Optimizing Agronomy Improves Super Hybrid Rice Yield and Nitrogen Use Efficiency through Enhanced Post-Heading Carbon and Nitrogen Metabolism
Abstract
1. Introduction
2. Materials and Methods
2.1. Experimental Site and Weather Conditions
2.2. Test Material
2.3. Experimental Design and Crop Management
2.4. Sampling and Measurements
2.5. Data Analysis
3. Results
3.1. Grain Yields
3.2. N Use Efficiency
3.3. The Photosynthetic Rate in Flag Leaves
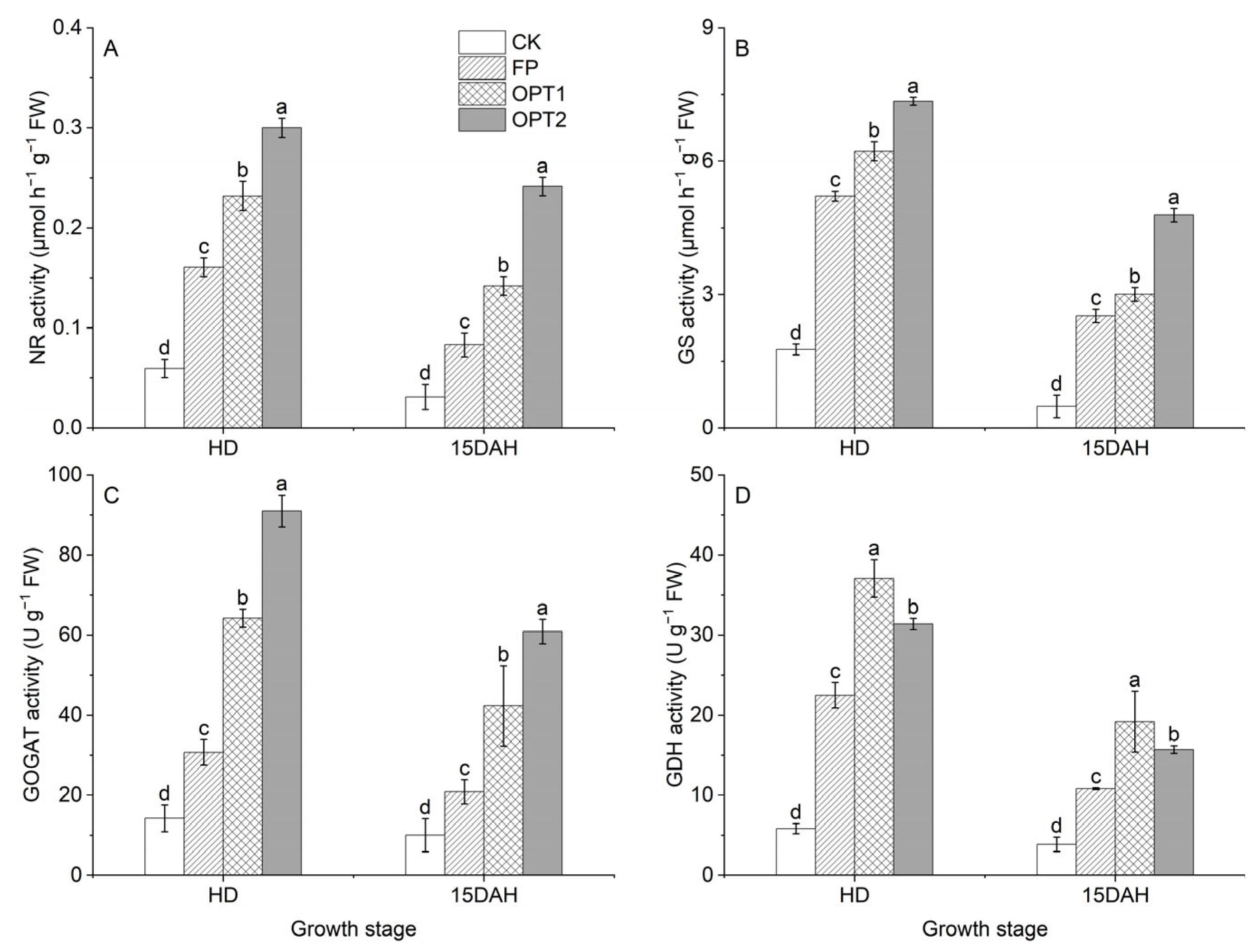
3.4. The NR, GS, GOGAT, and GDH Enzyme Activities
3.5. The Activities of AGP and SPS Enzyme
3.6. C/N in Straw and Grains
3.7. Soluble Sugars and Soluble Proteins
3.8. The Activities of POD, CAT, T-SOD, and APX Enzymes and the Content of MDA
3.9. Relationships between N Use Efficiency and the Physiological Characteristics of Flag Leaves at HD and 15DAH
4. Discussion
4.1. Effect of Optimal Management on Grain Yield and N Use Efficiency of Super Hybrid Rice
4.2. Effect of Optimal Management on Physiological Characteristics of Super Hybrid Rice
4.3. Optimization of Management to Increase Yield and N Use Efficiency through Enhanced Carbon–N Metabolism
5. Conclusions
Supplementary Materials
Author Contributions
Funding
Data Availability Statement
Acknowledgments
Conflicts of Interest
References
- Cheng, S.; Hu, P. Development strategy of rice science and technology in China. Chin. J. Rice Sci. 2008, 22, 223–226. (In Chinese) [Google Scholar] [CrossRef]
 - Chu, G.; Xu, R.; Chen, S.; Xu, C.; Liu, Y.; Zhang, X.; Wang, D. Effects of improved crop management on growth characteristic of root and shoot, water and nitrogen use efficiency, and grain yield in rice. Chin. J. Rice Sci. 2021, 35, 586–594. (In Chinese) [Google Scholar] [CrossRef]
 - Zhou, J.; Zhao, L.; Dong, Y.; Xu, J.; Bian, W.; Mao, Y.; Zhang, X. Nitrogen and transplanting density interactions on the rice yield and N use rate. Plant Nutr. Fert. Sci. 2010, 16, 274–281. (In Chinese) [Google Scholar]
 - Peng, S.; Buresh, R.; Huang, J.; Zhong, X.; Zou, Y.; Yang, J.; Wang, G.; Liu, Y.; Hu, R.; Tang, Q.; et al. Improving nitrogen fertilization in rice by site-specific N management. A review. Agron. Sustain. Dev. 2010, 30, 649–656. [Google Scholar] [CrossRef]
 - Peng, S.; Tang, Q.; Zou, Y. Current status and challenges of rice production in China. Plant Prod. Sci. 2009, 12, 3–8. [Google Scholar] [CrossRef]
 - Guo, J.; Liu, X.; Zhang, Y.; Shen, J.; Han, W.; Zhang, W. Significant acidification in major Chinese croplands. Science 2010, 327, 1008–1010. [Google Scholar] [CrossRef]
 - Christie, K.; Smith, A.; Rawnsley, P.; Harrison, M.; Eckard, R. Simulated seasonal responses of grazed dairy pastures to nitrogen fertilizer in SE Australia: N loss and recovery. Agric. Syst. 2020, 182, 1–13. [Google Scholar] [CrossRef]
