Next Article in Journal
Mixture Composition Influenced the Biomass Yield and Nutritional Quality of Legume–Grass Pastures
Previous Article in Journal
Short- and Medium-Term Effects of On-Farm Compost Addition on the Physical and Hydraulic Properties of a Clay Soil
Previous Article in Special Issue
Effects of Green Manure Combined with Phosphate Fertilizer on Movement of Soil Organic Carbon Fractions in Tropical Sown Pasture
 
 
Font Type:
Arial Georgia Verdana
Font Size:
Aa Aa Aa
Line Spacing:
Column Width:
Background:
Communication

Mathematical Models of the Dynamic Stability of Arid Pasture Ecosystems in the South of Russia

by
Aleksandr Nikolaevich Salugin
and
Marina Vladimirovna Vlasenko
*
Federal State Budget Scientific Institution «Federal Scientific Centre of Agroecology, Complex Melioration and Protective Afforestation of the Russian Academy of Sciences», Volgograd 400062, Russia
*
Author to whom correspondence should be addressed.
Agronomy 2022, 12(6), 1448; https://doi.org/10.3390/agronomy12061448
Submission received: 13 May 2022 / Revised: 7 June 2022 / Accepted: 14 June 2022 / Published: 16 June 2022

Abstract

:
In this study, the issue of the ecological stability of the soil and vegetation cover of the North-Western Near-Caspian arid zones within the borders of the Black Lands (BL) of the Republic of Kalmykia was considered. Modeling was carried out of the open systems’ thermodynamics principles using continuous and discrete formalisms. Models presented in the form of systems of ordinary differential equations, Markov’s circuits, and autonomous impulse processes show the possibility of their application in the management of pasture feed stocks. Modeling with the systems of differential equations makes it possible to identify points of stable states of pasture systems. Markov circuits are able to establish an optimal animal load on these systems. A computational algorithm for determining the stability of pasture ecosystems using autonomous impulse processes allows optimization problems to be solved to determine the conditions for the spread of external influences. Computational experiments were carried out to determine the parameters of the model corresponding to the sustainable mode of operation in arid pasture ecosystems.

1. Introduction

The Caspian region is the geographical standard of the arid belt of the Russian Federation. As climate aridity (NAI) increases from the northwest (NAI 0.20–0.40) to the southeast (NAI > 60), the steppe zone turns into a desert zone (Figure 1).
The vegetation of semi-desert and desert soil types includes about 700 plant species belonging to 78 families, of which 14% are Asteráceae, 11% are Poáceae, and 9% are Chenopodiaceae and Artemisia. The vegetation is stunted.
Degradation and desertification affect natural ecosystems and agricultural lands in the study area [1]. The main limiting climatic factor for the growth and development of plants is the insufficient amount and unstable nature of precipitation. Less precipitation falls during the cold period than during the warm season. The yield of natural vegetation is 70%, and is determined by the amount of accumulated moisture during the cold period [2]. In addition to climatic factors, the growth and development of plants are limited by anthropogenic factors (fires and overgrazing of farm animals on pastures), in addition to low nutrient content in the soil [3,4,5]. Pasture load remains the leading anthropogenic factor. The negative impact is noticeable after 7–10 years of continuous overgrazing. Indigenous communities are replaced by derived cenoses depending on zonal conditions. There is a depletion of the species composition of communities, and simplification of their horizontal and vertical structure. Often the vegetation cover is eaten by animals at the root. In this regard, plants are sparsely seeded or not seeded at all. Grazing leads to the creation of conditions of greater dryness of the soil and contributes to the preservation of plants of the xerophilic series. When overloading pastures with cattle, there is an exogenous succession of a regressive type [6].
There is no significant difference in phytomass reserves, with the same degree of degradation between steppe, desert, and semi-desert communities. However, the compositions of species do not resemble each other. In more arid conditions, communities of xerothermal species are formed, which are more adapted to lack of moisture. With varying degrees of vegetation cover degradation, the structure of associations changes [7]. With severe degradation, annual species are dominant, mainly cereals and salsoleae (up to 90%). Semi-shrubs in such phytocenoses occupy about 5% [4]. The lands that have come out of agricultural circulation after irrigation, where annual ruderal species dominate, are the most energy poor. The average degree of degradation is characterized by a ratio of phytomass of annual and perennial species of 1:1 [1]. Between medium and highly degraded pastures there are secondary saline lands that have been fallow for more than 5 years. The low degree of arid pastures degradation is characterized by a large species diversity, the dominance of semi-shrubs in phytocenoses, resistance to grazing, and stable reproduction of forage resources.
Increasing the productivity of agricultural land only due to the production intensification does not yield the expected economic results. When enriching and increasing the productivity of arid areas, the main factor is the selection of species, ecotypes, and breeding varieties of perennial forage plants based on the widespread use of natural flora. A positive contribution to agroecology and the development of the agro-industrial complex in the region was made by the conducted phytomelioration works. For example, large volumes of phytomelioration works in Kalmykia were carried out in the period from 1989 to 1995, when more than 140 thousand hectares of sand were secured and the avalanche-like nature of desertification was retained [1]. The volume, composition, and priority of phytomeliorative measures were planned taking into account the peculiarities of degradation processes.
Currently, the degradation of the soil and vegetation cover (SVC) of arid pasture ecosystems is global in nature, and its processes are stochastic in nature and are accompanied by erosion, deflation, salinization, and other negative processes [8,9,10,11,12,13,14].
Characterized by having complex internal interactions and a large number of elements, arid pasture ecosystems are difficult to study by traditional methods. In this regard, the forecast of the occurrence of productivity decline risks, the occurrence of land degradation, and desertification quantification requires the use of various mathematical modeling methods [9,10,11,15,16,17,18,19,20,21]. One of the leading issues here is the problem of sustainability, since only stable ecosystems that can withstand certain anthropogenic loads and climate change can exist and function stably [9,15,21,22,23,24]. The problems of the sustainability of arid pasture ecosystems are solved by mathematical modeling, which relates the issues of rational exploitation of the natural environment, the limits of its pollution, the permissibility of environmental management, and reclamation measures. The measures are well justified and quantitatively confirmed by mathematical modeling.

