Nitrogen Effect on Fruit Quality and Yield of Muskmelon and Sweet Pepper Cultivars
Abstract
1. Introduction
2. Materials and Methods
2.1. Crops and Experimental Site
2.2. Experimental Design
2.3. Fruit Yield Evaluation
2.4. Fruit Quality Evaluation
2.5. Data Analysis
3. Results
3.1. Effect of N and Cultivar on Total Yield and Percentage Fruit Discard
3.2. Effect of N and Cultivar on Fruit Firmness and TSS
3.3. Effect of N and Cultivar on Fruit Weight and Size
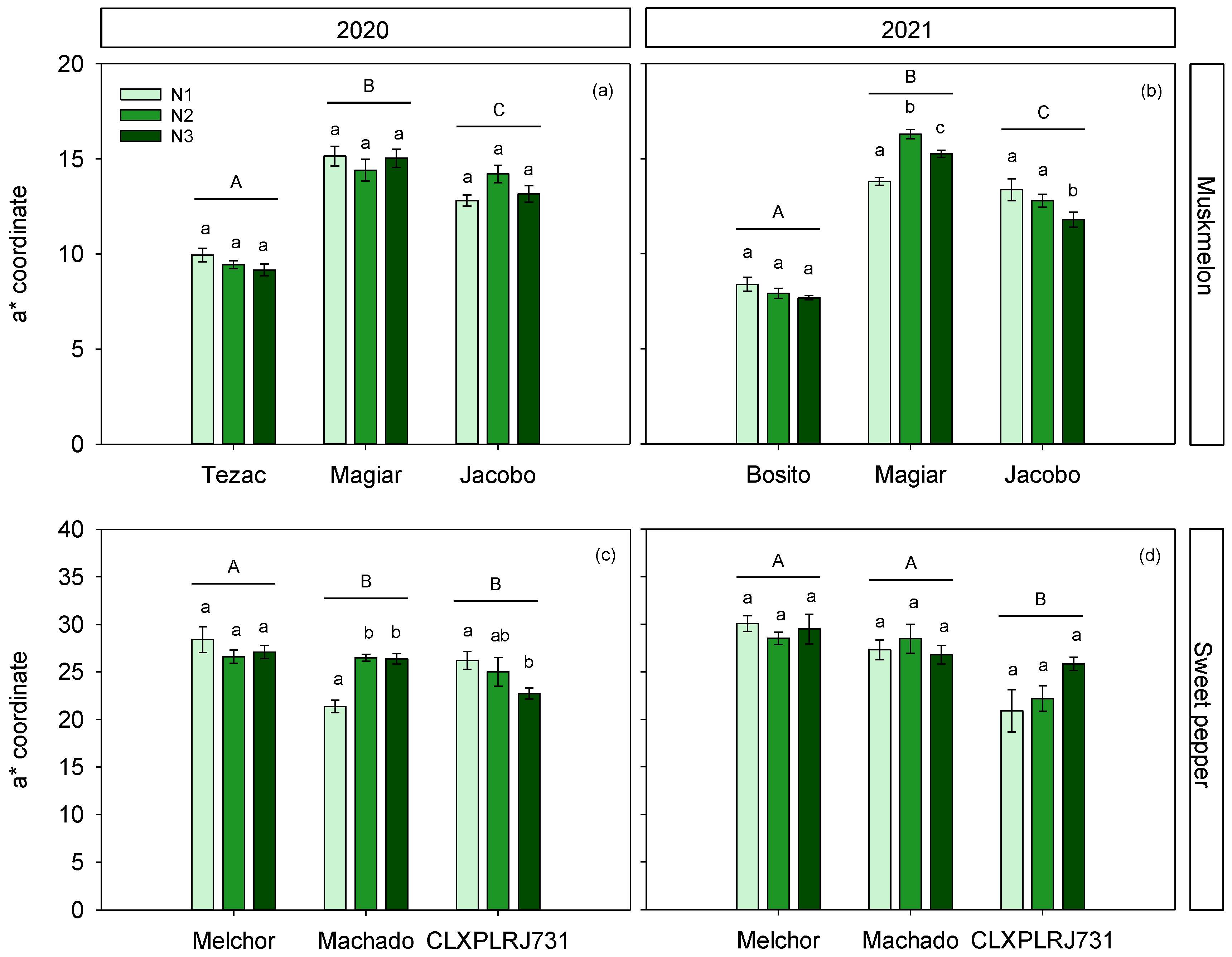
3.4. Effect of N and Cultivar on Fruit Colour
4. Discussion
4.1. Nitrogen Effect on Yield
4.2. Nitrogen Effect on Fruit Quality
4.3. Cultivar Effect on Yield
4.4. Cultivar Effect on Fruit Quality
5. Conclusions
Supplementary Materials
Author Contributions
Funding
Acknowledgments
Conflicts of Interest
References
- Cajamar. Análisis de la Campaña Hortofrutícola de Almería. Campaña 2020/2021; Servicio de Estudios Agroalimentarios de Cajamar: Almería, Spain, 2021. [Google Scholar]
- Castilla, N.; Hernández, J. The plastic greenhouse industry of Spain. Chron. Horticult. 2005, 45, 15–20. [Google Scholar]
- Valera, D.; Belmonte, L.; Molina, F.; López, A. Los Invernaderos de Almería; Cajamar Caja Rural: Almería, Spain, 2014. [Google Scholar]
- Thompson, R.B.B.; Martínez-Gaitan, C.; Gallardo, M.; Giménez, C.; Fernández, M.D.; Martinez-Gaitan, C.; Gallardo, M.; Gimenez, C.; Fernandez, M.D. Identification of irrigation and N management practices that contribute to nitrate leaching loss from an intensive vegetable production system by use of a comprehensive survey. Agric. Water Manag. 2007, 89, 261–274. [Google Scholar] [CrossRef]
- Gallardo, M.; Thompson, R.B.; Fernandez, M.D.; Lopez-Toral, J.R. Effect of applied N concentration in a fertigated vegetable crop on soil solution nitrate and nitrate leaching loss. Acta Hortic. 2006, 700, 221–224. [Google Scholar] [CrossRef]
- Thompson, R.B.; Massa, D.; van Ruijven, J.; Incrocci, L. Reducing contamination of water bodies from European vegetable production systems. Agric. Water Manag. 2020, 240, 106258. [Google Scholar] [CrossRef]
- Thompson, R.B.; Padilla, F.M.; Peña-Fleitas, M.T.; Gallardo, M. Reducing nitrate leaching losses from vegetable production in Mediterranean greenhouses. Acta Hortic. 2020, 1268, 105–118. [Google Scholar] [CrossRef]