 - Harrison, M.; Cullen, B.; Mayberry, D.; Cowie, A.; Bilotto, F.; Badgery, W.; Liu, K.; Davison, T.; Christie, K.; Muleke, A.; et al. Carbon myopia: The urgent need for integrated social, economic and environ-mental action in the livestock sector. Glob. Chang. Biol. 2021, 27, 5726–5761. [Google Scholar] [CrossRef]
 - Deng, J.; Harrison, M.; Liu, K.; Ye, J.; Xiong, X.; Fahad, S.; Huang, L.; Tian, X.; Zhang, Y. Integrated crop management practices improve grain yield and resource use efficiency of super hybrid rice. Front. Plant Sci. 2022, 13, 851562. [Google Scholar] [CrossRef]
 - Falster, D.; Gallagher, R.; Wenk, E.; Wright, I.; Indiarto, D.; Andrew, S.; Baxter, C.; Lawson, J.; Allen, S.; Fuchs, A.; et al. AusTraits, a curated plant trait database for the Australian flora. Sci. Data 2021, 8, 254. [Google Scholar] [CrossRef]
 - Harrison, M.; Evans, J.; Moore, A. Using a mathematical framework to examine physiological changes in winter wheat after livestock grazing: 1. Model derivation and coefficient calibration. Field Crops Res. 2012, 136, 116–126. [Google Scholar] [CrossRef]
 - Harrison, M.; Evans, J.; Moore, A. Using a mathematical framework to examine physiological changes in winter wheat after livestock grazing: 2. Model validation and effects of grazing management. Field Crops Res. 2012, 136, 127–137. [Google Scholar] [CrossRef]
 - Huang, G.; Zhang, Y.; Zhang, J.; Hu, F.; Li, F. Density-dependent fertilization of nitrogen for optimal yield of perennial rice. Agronomy 2022, 12, 1698. [Google Scholar] [CrossRef]
 - Chong, H.; Jiang, Z.; Shang, L.; Shang, C.; Deng, J.; Zhang, Y.; Huang, L. Dense planting with reduced nitrogen input improves grain yield, protein quality, and resource use efficiency in hybrid rice. J. Plant Growth Regul. 2022, 1–13. [Google Scholar] [CrossRef]
 - Liu, K.; Yang, R.; Deng, J.; Huang, L.; Wei, Z.; Ma, G.; Tian, X.; Zhang, Y. High radiation use efficiency improves yield in the recently developed elite hybrid rice Y-liangyou 900. Field Crops Res. 2020, 253, 107804. [Google Scholar] [CrossRef]
 - Rawnsley, R.; Smith, A.; Christie, K.; Harrison, M.; Eckard, R. Current and future direction of nitrogen fertiliser use in Australian grazing systems. Crop Pasture Sci. 2019, 70, 1034–1043. [Google Scholar] [CrossRef]
 - Liu, K.; Harrison, M.; Wang, B.; Yang, R.; Yan, H.; Zou, J.; Liu, D.; Meinke, H.; Tian, X.; Ma, S.; et al. Designing high-yielding wheat crops under late sowing: A case study in southern China. Agron. Sustain. Dev. 2022, 42, 1–12. [Google Scholar] [CrossRef]
 - Lu, J.; Wang, D.; Liu, K.; Chu, G.; Huang, L.; Tian, X.; Zhang, Y. Inbred varieties outperformed hybrid rice varieties under dense planting with reducing nitrogen. Sci. Rep. 2020, 10, 8769. [Google Scholar] [CrossRef]
 - Liu, L.; Chen, T.; Wang, Z.; Zhang, H.; Yang, J.; Zhang, J. Combination of site-specific nitrogen management and alternate wetting and drying irrigation increases grain yield and nitrogen and water use efficiency in super rice. Field Crops Res. 2013, 154, 226–235. [Google Scholar] [CrossRef]