2. Materials and Methods

When trying to build a model of a complex system with many connections between elements and a large number of parameters, certain difficulties arise: real systems may be influenced by random factors, or, for example, a theory that can explain the features of simulated system’s functioning has not been developed for it. Due to the factors arising in the study of complex systems, flexible modeling methods are sought.
The purpose of this simulation was to reveal the relationships between plants, organisms, and habitat factors, and to analyze their complexity and variability.
The use of mathematical modeling methods in this work is relevant in solving problems that consider the causes of environmental disasters (up to desertification) and the dynamics of imbalance in arid ecosystems.
The processes of the development of deserted territories have not been studied enough. Detailed studies of the nature and mechanisms of formation of zones with increased aridity are required. Field observations are usually limited to the size of test ranges of about 1 ha. The nonlinearity of ecosystem dynamics revealed in such studies does not allow reliable long-term forecasts to be obtained due to the small amount of initial data. One time point of the trend requires a year of field work and large material investments. Over 50 years, 5–8 trend points are obtained. In this regard, desert pastures have been investigated using aerospace monitoring data.
The object of the current research was the phytocenoses of the natural pastures in the territory of the North-Western Near-Caspian area within the borders of the Black Lands (BL) of the Republic of Kalmykia, on vast arrays of sandy loam and sandy soils encompassing an area of over 2 million hectares. The western border of the Republic of Kalmykia runs along the Ergeninsky upland and passes in the south into the Kumo-Manych depression. The eastern and north-eastern borders approach the river Volga, and, in the southeast, it is bordered by the Caspian Sea.
The transition probability matrices of four main classes of pasture ecosystem states were analyzed:
S1—a community of cereal species, kochia, and white wormwood, unbroken and slightly overpastured;
S2—feather grass communities and grass-white wormwood communities, moderately overpastured;
S3—communities of weedy annual species and feather grass-ceratocarpus communities, heavily overpastured;
S4—mobile sands, completely overpastured.
The geographical location of the territory determines the presence of an arid and semiarid climate. The aridity index is 0.20–0.47. The pasture load exceeds the norm by 2.8–3.2 times.
The climate of Kalmykia is sharply continental, arid. In the semi-desert zone, the air temperature in summer reaches +45 °C. Winters are not snowy, with severe frost down to −40 °C. The average annual air temperature ranges from +8 to +10 °C. The frost-free period lasts 178–225 days. The average annual rainfall for the year is 190–350 mm. The main amount (50–70 mm) of precipitation falls in the spring–summer period. Evaporation is 6–7 times higher than the amount of annual precipitation (Table 1).
Groundwater is at a depth of 5–10 m, above the mounds (Ber ridges)—20–20 m. Mineralization—10–15 g/L, in some places up to 45–70 g/L.
The nature of the soil cover of the territory is determined by climatic conditions, terrain, and soil-forming rocks. Kalmykia belongs to two soil zones: chestnut and brown. The semi-desert zone is dominated by light loamy and sandy loamy soils with sandy soils. The desert zone is dominated by solonetsous sandy loamy and sandy brown soils in combination with solonetzes. Meadow-chestnut medium loamy solonchak soils in combination with solonchaks are common in the northeast.
The areas of soils and their complexes are shown in Figure 2.
To identify the causes of degradation and factors contributing to the restoration of the productive longevity of arid pastures, mathematical models with various interelement connections were considered. The SVC stability study was carried out on the dynamics models of the BL pasture phytocenoses. Mathematical models are divided into continuous and discrete [9,13,14,17,25,26,27,28,29,30,31]. The analytical method of continuous models is based on a system of ordinary differential equations (ODEs). The application of ODEs is often difficult and requires simplification of the model, which leads to a decrease in accuracy. The use of discrete modeling in the form of Markov circuits (MCs) and autonomous and impulsed processes (AIPs) is the most rational among existing mathematical methods. The solution of the ODE system makes it possible to justify the ability of ecosystems to withstand external influences [24,32,33,34]. Discrete models allow similar problems to be solved using the theory of random processes in the form of MCs or AIPs [15,16,19,24,25,26,27,28,29,30,31].