- Granados, M.R.; Thompson, R.B.; Fernández, M.D.; Martínez-Gaitán, C.; Gallardo, M.; Giménez, C. Reducing nitrate leaching with a simple model for nitrogen and irrigation management of fertigated vegetable crops. In Towars a Better Efficiency in N Use; Bosch, A., Teira, M.R., Villar, J.M., Eds.; Editorial Milenio: Lleida, Spain, 2007; pp. 333–335. [Google Scholar]
- Locascio, S.J.; Hochmuth, G.J.; Rhoads, F.M.; Olson, S.M.; Smajstrla, A.G.; Hanlon, E.A. Nitrogen and potassium application scheduling effects on drip-irrigated tomato yield and leaf tissue analysis. HortScience 1997, 32, 230–235. [Google Scholar] [CrossRef]
- Warner, J.; Zhang, T.Q.; Hao, X. Effects of nitrogen fertilization on fruit yield and quality of processing tomatoes. Can. J. Plant Sci. 2004, 84, 865–871. [Google Scholar] [CrossRef]
- Crisosto, C.H.; Mitchell, F.G.; Johnson, S. Factors in fresh market stone fruit quality. Postharvest News Inf. 1995, 6, 17–21. [Google Scholar]
- Daane, K.M.; Johnson, R.S.; Michailides, T.J.; Crisosto, C.H.; Dlott, J.W.; Ramirez, H.T.; Yokota, G.Y.; Morgan, D.P. Excess nitrogen raises nectarine susceptibility to disease and insects. Calif. Agric. 1995, 49, 13–18. [Google Scholar] [CrossRef]
- Padilla, F.M.; Gallardo, M.; Manzano-Agugliaro, F. Global trends in nitrate leaching research in the 1960–2017 period. Sci. Total Environ. 2018, 643, 400–413. [Google Scholar] [CrossRef]
- Purquerio, L.F.V.; Cecílio Filho, A.B. Concentração de nitrogênio na solução nutritiva e número de frutos sobre a qualidade de frutos de melão. Hortic. Bras. 2005, 23, 831–836. [Google Scholar] [CrossRef]
- De Faria, C.M.B.; Costa, N.D.; Pinto, J.M.; De Lima Brito, L.T.; Soares, J.M.; Duarte Costa, N.; Pinto, J.M.; Teixeira de Lima Brito, L.; Monteiro Soares, J. Níveis de nitrogênio por fertirrigação e densidade de plantio na cultura do melão em um Vertissolo. Pesqui. Agropecuária Bras. 2000, 35, 491–495. [Google Scholar] [CrossRef]
- Xiang, Y.; Zou, H.; Zhang, F.; Wu, Y.; Yan, S.; Zhang, X.; Tian, J.; Qiang, S.; Wang, H.; Zhou, H. Optimization of controlled water and nitrogen fertigation on greenhouse culture of Capsicum annuum. Sci. World J. 2018, 2018, 9207181. [Google Scholar] [CrossRef] [PubMed]
