Monitoring Growth Status of Winter Oilseed Rape by NDVI and NDYI Derived from UAV-Based Red–Green–Blue Imagery
Abstract
:1. Introduction
2. Materials and Methods
2.1. Field Trial Location and Experimental Design
2.2. Unmanned Aerial Vehicle (UAV) Platform and Digital Sensor
2.3. Image Acquisition
2.4. Image Processing and Data Extraction
2.5. Statistical Analyses
3. Results
3.1. Weather Conditions
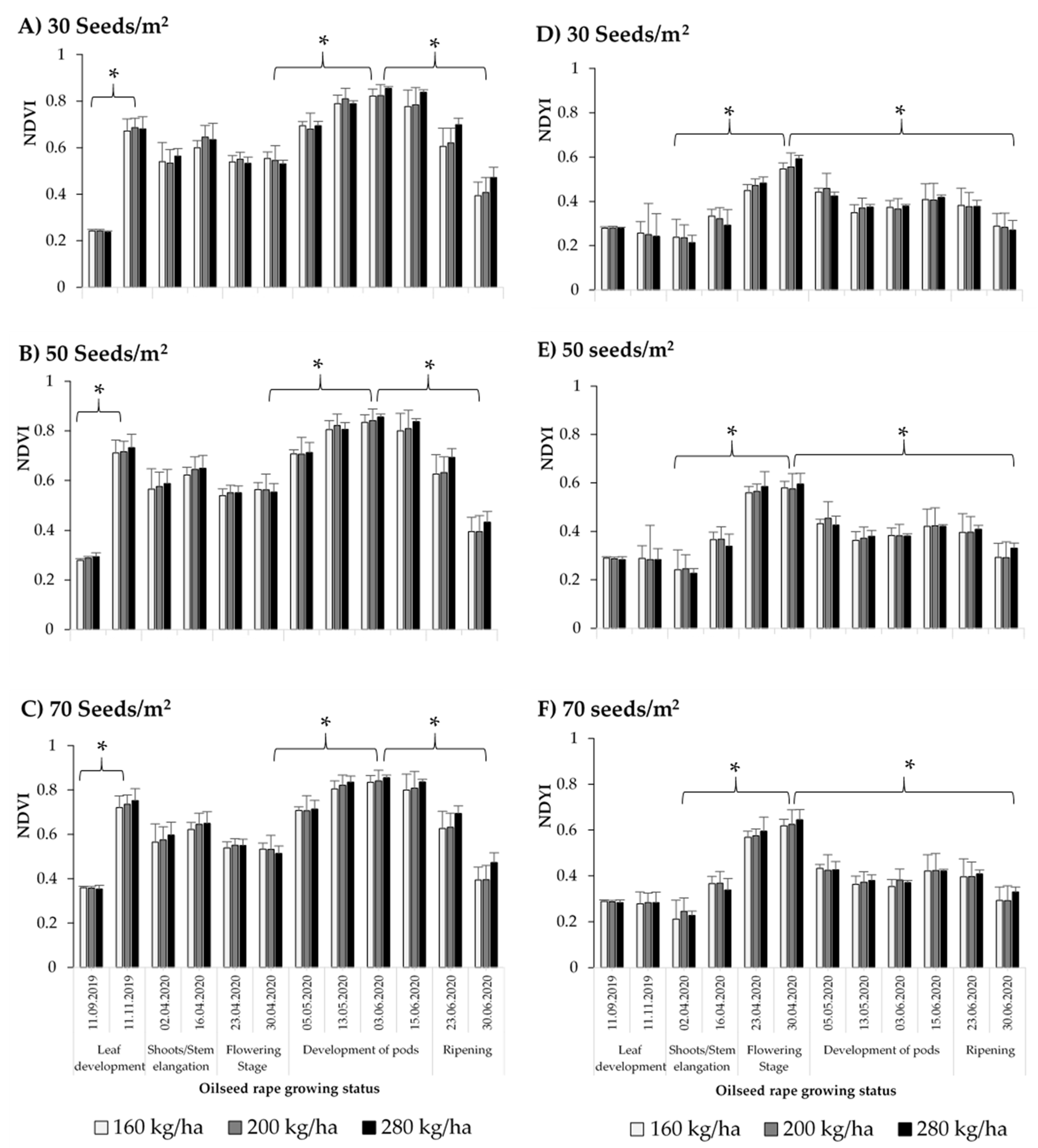
3.2. Monitoring Winter Oilseed Rape Growth Statue in 2019–2020
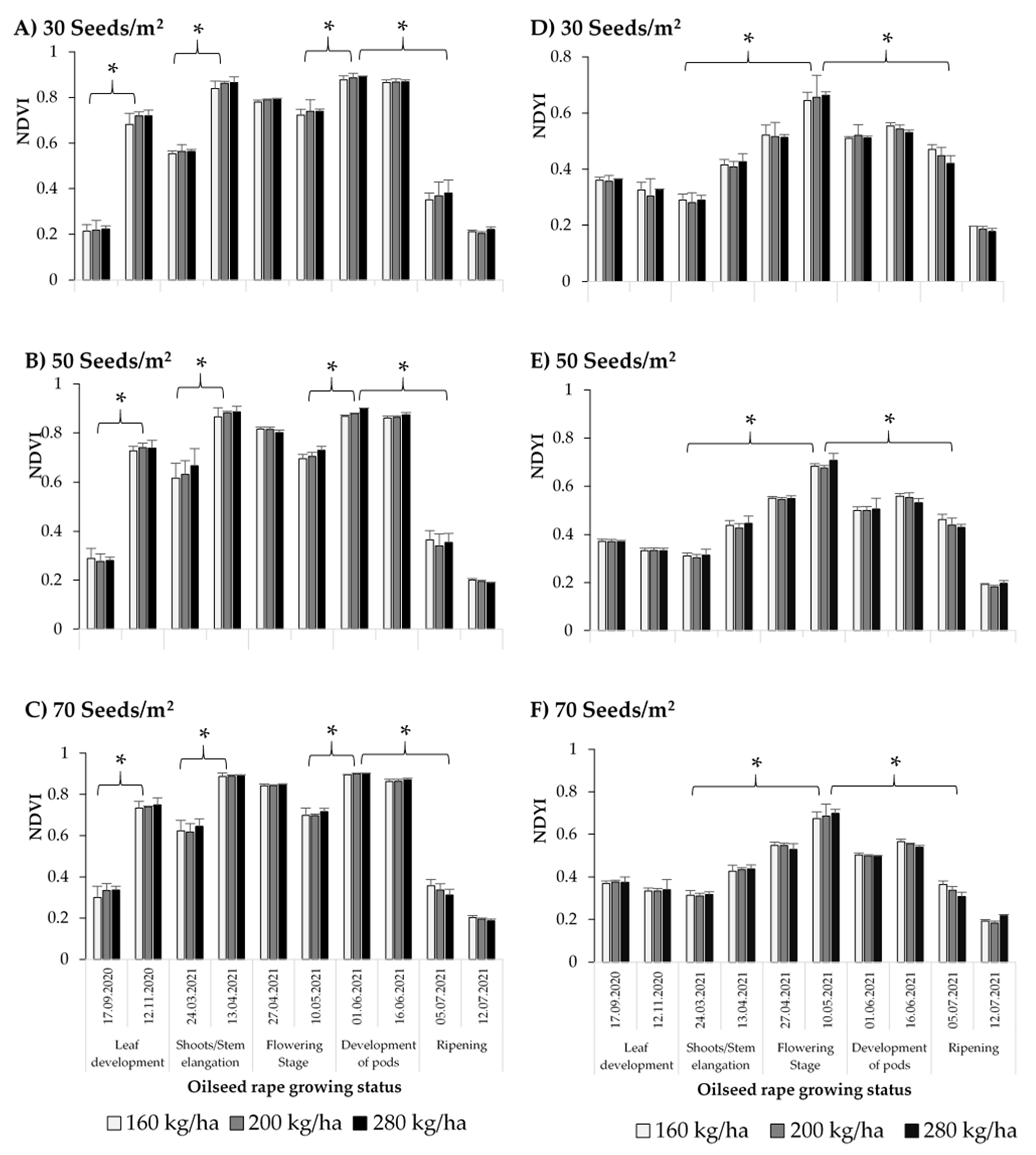
3.3. Monitoring Winter Oilseed Rape Growth Statue in 2020–2021
3.4. Correlation Analysis
4. Discussion
5. Conclusions
Author Contributions
Funding
Institutional Review Board Statement
Informed Consent Statement
Data Availability Statement
Acknowledgments
Conflicts of Interest
References
- Holman, F.H.; Riche, A.B.; Michalski, A.; Castle, M.; Wooster, M.J.; Hawkesford, M.J. High Throughput Field Phenotyping of Wheat Plant Height and Growth Rate in Field Plot Trials Using UAV Based Remote Sensing. Remote Sens. 2016, 8, 1031. [Google Scholar] [CrossRef]
- Yang, G.; Liu, J.; Zhao, C.; Li, Z.; Huang, Y.; Yu, H.; Xu, B.; Yang, X.; Zhu, D.; Zhang, X. Unmanned aerial vehicle remote sensing for field-based crop phenotyping: Current status and perspectives. Front. Plant Sci. 2017, 8, 1111. [Google Scholar] [CrossRef]
- Tsouros, D.C.; Bibi, S.; Sarigiannidis, P.G. A Review on UAV-Based Applications for Precision Agriculture. Information 2019, 10, 349. [Google Scholar] [CrossRef]
- Sishodia, R.P.; Ray, R.L.; Singh, S.K. Applications of Remote Sensing in Precision Agriculture: A Review. Remote Sens. 2020, 12, 3136. [Google Scholar] [CrossRef]
- Gallmann, J.; Schüpbach, B.; Jacot, K.; Albrecht, M.; Winizki, J.; Kirchgessner, N.; Aasen, H. Flower Mapping in Grasslands With Drones and Deep Learning. Front. Plant Sci. 2022, 12, 774965. [Google Scholar] [CrossRef]
- Gnädinger, F.; Schmidhalter, U. Digital counts of maize plants by unmanned aerial vehicles (UAVs). Remote Sens. 2017, 9, 544. [Google Scholar] [CrossRef]