2.1. Analytical Modeling

The following ODE system (1) describes the successional model of arid pastures of the BL:
y j = i = i = 4 a i j y j + c j ,
where αij—transition coefficients, yj—area of the j-th phytocenosis, cj—influence of the external environment.
The right parts of the autonomous system describing the succession of the SVC do not contain time [9,10,11,13,14]. The solution of System (1) determines the change in the areas of phytocenoses from time to time in the form of a superposition of exponents. Intermediate phytocenoses are described by nonmonotonic curves with characteristic extremes at various points of evolution. The picture of destruction can be summarized by the fact that natural pastures, having passed through intermediate stages with a change in species diversity, turn into open sands.

2.2. Markov Circuits (MCs)

In discrete mathematics, MCs are known as random processes that occur between possible states of a system. The paradigm of multichannel successions by the MC mechanism was developed when studying the soil cover of the BL [9,10,11,13,15].
Modeling with the help of MCs provides an opportunity to determine the lifetime of phytocenosis, if data on their development are available. According to long-term data of aerospace monitoring (1954–2018), matrices of transition probabilities P for four phytocenoses were compiled. The succession dynamics was recorded as a time series of pasture conditions at intervals of 4–5 years. The predicted areas of phytocenoses determine the final vectors.
MCs were described by a digraph with an adjacency matrix in the form of a transition probability matrix R. If we assume that the processes within the ecosystem do not depend on the observation time, then a new state vector can be obtained after t time steps. We can obtain the final vector S(t), as the basis for a mathematical model for predicting changes in the SVC, by multiplying the initial vector (S0) by the transition matrix in degrees t [16,35,36]: S(t) = S(0) Pt.
For homogeneous MCs, the system does not depend on the path of arrival to the previous state. The system is described by the vector of the previous observation. The forecast assumes the development of various scenarios and obtains final situations with the same initial data. In these cases, it is possible to detect the influence of an anthropogenic factor and manage it.
The study of the SVC dynamics using MCs is confirmed by the mathematical paradigm of the dynamic stability of such systems. The MC was set by a matrix of transitions and a vector of initial states S(0) = (S01, S02,…, S0n) and the matrix:
P = ( p 11 p 12 p 13 p 14 p 21 p 22 p 23 p 24 0 p 32 p 33 p 34 0 0 p 43 p 44 ) .
The probabilities of transitions from the i-th to the j-th state are elements of the matrix P. The vertices of the digraph (Si states) and arcs (transition probabilities) reflect the dynamics of the ecosystem. The states of ecosystems accompanied by nonlinear processes [13,19] are caused by exchange with the environment. Unclosed open ecosystems are particularly interesting when studying the dynamics of arid zones phytocenoses [15].

2.3. Autonomous Impulse Processes (AIP)

Autonomy implies independence from the time of observation. A mathematical model using autonomous impulse processes is described in the context of research on the ecosystem sustainability problems in general and for the SVC in particular. The system was defined as a signed digraph with vertices i = 1, 2, …, n, which interact with each other through oriented arcs. The direction and degree of influence are reflected by the weight of the arc and the sign. In the initial state, the vertices are defined by the initial state vector. Under external influence, an impulse I(0) will occur at the vertices of the graph, which propagates along the digraph. This is enough to know the initial state and the impulse of external intervention at a certain point in time to determine the state of the SVC. The impulse of vector is determined by the formula:
I(t) = S(t) − S(t − 1),
where S(t)—vector of the current state, S(t − 1)—the vector of the previous state.
The state of the SVC at any time S(t) is determined by the formula:
S ( t ) = S ( 0 ) + i = 0 t P t
where S(0)—vector of the initial state.

