Integrating Tillage and Mulching Practices as an Avenue to Promote Soil Water Storage, Growth, Production, and Water Productivity of Wheat under Deficit Irrigation in Arid Countries
Abstract
1. Introduction
2. Materials and Methods
2.1. Experimental Site and Conditions
2.2. Treatments, Experimental Design, and Field Management
2.3. Irrigation Treatments
2.4. Calculation and Measurement
2.4.1. Evapotranspiration (ET) Estimation
2.4.2. Evaluation of Soil Water Storage
2.4.3. Measurements of Traits Related to Wheat Growth and Production
2.4.4. Estimation of WP and IWUE
2.4.5. Evaluation of Yield Response Factor
2.4.6. Determination of Yield–ET and WUE–Yield Relationships
2.5. Data Analysis
3. Results
3.1. Response of Soil Water Storage to Tillage and Mulching Practices
3.2. Variation in Different Traits Related to Growth, Production, and Water Use Efficiency under Tillage and Mulching Practices
3.3. Evaluation of Tillage and Mulching Practices under LM Regime Using Yield Response Factor
3.4. Evaluation of the Relationships between PDW, GY, IWUE, WP, and ET
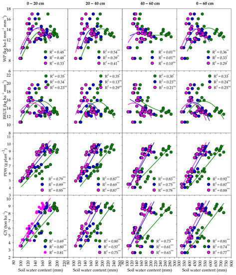
3.5. Relationship of SWS with PDW, GY, IWUE, and WP
4. Discussion
4.1. Effects of Tillage and Mulching Practices on SWS
4.2. Effects of Tillage and Mulching Practices on Different Wheat Traits
4.3. Optimal Combinations between Tillage and Mulching Practices for Enhanced Growth, Production, and WP under DI Conditions
5. Conclusions
Author Contributions
Funding
Institutional Review Board Statement
Informed Consent Statement
Data Availability Statement
Acknowledgments
Conflicts of Interest
References
- Wei, T.; Dong, Z.; Zhang, C.; Ali, S.; Chen, X.; Han, Q.; Zhang, F.; Jia, Z.; Zhang, P.; Ren, X. Effects of rainwater harvesting planting combined with deficiency irrigation on soil water use efficiency and winter wheat (Triticum aestivum L.) yield in a semiarid area. Field Crops Res. 2018, 218, 231–242. [Google Scholar] [CrossRef]
- El-Hendawy, S.E.; Al-Suhaibani, N.; Elsayed, S.; Refay, Y.; Alotaibi, M.; Dewir, Y.H.; Hassan, W.; Schmidhalter, U. Combining biophysical parameters, spectral indices and multivariate hyperspectral models for estimating yield and water productivity of spring wheat across different agronomic practices. PLoS ONE 2019, 14, e0212294. [Google Scholar]
- Akhtar, K.; Wang, W.; Khan, A.; Ren, G.; Afridi, M.Z.; Feng, Y.; Yang, G. Wheat straw mulching offset soil moisture deficient for improving physiological and growth performance of summer-sown soybean. Agric. Water Manag. 2019, 211, 16–25. [Google Scholar] [CrossRef]
- Abdallah, A.M.; Jat, H.S.; Choudhary, M.; Abdelaty, E.F.; Sharma, P.C.; Jat, M.L. Conservation agriculture effects on soil water holding capacity and water-saving varied with management practices and agroecological conditions: A Review. Agronomy 2021, 11, 1681. [Google Scholar] [CrossRef]
- Dai, Z.; Hu, J.; Fan, J.; Fu, W.; Hao, M. No-tillage with mulching improves maize yield in dryland farming through regulating soil temperature, water and nitrate-N. Agric. Ecosyst. Environ. 2021, 309, 107288. [Google Scholar] [CrossRef]
- Ding, J.; Wu, J.; Ding, D.; Yang, Y.; Gao, C.; Hu, W. Effects of tillage and straw mulching on the crop productivity and hydrothermal resource utilization in a winter wheat-summer maize rotation system. Agric. Water Manag. 2021, 254, 106933. [Google Scholar] [CrossRef]
- Yin, W.; Chai, Q.; Guo, Y.; Fan, H.; Fan, Z.; Hu, F.; Zhao, C.; Yu, A.; Coulter, J.A. No tillage with plastic re-mulching maintains high maize productivity via regulating hydrothermal effects in an arid region. Front. Plant Sci. 2021, 12, 649684. [Google Scholar] [CrossRef] [PubMed]
- Kader, M.A.; Singha, A.; Begum, M.A.; Jewel, A.; Khan, F.H.; Khan, N.I. Mulching as water-saving technique in dryland agriculture: Review article. Bull. Natl. Res. Cent. 2019, 43, 147. [Google Scholar] [CrossRef]
- Shen, Q.; Ding, R.; Du, T.; Tong, L.; Li, S. Water use effectiveness is enhanced using film mulch through increasing transpiration and decreasing evapotranspiration. Water 2019, 11, 1153. [Google Scholar] [CrossRef]
- Mak-Mensah, E.; Obour, P.B.; Essel, E.; Wang, Q.; Ahiakpa, J.K. Influence of plastic film mulch with biochar application on crop yield, evapotranspiration, and water use efficiency in northern China: A meta-analysis. PeerJ 2021, 9, e10967. [Google Scholar] [CrossRef]