- Zhao, X.; Yuan, Y.; Song, M.; Ding, Y.; Lin, F.; Liang, D.; Zhang, D. Use of unmanned aerial vehicle imagery and deep learning UNet to extract rice lodging. Sensors 2019, 19, 3859. [Google Scholar] [CrossRef]
- Li, B.; Xu, X.; Han, J.; Zhang, L.; Bian, C.; Jin, L.; Liu, J. The estimation of crop emergence in potatoes by UAV RGB imagery. Plant Methods 2019, 15, 15. [Google Scholar] [CrossRef]
- David, E.; Daubige, G.; Joudelat, F.; Burger, P.; Comar, A.; Solan, B.; Baret, F. Plant detection and counting from high-resolution RGB images acquired from UAVs: Comparison between deep-learning and handcrafted methods with application to maize, sugar beet, and sunflower crops. bioRxiv 2021. [Google Scholar] [CrossRef]
- Sulik, J.J.; Long, D.S. Spectral indices for yellow canola flowers. Int. J. Remote Sens. 2015, 36, 2751–2765. [Google Scholar] [CrossRef]
- Fang, S.; Tang, W.; Peng, Y.; Gong, Y.; Dai, C.; Chai, R.; Liu, K. Remote estimation of vegetation fraction and flower fraction in oilseed rape with unmanned aerial vehicle data. Remote Sens. 2016, 8, 416. [Google Scholar] [CrossRef]
- Gong, Y.; Duan, B.; Fang, S.; Zhu, R.; Wu, X.; Ma, Y.; Peng, Y. Remote estimation of rapeseed yield with unmanned aerial vehicle (UAV) imaging and spectral mixture analysis. Plant Methods 2018, 14, 70. [Google Scholar] [CrossRef]
- Wan, L.; Li, Y.; Cen, H.; Zhu, J.; Yin, W.; Wu, W.; Zhu, H.; Sun, D.; Zhou, W.; He, Y. Combining UAV-Based Vegetation Indices and Image Classification to Estimate Flower Number in Oilseed Rape. Remote Sens. 2018, 10, 1484. [Google Scholar] [CrossRef]
- Blancon, J.; Dutartre, D.; Tixier, M.-H.; Weiss, M.; Comar, A.; Praud, S.; Baret, F. A High-throughput model-assisted method for phenotyping maize green leaf area index dynamics using unmanned aerial vehicle imagery. Front. Plant Sci. 2019, 10, 685. [Google Scholar] [CrossRef]
- Prey, L.; Hu, Y.; Schmidhalter, U. High-Throughput Field Phenotyping Traits of Grain Yield Formation and Nitrogen Use Efficiency: Optimizing the Selection of Vegetation Indices and Growth Stages. Front. Plant Sci. 2020, 10, 1672. [Google Scholar] [CrossRef]
