Abstract
Root-knot nematode disease occurs frequently due to continuous monocropping and excessive water and nitrogen input. The disease degree and gall index are often used to evaluate the damage of root-knot disease. However, the weak correlation between these two indicators to tobacco leaf dry weight has often been reported. The objective of this study was to verify whether the use of the root-knot density (RKD)—the root-knot number per unit root weight or volume—as a new indicator could describe the damage of root-knot disease to tobacco growth and yield quantitatively. A total of 3000 tobacco plants from 60 independent plots were classified according to the damage symptom of leaves in situ. A total of 6 plants in each plot were selected and sampled to represent six damage levels in a total of 360 plants. The responding roots were taken out with a root auger. The dry weight of the leaves, stems, roots and root knots as well as the root volume, root-knot number and volume, disease degree, and gall index were determined for all 360 plants separately. Our results showed that: (1) the disease degree and gall index of the root-knot nematodes had a weak negative correlation with the tobacco leaf dry weight while the leaf dry weight and the dry weight, volume, and number of root knots were not correlated; (2) the root dry weight, volume, and length of roots with a diameter ≥2 mm were significantly positively correlated with the leaf dry weight; (3) the RKD of roots with a diameter ≥2 mm was significantly negatively correlated with the leaf dry weight; and (4) the dry weight of the leaves, stems, and roots decreased significantly with the increase in the average RKD of roots with a diameter ≥2 mm in the reclassified groups, which was significantly positively correlated with the average reclassified disease degree and gall index. Our results highlighted that the proposed RKD in this paper can be used to evaluate the damage degree of root-knot disease quantitatively as a new indicator in future research and the practical diagnosis of root-knot nematodes.
1. Introduction
Root-knot nematodes (Meloidogyne spp.) are considered the top amongst the five major plant pathogens and the first amongst the 10 most important genera of plant parasitic nematodes in the world [1]. Root-knot disease refers to a root ailment caused by the invasion of root-knot nematodes into plant roots and the formation of gall roots. Once root-knot nematode disease occurs on the host plant, it will not only inhibit plant growth but also reduce the plant’s resistance to other pathogens, thereby inducing other soil-borne diseases such as black shank and root rot disease [2].
Long-term continuous monocropping and excessive water and nitrogen input have caused the frequent occurrence of root-knot nematode disease in tomato (Solanum lycopersicum L.), cucumber (Cucumis sativus L.), melon (Cucumis melo L.), and tobacco (Nicotiana tabacum L.) crops, which threatens the sustainable development of agriculture seriously [3]. Symptoms of root-knot nematode disease damage include: (1) leaf chlorosis, plant stunting, slow growth, abnormal wilting and premature senescence in infected plants [2]; (2) dysplasia of the root system with nodules of varying sizes (root-knot), and (3) atrophy and deformation of the tap and lateral roots [4]. Starting from the formation of the root-knot, the plant’s root tissue, functional structure, and root vitality are all damaged to varying degrees, hence directly reducing the ability of roots to absorb water and nutrients. Even when water and nutrients are applied to the soil, the plant fails to recover, thereby decreasing the crop yield significantly [5].
The disease degree and gall index are often used to evaluate the severity of root-knot disease in crop production [4]. However, these two indicators still have imperfections in characterising crop yield. The disease degree is based on the characteristics of the aboveground leaves and the percentage of roots that produce root knots in the overall root system. It is divided into six degrees [6] (GBT-23222-2008) without considering the difference in damage caused by root-knot size [7]. By combining the size of the root knots and the distribution of the root knots on secondary roots, the proposed gall index scheme (grade 0 to 10) has been widely recognised and is often used to describe the degree of root-knot disease [8]. However, when the disease grade is low, the gall index cannot reflect the degree of crop damage perfectly [9]. Moreover, the two aforementioned indicators are often affected by the subjective factors of the observer.
Quantitative indicators such as the root-knot nematode population density [10] and root-knot number [11] are used to assess the degree of root-knot nematode infestation and analyse its relationship with crop yield [1,12]. The root-knot population density corresponds to the number of root-knot nematodes per unit weight of soil. Root-knot nematodes have many species, but they are highly specific [13]. Whether root-knot nematodes will infect host plants is affected by the soil, host plant species, and growth period [13]. In addition, the identification of nematode species requires a high level of professional skills and consumes considerable time. Compared with the soil root-knot nematode population density, the number of root knots can reflect the degree of nematode infestation of roots objectively [11]. However, the small root knots formed in the early stage of root-knot nematode infestation are mostly located in the secondary root system and have a relatively low impact on root absorption and transport functions [14], whereas large root knots are more harmful to crops [15].
