Effects of a Local Tomato Rootstock on the Agronomic, Functional and Sensory Quality of the Fruit of a Recovered Local Tomato (Solanum lycopersicum L.) Named “Tomate Limachino Antiguo”
Abstract
:1. Introduction
2. Materials and Methods
2.1. Plant Material, Grafting and Growing Conditions
2.2. Shoot Biomass and Yield
2.3. Fruit Agronomic Quality Attributes
2.4. Fruit Functional Attributes
2.5. Fruit Sensorial Attributes
2.6. Statistical Analysis
3. Results
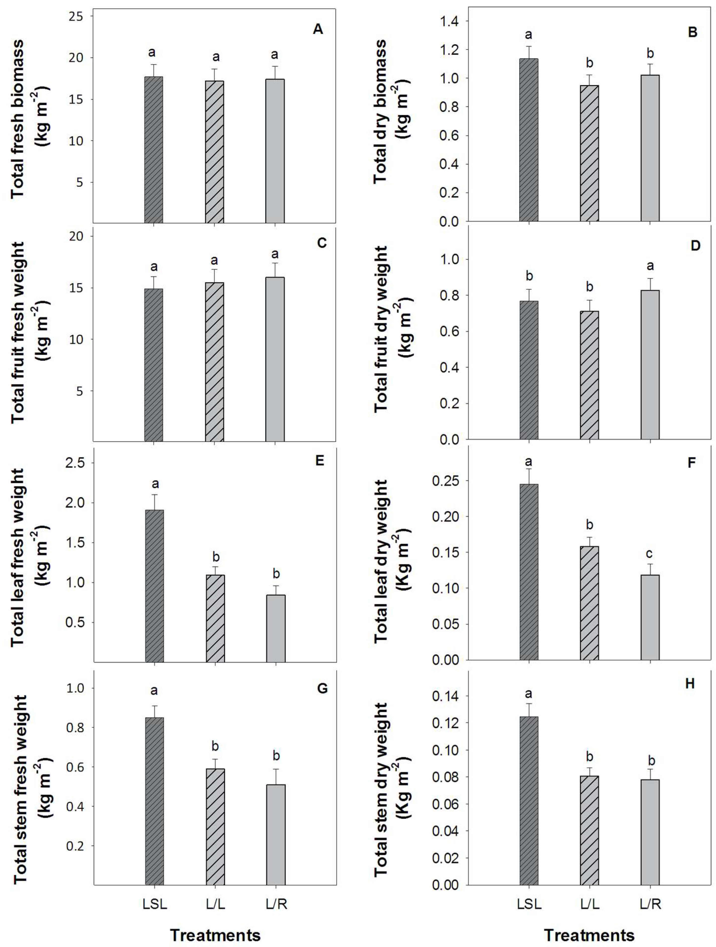
3.1. Shoot Biomass and Yield
3.2. Fruit Agronomic Quality Attributes
3.3. Fruit Functional Attributes
3.4. PCA Analysis of the Agronomic and Functional Fruit Quality
3.5. Fruit Sensorial Attributes
4. Discussion
5. Conclusions
Author Contributions
Funding
Acknowledgments
Conflicts of Interest
Appendix A

References
- Quinet, M.; Angosto, T.; Yuste-Lisbona, F.J.; Blanchard-Gros, R.; Bigot, S.; Martínez, J.P.; Lutts, S. Tomato fruit development and metabolism. Front. Plant Sci. 2019, 10, 1554. [Google Scholar] [CrossRef] [PubMed]
- Batu, A. Determination of acceptable firmness and colour values of tomatoes. J. Food Eng. 2004, 61, 471–475. [Google Scholar] [CrossRef]
- Causse, M.; Friguet, C.; Coiret, C.; Lépicier, M.; Navez, B.; Lee, M.; Holthuysen, N.; Sinesio, F.; Moneta, E.; Grandillo, S. Consumer Preferences for Fresh Tomato at the European Scale: A Common Segmentation on Taste and Firmness. J. Food Sci. 2010, 75, 531–541. [Google Scholar] [CrossRef]
- Casals, J.; Rull, A.; Bernal, M.; González, R.; Romero del Castillo, R.; Simó, J. Impact of grafting on sensory profile of tomato landraces in conventional and organic management systems. Hortic. Environ. Biotechnol. 2018, 59, 597–606. [Google Scholar] [CrossRef]
- Špika, M.J.; Dumičić, G.; Bubola, K.B.; Soldo, B.; Ban, S.G.; Selak, G.V.; Ljubenkov, I.; Mandušic, M.; Žanić, K. Modification of the sensory profile and volatile aroma compounds of tomato fruits by the scion x rootstock interactive effect. Front. Plant Sci. 2021, 11, 616431. [Google Scholar] [CrossRef]
- Klein, D.; Gkisaki, V.; Krumbein, A.; Livieratos, I.; Köpke, U. Old and endangered tomato cultivars under organic greenhouse production: Effect of harvest time on flavour profile and consumer acceptance. Int. J. Food Sci. Technol. 2010, 45, 2250–2257. [Google Scholar] [CrossRef]
- Angel, Y.; Esteban, W.; Bustos, R.; Pacheco, P.; Hurtado, E.; Bastías, E. Tomato “Poncho negro”. History and redemption of culture forgotten. Idesia 2016, 34, 65–69. [Google Scholar]
- Martínez, J.P.; Jana, C.; Muena, V.; Salazar, E.; Rico, J.J.; Calabrese, N.; Hernández, J.; Lutts, S.; Fuentes, R. The Recovery of the Old Limachino Tomato: History, Findings, Lessons, Challenges and Perspectives. In Agriculture Value Chain–Challenges and Trends in Academia and Industry. Studies in Systems, Decision and Control; Hernández, J., Kacprzyk, J., Eds.; Springer: Cham, Switzerland, 2021; Volume 280, pp. 104–119. [Google Scholar] [CrossRef]