 - Gu, J.; Chen, Y.; Zhang, H.; Li, Z.; Zhou, Q.; Yu, C.; Kong, X.; Liu, L.; Wang, Z.; Yang, J. Canopy light and nitrogen distributions are related to grain yield and N use efficiency in rice. Field Crops Res. 2017, 206, 74–85. [Google Scholar] [CrossRef]
 - Ibrahim, A.; Harrison, M.; Meinke, H.; Zhou, M. Examining the yield potential of barley near-isogenic lines using a genotype by environment by management analysis. Eur. J. Agron. 2019, 105, 41–51. [Google Scholar] [CrossRef]
 - Liu, K.; Harrison, M.; Shabala, S.; Meinke, H.; Ahmed, I.; Zhang, Y.; Tian, X.; Zhou, M. The state of the art in modeling waterlogging impacts on plants: What do we know and what do we need to know. Earths Future 2020, 8, e2020EF001801. [Google Scholar] [CrossRef]
 - Liu, K.; Harrison, M.; Archontoulis, S.; Huth, N.; Yang, R.; Liu, D.; Yan, H.; Meinke, H.; Huber, I.; Feng, P.; et al. Climate change shifts forward flowering and reduces crop waterlogging stress. Environ. Res. Lett. 2021, 16, 094017. [Google Scholar] [CrossRef]
 - Yan, H.; Harrison, M.; Liu, K.; Wang, B.; Feng, P.; Fahad, S.; Meinke, H.; Yang, R.; Liu, D.; Archontoulis, S.; et al. Crop traits enabling yield gains under more frequent extreme climatic events. Sci. Total Environ. 2022, 808, 152170. [Google Scholar] [CrossRef]
 - Pan, T.; Chen, Y.; Cai, Z. Silicon and nitrogen improving the eco-physiological characteristics of high quality rice. Chin. J. Trop. Crops 2020, 41, 694–700. (In Chinese) [Google Scholar]
 - Shang, C.; Guo, Z.; Chong, H.; Xiong, X.; Deng, J.; Harrison, M.; Huang, L.; Liu, K.; Tian, X.; Zhang, Y. Higher radiation use efficiency and photosynthetic characteristics after flowering could alleviate the yield loss of Indica-Japonica hybrid rice under shading stress. Int. J. Plant Prod. 2022, 16, 105–117. [Google Scholar] [CrossRef]
 - Harrison, M.; Kelman, W.; Moore, A.; Evans, J. Grazing winter wheat relieves plant water stress and transiently enhances photosynthesis. Funct. Plant Biol. 2010, 37, 726–736. [Google Scholar] [CrossRef]
 - Wang, Y.; Chen, Z.; Jiang, D.; Zhang, C.; Zha, M. Effects of enhancing leaf nitrogen output on tiller growth and carbon metabolism in rice. Acta Agron. Sin. 2022, 48, 739–746. [Google Scholar] [CrossRef]
 - Qin, J.; Impa, S.; Tang, Q.; Yang, S.; Yang, J.; Tao, Y.; Jagadish, K. Integrated nutrient, water and other agronomic options to enhance rice grain yield and nitrogen use efficiency in double-season rice crop. Field Crops Res. 2013, 148, 15–23. [Google Scholar] [CrossRef]
 - Lu, R. Soil and Agro-Chemistry Analytical Methods; China Agricultural Science and Technology Press: Beijing, China, 2000. [Google Scholar]
 - Were, K.; Singh, B.; Dick, Y. Effects of Land Cover Changes on Soil Organic Carbon and Total Nitrogen Stocks in the Eastern Mau Forest Reserve, Kenya. In Sustainable Intensification to Advance Food Security and Enhance Climate Resilience in Africa; Springer International Publishing: Cham, Switzerland, 2015. [Google Scholar] [CrossRef]
