Legume/Maize Intercropping and N Application for Improved Yield, Quality, Water and N Utilization for Forage Production
Abstract
1. Introduction
2. Materials and Methods
2.1. Site Description
2.2. Field Management and Research Design
2.3. Sampling and Measurements
2.3.1. Dry Biomass Yield
2.3.2. Forage Quality and Crude Protein Yield
2.3.3. Soil Water Concentration and Soil Water Storage
2.3.4. Evapotranspiration and Water-Use Efficiency
2.3.5. N Concentration, N Absorption, and N-Use Efficiency
2.3.6. Statistical Analysis
3. Results
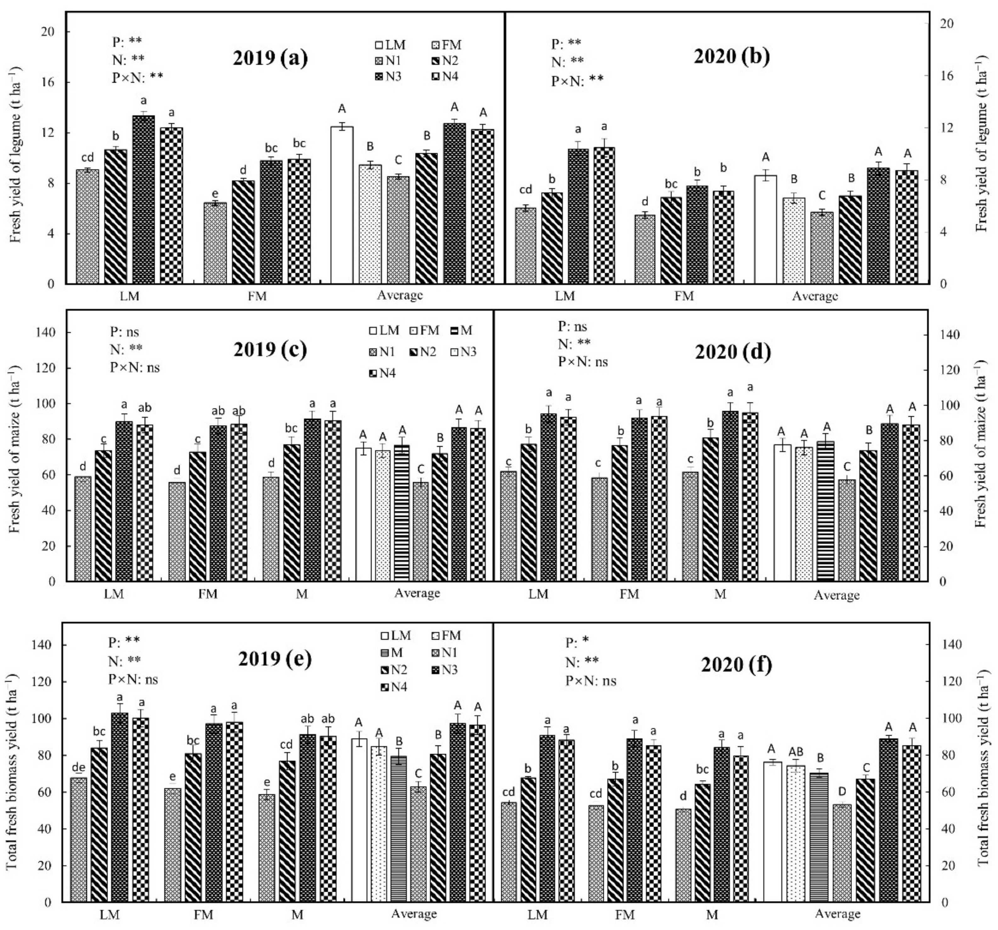
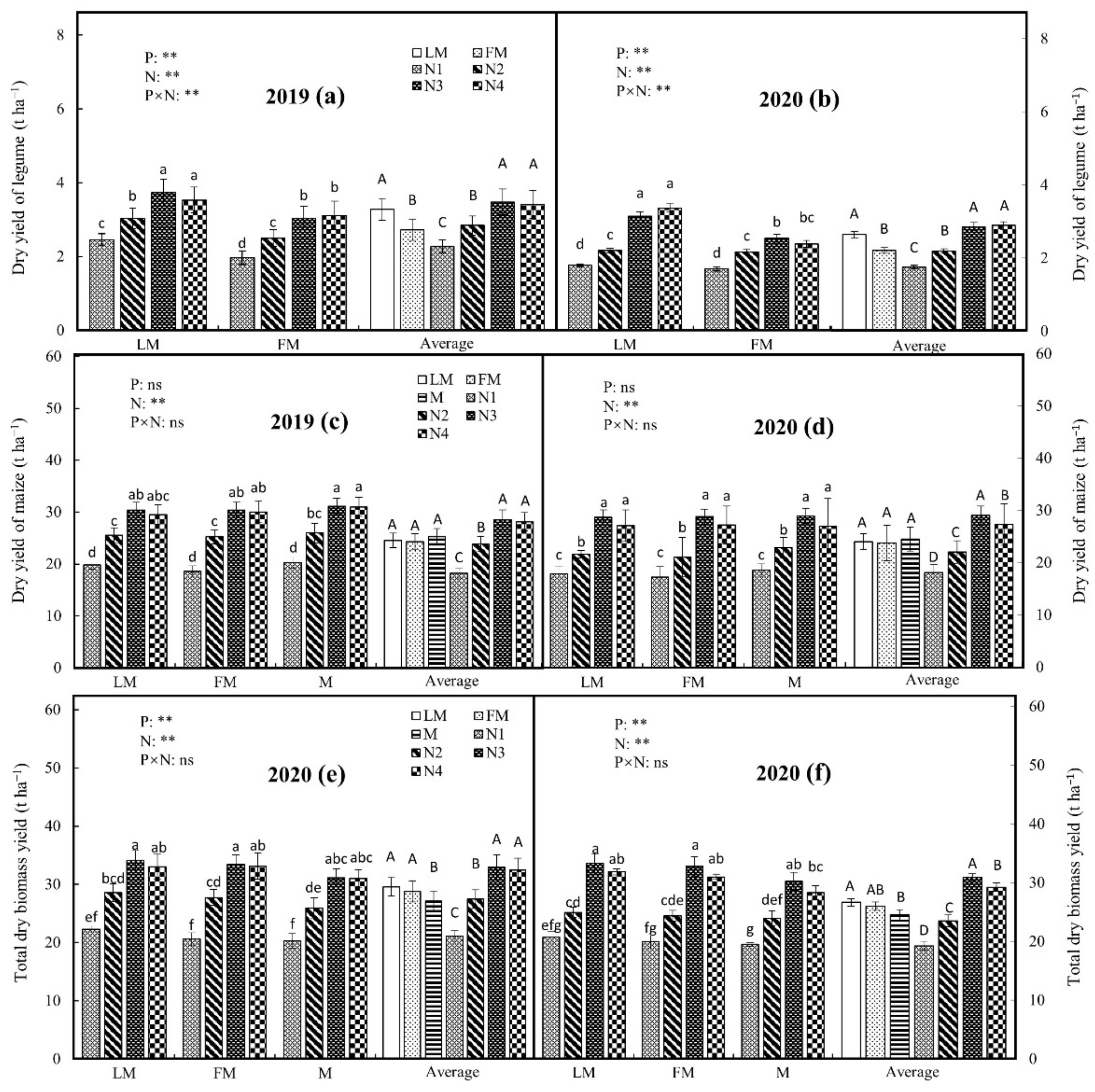
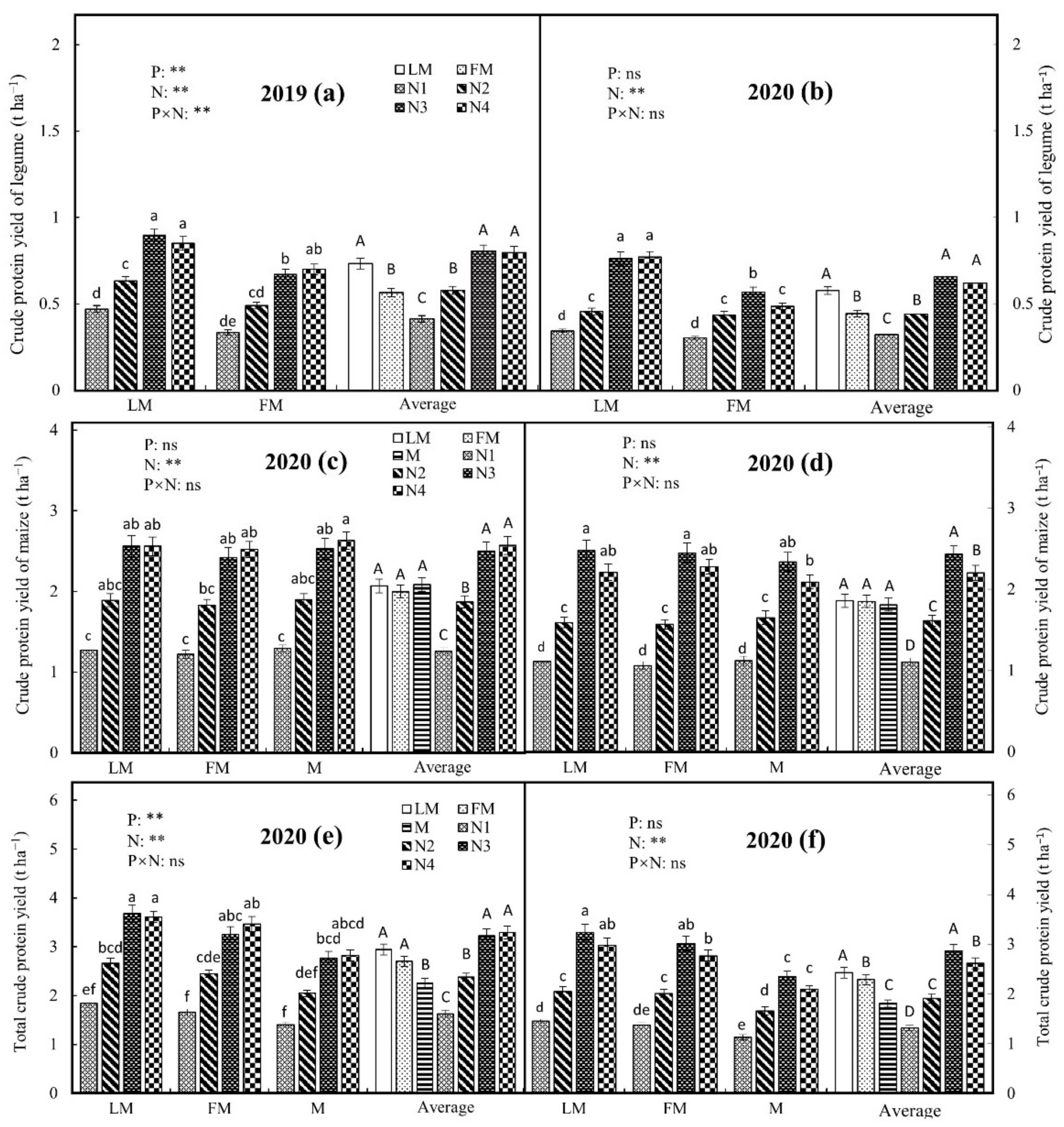
3.1. Fresh Biomass Yield, Dry Biomass Yield, and Crude Protein Yield
3.2. Crude Protein, Crude fat, NDF, and ADF Concentration
3.3. N-Use Efficiency
3.4. Soil Water Storage, Evapotranspiration, and Water-Use Efficiency
4. Discussion
4.1. Effects of Legume/Maize Intercropping and N Application on Forage Crop Yield
4.2. Effects of Legume/Maize Intercropping and N Application on Forage Crop Quality
4.3. Effects of Legume/Maize Intercropping and N Application on Water and N Utilization of Forage Crops
5. Conclusions
Author Contributions
Funding
Institutional Review Board Statement
Informed Consent Statement
Data Availability Statement
Acknowledgments
Conflicts of Interest
References
- Chen, X.; Cui, Z.; Fan, M.; Vitousek, P.; Zhao, M.; Ma, W.; Wang, Z.; Zhang, W.; Yan, X.; Yang, J.; et al. Producing more grain with lower environmental costs. Nature 2014, 514, 486–489. [Google Scholar] [CrossRef]
- Ramankutty, N.; Mehrabi, Z.; Waha, K.; Jarvis, L.; Kremen, C.; Herrero, M.; Rieseberg, L.H. Trends in Global Agricultural Land Use: Implications for Environmental Health and Food Security. Annu. Rev. Plant Biol. 2018, 69, 789–815. [Google Scholar] [CrossRef]
- Li, S.X.; Wang, Z.H.; Li, S.Q.; Gao, Y.J. Effect of nitrogen fertilization under plastic mulched and non-plastic mulched conditions on water use by maize plants in dryland areas of China. Agric. Water Manag. 2015, 162, 15–32. [Google Scholar] [CrossRef]
- Fang, J.; Jing, H.; Zhang, W.; Gao, S.; Duan, Z.; Wang, H.; Zhong, J.; Pan, Q.; Zhao, K.; Bai, W.; et al. The concept of “Grass-based Livestock Husbandry” and its practice in Hulun Buir, Inner Mongolia. Chin. Sci. Bull. 2018, 63, 1619–1631. [Google Scholar]
- Cui, Z.; Zhang, H.; Chen, X.; Zhang, C.; Ma, W.; Huang, C.; Zhang, W.; Mi, G.; Miao, Y.; Li, X.; et al. Pursuing sustainable productivity with millions of smallholder farmers. Nature 2018, 555, 363–366. [Google Scholar] [CrossRef]
- Lichtfouse, E. (Ed.) Climate Change, Intercropping, Pest Control and Beneficial Microorganisms; Sustainable Agriculture Reviews; Springer: Dordrecht, The Netherlands, 2009; pp. 1–7. [Google Scholar] [CrossRef]
- Li, L.; Sun, J.H.; Zhang, F.S.; Li, X.L.; Yang, S.C.; Rengel, Z. Wheat/maize or wheat/soybean strip intercropping I. Yield advantage and interspecific interactions on nutrients. Field Crops Res. 2001, 71, 123–137. [Google Scholar] [CrossRef]
