Humic Acid and Selenium Supplementation Modulate the Growth and Antioxidant Potential of Chili under Cadmium Stress
Abstract
:1. Introduction
2. Materials and Methods
2.1. Study Site, Experimental Design and Treatments
2.2. Crop Management
2.3. Morphological, Phonological and Biomass Variables
2.4. Physio-Biochemical and Water-Related Variables
2.5. Enzymatic Antioxidant and Lipid Peroxidation Variables
2.6. Cadmium Contents in Plant Tissues
2.7. Quality Assurance
2.8. Data Analysis
3. Results
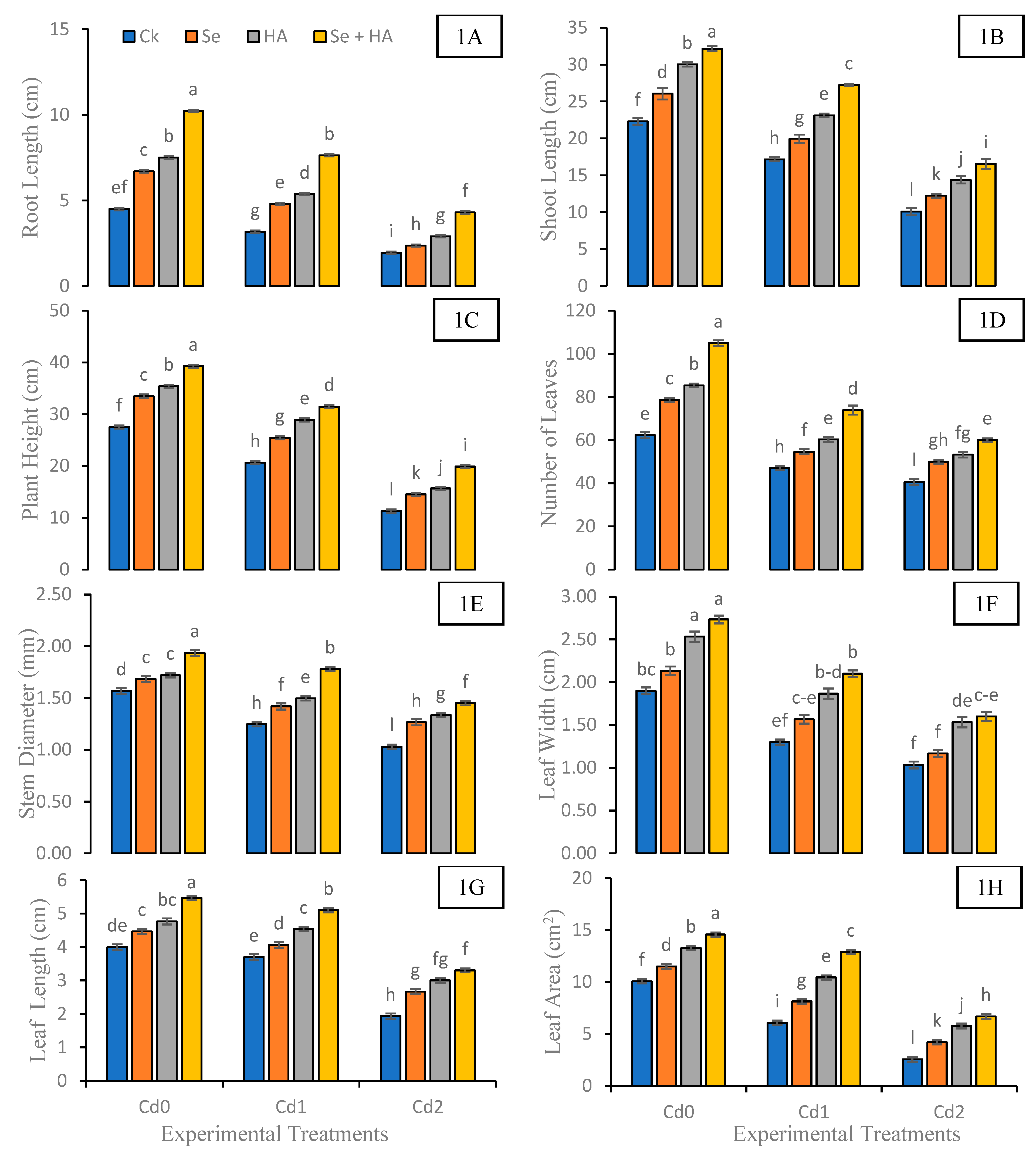
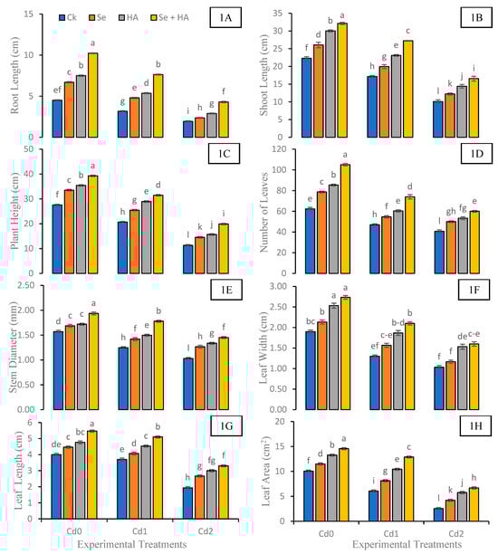
3.1. Growth and Phenological Variables
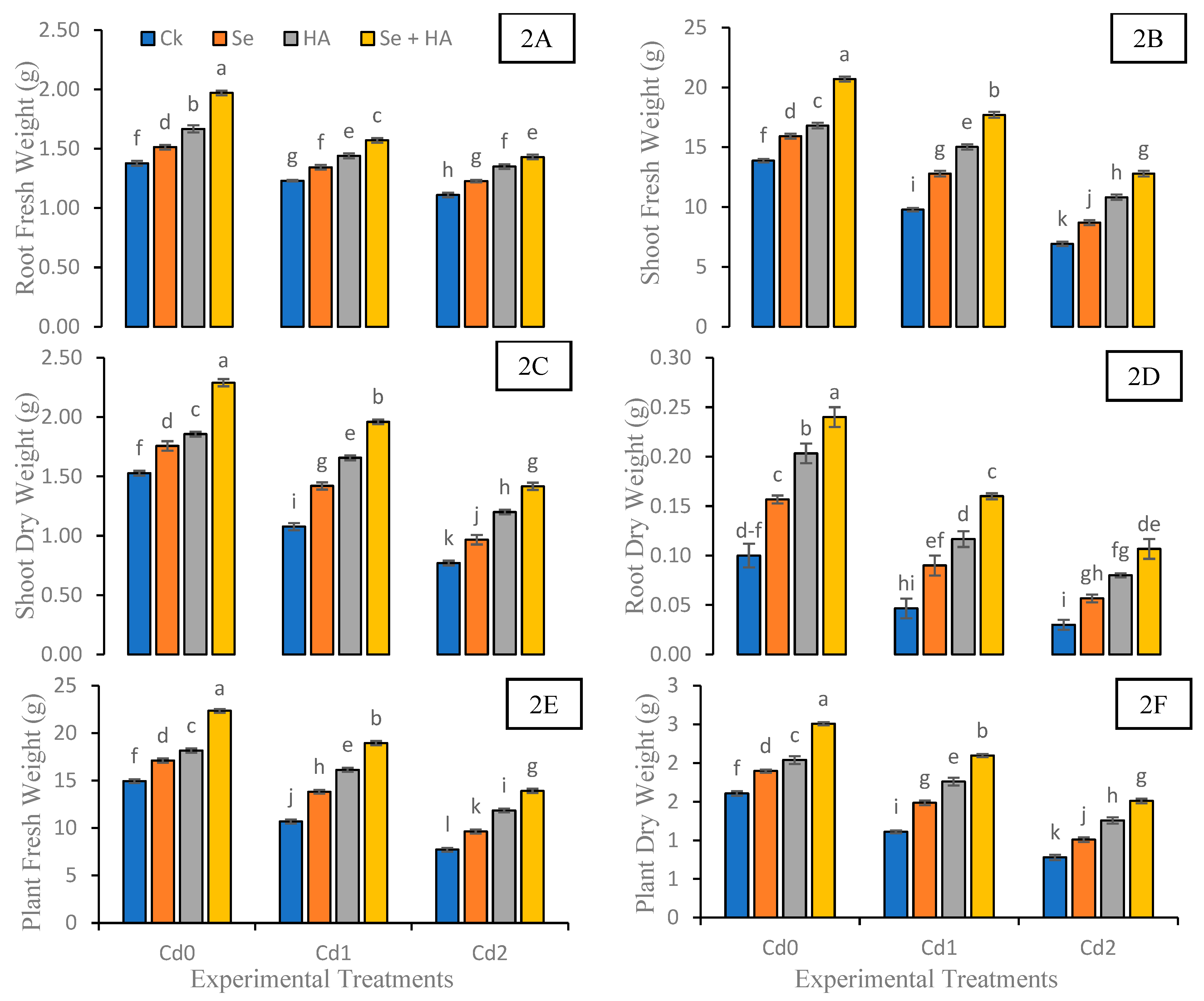
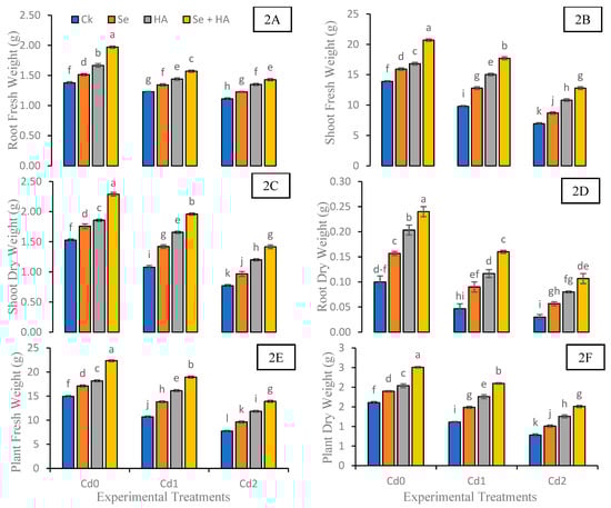
3.2. Fresh and Dry Biomass Variables
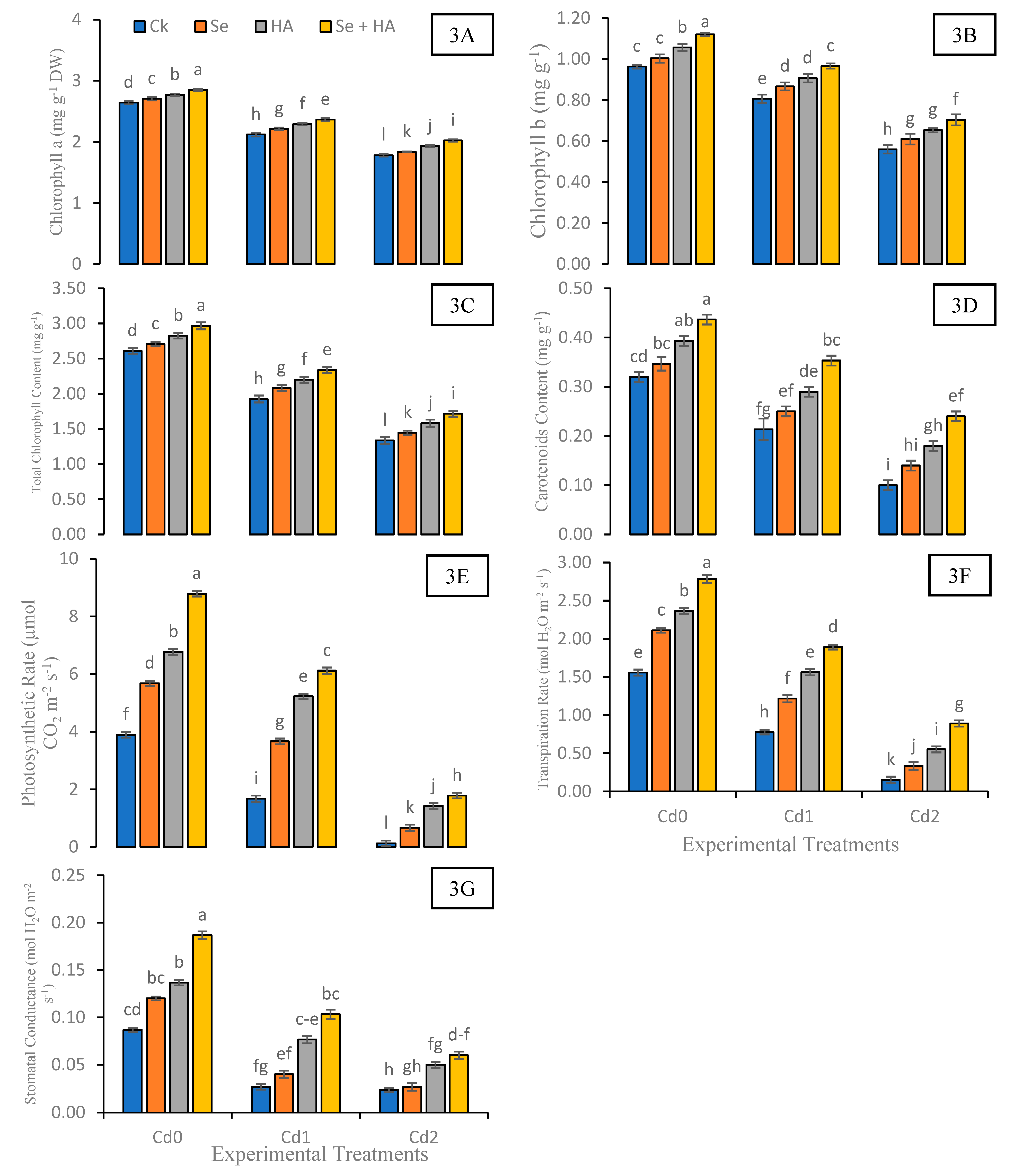
3.3. Physiological and Photosynthetic Variables
3.4. Water-Related and Biochemical Variables
3.5. Enzymatic Antioxidant Variables
3.6. Cadmium Contents in Plant Tissues
3.7. Pearson Correlation Matrix
3.8. Principle Component Analysis
3.9. Heat Map Analysis
4. Discussion
5. Conclusions
Author Contributions
Funding
Data Availability Statement
Acknowledgments
Conflicts of Interest
References
- Li, C.; Zhou, K.; Qin, W.; Tian, C.; Qi, M.; Yan, X.; Han, W. A review on heavy metals contamination in soil: Effects, sources, and remediation techniques. Soil Sediment Contam. 2019, 28, 380–394. [Google Scholar] [CrossRef]
- Muhammad, S.; Ullah, R.; Jadoon, I.A. Heavy metals contamination in soil and food and their evaluation for risk assessment in the Zhob and Loralai valleys, Baluchistan province, Pakistan. Microchem. J. 2019, 149, 103971. [Google Scholar] [CrossRef]
- Edogbo, B.; Okolocha, E.; Maikai, B.; Aluwong, T.; Uchendu, C. Risk analysis of heavy metal contamination in soil, vegetables and fish around Challawa area in Kano State, Nigeria. Sci. Afr. 2020, 7, e00281. [Google Scholar] [CrossRef]
- Gupta, N.; Yadav, K.K.; Kumar, V.; Krishnan, S.; Kumar, S.; Nejad, Z.D.; Khan, M.A.M.; Alam, J. Evaluating heavy metals contamination in soil and vegetables in the region of North India: Levels, transfer and potential human health risk analysis. Environ. Toxicol. Pharmacol. 2021, 82, 103563. [Google Scholar] [CrossRef] [PubMed]
- Coskun, D.; Deshmukh, R.; Sonah, H.; Menzies, J.G.; Reynolds, O.; Ma, J.F.; Kronzucker, H.J.; Bélanger, R.R. The controversies of silicon’s role in plant biology. New Phytol. 2019, 221, 67–85. [Google Scholar] [CrossRef] [PubMed]