- Fu, Z.; Jiang, J.; Gao, Y.; Krienke, B.; Wang, M.; Zhong, K.; Cao, Q.; Tian, Y.; Zhu, Y.; Cao, W.; et al. wheat growth monitoring and yield estimation based on multi-rotor unmanned aerial vehicle. Remote Sens. 2020, 12, 508. [Google Scholar] [CrossRef]
- Zeng, L.; Peng, G.; Meng, R.; Man, J.; Li, W.; Xu, B.; Lv, Z.; Sun, R. Wheat yield prediction based on unmanned aerial vehicles-collected red–green–blue imagery. Remote Sens. 2021, 13, 2937. [Google Scholar] [CrossRef]
- Stoyanova1, M.; Kandilarov, A.; Koutev, V.; Nitcheva, O.; Dobreva, P. Unmanned drone multispectral imaging for assessment of wheat and oilseed rape habitus. Bul. J. Agric. Sci. 2021, 27, 875–879. [Google Scholar]
- Peng, Y.; Li, Y.; Dai, C.; Fang, S.; Gong, Y.; Wu, X.; Zhu, R.; Liu, K. Remote prediction of yield based on LAI estimation in oilseed rape under different planting methods and nitrogen fertilizer applications. Agric. For. Meteorol. 2019, 271, 116–125. [Google Scholar] [CrossRef]
- Zhang, T.; Vail, S.; Duddu, H.S.; Parkin, I.A.; Guo, X.; Johnson, E.N.; Shirtliffe, S.J. Phenotyping Flowering in Canola (Brassica napus L.) and estimating seed yield using an unmanned aerial vehicle-based imagery. Front. Plant Sci. 2021, 12, 1178. [Google Scholar]
- Tuck, G.; Glendining, M.J.; Smith, P.; House, J.I.; Wattenbach, M. The potential distribution of bioenergy crops in Europe under present and future climate. Biomass Bioenergy 2006, 30, 183–197. [Google Scholar] [CrossRef]
- Zamani-Noor, N. Baseline Sensitivity and Control Efficacy of Various Group of Fungicides against Sclerotinia sclerotiorum in Oilseed Rape Cultivation. Agronomy 2021, 11, 1758. [Google Scholar] [CrossRef]
- Zamani-Noor, N.; Knüfer, J. Effects of host plant resistance and fungicide application on phoma stem canker, growth parameters and yield of winter oilseed rape. Crop. Ptotect. 2018, 112, 313–321. [Google Scholar] [CrossRef]
- Rouse, J.W., Jr.; Deering, D.W.; Schell, J.A.; Harlan, J.C. Monitoring the Vernal Advancement and Retro-Gradation (Green Wave Effect) of Natural Vegetation; NASA: Greenbelt, MD, USA, 1974. [Google Scholar]
- Khanal, S.; Fulton, J.; Shearer, S. An overview of current and potential applications of thermal remote sensing in precision agriculture. Comput. Electron. Agric. 2017, 139, 22–32. [Google Scholar] [CrossRef]