- Ma, L.; Li, Y.; Wu, P.; Zhao, X.; Gao, X.; Chen, X. Recovery growth and water use of intercropped maize following wheat harvest in wheat/maize relay strip intercropping. Field Crops Res. 2020, 256, 107924. [Google Scholar] [CrossRef]
- Dhima, K.V.; Lithourgidis, A.S.; Vasilakoglou, I.B.; Dordas, C.A. Competition indices of common vetch and cereal intercrops in two seeding ratio. Field Crops Res. 2007, 100, 249–256. [Google Scholar] [CrossRef]
- Zhang, W.; Ma, W.; Ji, Y.; Fan, M.; Oenema, O.; Zhang, F. Efficiency, economics, and environmental implications of phosphorus resource use and the fertilizer industry in China. Nutr. Cycl. Agroecosyst. 2008, 80, 131–144. [Google Scholar] [CrossRef]
- Darby, H.M.; Lauer, J.G. Harvest date and hybrid influence on corn forage yield, quality, and preservation. Agron. J. 2002, 94, 559–566. [Google Scholar] [CrossRef]
- Xu, Z.; Li, C.; Zhang, C.; Yu, Y.; van der Werf, W.; Zhang, F. Intercropping maize and soybean increases efficiency of land and fertilizer nitrogen use; A meta-analysis. Field Crops Res. 2020, 246, 107661. [Google Scholar] [CrossRef]
- Gayosso-Barragan, O.; Chavez-Aguilar, G.; Tirado-Gonzalez, D.N.; Marroquin-Morales, J.A.; Lopez-Benitez, A. Yield and forage quality in maize (Zea mays L.) inbred lines. Agro Prod. 2021, 14, 133–140. [Google Scholar] [CrossRef]
- Fischer, J.; Boehm, H.; Hess, J. Maize-bean intercropping yields in Northern Germany are comparable to those of pure silage maize. Eur. J. Agron. 2020, 112, 125947. [Google Scholar] [CrossRef]
- Luce, M.S.; Grant, C.A.; Zebarth, B.J.; Ziadi, N.; O’Donovan, J.T.; Blackshaw, R.E.; Harker, K.N.; Johnson, E.N.; Gan, Y.; Lafond, G.P.; et al. Legumes can reduce economic optimum nitrogen rates and increase yields in a wheat-canola cropping sequence in western Canada. Field Crops Res. 2015, 179, 12–25. [Google Scholar] [CrossRef]
- Zuo, Y.; Zhang, Z.; Liu, C.; Zhang, W. Achieving food security and high production of bioenergy crops through intercropping with efficient resource use in China. Front. Agric. Sci. Eng. 2015, 2, 134–143. [Google Scholar] [CrossRef]
- Thorupkristensen, K. The effect of nitrogen catch crop species on the nitrogen nutrition of succeeding crops. Fertil. Res. 1994, 37, 227–234. [Google Scholar] [CrossRef]
- Fan, F.; Zhang, F.; Song, Y.; Sun, J.; Bao, X.; Guo, T.; Li, L. Nitrogen fixation of faba bean (Vicia faba L.) interacting with a non-legume in two contrasting intercropping systems. Plant Soil 2006, 283, 275–286. [Google Scholar] [CrossRef]
- Trenbath, B.R. Intercropping for the management of pests and diseases. Field Crops Res. 1993, 34, 381–405. [Google Scholar] [CrossRef]
- Zhang, Y.; Wang, H.; Liu, S.; Lei, Q.; Liu, J.; He, J.; Zhai, L.; Ren, T.; Liu, H. Identifying critical nitrogen application rate for maize yield and nitrate leaching in a Haplic Luvisol soil using the DNDC model. Sci. Total Environ. 2015, 514, 388–398. [Google Scholar] [CrossRef] [PubMed]