- Thind, S.; Hussain, I.; Rasheed, R.; Ashraf, M.A.; Perveen, A.; Ditta, A.; Hussain, S.; Khalil, N.; Ullah, Z.; Mahmood, Q. Alleviation of cadmium stress by silicon nanoparticles during different phenological stages of Ujala wheat variety. Arabian J. Geosci. 2021, 14, 1028. [Google Scholar] [CrossRef]
- Zaman, Q.; Rashid, M.; Nawaz, R.; Hussain, A.; Ashraf, K.; Latif, M.; Heile, A.O.; Mehmood, F.; Salahuddin, S.; Chen, Y. Silicon fertilization a step towards cadmium free fragrant rice. Plants 2021, 10, 2440. [Google Scholar] [CrossRef]
- Dawid, M.; Grzegorz, K. Microwave-assisted hydrotropic pretreatment as a new and highly efficient way to cellulosic ethanol production from maize distillery stillage. Appl. Microbiol. Biotechnol. 2021, 105, 3381–3392. [Google Scholar] [CrossRef]
- Ngugi, M.M.; Gitari, H.I.; Muii, C.; Gweyi-Onyango, J.P. Cadmium mobility, uptake, and accumulation in spinach, kale, and amaranths vegetables as influenced by silicon fertilization. Bioremediat. J. 2022, 26, 113–127. [Google Scholar] [CrossRef]
- Xu, L.; Zhang, F.; Tang, M.; Wang, Y.; Dong, J.; Ying, J.; Chen, Y.; Hu, B.; Li, C.; Liu, L. Melatonin confers cadmium tolerance by modulating critical heavy metal chelators and transporters in radish plants. J. Pineal Res. 2020, 69, e12659. [Google Scholar] [CrossRef]
- Rehman, S.; Abbas, G.; Shahid, M.; Saqib, M.; Farooq, A.B.U.; Hussain, M.; Murtaza, B.; Amjad, M.; Naeem, M.A.; Farooq, A. Effect of salinity on cadmium tolerance, ionic homeostasis and oxidative stress responses in conocarpus exposed to cadmium stress: Implications for phytoremediation. Ecotoxicol. Environ. Safety 2019, 171, 146–153. [Google Scholar] [CrossRef] [PubMed]
- Zhao, F.J.; Wang, P. Arsenic and cadmium accumulation in rice and mitigation strategies. Plant Soil 2020, 446, 1–21. [Google Scholar] [CrossRef]
- Izhar Shafi, M.; Adnan, M.; Fahad, S.; Wahid, F.; Khan, A.; Yue, Z.; Danish, S.; Zafar-ul-Hye, M.; Brtnicky, M.; Datta, R. Application of single superphosphate with humic acid improves the growth, yield and phosphorus uptake of wheat (Triticum aestivum L.) in calcareous soil. Agronomy 2020, 10, 1224. [Google Scholar] [CrossRef]
- Al-Fraihat, A.H.; Al-Tabbal, J.A.; Abu-Darwish, M.S.; Alhrout, H.H.; Hasan, H.S. Response of onion (Allium cepa) crop to foliar application of humic acid under rain-fed conditions. Int. J. Agri. Biol. 2018, 20, 1235–1241. [Google Scholar]
- Al-Shareef, A.R.; El-Nakhlawy, F.S.; Ismail, S.M. Enhanced mungbean and water productivity under full irrigation and stress using humic acid in arid regions. Legume Res. An Int. J. 2018, 41, 428–431. [Google Scholar] [CrossRef]