- Mirzaei, M.; Gorji Anari, M.; Razavy-Toosi, E.; Asadi, H.; Moghiseh, E.; Saronjic, N.; Rodrigo-Comino, J. Preliminary Effects of crop residue management on soil quality and crop production under different soil management regimes in corn-wheat rotation systems. Agronomy 2021, 11, 302. [Google Scholar] [CrossRef]
- Akhtar, K.; Wang, W.; Khan, A.; Ren, G.; Afridi, M.Z.; Feng, Y.; Yang, G. Wheat straw mulching with fertilizer nitrogen: An approach for improving soil water storage and maize crop productivity. Plant Soil Environ. 2018, 64, 330–337. [Google Scholar]
- Zhang, R.; Lei, T.; Wang, Y.; Xu, J.; Zhang, P.; Han, Y.; Hu, C.; Yang, X.; Sadras, V.; Zhang, S. Responses of yield and water use efficiency to the interaction between water supply and plastic film mulch in winter wheat-summer fallow system. Agric. Water Manag. 2022, 266, 107545. [Google Scholar] [CrossRef]
- Zhang, X.; Kamran, M.; Xue, X.; Zhao, J.; Cai, T.; Jia, Z.; Zhang, P.; Han, Q. Ridge-furrow mulching system drives the efficient utilization of key production resources and the improvement of maize productivity in the Loess Plateau of China. Soil Tillage Res. 2019, 190, 10–21. [Google Scholar] [CrossRef]
- Liu, Y.; Zhang, X.; Xi, L.; Liao, Y.; Han, J. Ridge-furrow planting promotes wheat grain yield and water productivity in the irrigated sub-humid region of China. Agric. Water Manag. 2020, 231, 105935. [Google Scholar] [CrossRef]
- El-Hendawy, S.; Alsamin, B.; Mohammed, N.; Al-Suhaibani, N.; Refay, Y.; Alotaibi, M.; Tola, E.; Mattar, M.A. Combining planting patterns with mulching bolsters the soil water content, growth, yield, and water use efficiency of spring wheat under limited water supply in arid regions. Agronomy 2022, 12, 1298. [Google Scholar] [CrossRef]
- Nepolean, T.; Kaul, J.; Mukri, G.; Mittal, S. Genomics-enabled next-generation breeding approaches for developing system-specific drought tolerant hybrids in maize. Front. Plant Sci. 2018, 9, 361. [Google Scholar] [CrossRef]
- Hokam, E.M.; El-Hendawy, S.E.; Schmidhalter, U. Drip irrigation frequency: The effects and their interaction with nitrogen fertilization on maize growth and nitrogen use efficiency under arid conditions. J. Agron. Crop Sci. 2011, 197, 186–201. [Google Scholar] [CrossRef]
- Ma, S.; Tong, L.; Kang, S.; Wang, S.; Wu, X.; Cheng, X.; Li, Q. Optimal coupling combinations between dripper discharge and irrigation interval of maize for seed production under plastic film-mulched drip irrigation in an arid region. Irrig. Sci. 2022, 40, 131–133. [Google Scholar] [CrossRef]
- Mphande, W.; Kettlewell, P.S.; Grove, I.G.; Farrell, A.D. The potential of antitranspirants in drought management of arable crops: A review. Agric. Water Manag. 2020, 236, 106143. [Google Scholar] [CrossRef]
- Tayyab, N.; Naz, R.; Yasmin, H.; Nosheen, A.; Keyani, R.; Sajjad, M.; Hassan, M.N.; Roberts, T.H. Combined seed and foliar pre-treatments with exogenous methyl jasmonate and salicylic acid mitigate drought induced stress in maize. PLoS ONE 2020, 15, e0232269. [Google Scholar] [CrossRef] [PubMed]
- Ghosh, U.K.; Islam, M.N.; Siddiqui, M.N.; Khan, M.A.R. Understanding the roles of osmolytes for acclimatizing plants to changing environment: A review of potential mechanism. Plant Signal. Behav. 2021, 16, e1913306. [Google Scholar] [CrossRef] [PubMed]
- Fahad, S.; Bajwa, A.A.; Nazir, U.; Anjum, S.A.; Farooq, A.; Zohaib, A.; Sadia, S.; Nasim, W.; Adkins, S.; Saud, S.; et al. Crop production under drought and heat stress: Plant responses and management options. Front. Plant Sci. 2017, 8, 1147. [Google Scholar] [CrossRef] [PubMed]
- Liu, G.; Liu, Y.; Hafeez, M.; Xu, D.; Vote, C. Comparison of two methods to derive time series of actual evapotranspiration using eddy covariance measurements in the southeastern Australia. J. Hydrol. 2012, 6, 454–455. [Google Scholar] [CrossRef]
- Wang, J.; Zhang, Y.; Gong, S.; Xu, D.; Juan, S.; Zhao, Y. Evapotranspiration, crop coefficient and yield for drip-irrigated winter wheat with straw mulching in North China Plain. Field Crops Res. 2018, 217, 218–228. [Google Scholar] [CrossRef]
- Yang, J.; Mao, X.; Wang, K.; Yang, W. The coupled impact of plastic film mulching and deficit irrigation on soil water/heat transfer and water use efficiency of spring wheat in Northwest China. Agric. Water Manag. 2018, 201, 232–245. [Google Scholar] [CrossRef]