- Shen, Y.; Sui, P.; Huang, J.; Wang, D.; Whalen, J.K.; Chen, Y. Global warming potential from maize and maize-soybean as affected by nitrogen fertilizer and cropping practices in the North China Plain. Field Crops Res. 2018, 225, 117–127. [Google Scholar] [CrossRef]
- Sinha, E.; Michalak, A.M.; Balaji, V. Eutrophication will increase during the 21st century as a result of precipitation changes. Science 2017, 357, 405–408. [Google Scholar] [CrossRef] [PubMed]
- Raza, S.; Miao, N.; Wang, P.; Ju, X.; Chen, Z.; Zhou, J.; Kuzyakov, Y. Dramatic loss of inorganic carbon by nitrogen-induced soil acidification in Chinese croplands. Glob. Change Biol. 2020, 26, 3738–3751. [Google Scholar] [CrossRef] [PubMed]
- Xu, J.; Cai, H.; Wang, X.; Ma, C.; Lu, Y.; Lu, Y.; Ding, Y.; Wang, X.; Chen, H.; Wang, Y.; et al. Exploring optimal irrigation and nitrogen fertilization in a winter wheat-summer maize rotation system for improving crop yield and reducing water and nitrogen leaching. Agric. Water Manag. 2020, 228, 105904. [Google Scholar] [CrossRef]
- Szmigiel, A.; Kolodziejczyk, M.; Oleksy, A. The effect of organic and mineral fertilization on grain yield of maize. Fragm. Agron. 2006, 29, 70–79. [Google Scholar]
- Li, Y.; Yang, L.; Wang, H.; Xu, R.; Chang, S.; Hou, F.; Jia, Q. Nutrient and planting modes strategies improves water use efficiency, grain-filling and hormonal changes of maize in semi-arid regions of China. Agric. Water Manag. 2019, 223, 105723. [Google Scholar] [CrossRef]
- Lang, A.L.; Pendleton, J.W.; Dungan, G.H. Influence of Population and Nitrogen Levels on Yield and Protein and Oil Contents of Nine Corn Hybrids. Agron. J. 1956, 48, 683–692. [Google Scholar] [CrossRef]
- Tsai, C.Y.; Dweikat, I.; Huber, D.M.; Warren, H.L. Interrelationship of nitrogen nutrition with maize (Zea-mays) grain-yield, nitrogen use efficiency and grain quality. J. Sci. Food Agric. 1992, 58, 1–8. [Google Scholar] [CrossRef]
- Chilundo, M.; Joel, A.; Wesstrom, I.; Brito, R.; Messing, I. Effects of reduced irrigation dose and slow release fertiliser on nitrogen use efficiency and crop yield in a semi-arid loamy sand. Agric. Water Manag. 2016, 168, 68–77. [Google Scholar] [CrossRef]
- Mueller, S.M.; Vyn, T.J. Maize Plant Resilience to N Stress and Post-silking N Capacity Changes over Time: A Review. Front. Plant Sci. 2016, 7, 53. [Google Scholar] [CrossRef]
- Cui, Z.; Zhang, F.; Chen, X.; Dou, Z.; Li, J. In-season nitrogen management strategy for winter wheat: Maximizing yields, minimizing environmental impact in an over-fertilization context. Field Crops Res. 2010, 116, 140–146. [Google Scholar] [CrossRef]
- Li, Y.; Liu, H.; Huang, G. The Effect of Nitrogen Rates on Yields and Nitrogen Use Efficiencies during Four Years of Wheat-Maize Rotation Cropping Seasons. Agron. J. 2016, 108, 2076–2088. [Google Scholar] [CrossRef]
- Chen, D.; Chen, H.W. Using the Köppen classification to quantify climate variation and change: An example for 1901–2010. Environ. Dev. 2013, 6, 69–79. [Google Scholar] [CrossRef]
- Rad, E.B.; Mesdaghi, M.; Ahmad, N.; Abdullah, M. Nutritional quality and quantity of available forages relative to demand: A case study of the goitered gazelles of the Golestan National Park, Iran. Rangelands 2015, 37, 68–80. [Google Scholar] [CrossRef]