 - Vijayalakshmi, P.; Kiran, T.V.; Venkateswara, R.; Srikanth, B.; Subhakara, I.; Sailaja, B.; Surekha, K.; Raghuveer, P.; Subrahmanyam, D.; Neeraja, C.; et al. Physiological approaches for increasing nitrogen use efficiency in rice. Indian J. Plant Physiol. 2013, 18, 208–222. [Google Scholar] [CrossRef]
 - Hageman, R.; Hucklesby, D. Nitrate reductase from higher plants. Methods Enzymol. 1971, 23, 491–503. [Google Scholar]
 - Zou, Q. Experimental Guidance of Plant Physiology and Biochemistry; China Agriculture Press: Beijing, China, 1995; pp. 27–29. [Google Scholar]
 - Rowe, W.; Ronzio, R.; Wellner, V.; Meister, A. Methods in Enzymology; Tabor, H., Tabor, C.W., Eds.; Academic Press: New York, NY, USA, 1970; pp. 900–910. [Google Scholar]
 - Singh, R.; Srivastava, H. Increase in glutamate synthase (NADH) activity in maize seedlings in response to nitrate and ammonium nitrogen. Physiol. Plant. 1986, 66, 413–416. [Google Scholar] [CrossRef]
 - Loulakakis, K.; Roubelakis-Angelakis, K. Plant NAD(H)-glutamate dehydrogenase consists of two subunit polypeptides and their participation in the seven isoenzymes occurs in an ordered ratio. Plant Physiol. 1991, 97, 104–111. [Google Scholar] [CrossRef] [PubMed]
 - Ghosh, H.; Preiss, J. Adenosine diphosphate glucose pyrophosphorylase—A regulatory enzyme in the biosynthesis of starch in spinach leaf chloroplasts. J. Biol. Chem. 1966, 6241, 4491–4504. [Google Scholar] [CrossRef]
 - Okamura, M.; Aoki, N.; Hirose, T.; Yonekura, M.; Ohto, C.; Ohsugi, R. Tissue specificity and diurnal change in gene expression of the sucrose phosphate synthase gene family in rice. Plant Sci. 2011, 181, 159–166. [Google Scholar] [CrossRef]
 - Aebi, H. Catalase in vitro. Methods Enzymol. 1984, 105, 121–126. [Google Scholar]
 - Giannopolitis, C.; Ries, S. Superoxide dismutase: I. Occurrence in higher plants. Plant Physiol. 1977, 59, 309–314. [Google Scholar] [CrossRef]
 - Heath, R.; Packer, L. Photoperoxidation in isolated chloroplasts. I. Kinetics and stoichiometry of fatty acid peroxidation. Arch. Biochem. Biophys. 1968, 125, 189–198. [Google Scholar] [CrossRef]
 - Nakano, Y.; Asada, K. Hydrogen peroxide is scavenged by ascorbate-specific peroxidase in spinach chloroplasts. Plant Cell Physiol. 1981, 22, 867–880. [Google Scholar] [CrossRef]
 - Bradford, M. A rapid and sensitive method for the quantitation of microgram quantities of protein utilizing the principle of protein-dye binding. Anal. Biochem. 1976, 72, 248–254. [Google Scholar] [CrossRef]
 - Pistocchi, R.; Guerrini, F.; Balboni, V.; Boni, L. Copper toxicity and carbohydrate production in the microalgae Cylindrotheca fusiformis and Gymnodinium sp. Eur. J. Phycol. 1997, 32, 125–132. [Google Scholar] [CrossRef]
 - Hugins, D.; Pan, W. Key indicators for assessing nitrogen use efficiency in cereal-based agroecosystems. J. Crop Prod. 2003, 8, 157–185. [Google Scholar] [CrossRef]