3. Results and Discussion

Identification of the SVC dynamic stability conditions was carried out in the context of the stability of the fourth-order ODE system solutions [19,32]. For the period from 1954 to 1958, the characteristic polynomial of system (1) has four roots, which are “stability indicators”: λ1 = 0.40, λ2 = −0.41, λ3 = 2.55, λ4 = −2.54. If all the real parts of the roots of its characteristic polynomial are negative, then the ODE system will be stable [32,33,34]. In this case, the system can be called unstable. The result indicates that such ecosystems can be investigated by studying the sensitivity of solutions to changes in coefficients αij of System (1) [32]. To do this, we transform System (1) into System (4):
d y i d t = α i j u c x ( 1 + ε i j ) y k + b i ,
while |εij| << 1.
The change in solutions with the variation in the coefficients εij reflects the stability of the pasture ecosystem. The property of the system to remain the same with variations in the coefficients of the ODE is called parametric stability [32]. The calculation of the ODE parameters that meet the conditions of the SVC stability is of great practical importance in the optimal management of pasture bioresources [10]. The search for these parameters is one of the tasks of stability theory. One of the ways to solve it is to localize the eigenvalues of the matrix [37,38,39].
Markov circuits. The SVC stability was studied with discrete modeling using MCs. The nonlinearity of the MC is described by a parameter reflecting the degree of the ecosystem deviation from equilibrium. This parameter is a characteristic of the ecosystem δ(t):
δ ( t ) = i = 1 4 | S i ( 0 ) S i ( t ) | ,
where Si(0)—the area of the i-th community at the initial value, Si(t)—the predicted stationary value of the area of the i-th community, calculated by the equation S(t) = S(0)·Pt.
The heterogeneity of the MC can be caused by stochastic (climate) and deterministic (anthropogenic) factors. Exceeding the maximum load of animals on pastures is the main anthropogenic factor. The load of γ(t) on pasture ecosystems can be calculated using the following formula:
γ ( t ) = i = 1 3 S i c i R ( t ) ,
where ci—components of the vector of weighting coefficients of ecosystem feed stocks, R(t)—number of livestock.
The total biomass of an ecosystem is defined as:
i = 0 3 S i c i
As follows from Equations (5) and (6), the ecosystem deviation degree parameter from equilibrium δ(t) depends on the intensity of pasture exploitation, determined by the value γ(t). The bifurcation points of the SVC are associated with the processes of their complex mutual dynamics. The functioning of phytocenoses is prescribed by an inhomogeneous Markov chain, as a result of ecosystem instability.
The destabilization parameter δ(t) is affected by a change in the pasture load γ(t). In Figure 3, the periods from 1977 to 1988 indicate changes in the parameters δ(t) and R(t); that is, the instability of the ecosystem at the points of fracture of the curve δ(t) is revealed. The points of destabilization do not correlate with the animal load. The curve R(t) has a monotonic character. Such development of the SVC is described by a heterogeneous MC as a result of instability, and is determined by the specifics of the dynamic development of its phytocenoses. The revealed relationship between the pasture area and the conditional load makes it possible to determine the optimal mode of rational use of the SVC.