- Huang, F.L.; Fu-Ling, X.U.; Qiu, J.; Yue, L.I.; Cui, R.; Fan, N.I.; Sun, M.L.; Chen, L.L.; Chun-Tao, W.U. Evaluation of Crude Fat Content in Castor Seeds by Optimized Soxhlet Extraction. J. Inn. Mong. Univ. Natl. Nat. Sci. 2013, 28, 183–185. [Google Scholar]
- Vansoest, P.J.; Robertson, J.B.; Lewis, B.A. Methods for dietary fiber, neutral detergent fiber, and nonstarch polysaccharides in relation to animal nutrition. J. Dairy Sci. 1991, 74, 3583–3597. [Google Scholar] [CrossRef]
- Sparks, D.L.; Page, A.L.; Helmke, P.A.; Loeppert, R.H.; Soltanpour, P.N.; Tabatabai, M.A.; Johnston, C.T.; Sumner, M.E. (Eds.) Methods of Soil Analysis. Part 3—Chemical Methods; Soil Science Society of America Inc.: Madison, WI, USA, 1996; 1390p. [Google Scholar]
- Tan, Y.; Hu, F.; Chai, Q.; Li, G.; Coulter, J.A.; Zhao, C.; Yu, A.; Fan, Z.; Yin, W. Expanding row ratio with lowered nitrogen fertilization improves system productivity of maize/pea strip intercropping. Eur. J. Agron. 2020, 113, 125986. [Google Scholar] [CrossRef]
- Ghaffarzadeh, M.; Garci Prechac, F.; Cruse, R.M. Grain yield response of corn, soybean, and oat grown in a strip intercropping system. Am. J. Altern. Agric. 1994, 9, 171–177. [Google Scholar] [CrossRef]
- Latati, M.; Blavet, D.; Alkama, N.; Laoufi, H.; Drevon, J.J.; Gerard, F.; Pansu, M.; Ounane, S.M. The intercropping cowpea-maize improves soil phosphorus availability and maize yields in an alkaline soil. Plant Soil 2014, 385, 181–191. [Google Scholar] [CrossRef]
- Zhou, H.; Wang, X.; Wang, F.; Liu, H.; Wang, X.; Hou, S. Study on Optimum Proposal of Fodder Soybean High-yield Matching Cultivation Technique in Autumn Idle Land. J. Agric. 2015, 5, 21. [Google Scholar]
- Khogali, M.E.; Ahmed, E.; Huweris, S. Effect of Nitrogen, Intercropping with Lablab Bean (Lablab purpureus) and Water Stress on Yield and Quality of Fodder Maize. J. Sci. Technol. 2011, 12, 55–66. [Google Scholar]
- Chen, P.; Du, Q.; Liu, X.; Zhou, L.; Hussain, S.; Lei, L.; Song, C.; Wang, X.; Liu, W.; Yang, F.; et al. Effects of reduced nitrogen inputs on crop yield and nitrogen use efficiency in a long-term maize-soybean relay strip intercropping system. PLoS ONE 2017, 12, e0184503. [Google Scholar] [CrossRef] [PubMed]
- Wang, X.; Yang, W.; Miao, J.; Xu, J.; Wan, J.; Nie, Y.; Huang, G. Effects of maize-soybean intercropping and nitrogen fertilizer on yield and agronomic traits of maize. Acta Ecol. Sin. 2014, 34, 5275–5282. [Google Scholar]
- Li, G.; Zhao, B.; Dong, S.; Zhang, J.; Liu, P.; Lu, W. Controlled-release urea combining with optimal irrigation improved grain yield, nitrogen uptake, and growth of maize. Agric. Water Manag. 2020, 227, 105834. [Google Scholar] [CrossRef]
- Chaudhary, R.; Gupta, S.K.; Kohli, A.; Choudhury, S.R.; Singh, M.K. Studies on Green Fodder Yield, Quality and Economics of Cereal Forage Sown alone and Intercrop with Cowpea. Int. J. Curr. Microbiol. Appl. Sci. 2020, 9, 1893–1902. [Google Scholar] [CrossRef]