- Ma, Y.; Fang, S.; Peng, Y.; Gong, Y.; Wang, D. Remote estimation of biomass in winter oilseed rape (Brassica napus L.) using canopy hyperspectral data at different growth stages. Appl. Sci. 2019, 9, 545. [Google Scholar] [CrossRef]
- Habekotte, B. Evaluation of seed yield determining factors of winter oilseed rape (Brassica napus L.) by means of crop growth modelling. Field Crops Res. 1997, 54, 137–151. [Google Scholar] [CrossRef]
- Shi, P.; Wang, Y.; Xu, J.; Zhao, Y.; Yuan, Z.; Sun, Q. Rice nitrogen nutrition estimation with RGB images and machine learning methods—ScienceDirect. Comput. Electron. Agric. 2020, 180, 105860. [Google Scholar] [CrossRef]
- Guo, Z.C.; Wang, T.; Liu, S.L.; Kang, W.P.; Zhi, Y. Biomass and vegetation coverage survey in the Mu Us sandy land-based on unmanned aerial vehicle RGB images. Int. J. Appl. Earth Obs. Geoinf. 2021, 94, 102239. [Google Scholar] [CrossRef]
- Bennett, E.J.; Brignell, C.J.; Carion, P.W.C.; Cook, S.M.; Eastmond, P.J.; Teakle, G.R.; Hammond, J.P.; Love, C.; King, G.J.; Roberts, J.A.; et al. Development of a statistical crop model to explain the relationship between seed yield and phenotypic diversity within the Brassica napus genepool. Agronomy 2017, 7, 31. [Google Scholar] [CrossRef]
- Hassan, M.A.; Yang, M.; Rasheed, A.; Yang, G.; Reynolds, M.; Xia, X.; Xiao, Y.; He, Z. A rapid monitoring of NDVI across the wheat growth cycle for grain yield prediction using a multi-spectral UAV platform. Plant Sci. 2019, 282, 95–103. [Google Scholar] [CrossRef]
- Shen, M.; Chen, J.; Zhu, X.; Tang, Y. Yellow flowers can decrease NDVI and EVI values: Evidence from a field experiment in an alpine meadow. Can. J. Remote Sens. 2009, 35, 99–106. [Google Scholar] [CrossRef]




| Dates | Oilseed Rape Growth Stages | |
|---|---|---|
| 2019–2020 | 2020–2021 | |
| 11 September 2019 | 17 September 2020 | BBCH 11–12; Seedling stage |
| 11 November 2019 | 12 November 2020 | BBCH 19–20; Leaf development |
| 02 April 2020 | 24 March 2021 | BBCH 25–29; formation of side shoots, stem elongation |
