google Scholar] [CrossRef]
- Ginter, A.; Zarzecka, K.; Gugała, M. Effect of herbicide and biostimulants on production and economic results of edible potato. Agronomy 2022, 12, 1409. [Google Scholar] [CrossRef]
- Liu, Z.; Gao, J.; Gao, F.; Liu, P.; Zhao, B.; Zhang, J. Late harvest improves yield and nitrogen utilization efficiency of summer maize. Field Crops Res. 2019, 232, 88–94. [Google Scholar] [CrossRef]
- Shapiro, S.S.; Wilk, M.B. An analysis of variance test for normality (complete samples). Biometrika 1965, 52, 591–611. [Google Scholar] [CrossRef]
- Levene, H. Robust tests of equality of variances. In Contributions to Probability and Statistics, Essays in Honor of Harold Hoteling; Olkin, I., Ghurye, S.G., Hoeffding, W., Madow, W.G., Mann, H.B., Eds.; Stanford University Press: Stanford, CA, USA, 1960; pp. 278–292. [Google Scholar]
- Gholamhoseini, M.; AghaAlikhani, M.; Modarres Sanavy, S.A.M.; Mirlatifi, S.M.; Zakikhani, H. Response of corn and redroot pigweed to nitrogen fertilizer in different irrigation regimes. Agron. J. 2013, 105, 1107–1118. [Google Scholar] [CrossRef]
- Mashingaidze, A.B.; Lotz, L.A.; Van der Werf, W.; Chipomho, J.; Kropff, M.J.; Nabwami, J. The influence of fertilizer placement on maize yield and growth of weeds. In Proceedings of the 2010 Jkuat Scientific Technological and Industrialization Conference, Nairobi, Kenya, 17–19 November 2010. [Google Scholar]
- Anderson, R.L. Cultural systems to aid weed management in semiarid corn (Zea mays). Weed Technol. 2000, 14, 630–634. [Google Scholar] [CrossRef]
- Di Tomaso, J.M. Approaches for improving crop competitiveness through the manipulation of fertilization strategies. Weed Sci. 1995, 43, 491–497. [Google Scholar] [CrossRef]
- Dahiya, A.; Sharma, R.; Sindhu, S.; Sindhu, S.S. Resource partitioning in the rhizosphere by inoculated Bacillus spp. towards growth stimulation of wheat and suppression of wild oat (Avena fatua L.) weed. Physiol. Mol. Biol. Plants 2019, 25, 1483–1495. [Google Scholar] [CrossRef]
- Kanatas, P.; Travlos, I.; Gazoulis, I.; Antonopoulos, N.; Tataridas, A.; Mpechliouli, N.; Petraki, D. Biostimulants and herbicides: A promising approach towards Green Deal implementation. Agronomy 2022, 12, 3205. [Google Scholar] [CrossRef]
- Kramer, M.D.; Legleiter, T.R. Influence of broadcast nozzle design and weed density on dicamba plus glyphosate deposition, coverage, and efficacy in dicamba-resistant soybean. Front. Agron. 2022, 4, 903669. [Google Scholar] [CrossRef]
- Alba, O.S.; Syrovy, L.D.; Duddu, H.S.; Shirtliffe, S.J. Increased seeding rate and multiple methods of mechanical weed control reduce weed biomass in a poorly competitive organic crop. Field Crops Res. 2020, 245, 107648. [Google Scholar] [CrossRef]
- Kanatas, P.J.; Gazoulis, I. The integration of increased seeding rates, mechanical weed control and herbicide application for weed management in chickpea (Cicer arietinum L.). Phytoparasitica 2021, 50, 255–267. [Google Scholar] [CrossRef]
- Gazoulis, I.; Kanatas, P.; Antonopoulos, N. Cultural practices and mechanical weed control for the management of a low-diversity weed community in spinach. Diversity 2021, 13, 616. [Google Scholar] [CrossRef]