- Castellanos, M.T.; Cabello, M.J.; Cartagena, M.C.; Tarquis, A.M.; Arce, A.; Ribas, F. Nitrogen uptake dynamics, yield and quality as influenced by nitrogen fertilization in ‘Piel de sapo’ melon. Spanish J. Agric. Res. 2012, 10, 756. [Google Scholar] [CrossRef][Green Version]
- Ketelaere, B.; Lammertyn, J.; Molenberghs, G.; Desmet, M.; Baerdemaeke, J. Tomato cultivar grouping based on firmness change, shelf life and variance during postharvest storage. Postharvest Biol. Technol. 2004, 34, 187–201. [Google Scholar] [CrossRef]
- Lado, J.; Vicente, E.; Manzzioni, A.; Ghelfi, B.; Ares, G. Fruit quality and consumer liking of different strawberry cultivars. Agrociencia Uruguay 2012, 16, 51–58. [Google Scholar]
- Kaniszewski, S.; Kosson, R.; Grzegorzewska, M.; Kowalski, A.; Badełek, E.; Rzybowska, J.; Tuccio, L.; Agati, G. Yield and quality traits of field grown tomato as affected by cultivar and nitrogen application rate. J. Agric. Sci. Technol. 2019, 21, 683–697. [Google Scholar]
- Sams, C.E. Preharvest factors affecting postharvest texture. Postharvest Biol. Technol. 1999, 15, 249–254. [Google Scholar] [CrossRef]
- Alenazi, M.; Abdel-Razzak, H.; Ibrahim, A.; Wahb-Allah, M.; Alsadon, A. Response of muskmelon cultivars to plastic mulch and irrigation regimes under greenhouse conditions. J. Anim. Plant Sci. 2015, 25, 1398–1410. [Google Scholar]
- Botía, P.; Navarro, J.M.; Cerdá, A.; Martínez, V. Yield and fruit quality of two melon cultivars irrigated with saline water at different stages of development. Eur. J. Agron. 2005, 23, 243–253. [Google Scholar] [CrossRef]
- Sharma, R.R.; Pal, R.K.; Sagar, V.R.; Parmanick, K.K.; Paul, V.; Gupta, V.K.; Kumar, K.; Rana, M.R. Impact of pre-harvest fruit-bagging with different coloured bags on peel colour and the incidence of insect pests, disease and storage disorders in ‘Royal Delicious’ apple. J. Hortic. Sci. Biotechnol. 2014, 89, 613–618. [Google Scholar] [CrossRef]
- Szafirowska, A.; Elkner, K. Yielding and fruit quality of three sweet pepper cultivars from organic and conventional cultivation. Veg. Crop. Res. Bull. 2008, 69, 135–143. [Google Scholar] [CrossRef]
- The Implementation of Council Directive 91/676/EEC Concerning the Protection of Waters against Pollution Caused by Nitrates from Agricultural Sources 1997; Diary of the EEC; EEC: Brussels, Belgium, 1997.