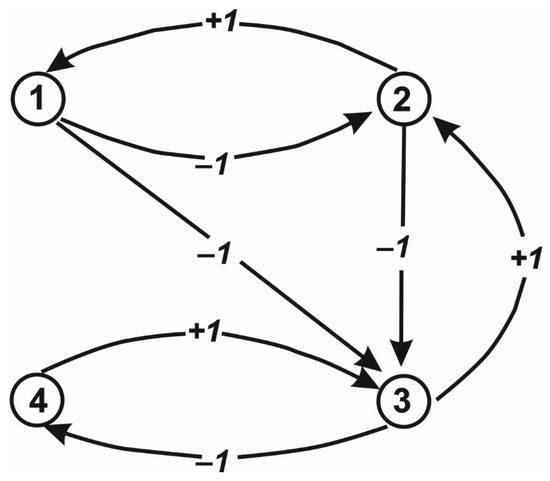
The matrix of interelement transitions describes the SVC degradation process and contains direct (destroyed) and reverse (restored) transitions, which are modeled using the AIP digraph. This matrix is the source of the description of the MC. The SVC of the Black Lands is presented in the form of a digraph (Figure 4), where negative arcs mean the process of degradation, and positive ones represent restoration. The propagation of the impulse according to this scheme leads to an unstable process (1).
The SVC evolution is determined by the impulse propagation. The increasing fluctuations in the vertex weights characterize the instability of ecosystems, and the asymptotic approximation to the final value, as in the MC, characterizes the stability.
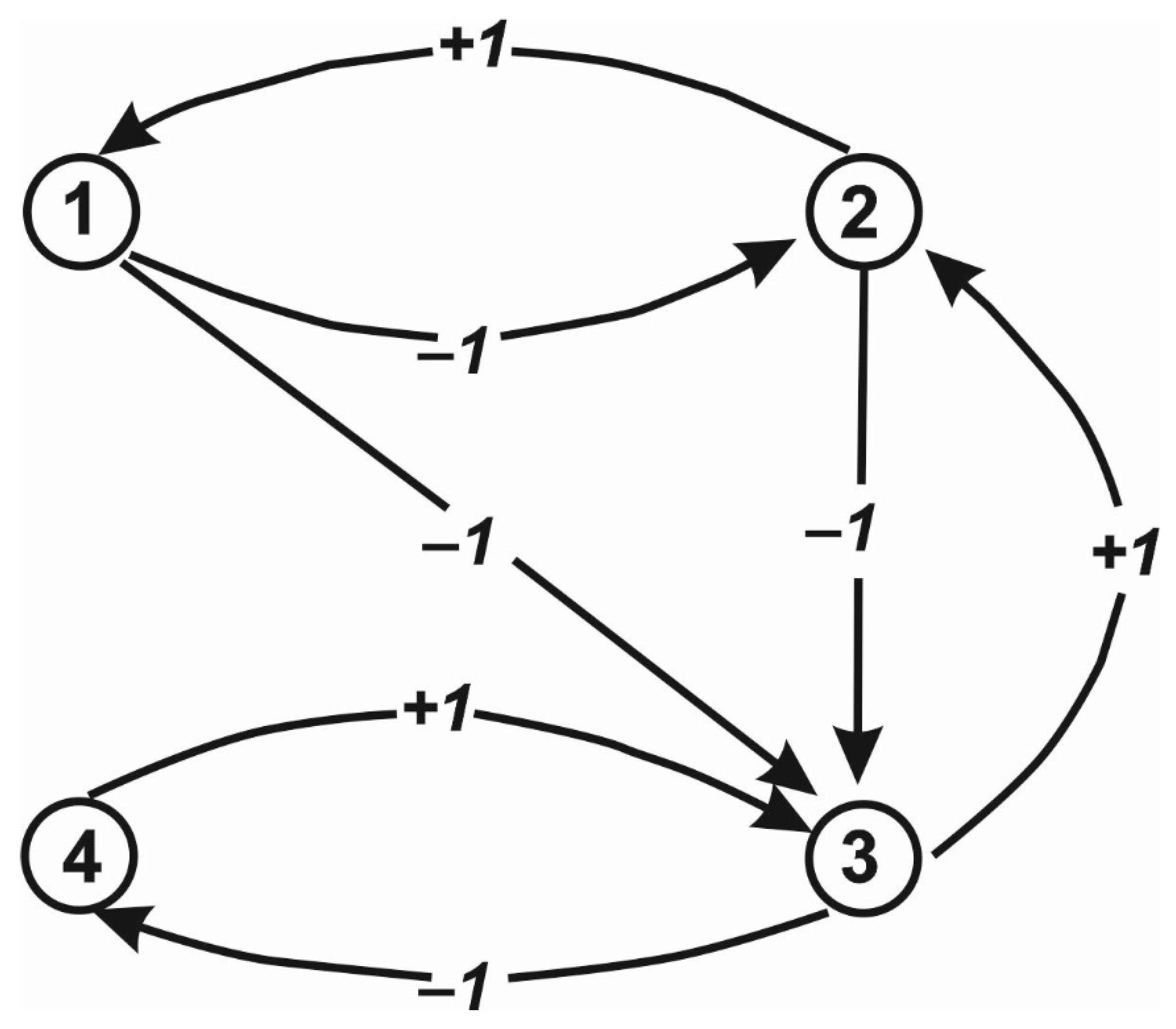
Figure 5 shows that the AIP system is unstable, since the weight of the vertices of all plant communities grows indefinitely.
As a result of the simulation, it was found that the system with similar initial data is unstable, and the model, due to the fact that the initial arcs do not correspond to reality, “does not work”. For a stable SVC, quantitative values of the stochastic matrix were obtained by optimization with constraints [20,40]. As a result, a probability matrix is obtained:
P = 0 0.613 0.847 0 0.044 0 0.558 0 0 0.212 0 0.754 0 0 0.303 0
For both the processes of destruction (the upper superdiagonal part with negative values) and for restoration (the lower part), the transition coefficients changed. Figure 6 shows that the SVC stabilizes after a few steps. The results of such optimization indicate the possibility of the stable functioning of the SVC.
The obtained results open up new directions in applications of discrete modeling for problems of stability of complex systems of agroecology.
Research using AIP is effective in cases where the physics of phenomena is unknown. Impulse processes adequately describe the ecosystem dynamics over time and make it possible to select optimal model parameters for the purpose of managing biological resources.
In the development of this concept, it can be assumed that the relationship of succession intensities with the eigenvalues of the matrix (the roots of its characteristic polynomial) has a synergetic nature, when intra-system stabilization proceeds through destruction (chaos), leading to the emergence of new phytocenoses. Similar phenomena are observed in the nonequilibrium thermodynamics of dissipative systems [23,41,42].
Using the examples given, one can consider the sustainability of other ecosystems and predict their future. A similar, but already global problem, belongs to the ecology section, which studies the dynamics of ecosystems of the biosphere—the biotic component of the lithosphere [28,40,43,44,45,46]. This is especially important for arid regions with increased anthropogenic loads. Their self-recovery is based on the growth of biodiversity, which ensures the stabilization of the overall balance of bioproducts [30,40,47,48,49,50].