- Rana, G.; Katerji, N. Measurement and estimation of actual evapotranspiration in the field under Mediterranean climate: A review. Eur. J. Agron. 2000, 13, 125–153. [Google Scholar] [CrossRef]
- Chen, S.; Zhang, X.; Sun, H.; Ren, T.; Wang, Y. Effects of winter wheat row spacing on evapotranpsiration, grain yield and water use efficiency. Agric. Water Manag. 2010, 97, 1126–1132. [Google Scholar] [CrossRef]
- Ma, D.; Chen, L.; Qu, H.; Wang, Y.; Misselbrook, T.; Jiang, R. Impacts of plastic film mulching on crop yields, soil water, nitrate, and organic carbon in Northwestern China: A meta-analysis. Agric. Water Manag. 2018, 202, 166–173. [Google Scholar] [CrossRef]
- Wang, X.; Wang, N.; Xing, Y.; Yun, J.; Zhang, H. Effects of plastic mulching and basal nitrogen application depth on nitrogen use efficiency and yield in maize. Front. Plant Sci. 2018, 9, 1446. [Google Scholar] [CrossRef]
- Gao, H.; Yan, C.; Liu, Q.; Li, Z.; Yang, X.; Qi, R. Exploring optimal soil mulching to enhance yield and water use efficiency in maize cropping in China: A meta-analysis. Agric. Water Manag. 2019, 255, 105741. [Google Scholar] [CrossRef]
- Wang, L.; Coulter, J.A.; Palta, J.A.; Xie, J.; Luo, Z.; Li, L.; Carberry, P.; Li, Q.; Deng, X. Mulching-induced changes in tuber yield and nitrogen use efficiency in potato in China: A meta-analysis. Agronomy 2019, 9, 793. [Google Scholar] [CrossRef]
- Prem, P.; Ranjan, P.; Seth, N.; Patle, G.T. Mulching techniques to conserve the soil water and advance the crop production—A Review. Curr. World Environ. 2020, 15, 10–30. [Google Scholar]
- Sun, D.; Li, H.; Wang, E.; He, W.; Hao, W.; Yan, C.; Li, Y.; Xurong Mei, X.; Zhang, Y.; Sun, Z.; et al. An overview of the use of plastic-film mulching in China to increase crop yield and water-use efficiency. Natl. Sci. Rev. 2020, 7, 1523–1526. [Google Scholar] [CrossRef]
- Zhou, L.M.; Li, F.M.; Jin, S.L.; Song, Y.J. How two ridges and the furrow mulched with plastic film affect soil water, soil temperature and yield of maize on the semiarid Loess Plateau of China. Field Crops Res. 2009, 113, 41–47. [Google Scholar] [CrossRef]
- Liu, E.; He, W.; Yan, C. ‘White revolution’ to ‘white pollution’—Agricultural plastic film mulch in China. Environ. Res. Lett. 2014, 9, 091001. [Google Scholar] [CrossRef]
- Yan, C.; Liu, E.; Shu, F.; Liu, Q.; Liu, S.; He, W. Review of agricultural plastic mulching and its residual pollution and prevention measures in China. J. Agric. Resour. Environ. 2014, 31, 95–102. [Google Scholar]
- Hou, X.Y.; Wang, F.X.; Han, J.J.; Kang, S.Z.; Feng, S.Y. Duration of plastic mulch for potato growth under drip irrigation in an arid region of Northwest China. For. Meteorol. 2010, 150, 115–121. [Google Scholar] [CrossRef]
- Dong, Q.; Yang, Y.; Yu, K.; Feng, H. Effects of straw mulching and plastic film mulching on improving soil organic carbon and nitrogen fractions, crop yield and water use efficiency in the Loess Plateau, China. Agric. Water Manag. 2018, 201, 133–143. [Google Scholar] [CrossRef]
- Akhtar, K.; Wang, W.; Ren, G.; Khan, A.; Nie, E.; Khan, A.; Feng, Y.; Yang, G.; Wang, H. Straw mulching with inorganic nitrogen fertilizer reduces soil CO2 and N2O emissions and improves wheat yield. Sci. Total Environ. 2020, 741, 140488. [Google Scholar] [CrossRef]
- Kong, D.; Liu, N.; Wang, W.; Akhtar, K.; Li, N.; Ren, G.; Feng, Y.; Yang, G. Soil respiration from fields under three crop rotation treatments and three straw retention treatments. PLoS ONE 2019, 14, e0219253. [Google Scholar]
- Wang, W.; Akhtar, K.; Ren, G.; Yang, G.; Feng, Y.; Yuan, L. Impact of straw management on seasonal soil carbon dioxide emissions, soil water content, and temperature in a semi-arid region of China. Sci. Total Environ. 2019, 652, 471–482. [Google Scholar] [CrossRef] [PubMed]
- Akhtar, K.; Wang, W.; Ren, G.; Khan, A.; Feng, Y.; Yang, G.; Wang, H. Integrated use of straw mulch with nitrogen fertilizer improves soil functionality and soybean production. Environ. Int. 2019, 132, 105092. [Google Scholar] [CrossRef]
- Bhattacharyya, P.; Barman, D. Crop residue management and greenhouse gases emissions in tropical rice lands. In Soil Management and Climate Change; Elsevier: Amsterdam, The Netherlands, 2018; pp. 323–335. [Google Scholar]