- Natalini, A.; Acciarri, N.; Cardi, T. Breeding for nutritional and organoleptic quality in vegetable crops: The case of tomato and cauliflower. Agriculture 2021, 11, 606. [Google Scholar] [CrossRef]
- Grieneisen, M.L.; Aegerter, B.J.; Stoddard, C.S.; Zhang, M. Yield and fruit quality of grafted tomatioes, and their potential for soil fumigant use reduction. A meta-analysis. Agron. Sustain. Dev. 2018, 38, 29. [Google Scholar] [CrossRef]
- Zeist, A.R.; Villela de Resende, J.T.; Zanin, D.S.; Ribeiro da Silva, A.L.B.; Perrud, A.C.; Bueno, G.A.; Arantes, J.H.V.; de Lima, D.P. Effect of acclimation environments, grafting methods and rootstock RVTC-66 on the seedling development and production of tomato. Sci. Hortic. 2020, 271, 109496. [Google Scholar] [CrossRef]
- Mauro, R.P.; Agnello, M.; Onofri, A.; Leonardi, C.; Giuffrida, F. Scion and rootstock differently influence growth, yield and quality characteristics of cherry tomato. Plants 2020, 9, 1725. [Google Scholar] [CrossRef] [PubMed]
- Ellenberger, J.; Bulut, A.; Blömeke, P.; Röhlen-Schmittgen, S. Novel S. pennelli x S. lycopersicum hybrid rootstocks for tomato production with reduced water and nutrient supply. Horticulturea 2021, 7, 355. [Google Scholar] [CrossRef]
- Khapte, P.S.; Kumar, P.; Walkchaure, G.C.; Jangid, K.K.; Colla, G.; Cardarelli, M.; Rane, J. Application of phenomics to elucidate the influence of rootstocks on drought response of tomato. Agronomy 2022, 12, 1529. [Google Scholar] [CrossRef]
- Zhou, Z.; Yuan, Y.; Wang, K.; Wang, H.; Huang, J.; Yu, H.; Cui, X. Rootstock scion interactions affect fruit flavor in grafted tomato. Hortic. Plant J. 2022, 8, 499–510. [Google Scholar] [CrossRef]
- Turhan, A.; Ozmen, N.; Serbeci, M.S.; Seniz, V. Effects of grafting on different rootstocks on tomato fruit yield and quality. Hortic. Sci. 2011, 38, 142–149. [Google Scholar] [CrossRef]
- Lang, K.M.; Nair, A.; Moore, K.J. The impact of eight hybrid tomato rootstocks on BHN 589 scion yield, fruit quality, and plant growth traits in a Midwest high tunnel production system. HortScience 2020, 55, 936–944. [Google Scholar] [CrossRef]
- Fu, S.; Chen, J.; Wu, X.; Gao, H.; Lü, G. Comprehensive evaluation of low temperature and salt tolerance in grafted and rootstock seedlings combined with yield and quality of grafted tomato. Horticulturae 2022, 8, 595. [Google Scholar] [CrossRef]
- Asins, M.J.; Albacete, A.; Martínez-Andújar, C.; Celiktopus, E.; Solmaz, I.; Sari, N.; Pérez-Alfocea, F.; Dodd, I.C.; Carbonell, E.A.; Topcu, S. Genetic analysis of root-to-shoot signaling and rootstock-mediated tolerance to water deficit in tomato. Genes 2021, 12, 10. [Google Scholar] [CrossRef]