In addition, field observations have found that the resistance of roots in the early stage of plant growth is low [16]. Root development is severely inhibited once roots are infected by root-knot nematodes, thereby leading to a substantial reduction in crop yield or even production failure [17]. However, in the middle and late stages of plant growth, root-knot nematode infestation often only occurs on secondary roots and produces small root knots, which have minimal effects on new fine roots [18]. Some defence genes may be triggered after infestation in those stages [19] and stimulate plant roots to form new root systems; thus, crop yields are rarely or even not affected by the diseases [20].
An indicator that can objectively reflect the effects of root-knot nematode disease on plant growth and yield should possess the following characteristics: (1) the grade of root-knot nematode diseases should be distinguished quantitatively; and (2) the evaluation indicators and crop yield should have a significant correlation. Root knots are the main symptom after the root system becomes infected by root-knot nematodes. The root dry weight, volume, and root length density reflect the development level and absorption function of the root system. Combining the number of root knots and root morphological indicators may reflect the damage of root-knot nematodes to host crops better. Therefore, the root-knot density (RKD); namely, the number of root knots per unit root dry weight or unit root volume, can combine these two parameters. Based on this phenomenon, we raised two scientific questions. Firstly, can the RKD quantitatively evaluate the impact of root-knot nematode disease on crop yields better? Secondly, according to the RKD grading standard, do the corrected disease degree and gall index have significant correlations with the RKD?
2. Materials and Methods
2.1. Selection of Experimental Region and Sites
The study area was situated in Sizhai Village (24°12′ N, 102°41′ E, 2009 m a.s.l), Tonghai Country, Yunnan Province, China. In recent years, tobacco root-knot disease has been increasing annually, thereby resulting in huge economic losses for the local farmers. The mean annual temperature and total average annual rainfall are 15.2 °C and 1230 mm (at the Tonghai meteorological station), respectively.
The sites were selected by experienced staff members from the extension office of the Tonghai Tobacco Company and local agricultural technicians, as well as the individual farmers in the villages; specific attention was paid to the incidence of tobacco root-knot disease, land use history, fertilization, and irrigation at the target sampling sites. Based on the above information, 60 plots that contained infected tobacco plants were finally selected in Sizhai Village. The geographical coordinates of the plots were recorded via GPS (Garmin CO 300, USA). The soil characteristics (e.g., texture, soil pH, and element concentration) are listed in Table 1.
Table 1.
Average, minimum, and maximum soil particle fractions, total carbon content (TOC), total organic nitrogen content (TON), Olsen-P, and soil pH.
2.2. Survey of Tobacco Aboveground Root-Knot Disease Degree In Situ
According to the national standard of the tobacco pest classification survey method of China [6] and the degree of dwarfism and leaf yellowing of the aboveground parts after infection with root-knot disease, the tobacco plants were classified into 6 levels; namely, 0, 1, 3, 5, 7, and 9. A higher number meant a higher degree of infection. The survey of the aboveground disease degree of tobacco root-knot disease was independently conducted by two trained investigators at the topping stage (26 June–2 July 2017). When the difference between the data recorded by the two investigators was larger than two levels, it was checked again and confirmed immediately. Finally, the average of the data recorded by the two investigators was calculated. Every survey plot had an area of 30 m2 (5 m × 6 m) and contained 50 tobacco plants (1.2 m row spacing and 0.5 m plant spacing). A total of 3000 tobacco plants in all 60 plots were classified and recorded in situ.
2.3. Sampling, Measurement, and Analysis
After recording the aboveground disease degree, 6 tobacco plants from each plot that were representative of 6 different disease degrees were immediately selected, which resulted in a total of 360 plants. The chosen tobacco plants were cut at a height of 0.5 cm from the ground. Then, the aboveground samples were placed in nylon bags. The fresh weights of leaves and stems were recorded immediately after being taken to the laboratory, and then the samples were dried at 65 °C to determine the dry weight.
A root tube (30 cm in diameter and 32 cm in height) was driven to a 30 cm soil depth. The roots together with soil were placed in mesh bags with a diameter of 2 mm and taken to the laboratory within one hour. We soaked the mesh bag with the root sample in a bucket for about 1 h and then carefully rinsed it until 80% of the soil was washed away. A 35-mesh sieve was placed in a 30 cm diameter basin. Then, the root was removed from the mesh bag and washed on the sieve with running water at least three times.