- Faiad, A.; Alsmari, M.; Ahmed, M.M.Z.; Bouazizi, M.L.; Alzahrani, B.; Alrobei, H. Date palm tree waste recycling: Treatment and processing for potential engineering applications. Sustainability 2022, 14, 1134. [Google Scholar] [CrossRef]
- Chatterjee, S.; Bandyopadhyay, K.K.; Pradhan, S.; Singh, R.; Datta, S.P. Effects of irrigation, crop residue mulch and nitrogen management in maize (Zea mays L.) on soil carbon pools in a sandy loam soil of indo-gangetic plain region. Catena 2018, 165, 207–216. [Google Scholar] [CrossRef]
- Das, T.K.; Sahrawat, Y.S.; Bhattacharyya, R.; Sudhishri, S.; Bandyopadhyay, K.K.; Sharma, A.R.; Jat, M.L. Conservation agriculture effects on crop and water productivity, profitability and soil organic carbon accumulation under a maize-wheat cropping system in the North-western Indo-Gangetic Plains. Field Crop Res. 2018, 215, 222–231. [Google Scholar] [CrossRef]
- Sarkar, S.; Skalicky, M.; Hossain, A.; Brestic, M.; Saha, S.; Garai, S.; Ray, K.; Brahmachari, K. Management of crop residues for improving input use efficiency and agricultural sustainability. Sustainability 2020, 12, 9808. [Google Scholar] [CrossRef]
- Schoenaul, J.J.; Campbell, C.A. Impact of crop residues on nutrient availability in conservation tillage systems. Can. J. Plant Sci. 1996, 76, 621–626. [Google Scholar] [CrossRef]
- Adimassu, Z.; Alemu, G.; Tamene, L. Effects of tillage and crop residue management on runoff, soil loss and crop yield in the humid highlands of ethiopia. Agric. Syst. 2019, 168, 11–18. [Google Scholar] [CrossRef]
- Moradi, A.; Teh, C.B.S.; Goh, K.J.; Husni, M.H.A.; Ishak, C.F. Decomposition and nutrient release temporal pattern of oil palm residues. Ann. Appl. Biol. 2014, 164, 208–219. [Google Scholar] [CrossRef]
- Raes, D.; Steduto, P.; Hsiao, T.C.; Fereres, E. Aquacrop-The FAO crop model to simulate yield response to water: II. Main algorithms and software description. Agron. J. 2009, 101, 438–447. [Google Scholar] [CrossRef]
- Zhang, P.; Wei, T.; Wang, H.; Wang, M.; Meng, X.; Mou, S.; Zhang, R.; Jia, Z.; Han, Q. Effects of straw mulch on soil water and winter wheat production in dryland farming. Sci. Rep. 2015, 5, 10725. [Google Scholar]
- Yang, H.; Wu, G.; Mo, P.; Chen, S.; Wang, S.; Xiao, Y.; Ma, H.A.; Wen, T.; Guo, X.; Fan, G. The combined effects of maize straw mulch and no-tillage on grain yield and water and nitrogen use efficiency of dry-land winter wheat (Triticum aestivum L.). Soil Tillage Res. 2020, 197, 104485. [Google Scholar] [CrossRef]
- Li, S.X.; Wang, Z.H.; Li, S.Q.; Gao, Y.J.; Tian, X.H. Effect of plastic sheet mulch, wheat straw mulch, and maize growth on water loss by evaporation in dryland areas of China. Agric. Water Manag. 2013, 116, 39–49. [Google Scholar] [CrossRef]
- Zhao, H.; Liu, J.; Chen, X.; Wang, Z. Straw mulch as an alternative to plastic film mulch: Positive evidence from dryland wheat production on the Loess Plateau. Sci. Total Environ. 2019, 676, 782–791. [Google Scholar] [CrossRef]
- Chen, S.; Zhang, X.; Sun, H.; Shao, L. Cause and mechanism of winter wheat yield reduction under straw mulch in the North China Plain. Chin. J. Eco-Agric. 2013, 21, 519–525. [Google Scholar] [CrossRef]
- Lafond, G.P.; Stumborg, M.; Lemke, R.; May, W.E.; Holzapfel, C.B.; Campbell, C.A. Quantifying straw removal through baling and measuring the long-term impact on soil quality and wheat production. Agron. J. 2009, 101, 529–537. [Google Scholar] [CrossRef]
- Liu, J.; Liu, L.; Fu, Q.; Zhang, L.; Xu, Q. Effects of straw mulching and tillage measures on the photosynthetic characteristics of maize leaves. Trans. ASABE 2019, 62, 851–858. [Google Scholar] [CrossRef]
- Peng, Z.; Wang, L.; Xie, J.; Li, L.; Coulter, J.A.; Zhang, R.; Luo, Z.; Kholova, J.; Choudhary, S. Conservation tillage increases water use efficiency of spring wheat by optimizing water transfer in a semi-arid environment. Agronomy 2019, 9, 583. [Google Scholar] [CrossRef]
- Guo, Y.; Yin, W.; Chai, Q.; Yu, A.; Zhao, C.; Fan, Z.; Fan, H.; Coulter, J.A. No tillage and previous residual plastic mulching with reduced water and nitrogen supply reduces soil carbon emission and enhances productivity of following wheat in arid irrigation areas. Field Crops Res. 2021, 262, 108028. [Google Scholar] [CrossRef]