- Jie, Z.; Yin, B.; Xie, Y.; Li, J.; Yang, Z.; Zhang, G. Legume-Cereal Intercropping Improves Forage Yield, Quality and Degradability. PLoS ONE 2015, 10, e0144813. [Google Scholar]
- Machiani, M.A.; Morshedloo, M.R.; Ostadi, A.; Javanmard, A. Intercropping of maize with legumes: A cleaner strategy for improving the quantity and quality of forage. Clean. Eng. Technol. 2020, 1, 100003. [Google Scholar] [CrossRef]
- Anil, L.; Park, J.; Phipps, R.H. The potential of forage-maize intercrops in ruminant nutrition. Anim. Feed Sci. Technol. 2000, 86, 157–164. [Google Scholar] [CrossRef]
- Titterton, M.; Maasdorp, B.V. Nutritional improvement of maize silage for dairying: Mixed crop silages from sole and intercropped legumes and a long season variety of maize. 2. Ensilage. Anim. Feed Sci. Technol. 1997, 69, 263–270. [Google Scholar] [CrossRef]
- Tadesse, K.; Habte, D.; Admasu, W.; Admasu, A.; Debebe, A. Effects of preceding crops and nitrogen fertilizer on the productivity and quality of malting barley in tropical environment. Heliyon 2021, 7, e07093. [Google Scholar]
- Oikeh, S.O.; Kling, J.G.; Okoruwa, A.E. Nitrogen Fertilizer Management Effects on Maize Grain Quality in the West African Moist Savanna. Crop Sci. 1998, 38, 1056–1161. [Google Scholar] [CrossRef]
- Yuan, M.; Liang, B.; Liu, S.; Chen, Y.; Liu, J.; Nan, Z.; Zhang, G. Effect of Long-term Application of Chemical Fertilizer on the Quality of Summer Maize. Adv. J. Food Sci. Technol. 2016, 11, 117–122. [Google Scholar] [CrossRef]
- Zhang, X.; Huang, G.; Bian, X.; Jiang, X.; Zhao, Q. Effects of intercropping on quality and yield of maize grain, microorganism quantity, and enzyme activities in soils. Acta Ecol. Sin. 2012, 32, 7082–7090. [Google Scholar] [CrossRef][Green Version]
- Lawrence, J.R.; Ketterings, Q.M.; Cherney, J.H. Effect of nitrogen application on yield and quality of silage corn after forage legume-grass. Agron. J. 2008, 100, 73–79. [Google Scholar] [CrossRef]
- Mao, L.; Zhang, L.; Li, W.; van der Werf, W.; Sun, J.; Spiertz, H.; Li, L. Yield advantage and water saving in maize/pea intercrop. Field Crops Res. 2012, 138, 11–20. [Google Scholar] [CrossRef]
- Choudhary, V.K.; Kumar, P.S. Productivity, Water Use and Energy Profitability of Staggered Maize–Legume Intercropping in the Eastern Himalayan Region of India. Proc. Natl. Acad. Sci. India Sect. B Biol. Sci. 2016, 86, 547–557. [Google Scholar] [CrossRef]
- Yin, W.; Yu, A.; Chai, Q.; Hu, F.; Feng, F.; Gan, Y. Wheat and maize relay-planting with straw covering increases water use efficiency up to 46%. Agron. Sustain. Dev. 2015, 35, 815–825. [Google Scholar] [CrossRef]
- Wang, X.; Chen, Y.; Yang, K.; Duan, F.; Liu, P.; Wang, Z.; Wang, J. Effects of legume intercropping and nitrogen input on net greenhouse gas balances, intensity, carbon footprint and crop productivity in sweet maize cropland in South China. J. Clean. Prod. 2021, 314, 127997. [Google Scholar] [CrossRef]