The root disease degree was recorded according to the national standard of the tobacco pest classification survey method of China (GBT-23222-2008, Table 2). The criteria ranked the disease degree as grades 0 to 9 depending on the proportion of root knots that infected the root. The gall index was recorded based on a rating scheme of root-knot nematode infestation levels established by Bridge and Page ([8], Table 2) in which the root gall index was divided into 10 levels depending on the size, number, and distribution of the root knots. After recording the root-knot disease degree and gall index, the whole root was divided into the tap root (the part connecting the stem and the root), the root with a diameter ≥2 mm (except the root of the main root), and the root with a diameter <2 mm; then the root-knot part until there was no visible root knot on the tap root, the ≥2 mm root, and the <2 mm root were observed. Then, the fresh weight of each part was measured. The volume of each part of the root was measured using the drainage method. Root lengths with a diameter ≥2 mm were measured with a ruler. To avoid root and knot damage during washing and storage, the root and root-knot separation had to be done carefully on the same day after the sampling. Root samples with a diameter <2 mm and the root knot were stored in the refrigerator at −20 °C until further processing. Root samples with a diameter <2 mm and the root knot were thawed at 4 °C and scanned (Epson V700). Images were analysed using the WinRHIZO software package (Regent Instruments Inc., Quebec City, QC, Canada) for the root length. Root-knot numbers were counted in the scanned pictures. Finally, root samples were dried at 65 °C for 48 h to a constant weight to determine the root dry weight. The number of root-knots per root dry weight or volume were calculated and defined as the root-knot density (RKD).
Table 2.
Classification criteria for the nematode disease degree based on the Chinese National Standard GBT-23222-2008 and the gall index based on the method described by Bridge and Page (see also Figure S1).
The soil sampling of all 60 plots was undertaken using a soil auger (3.5 cm diameter) at a 0–20 cm depth. Three individual soil samples from each plot were mixed. The soil samples were air-dried for 5 days and ground by hand to pass through a 2.0 mm sieve for future laboratory analysis. The soil texture was determined using a laser particle size analyser (Malvern Mastersizer 2000, Malvern, Worcestershire, UK). The soil pH was measured in a 1:2.5 soil:water solution using a combined electrode pH meter (IS 126, Shanghai Instrument Sales Instrument Technology Co., Ltd., Shanghai, China). The subsamples were powdered in a ball mill (MM200, Retsch, Haan, Germany). The total C and N concentration of the soil were determined using a Costech Elemental Analyzer (CostechECH 4024 CHNSO, Costech, Italy). The extractable soil Olsen-P was estimated using 1:5 soil:HCl (0.05 M)-1/2H2SO4 (0.025 M) extracts using a UV–vis spectrophotometer (UVmini-1240, Shimadzu, Kyoto, Japan).
2.4. Statistical Analysis
The normality distribution of variables including the disease degree, gall index, root-knot density, root-knot number, leaf dry weight, stem dry weight, and root dry weight were tested using a Kolmogorov–Smirnov test. The result showed that all of the above variables conformed to a normal distribution except the disease degree and gall index. Regression analyses were used to examine the relationships amongst the leaf dry weight, root disease degree, and gall index and four root parts’ dry weight, volume, and length or number. An exponential function was used to examine the relationships between the new indicators and the leaf dry weight. After a comprehensive consideration of the RKD and sample distribution, 360 samples were divided into 8 groups according to the scope of the RKD. One-way analysis of variance was applied to determine the significance amongst the groups classified according to the RKD. Multiple comparisons of the mean values were corrected using Duncan’s test at p = 0.05. An exponential function was used to examine the relationships between the RKD and leaf, stem, and root dry weight. A logarithmic function was used to examine the relationships between the RKD and disease degree and gall index. The correlation analyses and one-way analysis of variance were conducted using SAS (version 9.2; SAS Inc., Cary, NC, USA) by employing the general linear model. Exponential and logarithmic function and figures were generated using Sigmaplot (version 10.0; Systat Software, Inc., San Jose, CA, USA). The results were expressed as arithmetic means ± standard errors of the means. The levels of significance at 0.05, 0.01, and 0.001 probability are denoted by *, **, and ***, respectively.
3. Results
The leaf dry weight was not significantly correlated with the tobacco root-knot disease degree and gall index (Figure 1). The determination coefficients of the disease degree and gall index with the leaf dry weight were 0.0597 and 0.1119, respectively. Moreover, the determination coefficients of the leaf dry weight with the root-knot dry weight, volume, and number were only 0.0028, 0.0022, and 0.0013, respectively (Figure 2).