- Su, Z.; Zhang, J.; Wu, W.; Cai, D.; Lv, J.; Jiang, G.; Huang, J.; Gao, J.; Hartmann, R.; Gabriels, D. Effects of conservation tillage practices on winter wheat water-use efficiency and crop yield on the Loess Plateau, China. Agric. Water Manag. 2007, 87, 307–314. [Google Scholar] [CrossRef]
- Zhao, X.; Liu, S.; Pu, C.; Zhang, X.; Xue, J.; Ren, Y.; Zhao, X.; Chen, F.; Lal, R.; Zhang, H. Crop yields under no-till farming in China: A meta-analysis. Eur. J. Agron. 2017, 84, 67–75. [Google Scholar] [CrossRef]
- Xiao, L.G.; Zhao, R.Q.; Kuhn, N.J. Straw mulching is more important than no tillage in yield improvement on the Chinese Loess Plateau. Soil Tillage Res. 2019, 194, 104314. [Google Scholar] [CrossRef]
- Allen, R.; Pereira, L.; Raes, D.; Smith, M. Crop Evapotranspiration. Guidelines for Computing Crop Water Requirements; Irrigation and Drainage Paper no. 56; FAO: Rome, Italy, 1998; 300p. [Google Scholar]
- Doorenbos, J.; Kassam, A. Yield Response to Water; Irrigation and Drainage Paper no. 33; FAO: Rome, Italy, 1979. [Google Scholar]
- Zhang, Q.P.; Wang, Z.N.; Miao, F.H.; Wang, G.L. Dryland maize yield and water use efficiency responses to mulching and tillage practices. Agron. J. 2017, 109, 1196–1209. [Google Scholar] [CrossRef]
- Muñoz, K.; Buchmann, C.; Meyer, M.; Schmidt-Heydt, M.; Steinmetz, Z.; Diehl, D.; Thiele-Bruhn, S.; Schaumann, G.E. Physicochemical and microbial soil quality indicators as affected by the agricultural management system in strawberry cultivation using straw or black polyethylene mulching. Appl. Soil Ecol. 2017, 113, 36–44. [Google Scholar] [CrossRef]
- Mondal, M.; Garai, S.; Banerjee, H.; Sarkar, S.; Kundu, R. Mulching and nitrogen management in peanut cultivation: An evaluation of productivity, energy trade-off, carbon footprint and profitability. Energy Ecol. Environ. 2021, 6, 133–147. [Google Scholar] [CrossRef]
- Daryanto, S.; Wang, L.X.; Jacinthe, P.A. Impacts of no-tillage management on nitrate loss from corn, soybean, and wheat cultivation: A meta-analysis. Sci. Rep. 2017, 7, 12117. [Google Scholar] [CrossRef]
- Liu, S.; Li, J.; Zhang, X. Simulations of soil water and heat processes for no tillage and conventional tillage systems in mollisols of China. Land 2022, 11, 417. [Google Scholar] [CrossRef]
- Wu, Y.; Huang, F.Y.; Zhang, C.; Jia, Z.K. Effects of different mulching patterns on soil moisture, temperature, and maize yield in a semi-arid region of the Loess Plateau, China. Arid Land Res. Manag. 2016, 30, 490–504. [Google Scholar] [CrossRef]
- Yin, W.; Fan, Z.; Hu, F.; Yu, A.; Zhao, C.; Qiang Chai, Q.; Coulter, J.A. Innovation in alternate mulch with straw and plastic management bolsters yield and water use efficiency in wheat-maize intercropping in arid conditions. Sci. Rep. 2019, 9, 6364. [Google Scholar] [CrossRef]
- Ibrahim, M.; Khan, A.; Anjum Ali, W.; Akbar, H. Mulching techniques: An approach for offsetting soil moisture deficit and enhancing manure mineralization during maize cultivation. Soil Tillage Res. 2020, 200, 104631. [Google Scholar] [CrossRef]
- Lan, X.; Chai, S.; Coulter, J.A.; Cheng, H.; Chang, L.; Huang, C.; Li, R.; Chai, Y.; Li, Y.; Ma, J.; et al. Maize straw strip mulching as a replacement for plastic film mulching in maize production in a semiarid region. Sustainability 2020, 12, 6273. [Google Scholar] [CrossRef]
- El-Hendawy, S.E.; Abd El-Lattief, E.A.; Ahmed, A.S.; Schmidhalter, U. Irrigation rate and plant density effects on yield and water use efficiency of drip-irrigated corn. Agric. Water Manag. 2008, 95, 836–844. [Google Scholar] [CrossRef]
- Soundharajan, B.; Sudheer, K.P. Deficit irrigation management for rice using crop growth simulation model in an optimization framework. Paddy Water Environ. 2009, 7, 135–149. [Google Scholar] [CrossRef]
- M’hamed, H.C.; Rezig, M.; Mbarek, B.N. Water use efficiency of durum wheat (Triticum durum Desf) under deficit irrigation. J. Agric. Sci. 2015, 7, 238–249. [Google Scholar]
- Salem, H.M.; Valero, C.; Muñoz, M.Á.; Rodríguez, M.G.; Silva, L.L. Short-term effects of four tillage practices on soil physical properties, soil water potential, and maize yield. Geoderma 2015, 237, 60–70. [Google Scholar] [CrossRef]
- Jug, D.; Đurđević, B.; Birkás, M.; Brozović, B.; Lipiec, J.; Vukadinović, V.; Jug, I. Effect of conservation tillage on crop productivity and nitrogen use efficiency. Soil Tillage Res. 2019, 194, 104327. [Google Scholar] [CrossRef]