- Junta de Andalucia. DECRETO 36/2008, de 5 de Febrero, por el que se Designan las Zonas Vulnerables y se Establecen Medidas Contra la Contaminación por Nitratos de Origen Agrario; BOJA: Sevilla, Spain, 2008; Volume 36, pp. 5–15. [Google Scholar]
- Valera-Martínez, D.L.; Belmonte-Ureña, L.J.; Molina-Aiz, F.D.; López-Martínez, A. Los Invernaderos de Almería. Análisis de su Tecnología y Rentabilidad; Cajamar Caja Rural: Almeria, Spain, 2014. [Google Scholar]
- Grasso, R. Efecto del N sobre la producción y calidad de cultivos hortícolas bajo invernadero, y prácticas para mejorar el uso de nutrientes. Ph.D. Dissertation, University of Almeria, Almería, Spain, 2021. [Google Scholar]
- Camacho, F.; Fernandez, E. Manual Práctico de Fertirrigacón en Riego por Goteo, 2nd ed.; Ediciones Agrotecnicas S. L.: Madrid, Spain, 2013. [Google Scholar]
- Visconti, F.; Salvador, A.; Navarro, P.; de Paz, J.M. Effects of three irrigation systems on ‘Piel de sapo’ melon yield and quality under salinity conditions. Agric. Water Manag. 2019, 226, 105829. [Google Scholar] [CrossRef]
- del Amor, F.; Gómez López, M.; Núñez Delicado, E.; Serrano Martínez, A.; Fortea, M.; Pato Folgoso, A.; Condés Rodríguez, L.; García, A. Evaluación de diferentes variedades de pimiento en cultivo sin suelo. Rendimiento y calidad de fruto. Agrícola vergel Frutic. Hortic. Floric. 2009, 435–438. [Google Scholar]
- Domene, M.; Segura, M. Fichas de Transferencia. Cajamar Caja Rural. 2014. Available online: https://www.cajamar.es/es/agroalimentario/innovacion/investigacion/documentos-y-programas/fichas-de-transferencia/ (accessed on 9 August 2022).
- Gallardo, M.; Padilla, F.M.; Peña-Fleitas, M.T.; de Souza, R.; Rodríguez, A.; Thompson, R.B. Crop response of greenhouse soil-grown cucumber to total available N in a Nitrate Vulnerable Zone. Eur. J. Agron. 2020, 114, 125993. [Google Scholar] [CrossRef]
- Soto, F.; Gallardo, M.; Thompson, R.B.; Peña-Fleitas, M.T.; Padilla, F.M. Consideration of total available N supply reduces N fertilizer requirement and potential for nitrate leaching loss in tomato production. Agric. Ecosyst. Environ. 2015, 200, 62–70. [Google Scholar] [CrossRef]
- Rodríguez, A.; Peña-Fleitas, M.T.; Gallardo, M.; de Souza, R.; Padilla, F.M.; Thompson, R.B. Sweet pepper and nitrogen supply in greenhouse production: Critical nitrogen curve, agronomic responses and risk of nitrogen loss. Eur. J. Agron. 2020, 117, 126046. [Google Scholar] [CrossRef]
- Grasso, R.; de Souza, R.; Peña-Fleitas, M.T.; Gallardo, M.; Thompson, R.B.; Padilla, F.M. Root and crop responses of sweet pepper (Capsicum annuum) to increasing N fertilization. Sci. Hortic. 2020, 273, 109645. [Google Scholar] [CrossRef]
- Pérez, O.; Cigales, R.; Orozco, M.; Pérez, K. Tensión de humedad del suelo y fertilización nitrogenada en melón cantaloupe: Segunda parte. Agrociencia 2004, 38, 251–272. [Google Scholar]
- Buwalda, J.G.; Freeman, R.E. Melons: Effects of vine pruning and nitrogen on yields and quality. New Zeal. J. Exp. Agric. 1986, 14, 355–359. [Google Scholar] [CrossRef]
- Ferrante, A.; Spinardi, A.; Maggiore, T.; Testoni, A.; Gallina, P.M. Effect of nitrogen fertilisation levels on melon fruit quality at the harvest time and during storage. J. Sci. Food Agric. 2008, 88, 707–713. [Google Scholar] [CrossRef]