Figure 1.
Regression between the leaf dry weight and the traditional indicators of disease degree and gall index. n = 360.
Figure 2.
Regression between the leaf dry weight and root-knot dry weight, volume, and number. n = 360.
However, the leaf dry weight was significantly positively correlated with the root dry weight, volume, and length of roots with diameters of ≥2 mm and <2 mm (Figure 3). The determination coefficients of the leaf dry weight with the root dry weight, volume, and length of the roots with a diameter ≥2 mm were 0.7179, 0.7269, and 0.3367 (p < 0.001), respectively; whilst they were 0.1064, 0.0976, and 0.1084 for the roots <2 mm (Figure 3). Furthermore, the leaf dry weight was negatively correlated with the root-knot number per dry weight or volume (hereafter RKD) of ≥2 mm roots with determination coefficients of 0.3194 and 0.3254, respectively (p < 0.001) (Figure 4a,b). However, no significant relationship was found between the leaf dry weight and the root-knot density of <2 mm roots (Figure 4c,d).
Figure 3.
Regression between the leaf dry weight and root dry weight, volume, and length of the roots with a diameter ≥2 mm or <2 mm. n = 360. Significant level: ***, p < 0.001.
Figure 4.
Regressionbetween the leaf dry weight and root-knot density described as root-knot number per gram (No. g−1) or volume (No. cm−3) of the roots with a diameter ≥2 mm or <2 mm. Significant level: ***, p < 0.001.
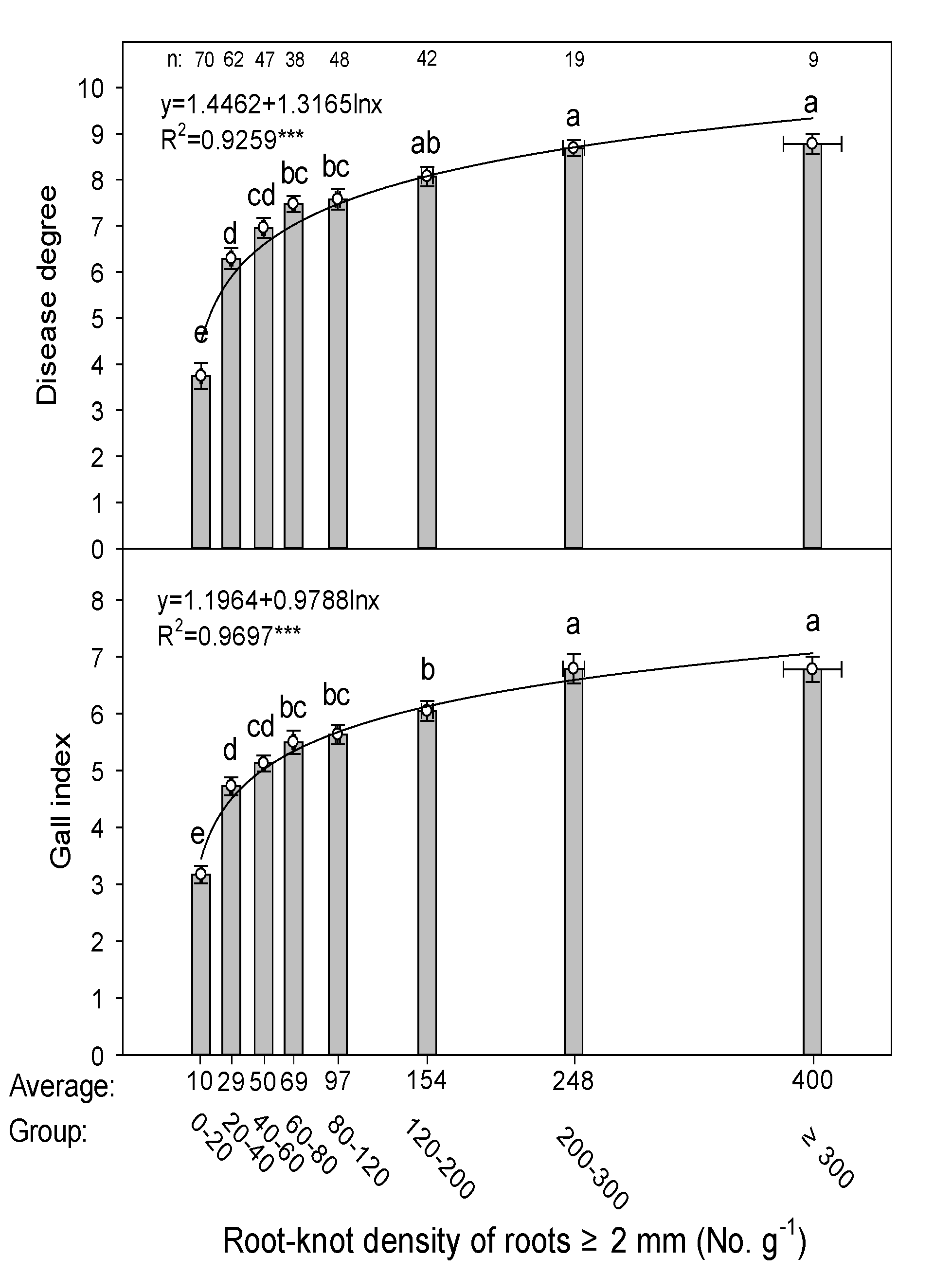
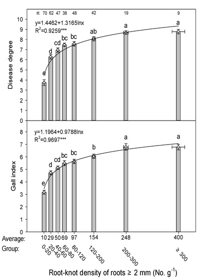
According to the progressive gradient of the RKD from small to large, all of the samples were divided into eight groups, the RKDs of which were 0–20, 20–40, 40–60, 60–80, 80–120, 120–200, 200–300, and >300 No. g−1 (Figure 5). The cumulative percentages of samples at different ranges to the total samples were 20%, 38%, 52%, 65%, 78%, 92%, 97%, and 100%, respectively. The determination coefficient between the average RKD and the average leaf dry weight at different ranges reached 0.9755 (p < 0.001) (Figure 6). A significant correlation was found between the RKD and stem or root dry weight; the determination coefficients were 0.9725 and 0.9630, respectively (p < 0.001). Except for the first three groups, the leaf dry weight, stem dry weight, and root dry weight were significantly different amongst the groups and decreased significantly with the increase in the RKD (Figure 6).
Figure 5.
Progressive gradient of root-knot density of roots with a root diameter ≥2 mm divided into 8 ranges: 0–20, 20–40, 40–60, 60–80, 80–120, 120–200, 200–300, and >300 No. g−1.