- Saurabh, K.; Rao, K.K.; Mishra, J.S.; Kumar, R.; Poonia, S.P.; Samal, S.K.; Roy, H.S.; Dubey, A.K.; Choubey, A.K.; Mondal, S.; et al. Influence of tillage based crop establishment and residue management practices on soil quality indices and yield sustainability in rice-wheat cropping system of Eastern Indo-Gangetic Plains. Soil Tillage Res. 2021, 206, 104841. [Google Scholar] [CrossRef]
- Ghosh, P.K.; Dayal, D.; Bandyopadhyay, K.K.; Mohanty, M. Evaluation of straw and polythene mulch for enhancing productivity of irrigated summer groundnut. Field Crops Res. 2006, 99, 76–86. [Google Scholar] [CrossRef]
- Qin, W.; Hu, C.; Oenema, O. Soil mulching significantly enhances yields and water and nitrogen use efficiencies of maize and wheat: A meta-analysis. Sci. Rep. 2015, 5, 16210. [Google Scholar] [CrossRef]
- Yin, W.; Chai, Q.; Guo, Y.; Fan, Z.; Hu, F.; Fan, H.; Zhao, C.; Yu, A.; Coulter, J.A. Straw and plastic management regulate air-soil temperature amplitude and wetting-drying alternation in soil to promote intercrop productivity in arid regions. Field Crops Res. 2020, 249, 107758. [Google Scholar] [CrossRef]
- Xie, J.; Wang, L.; Li, L.; Anwar, S.; Luo, Z.; Zechariah, E.; Kwami Fudjoe, S. Yield, economic benefit, soil water balance, and water use efficiency of intercropped maize/potato in responses to mulching practices on the semiarid loess plateau. Agriculture 2021, 11, 1100. [Google Scholar] [CrossRef]
- Guan, X.K.; Wei, L.; Turner, N.C.; Ma, S.C.; Yang, M.D.; Wang, T.C. Improved straw management practices promote in situ straw decomposition and nutrient release, and increase crop production. J. Clean. Prod. 2020, 250, 119514. [Google Scholar] [CrossRef]
- Qin, X.; Huang, T.; Lu, C.; Dang, P.; Zhang, M.; Guan, X.K.; Wen, P.F.; Wang, T.C.; Chen, Y.; Siddique, K.H.M. Benefits and limitations of straw mulching and incorporation on maize yield, water use efficiency, and nitrogen use efficiency. Agric. Water Manag. 2021, 256, 107128. [Google Scholar] [CrossRef]
- Torma, S.; Vilček, J.; Lošák, T.; Kužel, S.; Martensson, A. Residual plant nutrients in crop residues—An important resource. Acta Agric. Scand. 2018, 68, 358–366. [Google Scholar] [CrossRef]
- Lovelli, S.; Perniola, M.; Ferrara, A.; di Tommaso, T. Yield response factor to water (Ky) and water use efficiency of Carthamus tinctorius L. and Solanum melongena L. Agric. Water Manag. 2007, 92, 73–80. [Google Scholar] [CrossRef]
- Steduto, P.; Hsiao, T.C.; Fereres, E.; Raes, D. Crop Yield Response to Water; FAO Irrigation and Drainage Paper 66; Food and Agriculture Organization of the United Nations: Rome, Italy, 2012; p. 503. [Google Scholar]
- Liu, W.Z.; Hunsaker, D.J.; Li, Y.S.; Xie, X.Q.; Wall, G.W. Interrelations of yield, evapotranspiration, and water use efficiency from marginal analysis of water production functions. Agric. Water Manag. 2002, 56, 143–151. [Google Scholar] [CrossRef]
- El-Hendawy, S.E.; Schmidhalter, U. Optimal coupling combinations between irrigation frequency and rate for drip-irrigated maize grown on sandy soil. Agric. Water Manag. 2010, 97, 439–448. [Google Scholar] [CrossRef]
- Greaves, G.E.; Wang, Y.M. Yield response, water productivity, and seasonal water production functions for maize under deficit irrigation water management in southern Taiwan. Plant Prod. Sci. 2017, 20, 353–365. [Google Scholar] [CrossRef]
- Wang, L.; Shangguan, Z. Water–use efficiency of dryland wheat in response to mulching and tillage practices on the Loess Plateau. Sci. Rep. 2015, 5, 12225. [Google Scholar] [CrossRef]
- Li, Q.; Li, H.; Zhang, S. Yield and water use efficiency of dryland potato in response to plastic film mulching on the Loess Plateau. Acta Agric. Scand. Sect. B Soil Plant Sci. 2018, 68, 175–188. [Google Scholar]
- Huang, M.; Gallichand, J.; Zhong, L. Water-yield relationships and optimal water management for winter wheat in the Loess Plateau of China. Irrig. Sci. 2004, 23, 47–54. [Google Scholar] [CrossRef]










| Months | Temperature (°C) | Precipitation (mm) | Relative Humidity (%) | |||||||
|---|---|---|---|---|---|---|---|---|---|---|
| Minimum | Maximum | Average | ||||||||
| S1 | S2 | S1 | S2 | S1 | S2 | S1 | S2 | S1 | S2 | |
| December | 10.40 | 9.83 | 23.94 | 23.07 | 17.17 | 16.45 | 0.37 | 1.14 | 44.32 | 48.17 |