- Melander, B.; Rasmussen, I.A.; Bàrberi, P. Integrating physical and cultural methods of weed control—Examples from European research. Weed Sci. 2005, 53, 369–381. [Google Scholar] [CrossRef]
- Agbodjato, N.A.; Assogba, S.A.; Babalola, O.O.; Koda, A.D.; Aguégué, R.M.; Sina, H.; Dagbénonbakin, G.D.; Adjanohoun, A.; Baba-Moussa, L. Formulation of biostimulants based on arbuscular mycorrhizal fungi for maize growth and yield. Front. Agron. 2022, 4, 894489. [Google Scholar] [CrossRef]
- Kapela, K.; Sikorska, A.; Niewęgłowski, M.; Krasnodębska, E.; Zarzecka, K.; Gugała, M. The impact of nitrogen fertilization and the use of biostimulants on the yield of two maize varieties (Zea mays L.) cultivated for grain. Agronomy 2020, 10, 1408. [Google Scholar] [CrossRef]
- Tejada, M.; Rodríguez-Morgado, B.; Paneque, P.; Parrado, J. Effects of foliar fertilization of a biostimulant obtained from chicken feathers on maize yield. Eur. J. Agron. 2018, 96, 54–59. [Google Scholar] [CrossRef]
- Amanullah, Μ.A. Rate and timing of nitrogen application influence partial factor productivity and agronomic NUE of maize (Zea mays L.) planted at low and high densities on calcareous soil in northwest Pakistan. J. Plant Nutr. 2016, 39, 683–690. [Google Scholar] [CrossRef]
- Kaizzi, K.C.; Byalebeka, J.; Semalulu, O.; Alou, I.; Zimwanguyizza, W.; Nansamba, A.; Musinguzi, P.; Ebanyat, P.; Hyuha, T.; Wortmann, C.S. Maize response to fertilizer and nitrogen use efficiency in Uganda. Agron. J. 2012, 104, 73–82. [Google Scholar] [CrossRef]
- Qiu, S.J.; He, P.; Zhao, S.C.; Li, W.J.; Xie, J.G.; Hou, Y.P.; Grant, C.A.; Zhou, W.; Jin, J.Y. Impact of nitrogen rate on maize yield and nitrogen use efficiencies in northeast China. Agron. J. 2015, 107, 305–313. [Google Scholar] [CrossRef]
- Mohammed, Y.A.; Gesch, R.W.; Johnson, J.M.; Wagner, S.W. Agronomic and economic evaluations of N fertilization in maize under recent market dynamics. Nitrogen 2022, 3, 514–527. [Google Scholar] [CrossRef]
- Sible, C.N.; Seebauer, J.R.; Below, F.E. Plant biostimulants: A categorical review, their implications for row crop production, and relation to soil health indicators. Agronomy 2021, 11, 1297. [Google Scholar] [CrossRef]
- Du, X.; Wang, Z.; Lei, W.; Kong, L. Increased planting density combined with reduced nitrogen rate to achieve high yield in maize. Sci. Rep. 2021, 11, 358. [Google Scholar] [CrossRef] [PubMed]
- Hu, J.; Yang, Y.; Zhang, H.; Li, Y.; Zhang, S.; He, X.; Huang, Y.; Ye, Y.; Zhao, Y.; Yan, J. Reduction in nitrogen rate and improvement of nitrogen use efficiency without loss of peanut yield by regional mean optimal rate of chemical fertilizer based on a multi-site field experiment in the North China Plain. Plants 2023, 12, 1326. [Google Scholar] [CrossRef] [PubMed]
- Ma, K.; Wang, Z.; Li, H.; Wang, T.; Chen, R. Effects of nitrogen application and brackish water irrigation on yield and quality of cotton. Agric. Water Manag. 2022, 264, 107512. [Google Scholar] [CrossRef]
- Tian, G.L.; Gao, L.M.; Kong, Y.L.; Hu, X.Y.; Xie, K.L.; Zhang, R.Q.; Ling, N.; Shen, Q.R.; Guo, S.W. Improving rice population productivity by reducing nitrogen rate and increasing plant density. PLoS ONE 2017, 12, e0182310. [Google Scholar] [CrossRef] [PubMed]
- Zhu, X.C.; Zhang, J.; Zhang, Z.P.; Deng, A.X.; Zhang, W.J. Dense planting with less basal nitrogen fertilization might benefit rice cropping for high yield with less environmental impacts. Eur. J. Agron. 2016, 75, 50–59. [Google Scholar] [CrossRef]