Figure 6.
Average root-knot density of roots with a root diameter ≥2 mm and their relationship with the average leaf dry weight, stem dry weight, and root dry weight in corrected groups based on RKD reclassification. Different lowercase letters represent significant difference at p = 0.05. Significant level: ***, p < 0.001.
According to the RKD results, we recalculated the average disease degree and gall index of the corresponding samples in each group. The RKD and the corrected disease degree and gall index had significant positive correlations (Figure 7). The determination coefficients between the average RKD and the average disease degree or gall index in the different groups were 0.9259 and 0.9697, respectively. Meanwhile, significant differences in the disease degree or gall index in the different groups were detected (Figure 7).
Figure 7.
Average root-knot density of roots with a root diameter ≥2 mm and their relationship with the average disease degree and gall index in corrected groups based on RKD reclassification. Different lowercase letters represent significant difference at p = 0.05. Significant level: ***, p < 0.001.
4. Discussion
The dry weight of the tobacco leaves tended to decrease with the increase in the root-knot nematode disease degree and gall index (Figure 1). However, the data points were far from the line of the best fit (Figure 1) and did not conform to a normal distribution according to the Kolmogorov–Smirnov test (p < 0.01). This may have been due to the fact that both the disease degree and gall index are non-quantitative or semi-quantitative diagnostic indexes [7,9]. The plant uptake and transfer of water and nutrients were inhibited because the plant transport tissue was damaged after the infestation of root-knot nematodes [21,22]. The leaf dry weight decreased significantly only when the number and volume of root knots increased to an extent that was able to impair the uptake and transport functions of the root system [3]. However, our results and previous reports showed no significant correlation amongst the leaf dry weight and root knot dry weight, volume, and number [23] (Figure 2). For the roots larger than 2 mm in diameter, their leaf dry weight highly correlated with the root dry weight or root volume, which suggested that including the root growth in the root-knot parameters could better quantify the damage caused by the nematode disease on the plant growth (Figure 3) [9,11].