| 16 April 2020 | 13 April 2021 | BBCH 55–58; Inflorescence emergence |
| 23 April 2020 | 27 April 2021 | BBCH 62–64; Flowering |
| 30 April 2020 | 10 May 2021 | BBCH 65–68; Flowering |
| 05 May 2020 | ─ | BBCH 70–71; Development of pods |
| 13 May 2020 | 01 June 2021 | BBCH 73–75; Development of pods |
| 03 June 2020 | 16 June 2021 | BBCH 75–77; Development of pods |
| 15 June 2020 | ─ | BBCH 81–82; Ripening |
| 23 June 2020 | 05 July 2021 | BBCH 88–89; Ripening |
| 30 June 2020 | 12 July 2021 | BBCH 92–95; Senescence |
| Vegetation Indices | Abb. | Formula * | References |
|---|---|---|---|
| Normalized Difference Vegetation Index | NDVI | (NIR – Red)/(NIR + Red) | Rouse et al. [24] |
| Normalized Difference Yellowness Index | NDYI | (Green – Blue)/(Green + Blue) | Sulik and long [10] |
| Growing Season | Months | |||||||||||
|---|---|---|---|---|---|---|---|---|---|---|---|---|
| Aug | Sep | Oct | Nov | Dec | Jan | Feb | Mar | Apr | May | Jun | Jul | |
| Temperature (°C) | ||||||||||||
| 2019–2020 | 19.5 | 14.2 | 11.6 | 7.2 | 4.6 | 4.6 | 6.3 | 5.5 | 9.9 | 12.3 | 17.6 | 17.2 |
| 2020–2021 | 20.5 | 14.9 | 11.3 | 5.4 | 4.9 | 1.2 | 0.5 | 5.1 | 5.8 | 11.4 | 18.9 | 18.9 |
| Precipitation (mm) | ||||||||||||
| 2019–2020 | 40 | 60 | 95 | 41 | 58 | 31 | 146 | 55 | 22 | 11 | 123 | 89 |
| 2020–2021 | 98 | 47 | 52 | 14 | 54 | 35 | 31 | 39 | 52 | 61 | 55 | 56 |
| Relative humidity [%] | ||||||||||||
| 2019–2020 | 73 | 81 | 91 | 97 | 93 | 94 | 87 | 79 | 64 | 73 | 78 | 78 |
| 2020–2021 | 75 | 79 | 93 | 96 | 99 | 97 | 95 | 87 | 87 | 85 | 84 | 85 |
| Variable (Yield/NDVI of Each Date) | Linear Equation | rs | p-Value * |
|---|---|---|---|
| 11 September 2019 (BBCH 11–12) | y = 0.2468 + 0.0003x | 0.0794 | 0.6455 |
| 11 November 2019 (BBCH 19–20) | y = 0.2710 + 0.0120x | 0.5066 | 0.0016 * |
| 02 April 2020 (BBCH 25–29) | y = 0.4673 + 0.0027x | 0.1897 | 0.2687 |
| 16 April 2020 (BBCH 55–58) | y = 0.5859 + 0.0016x | 0.1422 | 0.4080 |
| 23 April 2020 (BBCH 62–64) | y = 0.5215 + 0.0007x | 0.1245 | 0.4695 |
| 30 April 2020 (BBCH 65–68) | y = 0.4586 + 0.0032x | 0.3693 | 0.2661 |