- Lima e Silva, S.P.; Paiva Rodrigues, L.V.; de Medeiros, J.F.; Freire de Aquino, B.; da Silva, J. Yield and quality of melon fruits as a response to the application of nitrogen and potassium doses rendimento e qualidade de frutos do. Rev. Caatinga 2007, 20, 43–49. [Google Scholar]
- Contreras, J.I.; Eymar, E.; Lopez, J.G.; Lao, M.T.; Segura, M.L. Influences of nitrogen and potassium fertigation on nutrient uptake, production, and quality of pepper irrigated with disinfected urban wastewater. Commun. Soil Sci. Plant Anal. 2013, 44, 767–775. [Google Scholar] [CrossRef]
- del Amor, F.M.; Serrano-Martínez, A.; Fortea, M.I.; Legua, P.; Núñez-Delicado, E. The effect of plant-associative bacteria (Azospirillum and Pantoea) on the fruit quality of sweet pepper under limited nitrogen supply. Sci. Hortic. 2008, 117, 191–196. [Google Scholar] [CrossRef]
- Cuartero, J.; Fernández-Muñoz, R. Tomato and salinity. Sci. Hortic. 1998, 78, 83–125. [Google Scholar] [CrossRef]
- Navarro, J.M.; Garrido, C.; Flores, P.; Martínez, V. Efecto de la salinidad en la producción y la calidad de los frutos y de pimiento cultivado en perlita. Spanish J. Agric. Res. 2010, 8, 142–150. [Google Scholar] [CrossRef]
- Qiu, R.; Jing, Y.; Liu, C.; Yang, Z.; Wang, Z. Response of hot pepper yield, fruit quality, and fruit ion content to irrigation water salinity and leaching fractions. HortScience 2017, 52, 979–985. [Google Scholar] [CrossRef]
- Monteiro, R.O.C.; Coelho, R.D.; Monteiro, P.F.C. Produtividade da água e de nutrientes em melão fertirrigado por gotejamento subterrâneo sob mulching em diferentes tipos de solo. Cienc. Rural 2014, 44, 25–30. [Google Scholar] [CrossRef]
- Niklis, N.D.; Siomos, A.S.; Sfakiotakis, E.M. Ascorbic acid, soluble solids and dry matter content in sweet pepper fruit: Change during ripening. J. Veg. Crop Prod. 2002, 8, 41–51. [Google Scholar] [CrossRef]
- Cheng, M.; Wang, H.; Fan, J.; Xiang, Y.; Tang, Z.; Pei, S.; Zeng, H.; Zhang, C.; Dai, Y.; Li, Z.; et al. Effects of nitrogen supply on tomato yield, water use efficiency and fruit quality: A global meta-analysis. Sci. Hortic. 2021, 290, 110553. [Google Scholar] [CrossRef]
- Gianquinto, G.; Fecondini, M.; Mezzetti, M.; Orsini, F. Steering nitrogen fertilisation by means of portable chlorophyll meter reduces nitrogen input and improves quality of fertigated cantaloupe (Cucumis melo L. var. cantalupensis Naud.). J. Sci. Food Agric. 2010, 90, 482–493. [Google Scholar] [CrossRef]
- Yasuor, H.; Ben-Gal, A.; Yermiyahu, U.; Beit-Yannai, E.; Cohen, S. Nitrogen management of greenhouse pepper production: Agronomic, nutritional, and environmental implications. HortScience 2013, 48, 1241–1249. [Google Scholar] [CrossRef]
- Krarup, C.; Jacob, C.; Contreras, S. Atributos de pre y poscosecha de melones reticulados para procesados frescos. Cienc. e Investig. Agrar. 2016, 43, 43–51. [Google Scholar]
- Flores, F.B.; Martínez-Madrid, M.C.; Amor, M.B.; Pech, J.C.; Latché, A.; Romojaro, F. Modified atmosphere packaging confers additional chilling tolerance on ethylene-inhibited cantaloupe Charentais melon fruit. Eur. Food Res. Technol. 2004, 219, 614–619. [Google Scholar] [CrossRef]
- Fageria, D. Nutrient interactions in crop plants. J. Plant Nutr. 2001, 24, 1269–1290. [Google Scholar] [CrossRef]