The root length, root volume, and dry weight of roots with a diameter of ≥2 mm were significantly positively correlated with the leaf dry weight; while the root length, root volume, and dry weight of roots with diameter less than 2 mm were relatively weakly correlated with the leaf dry weight (Figure 3). Roots with diameter larger than 2 mm played a vital role in the uptake and transportation of nutrients and water [16], in anchoring functions [24], and as the growth point of roots that were <2 mm [25]. However, root-knot nematodes that caused damage to plants were mostly concentrated in roots with a diameter ≥2 mm because the root systems ≥2 mm originated from the pericycle of the tap root, and the squeezing force formed when it broke through the parent root formed a microsound in the tap root [9]. The plant tissue that exudated from the microsound attracted root-knot nematodes to invade [26]. Therefore, compared with the tap roots and roots <2 mm, the roots ≥2 mm were more closely associated with crop growth after being infected by root-knot nematodes (Figure 3).
The RKD proposed in this paper—the number of root knots per root dry weight or root volume—combined with the number of root knots and the root morphological parameters could reflect the damage of root-knot nematodes to the host plants better. Our results demonstrated that the RKD of roots ≥2 mm was significantly negatively correlated with the leaf dry weight (Figure 4a,b), whilst no significant correlation between the RKD and the leaf dry weight of roots <2 mm was observed (Figure 4c,d). The root dry weight or volume is an important indicator that reflects root development and uptake capacity [16]. Root resistance in the early stage of plant growth is low [27], and root-knot nematode infestation severely inhibits lateral root development, thereby resulting in reduced or even no productive yield [17]. In the middle and late stages of plant growth, the large root system triggers the activation of defence genes by recognising the damage caused by root-knot nematodes [12,28]. This phenomenon promoted the growth of roots <2 mm, and crop yield was rarely or even not affected by root-knot nematode disease [20]. We concluded that the RKD of roots >2 mm was much more important than that of roots <2 mm (Figure 4).
According to the progressive gradient of RKD of roots ≥2 mm, the plant samples were divided into 8 groups. The dry weights of the leaves, stems, and roots of each group showed significant differences (Figure 6). Moreover, the average RKD of each group was significantly negatively correlated with the dry weight of the leaves, stems, and roots of the corresponding group (Figure 6). In addition, significant positive correlations existed between the RKD of roots ≥2 mm and the corrected disease degree and gall index calculated based on this reclassification (Figure 7), and the corresponding disease degree and gall index of each group had significant differences. The RKD of roots ≥2 mm could quantitatively describe the damage of root-knot nematode disease to plant growth and yield better due to the combination of the root parameters and root-knot number [9,26]. However, counting the number of root knots manually was time-consuming. When considering the significant correlation between the root-knot dry weight per unit root dry weight and the leaf dry weight (Figure S2), it can be used as a simplified indicator of the RKD in practical applications. With the development of computer image recognition and computing technology, it has become a reality to count the number and volume of root knots accurately and quickly. Therefore, these research results can play a certain guiding role in the future development of related software.
5. Conclusions
The accurate description of the disease grade of root-knot nematodes is crucial in evaluating their damage to plant growth. Compared with the traditional indicators of disease degree, gall index, and root-knot number, which only have a weak correlation with plant yield, the root-knot density (RKD) of roots with a diameter ≥2 mm proposed in this paper had a significant negative correlation with crop yield. The reason was that the new RKD index not only considered the number of root knots but also combined the root parameters such as the root dry weight or root volume. In addition, significant positive correlations were observed between the RKD with the corrected disease degree and the gall index calculated via reclassification, which further indicated that the original indexes had some defects in describing the damage grade of root-knot nematodes to plant growth quantitatively. Our results highlighted that the RKD of ≥2 mm roots proposed in this research will provide a new quantitative index for the study of root-knot nematode mechanisms. In addition, it can play a certain guiding role in the development of the corresponding computer recognition technology.
Supplementary Materials
The following supporting information can be downloaded at: https://www.mdpi.com/article/10.3390/agronomy13010136/s1, Figure S1: Diagrammatic root-knot nematode rating chart used in this research (based on Bridge and Page, 1980); Figure S2: Correlation between leaf dry weight and the ratio of root-knot dry weight to root dry weight of the roots with a diameter ≥2 mm. n = 360.
Author Contributions
Conceptualization, S.L., J.L. and W.Z.; methodology, M.L. and W.Z.; software, M.F. and M.L.; formal analysis, M.F.; investigation, M.F., W.Z. and M.L.; data curation, M.F. and M.L.; writing—original draft preparation, M.F., M.L. and S.L.; writing—review and editing, M.F. and S.L.; project administration, L.Z. and S.L.; funding acquisition, K.D. and S.L. All authors have read and agreed to the published version of the manuscript.