- Ali, I.; Khan, A.A.; Khan, A.; Asim, M.; Ali, I.; Zib, B.; Khan, I.; Rab, A.; Sadiq, G.; Ahmad, N.; et al. Humic acid and nitrogen levels optimizing productivity of green gram (Vigna radiate L.). Russ. Agric. Sci. 2019, 45, 43–47. [Google Scholar]
- Zaremanesh, H.; Akbari, N.; Eisvand, H.R.; Ismaili, A.; Feizian, M. The Effect of humic acid on soil physicochemical and biological properties under salinity stress conditions in pot culture of Satureja khuzistanica Jamzad. Ecopersia 2020, 8, 147–154. [Google Scholar]
- Skowrońska, M.; Bielińska, E.J.; Szymański, K.; Futa, B.; Antonkiewicz, J.; Kołodziej, B. An integrated assessment of the long-term impact of municipal sewage sludge on the chemical and biological properties of soil. Catena 2020, 189, 104484. [Google Scholar] [CrossRef]
- Yin, H.; Qi, Z.; Li, M.; Ahammed, G.J.; Chu, X.; Zhou, J. Selenium forms and methods of application differentially modulate plant growth, photosynthesis, stress tolerance, selenium content and speciation in Oryza sativa L. Ecotoxicol. Environ. Safety. 2019, 169, 911–917. [Google Scholar] [CrossRef]
- Mimmo, T.; Tiziani, R.; Valentinuzzi, F.; Lucini, L.; Nicoletto, C.; Sambo, P.; Scampicchio, M.; Pii, Y.; Cesco, S. Selenium biofortification in Fragaria× ananassa: Implications on strawberry fruits quality, content of bioactive health beneficial compounds and metabolomic profile. Front. Plant Sci. 2017, 8, 1887. [Google Scholar] [CrossRef]
- De Feudis, M.; D’Amato, R.; Businelli, D.; Guiducci, M. Fate of selenium in soil: A case study in a maize (Zea mays L.) field under two irrigation regimes and fertilized with sodium selenite. Sci. Total Environ. 2019, 659, 131–139. [Google Scholar] [CrossRef] [PubMed]
- Preciado-Rangel, P.; Hernández-Montiel, L.G.; Valdez-Cepeda, R.D.; Cruz-Lázaro, E.D.L.; Lara-Capistrán, L.; Morales-Morales, B.; Gaucin-Delgado, J.M. Biofortification with selenium increases bioactive compounds and antioxidant capacity in tomato fruits. Terra Latinoam. 2021, 39, 1–10. [Google Scholar] [CrossRef]
- Leite, J.M.; Arachchige, P.S.P.; Ciampitti, I.A.; Hettiarachchi, G.M.; Maurmann, L.; Trivelin, P.C.; Prasad, P.V.; Sunoj, S.J. Co-addition of humic substances and humic acids with urea enhances foliar nitrogen use efficiency in sugarcane (Saccharum officinarum L.). Heliyon 2020, 6, e05100. [Google Scholar] [CrossRef] [PubMed]
- López, E.A.T.; Sandoval-Rangel, A.; Mendoza, A.B.; Ortiz, H.O.; Pliego, G.C.; de la Fuente, M.C. Nanopartículas de selenio absorbidas en hidrogeles de quitosán-polivinil alcohol en la producción de pepino injertado. Rev. Mexicana Cienc. Agric. 2021, 159–169. [Google Scholar] [CrossRef]