| 05 May 2020 (BBCH 70–71) | y = 0.5946 + 0.0034x | 0.3482 | 0.0374 * |
| 13 May 2020 (BBCH 73–75) | y = 0.6925 + 0.0035x | 0.4404 | 0.0072 * |
| 03 June 2020 (BBCH 75–77) | y = 0.7044 + 0.0041x | 0.6890 | 0.0000 * |
| 15 June 2020 (BBCH 81–82) | y = 0.6290 + 0.0055x | 0.4700 | 0.0003 * |
| 23 June 2020 (BBCH 88–89) | y = 0.4451 + 0.0061x | 0.4086 | 0.1332 |
| 30 June 2020 (BBCH 92–95) | y = 0.3082 + 0.0031x | 0.2085 | 0.2223 |
| Variable (Yield/NDYI of Each Date) | Linear Equation | rs | p-Value * |
|---|---|---|---|
| 11 September 2019 (BBCH 11–12) | y = 0.2835 + 0.0063x | 0.0258 | 0.8814 |
| 11 November 2019 (BBCH 19–20) | y = 0.1844 + 0.0030x | 0.2952 | 0.0805 |
| 02 April 2020 (BBCH 25–29) | y = 0.2140 + 0.0007x | 0.1295 | 0.4516 |
| 16 April 2020 (BBCH 55–58) | y = 0.2044 + 0.0045x | 0.3097 | 0.0600 |
| 23 April 2020 (BBCH 62–64) | y = 0.2822 + 0.0067x | 0.3650 | 0.0286 * |
| 30 April 2020 (BBCH 65–68) | y = 0.3104 + 0.0039x | 0.6687 | 0.0005 * |
| 05 May 2020 (BBCH 70–71) | y = 0.3323 + 0.0031x | 0.2741 | 0.1057 |
| 13 May 2020 (BBCH 73–75) | y = 0.3234 + 0.0014x | 0.2594 | 0.1266 |
| 03 June 2020 (BBCH 75–77) | y = 0.3114 + 0.0021x | 0.4659 | 0.0642 |
| 15 June 2020 (BBCH 81–82) | y = 0.3572 + 0.0019x | 0.2272 | 0.0594 |
| 23 June 2020 (BBCH 88–89) | y = 0.2883 + 0.0033x | 0.5294 | 0.0009 * |
| 30 June 2020 (BBCH 92–95) | y = 0.2194 + 0.0025x | 0.3013 | 0.0741 |
| Variable (Yield/NDVI of Each Date) | Linear Equation | rs | p-Value * |
|---|---|---|---|
| 17 September 2020 (BBCH 11–12) | y = 0.5470 + 0.0007x | 0.2532 | 0.1362 |
| 12 November 2020 (BBCH 19–20) | y = 0.3638 + 0.0093x | 0.3387 | 0.0433 * |
| 24 March 2021 (BBCH 25–29) | y = 0.8026 + 0.0007x | 0.0435 | 0.8013 |
| 13 April 2021 (BBCH 55–58) | y = 0.7915 + 0.0023x | 0.1653 | 0.3353 |
| 27 April 2021 (BBCH 62–64) | y = 0.7991 + 0.0013x | 0.3348 | 0.0559 |
| 10 May 2021 (BBCH 65–68) | y = 0.5512 + 0.0045x | 0.2937 | 0.0821 |
| 01 June 2021 (BBCH 73–75) | y = 0.7834 + 0.0030x | 0.3010 | 0.0415 * |
| 16 June 2021 (BBCH 75–77) | y = 0.8479 + 0.0005x | 0.4090 | 0.0377 * |
| 05 July 2021 (BBCH 88–89) | y = 0.2401 + 0.0030x | 0.1334 | 0.4380 |