4. Conclusions

The combined use of differential equations and MCs most adequately mathematically describes unstable ecosystems. Discrete and continuous modeling of changes in arid pasture ecosystems has established that the results of analytical models with continuous time in the form of ODE systems are identical to the results of discrete models using MCs or autonomous impulse processes. The stability of pastures studied using a parametric model shows a new approach to solving this problem, since the model adequately reflects the ability of the system to self-recover.
Studies of the BL of Kalmykia using the MC have shown that stationary distributions of phytocenoses are achieved according to a nonlinear time trend with bifurcation points and the emergence of intermediate phytocenoses. This behavior of the pasture ecosystem is associated with the processes of dynamic development of the SVC, and is described by an inhomogeneous chain representing the definition of stable states of plant communities. Optimal loads on pasture ecosystems are determined by the functional relationship between pasture area and animal load.
Autonomous impulse processes are effective in the study of arid ecosystems when the dynamics of the phytocenoses evolution is modeled, especially in multidimensional optimization problems with a target function of several variables. The given ideas of continuous and discrete modeling show their capabilities in the study of dynamics, forecasting, and determination of resistance to external disturbances.

Author Contributions

Data curation, M.V.V.; Investigation, A.N.S. and M.V.V.; Methodology, A.N.S.; Project administration, M.V.V.; Writing—original draft, A.N.S.; Writing—review and editing, M.V.V. All authors have read and agreed to the published version of the manuscript.

Funding

The work was carried out within the framework of the State task№122020100450-9 Development of a new methodology for optimal management of biological resources in agricultural landscapes of the arid zone of the Russian Federation using system-dynamic modeling of soil-hydrological processes, a comprehensive assessment of the climate change impact and anthropogenic loads on agrobiological potential and forest-growing conditions (Federal State Budget Scientific Institution «Federal Scientific Centre of Agroecology, Complex Melioration and Protective Afforestation of the Russian Academy of Sciences»).

Institutional Review Board Statement

The study was conducted in accordance with the Declaration of Helsinki, and approved by the Ethics Committee of the Federal State Budget Scientific Institution «Federal Scientific Centre of Agroecology, Complex Melioration and Protective Afforestation of the Russian Academy of Sciences» (protocol No. 1 of 04.26.2022).

Informed Consent Statement

Informed consent was obtained from all subjects involved in the study.

Data Availability Statement

Not applicable.

Conflicts of Interest

The authors declare no conflict of interest.