| January | 6.97 | 8.31 | 21.27 | 22.34 | 14.12 | 15.32 | 1.44 | 3.66 | 38.97 | 41.96 |
| February | 10.02 | 10.08 | 25.75 | 24.14 | 17.88 | 17.11 | 0.00 | 1.47 | 27.84 | 40.59 |
| March | 13.42 | 14.95 | 29.37 | 32.30 | 21.40 | 23.63 | 0.02 | 0.32 | 24.65 | 20.23 |
| April | 19.50 | 19.95 | 34.06 | 35.52 | 26.78 | 27.74 | 6.25 | 1.72 | 32.16 | 16.65 |
| Source | df | GLA | PDW | RWC | GNPS | TGW |
| 2019–2020 | ||||||
| Tillage (T) | 1 | 6.18 ns | 0.531 ns | 3.69 ns | 25.62 * | 2.78 ns |
| Irrigation (I) | 1 | 635.45 *** | 6933.9 *** | 5249.7 *** | 369.8 *** | 2917.7 *** |
| I × T | 1 | 26.71 ** | 118.96 *** | 523.73 *** | 27.27 ** | 282.44 * |
| Mulch (M) | 4 | 23.40 *** | 16.33 *** | 13.65 *** | 24.67 *** | 47.86 *** |
| M × T | 4 | 0.444 ns | 0.350 ns | 0.190 ns | 0.693 ns | 0.318 ns |
| M × I | 4 | 9.17 *** | 4.72 ** | 5.81 ** | 10.62 *** | 0.563 ** |
| M × I × T | 4 | 0.853 ns | 0.252 ns | 0.263 ns | 0.170 ns | 0.718 ns |
| 2020–2021 | ||||||
| Tillage (T) | 1 | 15.19 ns | 7.66 ns | 12.89 ns | 22.88 * | 3.06 ns |
| Irrigation (I) | 1 | 454.27 *** | 901.1 *** | 356.85 *** | 298.34 *** | 2589.9 *** |
| I × T | 1 | 9.45 * | 23.84 ** | 37.71 ** | 30.68 ** | 236.35 *** |
| Mulch (M) | 4 | 27.48 *** | 24.94 *** | 10.48 *** | 20.52 *** | 18.17 *** |
| M × T | 4 | 1.43 ns | 0.607 ns | 0.399 ns | 0.099 ns | 0.977 ns |
| M × I | 4 | 10.66 *** | 10.76 *** | 4.25 ** | 6.10 *** | 2.93 * |
| M × I × T | 4 | 0.470 ns | 0.183 ns | 0.368 ns | 0.50 ns | 0.464 ns |
| Source | df | GY | BY | HI | IWUE | WP |
| 2019–2020 | ||||||
| Tillage (T) | 1 | 69.28 * | 48.44 * | 0.006 ns | 228.46 ** | 233.02 ** |
| Irrigation (I) | 1 | 911.25 *** | 1211.7 *** | 23.21ns | 124.93 *** | 3.61 ns |
| I × T | 1 | 9.51 * | 12.01 * | 0.248 ns | 26.05 ** | 31.60 ** |
| Mulch (M) | 4 | 28.48 *** | 23.27 *** | 5.06 ** | 33.54 *** | 39.85 *** |
| M × T | 4 | 0.204 ns | 0.186 ns | 0.440 ns | 0.192 ns | 0.384 ns |
| M × I | 4 | 3.45 * | 0.828 *** | 9.65 *** | 12.49 *** | 14.67 *** |
| M × I × T | 4 | 0.070 ns | 0.511 ns | 0.608 ns | 0.080 ns | 0.396 ns |
| 2020–2021 | ||||||
| Tillage (T) | 1 | 50.24 * | 1113.26 *** | 3.82 ns | 87.03 * | 76.67 * |
| Irrigation (I) | 1 | 2947.8 *** | 1854.3 *** | 1.31 ns | 368.6 *** | 0.770 ns |
| I × T | 1 | 25.11 ** | 12.34 * | 2.32 ns | 110.68 *** | 84.60 *** |
| Mulch (M) | 4 | 34.74 *** | 19.35 *** | 16.66 *** | 47.01 *** | 50.39 *** |
| M × T | 4 | 0.375 ns | 0.080 ns | 0.386 ns | 0.303 ns | 0.504 ns |
| M × I | 4 | 5.25 ** | 4.61 ** | 21.68 *** | 19.01 *** | 19.32 *** |
| M × I × T | 4 | 0.181 ns | 0.322 ns | 0.122 ns | 0.118 ns | 0.411 ns |
| Treatments | GLA | PDW | RWC | GNPS | TGW | GY | BY | HI | IWUE | WP |
|---|---|---|---|---|---|---|---|---|---|---|
| 2019/2020 | ||||||||||
| NM | 146.9 c | 6.92 c | 78.15 c | 38.57 d | 40.83 d | 6.15 d | 18.73 c | 32.72 b | 12.23 d | 10.90 d |
| PFM | 173.7 ab | 8.07 a | 83.57 a | 43.52 c | 42.73 c | 6.89 c | 20.47 b | 33.19 b | 14.04 c | 13.37 c |
| WSM | 168.4 b | 7.64 b | 80.55 b | 45.16 c | 44.64 b | 7.28 b | 20.65 b | 35.70 a | 15.05 b | 13.67 bc |
| PRM | 182.7 a | 8.19 a | 81.96 b | 50.04 a | 47.84 a | 7.69 a | 22.04a | 35.39 a | 16.06 a | 14.67 a |
| MM | 169.9 b | 8.00 ab | 81.57 b | 47.05 b | 46.49 ab | 7.44 ab | 21.57a | 34.97 a | 15.44 ab | 14.04 ab |
| FL | 205.4 a | 9.27 a | 88.50 a | 50.92 a | 52.80 a | 8.84 a | 26.08a | 33.96 a | 13.20 b | 13.12 a |
| LM | 131.2 b | 6.25 b | 73.82 b | 38.81 b | 36.21 b | 5.34 b | 15.30b | 34.82 a | 15.92 a | 13.54 a |
| CT | 163.2 a | 7.73 a | 80.54 a | 43.62 b | 43.90 a | 6.79 b | 19.85b | 34.39 a | 13.76 b | 12.52 b |
| RT | 173.4 a | 7.80 a | 81.78 a | 46.11 a | 45.11 a | 7.39 a | 21.53a | 34.40 a | 15.36 a | 14.14 a |
| 2020/2021 | ||||||||||
| NM | 140.6 d | 6.90 c | 75.10 c | 38.81 d | 38.56 d | 5.97 d | 18.02 c | 32.56 b | 11.78 d | 10.67 c |
| PFM | 168.1 ab | 7.94 a | 81.28 a | 43.32 c | 40.46 c | 6.46 c | 19.79 b | 32.03 b | 13.05 c | 12.52 b |
| WSM | 156.5 c | 7.51 b | 78.14 b | 45.60 bc | 42.37 b | 6.84 b | 19.71 b | 34.86 a | 14.05 b | 12.91 b |
| PRM | 172.7 a | 8.13 a | 79.85 ab | 48.89 a | 45.57 a | 7.53 a | 21.09 a | 36.15 a | 15.68 a | 14.50 a |
| MM | 163.2 bc | 7.90 a | 79.23 ab | 46.19 b | 44.22 ab | 7.28 a | 20.44 ab | 35.97 a | 15.15 a | 13.91 a |
| FL | 195.0 a | 9.20 a | 86.21 a | 50.48 a | 50.05 a | 8.58 a | 24.87 a | 34.50 a | 12.80 b | 12.85 a |