- Ghanem, M.E.; Hichri, I.; Smigocki, A.C.; Albacete, A.; Fauconnier, M.L.; Diatloff, E.; Martínez-Andujar, C.; Lutts, S.; Dodd, I.C.; Pérez-Alfocea, F. Root-targeted biotechnology to mediate hormonal signalling and improve crop stress tolerance. Plant Cell Rep. 2011, 30, 807–823. [Google Scholar] [CrossRef]
- Martínez-Andújar, C.; Martínez-Pérez, A.; Albacete, A.; Martínez-Melgarejo, P.A.; Dodd, I.C.; Thompson, A.J.; Mohareb, F.; Estelles-Lopez, L.; Kevei, Z.; Ferrández-Ayela, A.; et al. Overproduction of ABA in rootstocks alleviates salinity stress in tomato shoots. Plant Cell Environ. 2021, 44, 2966–2986. [Google Scholar] [CrossRef]
- Fullana-Pericàs, M.; Conesa, M.À.; Ribas-Carbó, M.; Galmés, J. The use of a tomato landrace as rootstock improves the response of commercial tomato under water deficit conditions. Agronomy 2020, 10, 748. [Google Scholar] [CrossRef]
- Contreras, C.; Montoya, A.; Pacheco, P.; Martínez-Ballesta, M.C.; Carvajal, M.; Bastías, E. The effects of the combination of salinity and excess boron on the water relations of tolerant tomato (Solanum lycopersicum L.) cv. Poncho Negro, in relation to aquaporin functionality. Span. J. Agric. Res. 2011, 9, 494–503. [Google Scholar] [CrossRef]
- Díaz, M.; Bastías, E.; Pacheco, P.; Tapia, L.; Martínez-Ballesta, M.C.; Carvajal, M. Characterization of the physiological response of the highly-tolerant tomato cv. Poncho Negro to salinity and excess boron. J. Plant Nutr. 2011, 34, 1254–1267. [Google Scholar] [CrossRef]
- Esteban, W.; Pacheco, P.; Tapia, L.; Bastías, E. Remediation of salt and boron-affected soil by addition of organic matter: An investigation into improving tomato plant productivity. Idesia 2019, 34, 25–32. [Google Scholar] [CrossRef]
- Alfaro, J.F. Efecto del Portainjerto INIA (Solanum lycopersicum var. Poncho Negro) Sobre el Mecanismo de Defensa de la Planta Injertada Tomate var. Limachino Inducido por el Sulfuro de Hidrógeno (H2S) Frente al Fitopatógeno Pseudomonas syringae pv tomato. Ph.D. Thesis, Pontifical Catholic University of Valparaíso and Federico Santa María Technical University, Valparaíso, Chile, 2018. [Google Scholar]
- Stone, H.; Sidel, J.L. Sensory Evaluation Practices, 3rd ed.; Elsevier Academic Press: Cambridge, MA, USA, 1993; pp. 1–377. [Google Scholar]
- Martínez, J.P.; Fuentes, R.; Farias, K.; Lizana, C.; Alfaro, J.F.; Fuentes, L.; Calabrese, N.; Bigot, S.; Quinet, M.; Lutts, S. Effects of saline stress on fruit antioxidant capacity of wild (Solanum chilense) and domesticated (Solanum lycopersicum var. cerasiforme) tomatoes. Agronomy 2020, 10, 1481. [Google Scholar] [CrossRef]
- Bhatt, R.M.; Upreti, K.K.; Divya, M.H.; Bhat, S.; Pavithra, C.B.; Sadashiva, A.T. Interspecific grafting to enhance physiological resilience to flooding stress in tomato (Solanum lycopersicum L.). Sci. Hortic. 2015, 182, 8–17. [Google Scholar] [CrossRef]