- Mozafariyan, M.; Shekari, L.; Hawrylak-Nowak, B.; Kamelmanesh, M.M. Protective role of selenium on pepper exposed to cadmium stress during reproductive stage. Biol. Trace Elem. Res. 2014, 160, 97–107. [Google Scholar] [CrossRef]
- Aminifard, M.H.; Aroiee, H.; Azizi, M.; Nemati, H.; Jaafar, H.Z. Effect of humic acid on antioxidant activities and fruit quality of hot pepper (Capsicum annuum L.). J. Herbs Spices Medi. Plants 2012, 18, 360–369. [Google Scholar] [CrossRef]
- Khosa, Q.; Zaman, Q.; An, T.; Ashraf, K.; Abbasi, A.; Nazir, S.; Chen, Y. Silicon-mediated improvement of biomass yield and physio-biochemical attributes in heat-stressed spinach (Spinacia oleracea). Crop Pasture Sci. 2022, 74, 230–243. [Google Scholar] [CrossRef]
- Naz, T.; Mazhar Iqbal, M.; Tahir, M.; Hassan, M.M.; Rehmani, M.I.A.; Zafar, M.I.; Ghafoor, U.; Qazi, M.A.; Sabagh, A.E.; Sakran, M.I. Foliar application of potassium mitigates salinity stress conditions in spinach (Spinacia oleracea L.) through reducing NaCl toxicity and enhancing the activity of antioxidant enzymes. Horticulturae 2021, 7, 566. [Google Scholar] [CrossRef]
- Rico-Garcia, E.; Hernandez-Hernandez, F.; Soto-Zarazua, G.M.; Herrera-Ruiz, G. Two new methods for the estimation of leaf area using digital photography. Int. J. Agric. Biol. 2009, 11, 97–400. [Google Scholar]
- Lichtenthaler, H.K. Chlorophylls and carotenoids pigments of photosynthetic bio membranes in Methods in Enzymology. Plants 1987, 148, 183–350. [Google Scholar]
- Lutts, S.; Guerrier, G. Peroxidase activities of two rice cultivars differing in salinity tolerance as affected by proline and NaCl. Biol. Plant 1995, 37, 577–586. [Google Scholar] [CrossRef]
- Velikova, V.; Yordanov, I.; Edreva, A. Oxidative stress and some antioxidant systems in acid rain-treated bean plants: Protective role of exogenous polyamines. Plant Sci. 2000, 151, 59–66. [Google Scholar] [CrossRef]
- Aebi, H. Catalase. In Methods of Enzymatic Analysis; Academic Press: Cambridge, MA, USA, 1974; pp. 673–684. [Google Scholar]
- Beauchamp, C.; Fridovich, I. Superoxide dismutase: Improved assays and an assay applicable to acrylamide gels. Analyt. Biochem. 1971, 44, 276–287. [Google Scholar] [CrossRef]
- Heath, R.L.; Packer, L. Photoperoxidation in Isolated Chloroplasts. I. Kinetics and Stoichiometry of Fatty Acid Peroxidation. Arch. Biochem. Biophys. 1968, 125, 189–198. [Google Scholar] [CrossRef] [PubMed]
- Ali, M.B.; Hahn, E.J.; Paek, K.Y. Effects of Light Intensities on Antioxidant Enzymes and Malondialdehyde Content during Short-Term Acclimatization on Micropropagated Phalaenopsis Plantlet. Environ. Exp. Bot. 2005, 54, 109–120. [Google Scholar] [CrossRef]