References

  1. Dedova, E.B.; Goldvarg, B.A.; Tsagan-Mandzhiev, N.L. Land degradation in the republic of Kalmykia: Problems and ways of their restoration. Arid Ecosyst. 2020, 2, 63–71. [Google Scholar]
  2. Turko, S.Y.; Vlasenko, M.V.; Trubakova, K.Y. Assessment and forecast of grain crop yields in the Volgograd region in connection with changes in economic activity and global climate change. Agrar. Bull. Ural. 2018, 9, 43–49. [Google Scholar] [CrossRef]
  3. Vlasenko, M.V.; Shagaipov, M.M. Elimination of the consequences of pasture digression in the desert-steppe zone with the help of phytomelioration. In Proceedings of the IOP Conference Series: Earth and Environmental Science, Moscow, Russia, 10 March 2021; Volume 867, p. 012081. [Google Scholar] [CrossRef]
  4. Vlasenko, M.V.; Kulik, A.K.; Salugin, A.N. Evaluation of the ecological status and loss of productivity of arid pasture ecosystems of the Sarpa lowland. Arid Ecosyst. 2019, 9, 273–281. [Google Scholar] [CrossRef]
  5. Vlasenko, M.V.; Tyutyuma, N.A. Productivity of pastoral ecosystems on the sand lands of the south of the European part of Russia. In Proceedings of the IOP Conference Series: Earth and Environmental Science, Moscow, Russia, 10 March 2020; Volume 579, p. 012079. [Google Scholar] [CrossRef]
  6. Lazareva, V.G.; Bananova, V.A.; Van Zung, N. Dynamics of modern vegetation for pasture use in the Northwestern Precaspian region. Arid Ecosyst. 2020, 4, 26–34. [Google Scholar] [CrossRef]
  7. Vlasenko, M.V.; Kulik, A.K.; Turko, S.Y.; Balkushkin, R.N.; Tyutyuma, N.V. Ecological and phytocenotic organization of psammophytic communities of the Tsimlyansk sand massif. South Russ. Ecol. Dev. 2019, 14, 35–45. [Google Scholar] [CrossRef]
  8. Vlasenko, M.V.; Rybashlykova, L.P.; Turko, S.Y. Restoration of Degraded Lands in the Arid Zone of the European Part of Russia by the Method of Phytomelioration. Agriculture 2022, 12, 437. [Google Scholar] [CrossRef]
  9. Vinogradov, B.V. Fundamentals of Landscape Ecology; GEOS: Moscow, Russia, 1998; p. 418. [Google Scholar]
  10. Vinogradov, B.V.; Kulik, K.N.; Salugin, A.N. Forecasting of desertification processes in Western Caspian pastures based on aerospace photographic information. For. Reclam. Landsc. 1993, 1, 67–82. [Google Scholar]
  11. Vinogradov, B.V.; Cherkashin, A.K.; Gornov, A.Y.; Kulik, K.N. Dynamic monitoring of degradation and restoration of pastures of the Black Lands of Kalmykia. Probl. Dev. Deserts 1990, 1, 10–19. [Google Scholar]
  12. Gusev, A.P. Features of the initial stages of restoration succession in the anthropogenic landscape (on the example of the south-east of Belarus). Ecology 2009, 3, 174–179. [Google Scholar]
  13. Kulik, K.N.; Salugin, A.N. Modeling the deflation of arid pastures using Markov chains. Ecosyst. Ecol. Dyn. 2017, 1, 5–22. [Google Scholar]
  14. Kulik, K.N.; Salugin, A.N.; Sidorova, E.A. Dynamic stability of arid ecosystems. Arid Ecosyst. 2012, 2, 28–34. [Google Scholar] [CrossRef]
  15. Kust, G.S.; Andreeva, O.V.; Lobkovsky, V.A. Neutral balance of land degradation—A modern approach to the study of arid regions at the national level. Arid Ecosyst. 2020, 2, 3–9. [Google Scholar]
  16. Logofet, D.O.; Evstigneev, O.I.; Aleinikov, A.A.; Morozova, A.O. Beaver-induced succession: I. Lessons from the calibration of a simple Markov model. J. Gen. Biol. 2014, 2, 95–103. [Google Scholar]
  17. Marcus, R.; Mink, H. A Survey on Matrix Theory and Matrix Inequalities; The Science: Moscow, Russia, 1972; p. 232. [Google Scholar]
  18. Roberts, F.S. Discrete Mathematical Models with Applications to Social, Biological and Ecological Problems; Nauka: Moscow, Russia, 1986; p. 496. [Google Scholar]
  19. Salugin, A.N. Dynamic Modeling of Degradation Processes in Agroecology. Ph.D. Thesis, VNIALMI, Volgograd, Russia, 2006; p. 306. [Google Scholar]