- Grierson, A.; Kader, A.A. Fruit ripening and quality. In Tomato Crop; Atherton, J.G., Rudich, J., Eds.; Chapman and Hall Ltd.: New York, NY, USA, 1986; pp. 241–280. [Google Scholar]
- USDA. United States Standards for Grade of Fresh Tomatoes; USDA Marketing Services: Washington, DC, USA, 1976; p. 10. [Google Scholar]
- Martínez, J.P.; Antúnez, A.; Pertuzé, R.; Acosta, M.P.; Palma, X.; Fuentes, L.; Ayala, A.; Araya, H.; Lutts, S. Effects of saline water on water status, yield and fruit quality of wild (Solanum chilense) and domesticated (Solanum lycopersicum var. cerasiforme) tomatoes. Exp. Agric. 2012, 48, 573–586. [Google Scholar] [CrossRef]
- Martínez, J.P.; Antúnez, A.; Araya, H.; Pertuzé, R.; Acosta, M.D.P.; Fuentes, L.; Lizana, C.; Lutts, S. Salt stress differently affects growth, water status and antioxidant enzyme activities in Solanum lycopersicum L. and its wild-relative Solanum chilense Dun. Aust. J. Bot. 2014, 62, 359–368. [Google Scholar] [CrossRef]
- Almasoum, A.A. Effect of planting depth on growth and productivity of tomatoes using drip irrigation with semi-saline water. Acta Hort. 2000, 573, 773–778. [Google Scholar] [CrossRef]
- Ordóñez-Santos, L.E.; Arbones-Maciñeira, E.; Fernández-Perejón, J.; Lombardero-Fernández, M.; Vázquez-Odériz, L.; Romero-Rodríguez, A. Comparison of physicochemical, microscopic and sensory characteristics of ecologically and conventionally grown crops of two cultivars of tomato (Lycopersicon esculentum Mill.). J. Sci. Food Agric. 2009, 89, 743–749. [Google Scholar] [CrossRef]
- Benzie, I.; Strain, J.J. The ferric reducing ability of plasma (FRAP) as a measure of “antioxidant power”: The FRAP assay. Anal. Biochem. 1996, 239, 70–76. [Google Scholar] [CrossRef] [PubMed]
- Singleton, V.; Rossi, J. Colorimetry of total phenolics with phosphomolybdic and phosphotungstic acid reagents. Am. J. Enol. Vitic. 1965, 16, 144–148. [Google Scholar]
- Galati, E.; Mondello, M.R.; Giuffrida, D.; Dugo, G.; Miceli, N.; Pergolizzi, S.; Taviano, M.F. Chemical characterization and biological effects of Sicilian Opuntia ficus indica (L.) Mill. Fruit juice: Antioxidant and antiulcerogenic activity. J. Agric. Food Chem. 2003, 51, 4903–4908. [Google Scholar] [CrossRef] [PubMed]
- Arias-Carmona, M.D.; Romero-Rodríguez, M.A.; Muñoz-Ferreiro, N.; Vázquez-Odériz, M.L. Sensory Analysis of Protected Geographical Indication Products: An Example with Turnip Greens and Tops. J. Sens. Stud. 2012, 27, 482–489. [Google Scholar] [CrossRef]
- Wittig, E. Evaluación Sensorial. Una Metodología Actual para Tecnología de Alimentos. 2001. Available online: https://repositorio.uchile.cl/handle/2250/121431 (accessed on 30 April 2017).