- Salama, F.M.; Al-Huqail, A.A.; Ali, M.; Abeed, A.H. Cd Phytoextraction potential in halophyte Salicornia fruticosa: Salinity impact. Plants 2022, 11, 2556. [Google Scholar] [CrossRef] [PubMed]
- Alengebawy, A.; Abdelkhalek, S.T.; Qureshi, S.R.; Wang, M.Q. Heavy metals and pesticides toxicity in agricultural soil and plants: Ecological risks and human health implications. Toxics 2021, 9, 42. [Google Scholar] [CrossRef]
- El-Gohary, A.E.; Amer, H.M.; Salem, S.H.; Hussein, M.S. Foliar application of selenium and humic acid changes yield, essential oil, and chemical composition of Plectranthus amboinicus (Lour.) plant and its antimicrobial effects. Egypt. Pharm. J. 2019, 18, 356. [Google Scholar]
- Newman, R.; Waterland, N.; Moon, Y.; Tou, J.C. Selenium biofortification of agricultural crops and effects on plant nutrients and bioactive compounds important for human health and disease prevention–a review. Plant Foods Hum. Nutr. 2019, 74, 449–460. [Google Scholar] [CrossRef]
- Ampong, K.; Thilakaranthna, M.S.; Gorim, L.Y. Understanding the role of humic acids on crop performance and soil health. Front. Agron. 2022, 4, 848621. [Google Scholar] [CrossRef]
- Samavatipour, P.; Abdossi, V.; Salehi, R.; Samavat, S.; Moghadam, A.L. Investigation of morphological, phytochemical, and enzymatic characteristics of Anethum graveolens L. using selenium in combination with humic acid and fulvic acid. J. Appl. Biol. Biotechnol. 2019, 7, 69–74. [Google Scholar]
- Amerian, M.; Khoramivafa, M.; Rabani, B.A. Effect of selenium and humic acid on germination and some morphological characteristics of quinoa under drought and salinity stress. J. Vegetables Sci. 2023, 6, 1–16. [Google Scholar]
- Gaucin-Delgado, J.M.; Preciado-Rangel, P.; González-Salas, U.; Sifuentes-Ibarra, E.; Núñez-Ramírez, F.; Vidal, J.A.O. Biofortification with selenium improves bioactive compounds and antioxidant activity in jalapeño pepper. Rev. Mexicana Cienc. Agric. 2021, 12, 1339–1349. [Google Scholar]
- Ichwan, B.; Eliyanti, E.; Irianto, I.; Zulkarnain, Z. Combining humic acid with NPK fertilizer improved growth and yield of chili pepper in dry season. Adv. Hortic. Sci. 2022, 36, 275–281. [Google Scholar] [CrossRef]
- Elkhatib, H.; Gabr, S.M.; Elazomy, A.A. Salt stress relief and growth-promoting effect of sweet pepper plants (Capsicum annuum L.) by glutathione, selenium, and humic acid application. Alex. Sci. Exch. J. 2021, 42, 583–608. [Google Scholar] [CrossRef]