 - He, H.; Yang, R.; Liao, J.; Wu, L.; Kong, L.; Huang, Y. Research advance of high-yielding and high efficiency in resource use and improving grain quality of rice plants under water and nitrogen managements in an irrigated region. Sci. Agric. Sin. 2016, 49, 305–318. [Google Scholar] [CrossRef]
 - Lu, J.; Liu, K.; Deng, J.; Feng, X.; Xiong, X.; Huang, L.; Tian, X.; Zhang, Y. Evaluating the effect of population density and the contribution of early canopy closure to grain yield of hybrid rice. J. Plant Growth Regul. 2021, 41, 830–839. [Google Scholar] [CrossRef]
 - Li, M.; Luo, D.; Jiang, X.; Jiang, M.; Ji, G.; Li, L.; Zhou, W. Regulations of controlled irrigations and increased densities on yield formation of hybrid indica rice under nitrogen-reduction conditions. Acta Agron. Sin. 2020, 46, 1430–1447. [Google Scholar] [CrossRef]
 - Liu, K.; Deng, J.; Lu, J.; Wang, X.; Lu, B.; Tian, X.; Zhang, Y. High nitrogen levels alleviate yield loss of super hybrid rice caused by high temperatures during the flowering stage. Front. Plant Sci. 2019, 10, 357. [Google Scholar] [CrossRef]
 - Huang, L.; Wang, F.; Liu, Y.; Zhang, Y. Night temperature determines the interannual yield variation in hybrid and inbred rice widely used in central China through different effects on reproductive growth. Front. Plant Sci. 2021, 12, 646168. [Google Scholar] [CrossRef]
 - Liu, K.; Yang, R.; Lu, J.; Wang, X.; Lu, B.; Tian, X.; Zhang, Y. Radiation use efficiency and source-sink changes of super hybrid rice under shade stress during grain-filling stage. Agron. J. 2019, 111, 1788–1798. [Google Scholar] [CrossRef]
 - Huang, J.; Li, H.; Zou, Y.; Li, J.; Tu, N. Comparison of net photosynthetic rate and 14C distribution between different cultural conditions on double cropping rice. Acta. Sin. 2002, 16, 75–79. (In Chinese) [Google Scholar]
 - Wang, D.; Li, X.; Ye, C.; Xu, C.; Chen, S.; Chu, G.; Zhang, Y.; Zhang, X. Geographic variation in the yield formation of single-season high-yielding hybrid rice in southern China. J. Integr. Agric. 2021, 20, 438–449. [Google Scholar] [CrossRef]
 - Xu, C.; Yang, F.; Tang, X.; Lu, B.; Li, Z.; Liu, Z.; Ding, Y.; Ding, C.; Li, G. Super rice with high sink activities has superior adaptability to low filling stage temperature. Front. Plant Sci. 2021, 12, 729021. [Google Scholar] [CrossRef] [PubMed]
 - Ye, N.; Li, H.; Zhu, G.; Liu, Y.; Liu, R.; Xu, W.; Jing, Y.; Peng, X.; Zhang, J. Copper suppresses abscisic acid catabolism and catalase activity, and inhibits seed germination of rice. Plant Cell Physiol. 2014, 55, 2008–2016. [Google Scholar] [CrossRef] [PubMed]
 - Mathan, J.; Anuradha, S.; Vikram, J.; Aashish, R. High photosynthesis rate in two wild rice species is driven by leaf anatomy mediating high Rubisco activity and electron transport rate. J. Exp. Bot. 2021, 72, 7119–7135. [Google Scholar] [CrossRef] [PubMed]