| 12 July 2021 (BBCH 92–95) | y = 0.2216 + 0.0007x | 0.1284 | 0.4557 |
| Variable (Yield/NDVI of Each Date) | Linear Equation | rs | p-Value * |
|---|---|---|---|
| 17 September 2020 (BBCH 11–12) | y = 0.4344 + 0.0018x | 0.2973 | 0.0782 |
| 12 November 2020 (BBCH 19–20) | y = 0.4034 + 0.0020x | 0.1571 | 0.3603 |
| 24 March 2021 (BBCH 25–29) | y = 0.2729 + 0.0008x | 0.0701 | 0.6845 |
| 13 April 2021 (BBCH 55–58) | y = 0.3060 + 0.0034x | 0.2743 | 0.1054 |
| 27 April 2021 (BBCH 62–64) | y = 0.4813 + 0.0041x | 0.3940 | 0.0451 * |
| 10 May 2021 (BBCH 65–68) | y = 0.4359 + 0.0048x | 0.5425 | 0.0352 * |
| 01 June 2021 (BBCH 73–75) | y = 0.4595 + 0.0013x | 0.1583 | 0.3564 |
| 16 June 2021 (BBCH 75–77) | y = 0.6067 + 0.0016x | 0.2029 | 0.0554 |
| 05 July 2021 (BBCH 88–89) | y = 0.0295 + 0.0013x | 0.1853 | 0.6209 |
| 12 July 2021 (BBCH 92–95) | y = 0.1641 + 0.0006x | 0.1979 | 0.5700 |
Publisher’s Note: MDPI stays neutral with regard to jurisdictional claims in published maps and institutional affiliations. |
© 2022 by the authors. Licensee MDPI, Basel, Switzerland. This article is an open access article distributed under the terms and conditions of the Creative Commons Attribution (CC BY) license (https://creativecommons.org/licenses/by/4.0/).
Share and Cite
Zamani-Noor, N.; Feistkorn, D. Monitoring Growth Status of Winter Oilseed Rape by NDVI and NDYI Derived from UAV-Based Red–Green–Blue Imagery. Agronomy 2022, 12, 2212. https://doi.org/10.3390/agronomy12092212
Zamani-Noor N, Feistkorn D. Monitoring Growth Status of Winter Oilseed Rape by NDVI and NDYI Derived from UAV-Based Red–Green–Blue Imagery. Agronomy. 2022; 12(9):2212. https://doi.org/10.3390/agronomy12092212
Chicago/Turabian StyleZamani-Noor, Nazanin, and Dominik Feistkorn. 2022. "Monitoring Growth Status of Winter Oilseed Rape by NDVI and NDYI Derived from UAV-Based Red–Green–Blue Imagery" Agronomy 12, no. 9: 2212. https://doi.org/10.3390/agronomy12092212
APA StyleZamani-Noor, N., & Feistkorn, D. (2022). Monitoring Growth Status of Winter Oilseed Rape by NDVI and NDYI Derived from UAV-Based Red–Green–Blue Imagery. Agronomy, 12(9), 2212. https://doi.org/10.3390/agronomy12092212