Funding
This work was supported by the Yunnan Tobacco Company of China National Tobacco Corporation (grant numbers 2021530000241032 and 2022530000216103).
Data Availability Statement
Not applicable.
Acknowledgments
We thank the Research Center of Biological Control Engineering for Tobacco Diseases and Insect Pests of China Tobacco, Yuxi Branch of Yunnan Tobacco Company for providing us with the working facilities.
Conflicts of Interest
The authors declare no conflict of interest. The funders had no role in the design of the study; in the collection, analyses, or interpretation of data; in the writing of the manuscript; or in the decision to publish the results.
References
- Mukhtar, T.; Kayani, M.Z.; Hussain, M.A. Response of selected cucumber cultivars to Meloidogyne incognita. Crop Prot. 2013, 44, 13–17. [Google Scholar] [CrossRef]
- Chandra, P.; Sao, R.; Gautam, S.K.; Poddar, A.N. Initial population density and its effect on the pathogenic potential and population growth of the root knot nematode meloidogyne incognita in four species of cucurbits. Asian J. Plant Pathol. 2010, 4, 1–15. [Google Scholar] [CrossRef]
- Zhang, J.G.; Shen, G.M.; Zhang, J.Q.; Zhang, Z.F.; Shi, Y.; Li, S.B.; Liu, H.W.; Shi, P. Advance in continuous cropping problems of tobacco. Chin. Tob. Sci. 2011, 32, 95–99, (In Chinese with English abstract). [Google Scholar]
- Verdejo-Lucas, S.; Talavera, M. Root-knot nematodes on zucchini (Cucurbita pepo subsp. pepo): Pathogenicity and management. Crop Prot. 2019, 126, 104943. [Google Scholar] [CrossRef]
- Shilpa, P.S.; Thakur, V.; Sharma, A.; Rana, R.S.; Kumar, A. A status-quo review on management of root knot nematode in tomato. J. Hortic. Sci. Biotech. 2022, 97, 403–416. [Google Scholar] [CrossRef]
- National Standards of the People’s Republic of China. GBT-23222-2008; Grade and Investigation Methods of Tobacco Diseases and Insect Pests. China Quality Standards Press: Beijing, China, 2008. (In Chinese)
- Gao, L.; Huang, J.; Lu, X.; Zhang, Y.; Liu, Z. Evaluation of agricultural waste composting control of tomato root-knot nemetode disease. J. Huazhong Agric. Univ. 2016, 35, 63–67, (In Chinese with English abstract). [Google Scholar]
- Bridge, J.; Page, S.L.J. Estimation of Root-knot Nematode Infestation Levels on Roots Using a Rating Chart. Int. J. Pest Manag. 1980, 26, 296–298. [Google Scholar] [CrossRef]
- Waisen, P.; Cheng, Z.; Sipes, B.S.; Defrank, J.; Wang, K.H. Effects of biofumigant crop termination methods on suppression of plant-parasitic nematodes. Appl. Soil Ecol. 2020, 154, 103595. [Google Scholar] [CrossRef]
- Daramola, F.Y.; Malgas, R.; Malan, A.P. Occurrence and seasonal changes in the population of root-knot nematodes on honeybush (Cyclopia sp.). Helminthologia 2021, 58, 202–212. [Google Scholar] [CrossRef]
- Xing, L.; Westphal, A. Predicting damage of meloidogyne incognita on watermelon. J. Nematol. 2012, 44, 127–133. [Google Scholar]
- Mantelin, S.; Bellafiore, S.; Kyndt, T. Meloidogyne graminicolar: A major threat to rice agriculture. Mol. Plant Pathol. 2017, 18, 3–15. [Google Scholar] [CrossRef] [PubMed]
- Win, P.P.; Kyi, P.P.; De Waele, D. Effect of agro-ecosystem on the occurrence of the rice root-knot nematode Meloidogyne graminicola on rice in Myanmar. Australas. Plant Path. 2011, 40, 187–196. [Google Scholar] [CrossRef]
- López-Gómez, M.; Flor-Peregrín, E.; Talavera, M.; Sorribas, F.J.; Verdejo-Lucas, S. Population dynamics of meloidogyne javanica and its relationship with the leaf chlorophyll content in zucchini. Crop Prot. 2015, 70, 8–14. [Google Scholar] [CrossRef]
- Singh, S. Integrated approach for the management of the root-knot nematode, Meloidogyne incognita, on eggplant under field conditions. Nematology 2013, 15, 747–757. [Google Scholar] [CrossRef]