- Li, B.; Li, Y.-Y.; Wu, H.-M.; Zhang, F.-F.; Li, C.-J.; Li, X.-X.; Lambers, H.; Li, L. Root exudates drive interspecific facilitation by enhancing nodulation and N-2 fixation. Proc. Natl. Acad. Sci. USA 2016, 113, 6496–6501. [Google Scholar] [CrossRef] [PubMed]
- Sekiya, N.; Yano, K. Do pigeon pea and sesbania supply groundwater to intercropped maize through hydraulic lift?—Hydrogen stable isotope investigation of xylem waters. Field Crops Res. 2004, 86, 167–173. [Google Scholar] [CrossRef]
- Li, C.J.; Li, Y.Y.; Yu, C.B.; Sun, J.H.; Christie, P.; An, M.; Zhang, F.S.; Li, L. Crop nitrogen use and soil mineral nitrogen accumulation under different crop combinations and patterns of strip intercropping in northwest China. Plant Soil 2011, 342, 221–231. [Google Scholar] [CrossRef]
- Yang, F.; Huang, S.; Gao, R.; Liu, W.; Yong, T.; Wang, X.; Wu, X.; Yang, W. Growth of soybean seedlings in relay strip intercropping systems in relation to light quantity and red:far-red ratio. Field Crops Res. 2014, 155, 245–253. [Google Scholar] [CrossRef]
- Hu, F.; Tan, Y.; Yu, A.; Zhao, C.; Fan, Z.; Yin, W.; Chai, Q.; Coulter, J.A.; Cao, W. Optimizing the split of N fertilizer application over time increases grain yield of maize-pea intercropping in arid areas. Eur. J. Agron. 2020, 119, 126117. [Google Scholar] [CrossRef]
- Ju, X.T.; Kou, C.L.; Christie, P.; Dou, Z.X.; Zhang, F.S. Changes in the soil environment from excessive application of fertilizers and manures to two contrasting intensive cropping systems on the North China Plain. Environ. Pollut. 2007, 145, 497–506. [Google Scholar] [CrossRef]
- Xu, X.; Zhang, M.; Li, J.; Liu, Z.; Zhao, Z.; Zhang, Y.; Zhou, S.; Wang, Z. Improving water use efficiency and grain yield of winter wheat by optimizing irrigations in the North China Plain. Field Crops Res. 2018, 221, 219–227. [Google Scholar] [CrossRef]







| Year | Planting Patterns | Nitrogen Fertilizer Level | Crude Protein Concentration (%) | Crude Fat Concentration (%) | ||||
|---|---|---|---|---|---|---|---|---|
| Maize | Legume | Total | Maize | Legume | Total | |||
| 2019 | LM | N1 | 6.4 c | 17.5 de | 7.6 de | 2.07 de | 3.26 b | 2.20 de |
| N2 | 7.4 abc | 19.3 bcd | 8.7 bcd | 2.44 bcd | 3.37 ab | 2.54 abc | ||
| N3 | 8.4 ab | 22.0 a | 9.9 a | 2.65 abc | 3.64 ab | 2.76 ab | ||
| N4 | 8.7 a | 22.0 a | 10.1 a | 2.74 ab | 3.67 ab | 2.84 a | ||
| FM | N1 | 6.5 c | 15.7 e | 7.4 ef | 1.98 e | 3.39 ab | 2.12 de | |
| N2 | 7.2 bc | 17.8 cde | 8.2 cde | 2.27 cde | 3.35 ab | 2.37 bcd | ||
| N3 | 8.0 ab | 20.0 abc | 9.1 abc | 2.62 abc | 3.61 ab | 2.71 ab | ||
| N4 | 8.4 ab | 20.6 ab | 9.5 ab | 2.77 ab | 3.78 a | 2.87 a | ||
| M | N1 | 6.4 c | NA | 6.4 f | 2.01 e | NA | 2.01 e | |
| N2 | 7.3 bc | NA | 7.3 ef | 2.49 abc | NA | 2.49 abc | ||
| N3 | 8.1 ab | NA | 8.1 cde | 2.81 ab | NA | 2.81 a | ||
| N4 | 8.5 ab | NA | 8.5 bcde | 2.93 a | NA | 2.93 a | ||
| AVOVA | P | ns | ** | ** | ns | ns | ns | |
| N | ** | ** | ** | ** | ** | ** | ||
| P×N | ns | ** | ns | ns | ns | ns | ||
| 2020 | LM | N1 | 6.2 e | 18.7 de | 7.3 e | 2.86 cd | 3.09 e | 2.88 cd |
| N2 | 7.3 d | 20.5 bcd | 8.6 c | 2.92 abcd | 3.44 de | 2.97 bc | ||