- Qassem, M.E.; Bardisi, A.; Nawar, D.; Ibraheem, S.K. Effect of some stimulants as foliar application on growth, yield and fruit quality of cucumber under plastic house conditions. Zagazig. J. Agric. Res. 2022, 49, 9–22. [Google Scholar] [CrossRef]
- Dogan, M.; Bolat, I.; Karakas, S.; Dikilitas, M.; Gutiérrez-Gamboa, G.; Kaya, O. Remediation of Cadmium Stress in Strawberry Plants Using Humic Acid and Silicon Applications. Life 2022, 12, 1962. [Google Scholar] [CrossRef]
- Ouyang, X.; Ma, J.; Liu, Y.; Li, P.; Wei, R.; Chen, Q.; Weng, L.; Chen, Y.; Li, Y. Foliar cadmium uptake, transfer, and redistribution in Chili: A comparison of foliar and root uptake, metabolomic, and contribution. J. Hazard. Mater. 2023, 453, 131421. [Google Scholar] [CrossRef]
- Qianqian, M.; Haider, F.U.; Farooq, M.; Adeel, M.; Shakoor, N.; Jun, W.; Cai, L. Selenium treated Foliage and biochar treated soil for improved lettuce (Lactuca sativa L.) growth in Cd-polluted soil. J. Clean. Prod. 2022, 335, 130267. [Google Scholar] [CrossRef]
- Huang, W.; Liu, Z.; Zhang, Y.; Zhu, Y.; Wang, D. Effects of soil nano-conditioning agent on selenium content, yield and quality of pepper. Integr. Ferroelectr. 2021, 216, 94–107. [Google Scholar] [CrossRef]
- Zhang, Y.; Liu, G.; Gao, S.; Zhang, Z.; Huang, L. Effect of humic acid on phytoremediation of heavy metal contaminated sediment. J. Hazard. Mater. 2023, 9, 100235. [Google Scholar] [CrossRef]
- Garza-García, J.J.; Hernández-Díaz, J.A.; Zamudio-Ojeda, A.; León-Morales, J.M.; Guerrero-Guzmán, A.; Sánchez-Chiprés, D.R.; López-Velázquez, J.C.; García-Morales, S. The role of selenium nanoparticles in agriculture and food technology. Bio. Trace Elem. Res. 2021, 200, 2528–2548. [Google Scholar] [CrossRef]
- Zulfiqar, U.; Jiang, W.; Xiukang, W.; Hussain, S.; Ahmad, M.; Maqsood, M.F.; Ali, N.; Ishfaq, M.; Kaleem, M.; Haider, F.U.; et al. Cadmium phytotoxicity, tolerance, and advanced remediation approaches in agricultural soils; a comprehensive review. Front. Plant Sci. 2022, 13, 773815. [Google Scholar] [CrossRef]
- Zhang, H.; Xie, S.; Bao, Z.; Carranza, E.J.M.; Tian, H.; Wei, C. Synergistic inhibitory effect of selenium, iron, and humic acid on cadmium uptake in rice (Oryza sativa L.) seedlings in hydroponic culture. Environ. Sci. Pollut. Res. 2021, 28, 64652–64665. [Google Scholar] [CrossRef]
- Rehman, S.; Chattha, M.U.; Khan, I.; Mahmood, A.; Hassan, M.U.; Al-Huqail, A.A.; Salem, M.Z.M.; Ali, H.M.; Hano, C.; El-Esawi, M.A. Exogenously applied trehalose augments cadmium stress tolerance and yield of mung bean (Vigna radiata L.) grown in soil and hydroponic systems through reducing cd uptake and enhancing photosynthetic efficiency and antioxidant defense systems. Plants 2022, 11, 822. [Google Scholar] [CrossRef]