- Ucan-Chan, I.; Sánchez-Del Castillo, F.; Contreras-Magaña, F.; Corona-Sáez, T. Effect of plant density and fruit thinning on tomato yield and fruit size. Rev. Fitotec. Mex. 2005, 28, 33–38. [Google Scholar]
- Qaryouti, M.; Qawasmi, W.; Hamdan, H.; Edwan, M. Tomato fruit yield and quality as affected by grafting and growing system. Acta Hortic. 2007, 741, 199–206. [Google Scholar] [CrossRef]
- Mauro, R.P.; Rizzo, V.; Leonardi, C.; Mazzaglia, A.; Muratore, G.; Distefano, M.; Sabatino, L.; Giuffrida, F. Influence of harvest stage and rootstock genotype on compositional and sensory profile of the elongated tomato cv. “Sir Elyan”. Agriculture 2020, 10, 82. [Google Scholar] [CrossRef]
- Bertin, N.; Genard, M. Tomato quality as influenced by preharvest factors. Sci. Hortic. 2018, 233, 264–276. [Google Scholar] [CrossRef]
- Goisser, S.; Wittmann, S.; Fernandes, M.; Mempel, H.; Ulrichs, C. Comparison of colorimeter and different portable food-scanners for nondestructive prediction of lycopene content in tomato fruit. Postharvest Biol. Technol. 2020, 167, 111232. [Google Scholar] [CrossRef]
- Fuentes, L.; Valdenegro, M.; Gómez, A.G.; Ayala-Raso, A.; Quiroga, E.; Martínez, J.P.; Vinet, R.; Caballero, E.; Figueroa, C.R. Characterization of fruit development and potential health benefits of arrayan (Luma apiculata), a native berry of South America. Food Chem. 2016, 196, 1239–1247. [Google Scholar] [CrossRef]
- Caris-Veyrat, C.; Amiot, M.J.; Tyssandier, V.; Grasselly, D.; Buret, M.; Mikolajczak, M.; Guilland, J.-C.; Bouteloup-Demange, C.; Patrick Borel, P. Influence of organic versus conventional agricultural practice on the antioxidant microconstituent content of tomatoes and derived purees; consequences on antioxidant plasma status in humans. J. Agric. Food Chem. 2004, 52, 6503–6509. [Google Scholar] [CrossRef] [PubMed]
- Slimestad, R.; Verheul, M. Review of flavonoids and other phenolics from fruits of different tomato (Lycopersicon esculentum mill.) cultivars. J. Sci. Food Agric. 2009, 89, 1255–1270. [Google Scholar] [CrossRef]
- del Río, D.; Borges, G.; Crozier, A. Berry flavonoids and phenolics: Bioavailability and evidence of protective effects. Br. J. Nutr. 2010, 104, S67–S90. [Google Scholar] [CrossRef]
- Hanhineva, K.; Törrönen, R.; Bondia-Pons, I.; Pekkinen, J.; Kolehmainen, M.; Mykkänen, H.; Poutanen, K. Impact of dietary polyphenols on carbohydrate metabolism. Int. J. Mol. Sci. 2010, 11, 1365–1402. [Google Scholar] [CrossRef]
- Ozawa, T.; Lilley, T.H.; Haslam, E. Polyphenol interactions: Astringency and the loss of astringency in ripening fruit. Phytochemistry 1987, 26, 2937–2942. [Google Scholar] [CrossRef]
- Soares, S.; Brandão, E.; Mateus, N.; De Freitas, V. Sensorial Properties of Red Wine Polyphenols: Astringency and Bitterness. Crit. Rev. Food Sci. Nutr. 2015, 57, 937–948. [Google Scholar] [CrossRef] [PubMed]
- Cantero-Navarro, E.; Romero-Aranda, R.; Fernández-Muñoz, R. Improving agronomic water use efficiency in tomato by rootstock-mediated hormonal regulation of leaf biomass. Plant Sci. 2016, 251, 90–100. [Google Scholar] [CrossRef]
- Aslam, W.; Noor, R.S.; Hussain, F.; Ameen, M.; Ullah, S.; Chen, H. Evaluating morphological growth, yield, and postharvest fruit quality of cucumber (Cucumis sativus L.) grafted on cucurbitaceous rootstocks. Agriculture 2020, 10, 101. [Google Scholar] [CrossRef]