| N3 | 8.6 a | 23.7 a | 10.1 a | 3.19 a | 3.84 cd | 3.25 ab | ||
| N4 | 8.1 abc | 22.5 ab | 9.7 ab | 3.17 ab | 4.06 bc | 3.27 a | ||
| FM | N1 | 6.1 e | 17.6 e | 7.1 e | 2.92 abcd | 4.18 bc | 3.03 abc | |
| N2 | 7.5 cd | 19.6 cde | 8.6 c | 2.87 bcd | 4.42 ab | 3.02 abc | ||
| N3 | 8.5 a | 22.1 abc | 9.6 ab | 3.00 abc | 4.85 a | 3.15 abc | ||
| N4 | 8.3 ab | 20.1 bcde | 9.3 b | 3.16 ab | 4.84 a | 3.30 a | ||
| M | N1 | 6.1 e | NA | 6.1 f | 2.69 d | NA | 2.69 d | |
| N2 | 7.2 d | NA | 7.2 e | 2.92 abcd | NA | 2.92 cd | ||
| N3 | 8.1 abc | NA | 8.1 cd | 3.03 abc | NA | 3.03 abc | ||
| N4 | 7.7 bcd | NA | 7.7 de | 3.09 abc | NA | 3.09 abc | ||
| AVOVA | P | ** | ** | ** | ns | ** | ** | |
| N | ** | ** | ** | ** | ** | ** | ||
| P × N | ns | ** | ns | ns | * | ns | ||
| Year | Planting Patterns | Nitrogen Fertilizer Level | NDF Concentration (%) | ADF Concentration (%) | ||||
|---|---|---|---|---|---|---|---|---|
| Maize | Legume | Total | Maize | Legume | Total | |||
| 2019 | LM | N1 | 41.43 ab | 39.97 ab | 41.27 ab | 24.89 ab | 36.85 bc | 26.21 a |
| N2 | 39.97 ab | 37.51 bcd | 39.71 ab | 24.81 ab | 36.45 cd | 26.05 a | ||
| N3 | 36.98 ab | 35.04 cd | 36.77 ab | 22.57 ab | 32.51 de | 23.66 ab | ||
| N4 | 36.23 b | 34.21 d | 36.01 b | 21.85 b | 32.05 e | 22.94 ab | ||
| FM | N1 | 41.82 ab | 43.28 a | 41.96 ab | 25.13 ab | 41.20 a | 26.66 a | |
| N2 | 40.20 ab | 41.72 ab | 40.34 ab | 25.24 ab | 40.50 ab | 26.62 a | ||
| N3 | 37.60 ab | 40.19 ab | 37.83 ab | 23.36 ab | 35.40 cde | 24.46 ab | ||
| N4 | 37.14 ab | 39.31 abc | 37.34 ab | 22.30 ab | 33.80 cde | 23.38 ab | ||
| M | N1 | 43.27 a | NA | 43.27 a | 26.20 a | NA | 26.20 a | |
| N2 | 41.75 ab | NA | 41.75 ab | 25.53 ab | NA | 25.53 ab | ||
| N3 | 39.83 ab | NA | 39.83 ab | 23.19 ab | NA | 23.19 ab | ||
| N4 | 37.63 ab | NA | 37.63 ab | 21.92 b | NA | 21.92 b | ||
| AVOVA | P | ns | ** | ns | ns | ** | ns | |
| N | ** | ** | ** | ** | ** | ** | ||
| P×N | ns | ns | ns | ns | ** | ns | ||
| 2020 | LM | N1 | 44.08 ab | 40.39 ab | 43.74 ab | 27.56 a | 33.78 ab | 28.12 a |
| N2 | 42.07 abc | 40.10 ab | 41.89 abc | 25.00 ab | 31.84 bc | 25.63 abc | ||
| N3 | 38.77 bc | 35.54 b | 38.45 bc | 22.11 bc | 26.61 d | 22.55 cd | ||
| N4 | 36.94 c | 36.03 b | 36.84 c | 20.87 c | 26.52 d | 21.50 d | ||
| FM | N1 | 43.30 ab | 42.74 a | 43.25 ab | 26.74 a | 36.38 a | 27.6 ab | |
| N2 | 41.15 abc | 41.14 a | 41.15 abc | 24.47 abc | 35.44 a | 25.49 abc | ||
| N3 | 39.91 bc | 39.34 ab | 39.87 bc | 22.94 bc | 29.77 cd | 23.49 cd | ||
| N4 | 38.72 bc | 38.20 ab | 38.68 bc | 21.30 bc | 30.42 bc | 22.04 cd | ||
| M | N1 | 46.09 a | NA | 46.09 a | 27.08 a | NA | 27.08 ab | |
| N2 | 44.27 ab | NA | 44.27 ab | 24.64 abc | NA | 24.64 abcd | ||
| N3 | 42.18 abc | NA | 42.18 abc | 24.23 abc | NA | 24.23 bcd | ||
| N4 | 39.55 bc | NA | 39.55 bc | 21.96 bc | NA | 21.96 cd | ||
| AVOVA | P | * | ** | ** | ns | ** | ns | |
| N | ** | ** | ** | ** | ** | ** | ||
| P × N | ns | ns | ns | ns | ** | ns | ||