| Month | Average Temperature (°C) | Total Precipitation (mm) | ||
|---|---|---|---|---|
| 2020 | 2021 | 2020 | 2021 | |
| April | 14.8 | 15.1 | 39.8 | 10.2 |
| May | 21.0 | 21.2 | 48.8 | 2.8 |
| June | 23.2 | 25.0 | 25.6 | 20.6 |
| July | 28.1 | 29.4 | 24.2 | 0.0 |
| Factor | Df | Weed Density | Weed Biomass | Grain Yield | PFPN |
|---|---|---|---|---|---|
| Y | 1 | 0.8629 | 0.8598 | 0.6701 | 0.6382 |
| B | 3 | 0.2541 | 0.5481 | 0.9856 | 0.5396 |
| Error (a) 1 | 3 | ||||
| F | 1 | 0.0008 | 0.0012 | 0.0001 | 0.0000 |
| Y × F | 1 | 0.7066 | 0.9609 | 0.9960 | 0.9237 |
| Error (b) 2 | 6 | ||||
| WC | 3 | 0.0000 | 0.0000 | 0.0000 | 0.0000 |
| Y × WC | 3 | 0.6035 | 0.9393 | 0.8199 | 0.7602 |
| F × WC | 3 | 0.0005 | 0.0017 | 0.0038 | 0.0000 |
| Y × F × WC | 3 | 0.8378 | 0.9004 | 0.8984 | 0.8210 |
| Error (c) 3 | 36 | ||||
| Total | 63 |
| Factor | DF | Weed Density | Weed Biomass | Grain Yield | PFPN |
|---|---|---|---|---|---|
| F | 1 | 0.0151 | 0.0255 | 0.0057 | 0.0000 |
| B | 3 | 0.8251 | 0.8379 | 0.9985 | 0.9209 |
| Error (a) 1 | 3 | ||||
| WC | 3 | 0.0000 | 0.0000 | 0.0000 | 0.0000 |
| F × WC | 3 | 0.0124 | 0.0157 | 0.0427 | 0.0000 |
| Error (b) 2 | 18 | ||||
| Total | 31 |
Disclaimer/Publisher’s Note: The statements, opinions and data contained in all publications are solely those of the individual author(s) and contributor(s) and not of MDPI and/or the editor(s). MDPI and/or the editor(s) disclaim responsibility for any injury to people or property resulting from any ideas, methods, instructions or products referred to in the content. |
© 2023 by the authors. Licensee MDPI, Basel, Switzerland. This article is an open access article distributed under the terms and conditions of the Creative Commons Attribution (CC BY) license (https://creativecommons.org/licenses/by/4.0/).
Share and Cite
Gazoulis, I.; Kanatas, P.; Antonopoulos, N.; Kokkini, M.; Tsekoura, A.; Demirtzoglou, T.; Travlos, I. The Integrated Effects of Biostimulant Application, Mechanical Weed Control, and Herbicide Application on Weed Growth and Maize (Zea mays L.) Yield. Agronomy 2023, 13, 2614. https://doi.org/10.3390/agronomy13102614
Gazoulis I, Kanatas P, Antonopoulos N, Kokkini M, Tsekoura A, Demirtzoglou T, Travlos I. The Integrated Effects of Biostimulant Application, Mechanical Weed Control, and Herbicide Application on Weed Growth and Maize (Zea mays L.) Yield. Agronomy. 2023; 13(10):2614. https://doi.org/10.3390/agronomy13102614
Chicago/Turabian StyleGazoulis, Ioannis, Panagiotis Kanatas, Nikolaos Antonopoulos, Metaxia Kokkini, Anastasia Tsekoura, Triantafyllia Demirtzoglou, and Ilias Travlos. 2023. "The Integrated Effects of Biostimulant Application, Mechanical Weed Control, and Herbicide Application on Weed Growth and Maize (Zea mays L.) Yield" Agronomy 13, no. 10: 2614. https://doi.org/10.3390/agronomy13102614
APA StyleGazoulis, I., Kanatas, P., Antonopoulos, N., Kokkini, M., Tsekoura, A., Demirtzoglou, T., & Travlos, I. (2023). The Integrated Effects of Biostimulant Application, Mechanical Weed Control, and Herbicide Application on Weed Growth and Maize (Zea mays L.) Yield. Agronomy, 13(10), 2614. https://doi.org/10.3390/agronomy13102614