- Freschet, G.T.; Pages, L.; Iversen, C.M.; Comas, L.H.; Rewald, B.; Roumet, C.; Klimesova, J.; Zadworny, M.; Poorter, H.; Postma, J.A.; et al. A starting guide to root ecology: Strengthening ecological concepts and standardising root classification, sampling, processing and trait measurements. New Phytol. 2021, 232, 973–1122. [Google Scholar] [CrossRef]
- Hajihassani, A.; Rutter, W.B.; Schwarz, T.; Woldemeskel, M.; Ali, M.E.; Hamidi, N. Characterization of Resistance to Major Tropical Root-Knot Nematodes (Meloidogyne spp.) in Solanum sisymbriifolium. Phytopathology 2019, 110, 666–673. [Google Scholar] [CrossRef]
- Siddique, S.; Grundler, F.M. Parasitic nematodes manipulate plant development to establish feeding sites. Curr. Opin. Microbiol. 2018, 46, 102–108. [Google Scholar] [CrossRef]
- Holbein, J.; Franke, R.B.; Marhavý, P.; Fujita, S.; Górecka, M.; Sobczak, M.; Geldner, N.; Schreiber, L.; Grundler, F.M.W.; Siddique, S. Root endodermal barrier system contributes to defence against plant-parasitic cyst and root-knot nematodes. Plant J. 2019, 100, 221–236. [Google Scholar] [CrossRef]
- Gugino, B.K.; Abawi, G.S.; Ludwig, J.W. Damage and management of meloidogyne hapla using oxamyl on carrot in new york. J. Nematol. 2006, 38, 483–490. [Google Scholar]
- Kyndt, T.; Denil, S.; Haegeman, A.; Trooskens, G.; Bauters, L.; Criekinge, W.V.; Meyer, T.D.; Gheysen, G. Transcriptional reprogramming by root knot and migratory nematode infection in rice. New Phytolt. 2012, 196, 887–900. [Google Scholar] [CrossRef]
- Cabasan, M.T.N.; Kumar, A.; Bellafiore, S.; Waele, D.D. Histopathology of the rice root-knot nematode, Meloidogyne graminicola, on Oryza sativa and O. glaberrim. Nematology 2014, 16, 73–81. [Google Scholar] [CrossRef]
- Rumbos, C.I.; Khah, E.M.; Naved, S. Response of local and commercial tomato cultivars and rootstocks to meloidogyne javanica infestation. Aust. J. Crop Sci. 2011, 5, 1388–1395. [Google Scholar]
- Hishi, T. Heterogeneity of individual roots within the fine root architecture: Causal links between physiological and ecosystem functions. J. Forest Res. 2007, 12, 126–133. [Google Scholar] [CrossRef]
- Benková, E.; Bielach, A. Lateral root organogenesis—From cell to organ. Curr. Opin. Plant Biol. 2010, 13, 677–683. [Google Scholar] [CrossRef]
- Deng, M.X.; Xiao, S.; Wang, W.Y.; Cheng, X.; Cheng, M.; Hou, X.Y.; Zhang, S.S.; Liu, G.K. Characteristic of tropism, location and infection of Ditylenchus arachis on peanut root. J. Fujian Agric. Forest. Univ. 2018, 47, 22–26, (In Chinese with English abstract). [Google Scholar]
- De Coninck, B.; Timmermans, P.; Vos, C.; Cammue, B.P.A.; Kazan, K. What lies beneath: Belowground defense strategies in plants. Trends Plant Sci. 2015, 20, 91–101. [Google Scholar] [CrossRef] [PubMed]
- Oka, Y.; Koltai, H.; Bar-Eyal, M.; Mor, M.; Sharon, E.; Chet, I.; Spiegel, Y. New strategies for the control of plant-parasitic nematodes. Pest Manag. Sci. 2000, 56, 983–988. [Google Scholar] [CrossRef]
Disclaimer/Publisher’s Note: The statements, opinions and data contained in all publications are solely those of the individual author(s) and contributor(s) and not of MDPI and/or the editor(s). MDPI and/or the editor(s) disclaim responsibility for any injury to people or property resulting from any ideas, methods, instructions or products referred to in the content. |
© 2022 by the authors. Licensee MDPI, Basel, Switzerland. This article is an open access article distributed under the terms and conditions of the Creative Commons Attribution (CC BY) license (https://creativecommons.org/licenses/by/4.0/).