- Kaur, A.; Sharma, M.; Manan, J. Bindu Comparative performance of muskmelon (Cucumis melo) hybrids at farmers’ field in district Kapurthala. J. Krishi Vigyan 2017, 6, 24. [Google Scholar] [CrossRef]
- Mitchell, J.M.; Cantliffe, D.J.; Sargent, S.A.; Datnoff, L.E.; Stoffella, P.J. Fruit yield, quality parameters, and powdery mildew (Sphaerotheca fuliginea) susceptibility of specialty melon (Cucumis melo L.) cultivars grown in a passively ventilated greenhouse. Cucurbitaceae 2006 2006, 18, 483–491. [Google Scholar]
- Reche-Mármol, J. Cultivo del Melón en Invernadero; Junta de Andalucía. Consejería de Agricultura y Pesca: Sevilla, Spain, 2008. [Google Scholar]
- Reche, J. Cultivo del Pimiento Dulce en Invernadero; Consejería de Agricultura y Pesca, Servicio de Publicaciones y Divulgación: Sevilla, Spain, 2010. [Google Scholar]
- Soltani, M.; Alimardani, R.; Omid, M. Changes in physico-mechanical properties of banana fruit during ripening treatment. J. Am. Sci. 2011, 7, 14–19. [Google Scholar]







| Crop | Year of Transplant | N Treatment | Mineral N at Planting (kg N ha−1) | N Concentration in Nutrient Solution (mmol L−1) | N Amount Applied (kg N ha−1) |
|---|---|---|---|---|---|
| Muskmelon | 2020 | Very deficient (N1) | 63 | 2.7 | 61 |
| Deficient (N2) | 50 | 8.3 | 302 | ||
| Conventional (N3) | 38 | 14.0 | 582 | ||
| 2021 | Very deficient (N1) | 13 | 2.7 | 57 | |
| Deficient (N2) | 77 | 8.0 | 228 | ||
| Conventional (N3) | 79 | 14.6 | 515 | ||
| Sweet pepper | 2020 | Very deficient (N1) | 31 | 2.2 | 66 |
| Deficient (N2) | 18 | 8.4 | 428 | ||
| Conventional (N3) | 42 | 14.2 | 704 | ||
| 2021 | Very deficient (N1) | 340 | 1.9 | 70 | |
| Deficient (N2) | 346 | 8.2 | 337 | ||
| Conventional (N3) | 290 | 14.2 | 615 |
Publisher’s Note: MDPI stays neutral with regard to jurisdictional claims in published maps and institutional affiliations. |
© 2022 by the authors. Licensee MDPI, Basel, Switzerland. This article is an open access article distributed under the terms and conditions of the Creative Commons Attribution (CC BY) license (https://creativecommons.org/licenses/by/4.0/).
Share and Cite
Grasso, R.; Peña-Fleitas, M.T.; de Souza, R.; Rodríguez, A.; Thompson, R.B.; Gallardo, M.; Padilla, F.M. Nitrogen Effect on Fruit Quality and Yield of Muskmelon and Sweet Pepper Cultivars. Agronomy 2022, 12, 2230. https://doi.org/10.3390/agronomy12092230
Grasso R, Peña-Fleitas MT, de Souza R, Rodríguez A, Thompson RB, Gallardo M, Padilla FM. Nitrogen Effect on Fruit Quality and Yield of Muskmelon and Sweet Pepper Cultivars. Agronomy. 2022; 12(9):2230. https://doi.org/10.3390/agronomy12092230
Chicago/Turabian StyleGrasso, Rafael, M. Teresa Peña-Fleitas, Romina de Souza, Alejandra Rodríguez, Rodney B. Thompson, Marisa Gallardo, and Francisco M. Padilla. 2022. "Nitrogen Effect on Fruit Quality and Yield of Muskmelon and Sweet Pepper Cultivars" Agronomy 12, no. 9: 2230. https://doi.org/10.3390/agronomy12092230
APA StyleGrasso, R., Peña-Fleitas, M. T., de Souza, R., Rodríguez, A., Thompson, R. B., Gallardo, M., & Padilla, F. M. (2022). Nitrogen Effect on Fruit Quality and Yield of Muskmelon and Sweet Pepper Cultivars. Agronomy, 12(9), 2230. https://doi.org/10.3390/agronomy12092230