| Year | Planting Patterns | Nitrogen Fertilizer Level | Water Storage before Sowing (mm) | Water Storage during Harvest (mm) | Soil Evapotranspiration (mm) | Water Use Efficiency of Legume and Maize Biomass (kg ha−1 mm−1) |
|---|---|---|---|---|---|---|
| 2019 | LM | N1 | 367.6 a | 352.8 a | 553.9 a | 38.0 cd |
| N2 | 361.5 a | 328.7 a | 571.8 a | 47.2 ab | ||
| N3 | 359.9 a | 308.9 a | 590.1 a | 54.5 a | ||
| N4 | 358.8 a | 307.2 a | 590.7 a | 52.9 a | ||
| FM | N1 | 368.9 a | 354.0 a | 554.1 a | 35.4 d | |
| N2 | 369.8 a | 346.4 a | 562.5 a | 47.1 ab | ||
| N3 | 367.3 a | 312.5 a | 594.0 a | 53.7 a | ||
| N4 | 373.6 a | 310.7 a | 601.9 a | 52.5 a | ||
| M | N1 | 368.9 a | 341.2 a | 566.8 a | 35.8 d | |
| N2 | 369.8 a | 319.7 a | 589.3 a | 44.1 bc | ||
| N3 | 369.0 a | 303.2 a | 604.9 a | 51.5 ab | ||
| N4 | 372.1 a | 296.3 a | 614.9 a | 50.4 ab | ||
| AVOVA | P | ns | ns | ns | ns | |
| N | ns | ** | ns | ** | ||
| P × N | ns | ns | ns | ns | ||
| 2020 | LM | N1 | 354.1 a | 380.5 a | 496.1 a | 38.2 cd |
| N2 | 339.3 a | 362.5 a | 494.2 a | 46.2 bc | ||
| N3 | 329.6 a | 370.0 a | 477.0 a | 63.6 a | ||
| N4 | 334.9 a | 386.2 a | 466.1 a | 61.8 a | ||
| FM | N1 | 353.3 a | 371.2 a | 499.5 a | 36.5 d | |
| N2 | 347.8 a | 361.3 a | 503.9 a | 44.2 bcd | ||
| N3 | 330.1 a | 358.2 a | 489.3 a | 61.7 a | ||
| N4 | 348.6 a | 378.1 a | 487.9 a | 58.5 a | ||
| M | N1 | 349.2 a | 381.2 a | 485.4 a | 38.6 bcd | |
| N2 | 341.5 a | 375.6 a | 483.3 a | 47.7 b | ||
| N3 | 327.5 a | 368.6 a | 476.3 a | 61.2 a | ||
| N4 | 343.6 a | 376.6 a | 484.3 a | 56.2 a | ||
| AVOVA | P | ns | ns | ns | ns | |
| N | ns | ** | ns | ** | ||
| P×N | ns | ns | ns | ns |
Publisher’s Note: MDPI stays neutral with regard to jurisdictional claims in published maps and institutional affiliations. |
© 2022 by the authors. Licensee MDPI, Basel, Switzerland. This article is an open access article distributed under the terms and conditions of the Creative Commons Attribution (CC BY) license (https://creativecommons.org/licenses/by/4.0/).
Share and Cite
Zhang, H.; Shi, W.; Ali, S.; Chang, S.; Jia, Q.; Hou, F. Legume/Maize Intercropping and N Application for Improved Yield, Quality, Water and N Utilization for Forage Production. Agronomy 2022, 12, 1777. https://doi.org/10.3390/agronomy12081777
Zhang H, Shi W, Ali S, Chang S, Jia Q, Hou F. Legume/Maize Intercropping and N Application for Improved Yield, Quality, Water and N Utilization for Forage Production. Agronomy. 2022; 12(8):1777. https://doi.org/10.3390/agronomy12081777
Chicago/Turabian StyleZhang, Haixing, Wei Shi, Shahzad Ali, Shenghua Chang, Qianmin Jia, and Fujiang Hou. 2022. "Legume/Maize Intercropping and N Application for Improved Yield, Quality, Water and N Utilization for Forage Production" Agronomy 12, no. 8: 1777. https://doi.org/10.3390/agronomy12081777
APA StyleZhang, H., Shi, W., Ali, S., Chang, S., Jia, Q., & Hou, F. (2022). Legume/Maize Intercropping and N Application for Improved Yield, Quality, Water and N Utilization for Forage Production. Agronomy, 12(8), 1777. https://doi.org/10.3390/agronomy12081777