- Huang, Y.X.; Goto, Y.; Nonaka, S.; Fukuda, N.; Ezura, H.; Matsukura, C. Overexpression of the phosphoenolpyruvate carboxykinase gene (SlPEPCK) promotes soluble sugar accumulation in fruit and post-germination growth of tomato (Solanum lycopersicum L.). Plant Biotechnol. 2015, 32, 281–289. [Google Scholar] [CrossRef]
- Casals, J.; Rivera, A.; Sabaté, J.; del Castillo, R.R.; Simó, J. Cherry and fresh market tomatoes: Differences in chemical, morphological, and sensory traits and their implications for consumer acceptance. Agronomy 2019, 9, 9. [Google Scholar] [CrossRef]
- Baldwin, E.A.; Scott, J.W.; Einstein, M.A.; Malundo, T.M.M.; Carr, B.T.; Shewfelt, R.L.; Tandon, K.S. Relationship between sensory and instrumental analysis for tomato flavor. J. Am. Soc. Hortic. Sci. 1998, 123, 906–915. [Google Scholar] [CrossRef]
- Distefano, M.; Mauro, R.P.; Page, D.; Giuffrida, F.; Bertin, N.; Leonardi, C. Aroma Volatiles in Tomato Fruits: The Role of Genetic, Preharvest and Postharvest Factors. Agronomy 2022, 12, 376. [Google Scholar] [CrossRef]













| Treatment | Preferences (Number of People) | Acceptability (Number of People) | ||
|---|---|---|---|---|
| Level of Liking (Range) | ||||
| 1–3 | 4 | 5–7 | ||
| LSL | 24 | 46 | 22 | 36 |
| L/L | 34 | 22 | 21 | 61 |
| L/R | 46 | 25 | 16 | 63 |
Publisher’s Note: MDPI stays neutral with regard to jurisdictional claims in published maps and institutional affiliations. |
© 2022 by the authors. Licensee MDPI, Basel, Switzerland. This article is an open access article distributed under the terms and conditions of the Creative Commons Attribution (CC BY) license (https://creativecommons.org/licenses/by/4.0/).
Share and Cite
Martínez, J.P.; Fuentes, R.; Farías, K.; Loyola, N.; Freixas, A.; Stange, C.; Sagredo, B.; Quinet, M.; Lutts, S. Effects of a Local Tomato Rootstock on the Agronomic, Functional and Sensory Quality of the Fruit of a Recovered Local Tomato (Solanum lycopersicum L.) Named “Tomate Limachino Antiguo”. Agronomy 2022, 12, 2178. https://doi.org/10.3390/agronomy12092178
Martínez JP, Fuentes R, Farías K, Loyola N, Freixas A, Stange C, Sagredo B, Quinet M, Lutts S. Effects of a Local Tomato Rootstock on the Agronomic, Functional and Sensory Quality of the Fruit of a Recovered Local Tomato (Solanum lycopersicum L.) Named “Tomate Limachino Antiguo”. Agronomy. 2022; 12(9):2178. https://doi.org/10.3390/agronomy12092178
Chicago/Turabian StyleMartínez, Juan Pablo, Raúl Fuentes, Karen Farías, Nelson Loyola, Alejandra Freixas, Claudia Stange, Boris Sagredo, Muriel Quinet, and Stanley Lutts. 2022. "Effects of a Local Tomato Rootstock on the Agronomic, Functional and Sensory Quality of the Fruit of a Recovered Local Tomato (Solanum lycopersicum L.) Named “Tomate Limachino Antiguo”" Agronomy 12, no. 9: 2178. https://doi.org/10.3390/agronomy12092178
APA StyleMartínez, J. P., Fuentes, R., Farías, K., Loyola, N., Freixas, A., Stange, C., Sagredo, B., Quinet, M., & Lutts, S. (2022). Effects of a Local Tomato Rootstock on the Agronomic, Functional and Sensory Quality of the Fruit of a Recovered Local Tomato (Solanum lycopersicum L.) Named “Tomate Limachino Antiguo”. Agronomy, 12(9), 2178. https://doi.org/10.3390/agronomy12092178