- Hassan, M.J.; Raza, M.A.; Ur Rehman, S.; Ansar, M.; Gitari, H.; Khan, I.; Wajid, M.; Ahmed, M.; Shah, G.A.; Li, Z. Effect of cadmium toxicity on growth, oxidative damage, antioxidant defense system and cadmium accumulation in two sorghum cultivars. Plants 2020, 9, 1575. [Google Scholar]
- Batool, T.; Javied, S.; Ashraf, K.; Sultan, K.; Zaman, Q.U.; Haider, F.U. Alleviation of cadmium stress by silicon supplementation in peas by the modulation of morpho-physio-biochemical variables and health risk assessment. Life 2022, 12, 1479. [Google Scholar] [CrossRef]
- Zhu, Y.; Wang, H.; Lv, X.; Zhang, Y.; Wang, W. Effects of biochar and biofertilizer on cadmium-contaminated cotton growth and the antioxidative defense system. Sci. Rep. 2020, 10, 20112. [Google Scholar] [CrossRef]
- Ismael, M.A.; Elyamine, A.M.; Moussa, M.G.; Cai, M.; Zhao, X.; Hu, C. Cadmium in plants: Uptake, toxicity, and its interactions with selenium fertilizers. Metallomics 2019, 11, 255–277. [Google Scholar] [CrossRef]
- Qu, C.; Chen, J.; Mortimer, M.; Wu, Y.; Cai, P.; Huang, Q. Humic acids restrict the transformation and the stabilization of Cd by iron (hydr) oxides. J. Hazard. Mater. 2022, 430, 128365. [Google Scholar] [CrossRef]
- An, T.; Gao, Y.; Kuang, Q.; Wu, Y.; Zaman, Q.U.; Zhang, Y.; Xu, B.; Chen, Y. Effect of silicon on morpho-physiological attributes, yield and cadmium accumulation in two maize genotypes with contrasting root system size and health risk assessment. Plant Soil 2022, 477, 117–134. [Google Scholar] [CrossRef]
- Heile, A.O.; Aslam, Z.; Hussain, A.; Aslam, M.; Saleem, M.H.; Abualreesh, M.H.; Alataawi, A.; Ali, S. Alleviation of cadmium phytotoxicity using silicon fertilization in wheat by altering antioxidant metabolism and osmotic adjustment. Sustainability 2021, 13, 11317. [Google Scholar] [CrossRef]
- Rizwan, M.; Ali, S.; Rehman, M.Z.U.; Maqbool, A. A critical review on the effects of zinc at toxic levels of cadmium in plants. Environ. Sci. Pollut. Res. 2019, 26, 6279–6289. [Google Scholar] [CrossRef]








| Cd Stress | Treatments | RWC (%) | EL (%) | MDA (µ mole g−1 FW) |
|---|---|---|---|---|
| Control | Ck | 84.56 d | 11.45 g | 6.55 a |
| Se | 85.54 c | 8.56 j | 5.67 b | |
| HA | 87.34 b | 7.54 k | 5.12 d | |
| Se + HA | 91.23 a | 5.67 l | 4.34 g | |
| 2 mM | Ck | 73.23 h | 15.56 d | 10.89 c |
| Se | 77.45 g | 13.45 f | 9.23 e | |
| HA | 79.54 f | 11.23 h | 8.97 f | |