| LM | 125.4 b | 6.15 b | 71.23 b | 38.65 b | 34.42 b | 5.05 b | 14.75 b | 34.13 a | 15.09 a | 12.95 a |
| CT | 157.2 a | 7.58 a | 78.05 a | 43.10 b | 41.60 a | 6.46 b | 19.00 b | 33.86 a | 13.03 b | 12.10 b |
| RT | 163.2 a | 7.77 a | 79.40 a | 46.03 a | 42.88 a | 7.17 a | 20.61 a | 34.77 a | 14.85 a | 13.70 a |
| Tillage | Mulching | KyPDW | KyGY | ||
|---|---|---|---|---|---|
| 2019–2020 | 2020–2021 | 2019–2020 | 2020–2021 | ||
| CT | NM | 1.37 | 1.34 | 1.68 | 1.69 |
| PFM | 0.65 | 0.74 | 1.13 | 1.30 | |
| WSM | 1.09 | 1.06 | 1.17 | 1.23 | |
| PRM | 0.89 | 0.89 | 0.99 | 0.99 | |
| MM | 0.99 | 0.98 | 1.09 | 1.06 | |
| RT | NM | 1.22 | 1.24 | 1.39 | 1.45 |
| PFM | 0.63 | 0.57 | 0.90 | 0.99 | |
| WSM | 0.82 | 0.93 | 0.83 | 0.95 | |
| PRM | 0.72 | 0.70 | 0.68 | 0.74 | |
| MM | 0.77 | 0.73 | 0.78 | 0.81 | |
| Days after Sowing | Soil Depths | Equation | Equation | ||
| An Increase in PDW and GY for each 10 mm Increase in SWS | |||||
| PDW | g plant−1 | GY | ton ha−1 | ||
| 64 | 0–20 | Y = 0.053x − 1.28 | 0.53 | Y = 0.058x − 2.82 | 0.58 |
| 20–40 | Y = 0.049x − 1.86 | 0.49 | Y = 0.055x − 3.72 | 0.55 | |
| 40–60 | Y = 0.030x − 1.39 | 0.30 | Y = 0.032x − 0.056 | 0.32 | |
| 91 | 0–20 | Y = 0.063x − 1.68 | 0.63 | Y = 0.070x − 3.45 | 0.70 |
| 20–40 | Y = 0.068x − 3.14 | 0.68 | Y = 0.071x − 4.49 | 0.71 | |
| 40–60 | Y = 0.051x − 0.496 | 0.51 | Y = 0.053x − 1.70 | 0.53 | |
| 110 | 0–20 | Y = 0.066x − 1.45 | 0.66 | Y = 0.074x − 3.46 | 0.74 |
| 20–40 | Y = 0.074x − 3.13 | 0.74 | Y = 0.080x − 4.80 | 0.80 | |
| 40–60 | Y = 0.055x − 0.938 | 0.55 | Y = 0.058x − 2.13 | 0.58 | |
| Days after Sowing | Soil Depths | Optimal SWS for Maximizing IWUE and WP | |||
| IWUE | mm | WP | mm | ||
| 64 | 0–20 | Y = −0.0017x2 + 0.518x − 24.58 | 152.35 | Y = −0.0012x2 + 0.413x − 20.88 | 172.08 |
| 20–40 | Y = −0.0012x2 + 0.455x − 26.51 | 189.58 | Y = −0.001x2 + 0.416x − 27.27 | 208.00 | |
| 40–60 | Y = 0.0002x2 −0.087x + 25.79 | 217.50 | Y = 0.00008x2 − 0.0389x + 17.38 | 243.13 | |
| 91 | 0–20 | Y = −0.0024x2 + 0.672x − 31.31 | 140.00 | Y = −0.002x2 + 0.610x − 31.42 | 152.50 |
| 20–40 | Y = −0.002x2 + 0.638x − 34.95 | 159.50 | Y = −0.0022x2 + 0.731x − 46.94 | 166.14 | |
| 40–60 | Y = −0.00006x2 − 0.0194x + 19.07 | 161.67 | Y = −0.0003x2 − 0.086x + 6.50 | 143.33 | |
| 110 | 0–20 | Y = −0.0017x2 + 0.443x − 14.07 | 130.29 | Y = −0.0018x2 + 0.531x − 24.48 | 147.50 |
| 20–40 | Y = −0.0028x2 + 0.799x − 40.51 | 142.68 | Y = −0.0027x2 + 0.799x − 45.37 | 147.96 | |
| 40–60 | Y = −0.0006x2 + 0.165x + 4.64 | 137.50 | Y = −0.0007x2 + 0.236x − 5.13 | 168.57 | |
Publisher’s Note: MDPI stays neutral with regard to jurisdictional claims in published maps and institutional affiliations. |
© 2022 by the authors. Licensee MDPI, Basel, Switzerland. This article is an open access article distributed under the terms and conditions of the Creative Commons Attribution (CC BY) license (https://creativecommons.org/licenses/by/4.0/).
Share and Cite
Alsamin, B.; El-Hendawy, S.; Refay, Y.; Tola, E.; Mattar, M.A.; Marey, S. Integrating Tillage and Mulching Practices as an Avenue to Promote Soil Water Storage, Growth, Production, and Water Productivity of Wheat under Deficit Irrigation in Arid Countries. Agronomy 2022, 12, 2235. https://doi.org/10.3390/agronomy12092235
Alsamin B, El-Hendawy S, Refay Y, Tola E, Mattar MA, Marey S. Integrating Tillage and Mulching Practices as an Avenue to Promote Soil Water Storage, Growth, Production, and Water Productivity of Wheat under Deficit Irrigation in Arid Countries. Agronomy. 2022; 12(9):2235. https://doi.org/10.3390/agronomy12092235
Chicago/Turabian StyleAlsamin, Bazel, Salah El-Hendawy, Yahya Refay, ElKamil Tola, Mohamed A. Mattar, and Samy Marey. 2022. "Integrating Tillage and Mulching Practices as an Avenue to Promote Soil Water Storage, Growth, Production, and Water Productivity of Wheat under Deficit Irrigation in Arid Countries" Agronomy 12, no. 9: 2235. https://doi.org/10.3390/agronomy12092235
APA StyleAlsamin, B., El-Hendawy, S., Refay, Y., Tola, E., Mattar, M. A., & Marey, S. (2022). Integrating Tillage and Mulching Practices as an Avenue to Promote Soil Water Storage, Growth, Production, and Water Productivity of Wheat under Deficit Irrigation in Arid Countries. Agronomy, 12(9), 2235. https://doi.org/10.3390/agronomy12092235