 - Moose, S.; Below, F. Biotechnology Approaches to Improving Maize Nitrogen Use Efficiency. In Molecular Genetic Approaches to Maize Improvement, Biotechnology in Agriculture and Forestry; Kriz, A.L., Larkins, B.A., Eds.; Springer: Berlin/Heidelberg, Germany, 2009; pp. 65–77. [Google Scholar]
 - Han, R.; Li, C.; Adnan, R.; Pan, X.; Shi, Q.; Wu, Z. Reducing phosphorylation of nitrate reductase improves nitrate assimilation in rice. J. Integr. Agric. 2022, 21, 15–25. [Google Scholar] [CrossRef]
 - Deng, J.; Feng, X.; Wang, D.; Lu, J.; Chong, H.; Shang, C.; Liu, K.; Huang, L.; Tian, X.; Zhang, Y. Root morphological traits and distribution in direct-seeded rice under dense planting with reduced nitrogen. PLoS ONE 2020, 15, e0238362. [Google Scholar] [CrossRef]
 - Chen, J.; Zhu, X.; Xie, J.; Deng, G.; Tu, T.; Guan, X.; Yang, Z.; Huang, S.; Chen, X.; Qiu, C.; et al. Reducing nitrogen application with dense planting increases nitrogen use efficiency by maintaining root growth in a double-rice cropping system. Crop. J. 2021, 9, 805–815. [Google Scholar] [CrossRef]
 










Disclaimer/Publisher’s Note: The statements, opinions and data contained in all publications are solely those of the individual author(s) and contributor(s) and not of MDPI and/or the editor(s). MDPI and/or the editor(s) disclaim responsibility for any injury to people or property resulting from any ideas, methods, instructions or products referred to in the content.  | 
© 2022 by the authors. Licensee MDPI, Basel, Switzerland. This article is an open access article distributed under the terms and conditions of the Creative Commons Attribution (CC BY) license (https://creativecommons.org/licenses/by/4.0/).
Share and Cite
Deng, J.; Ye, J.; Liu, K.; Harrison, M.T.; Zhong, X.; Wang, C.; Tian, X.; Huang, L.; Zhang, Y. Optimizing Agronomy Improves Super Hybrid Rice Yield and Nitrogen Use Efficiency through Enhanced Post-Heading Carbon and Nitrogen Metabolism. Agronomy 2023, 13, 13. https://doi.org/10.3390/agronomy13010013
Deng J, Ye J, Liu K, Harrison MT, Zhong X, Wang C, Tian X, Huang L, Zhang Y. Optimizing Agronomy Improves Super Hybrid Rice Yield and Nitrogen Use Efficiency through Enhanced Post-Heading Carbon and Nitrogen Metabolism. Agronomy. 2023; 13(1):13. https://doi.org/10.3390/agronomy13010013
Chicago/Turabian StyleDeng, Jun, Jiayu Ye, Ke Liu, Matthew Tom Harrison, Xuefen Zhong, Chunhu Wang, Xiaohai Tian, Liying Huang, and Yunbo Zhang. 2023. "Optimizing Agronomy Improves Super Hybrid Rice Yield and Nitrogen Use Efficiency through Enhanced Post-Heading Carbon and Nitrogen Metabolism" Agronomy 13, no. 1: 13. https://doi.org/10.3390/agronomy13010013
APA StyleDeng, J., Ye, J., Liu, K., Harrison, M. T., Zhong, X., Wang, C., Tian, X., Huang, L., & Zhang, Y. (2023). Optimizing Agronomy Improves Super Hybrid Rice Yield and Nitrogen Use Efficiency through Enhanced Post-Heading Carbon and Nitrogen Metabolism. Agronomy, 13(1), 13. https://doi.org/10.3390/agronomy13010013
        