| Se + HA | 81.23 e | 9.41 i | 7.42 h | |
| 4 mM | Ck | 61.23 l | 22.34 a | 14.23 i |
| Se | 64.56 k | 20.21 b | 11.22 j | |
| HA | 67.54 j | 18.45 c | 10.43 k | |
| Se + HA | 71.23 i | 15.21 d | 8.34 l |
| Cd Stress | Treatments | SOD (U mg−1 Protein) | POD (min−1 mg−1 Protein) | CAT (min−1 mg−1 Protein) |
|---|---|---|---|---|
| Control | Ck | 2.93 g | 0.13 g | 0.18 ef |
| Se | 2.85 h | 0.10 gh | 0.15 fg | |
| HA | 2.71 i | 0.07 hi | 0.11 hi | |
| Se + HA | 2.56 j | 0.04 i | 0.09 i | |
| 2 mM | Ck | 3.91 c | 0.29 cd | 0.27 c |
| Se | 3.67 d | 0.21 e | 0.23 d | |
| HA | 3.53 e | 0.17 f | 0.19 de | |
| Se + HA | 3.21 f | 0.13 fg | 0.14 gh | |
| 4 mM | Ck | 4.67 a | 0.41 a | 0.38 a |
| Se | 4.23 b | 0.37 b | 0.31 b | |
| HA | 3.91 c | 0.31 c | 0.28 bc | |
| Se + HA | 3.54 e | 0.25 d | 0.23 d |
Disclaimer/Publisher’s Note: The statements, opinions and data contained in all publications are solely those of the individual author(s) and contributor(s) and not of MDPI and/or the editor(s). MDPI and/or the editor(s) disclaim responsibility for any injury to people or property resulting from any ideas, methods, instructions or products referred to in the content. |
© 2023 by the authors. Licensee MDPI, Basel, Switzerland. This article is an open access article distributed under the terms and conditions of the Creative Commons Attribution (CC BY) license (https://creativecommons.org/licenses/by/4.0/).
Share and Cite
Zohaib, M.; Ashraf, K.; Fatima, K.; Sultan, K.; Gaafar, A.-R.Z.; Hodhod, M.S.; Zaman, Q.u. Humic Acid and Selenium Supplementation Modulate the Growth and Antioxidant Potential of Chili under Cadmium Stress. Agronomy 2023, 13, 2554. https://doi.org/10.3390/agronomy13102554
Zohaib M, Ashraf K, Fatima K, Sultan K, Gaafar A-RZ, Hodhod MS, Zaman Qu. Humic Acid and Selenium Supplementation Modulate the Growth and Antioxidant Potential of Chili under Cadmium Stress. Agronomy. 2023; 13(10):2554. https://doi.org/10.3390/agronomy13102554
Chicago/Turabian StyleZohaib, Muhammad, Kamran Ashraf, Komal Fatima, Khawar Sultan, Abdel-Rhman Z. Gaafar, Mohamed S. Hodhod, and Qamar uz Zaman. 2023. "Humic Acid and Selenium Supplementation Modulate the Growth and Antioxidant Potential of Chili under Cadmium Stress" Agronomy 13, no. 10: 2554. https://doi.org/10.3390/agronomy13102554
APA StyleZohaib, M., Ashraf, K., Fatima, K., Sultan, K., Gaafar, A.-R. Z., Hodhod, M. S., & Zaman, Q. u. (2023). Humic Acid and Selenium Supplementation Modulate the Growth and Antioxidant Potential of Chili under Cadmium Stress. Agronomy, 13(10), 2554. https://doi.org/10.3390/agronomy13102554