  20. Salugin, A.N.; Ustichenko, A.A. Autonomous impulse processes. Internet Bull. VolgGASU 2013, 259–264. [Google Scholar]
  21. Samarsky, A.A.; Kurdyumov, S.P. Paradoxes of the multivariant non-linear world. In Hypotheses and Forecasts; Knowledge: Moscow, Russia, 1989; pp. 8–29. [Google Scholar]
  22. Dobrovolsky, G.V. Quiet Crisis of the Planet. Bull. Russ. Acad. Sci. 1997, 67, 313–320. [Google Scholar]
  23. Knyazeva, E.N.; Kurdyumov, S.P. Fundamentals of synergy. In Blow-Up Modes, Self-Organization, Tempo-Worlds; Aletheia: St. Petersburg, Russia, 2002; p. 414. [Google Scholar]
  24. Salugin, A.N. Dynamics and its forecast in non-equilibrium arid ecosystems. Ecology 2007, 4, 41–45. [Google Scholar]
  25. Logofet, D.O. Markov chains as models of succession: New perspectives of the classical paradigm. Lesovedenie 2010, 2, 46–59. [Google Scholar]
  26. Golubyatnikov, L.L.; Denisenko, E.A. Model estimates of climate change impact on habitats of zonal vegetation for the plain territories of Russia. Biol. Bull Russ. Acad. Sci. 2007, 34, 170–184. [Google Scholar] [CrossRef]
  27. Logofet, D.O. Successional dynamics of vegetation: Classical concepts and modern models. In Ecolody in Russia at the Turn of the XXI Century (Terrestrial Ecosystems); Nauchny Mir: Moscow, Russia, 1999; pp. 70–98. [Google Scholar]
  28. Logofet, D.O.; Golubyatnikov, L.L.; Denisenko, E.A. Heterogeneous Markov models of vegetation succession: New perspectives on an old paradigm. News Russ. Acad. Sci. Biol. Ser. 1997, 5, 613–623. [Google Scholar]
  29. Salugin, A.N.; Kulik, K.N. Mathematical Models of the Dynamics and Forecast of the Evolution of Arid Ecosystems; Volgograd Scientific Publishing House: Volgograd, Russia, 2006; p. 180. [Google Scholar]
  30. Salugin, A.N.; Kulik, K.N. Modeling, forecasting and optimal management in the ecology of the soil and vegetation cover of Kalmyk. Arid Ecosyst. 2001, 7, 11–21. [Google Scholar]
  31. Smirnov, V.I. Course of Higher Mathematics. T. III; Nauka: Moscow, Russia, 1974; p. 323. [Google Scholar]
  32. Onipchenko, V.G. Functional Phytocenology: Synecology of Plants; Krasandr: Moscow, Russia, 2014; p. 576. [Google Scholar]
  33. Prigogine, I. From the Existing to the Emerging; Nauka: Moscow, Russia, 1985; p. 327. [Google Scholar]
  34. Svirezhev, Y.M.; Logofet, D.O. Stability of Biological Communities; Nauka: Moscow, Russia, 1978; p. 352. [Google Scholar]
  35. Kemeny, D.D.; Snell, D.L. Finite Markov Chains; Nauka: Moscow, Russia, 1970; p. 272. [Google Scholar]
  36. Logofet, D.O.; Korotkov, V.N. ‘Hybrid’ optimisation: A heuristic solution to the Markov-chain calibration problem. Ecol. Model. 2002, 1, 51–61. [Google Scholar] [CrossRef]
  37. Kliot-Dashinsky, M.I. Algebra of Matrices and Vectors; Doe: Moscow, Russia, 2016; p. 160. [Google Scholar]
  38. Logofet, D.O.; Maslov, A.A. Analysis of the small-scale dynamics of two dominant species in the bilberry-cowberry-long-moss pine forest II. Heterogeneous Markov chain and averaged indicators. J. Gen. Biol. 2018, 2, 135–147. [Google Scholar]
  39. Titlyanova, A.A.; Sambuu, A.D. Determination and synchrony of fallow succession in the steppes of Tuva. News Russ. Acad. Sci. Biol. Ser. 2014, 6, 621–630. [Google Scholar]
  40. Solovov, A.V.; Menshikov, A.A. Discrete mathematical models in the study of automated learning processes. Inf. Technol. 2001, 12, 32–36. [Google Scholar]
  41. Petrov, Y.P. New Chapters of Control Theory and Computer Computing; BHV-Petersburg: St. Petersburg, Russia, 2004; p. 192. [Google Scholar]
  42. Samarsky, A.A. Mathematical Modeling in the Information Age. Bull. Russ. Acad. Sci. 2004, 9, 781–784. [Google Scholar]
  43. Horn, Z.; Johnson, C. Matrix Analysis; Mir: Moscow, Russia, 1989; p. 655. [Google Scholar]
  44. Shinkarenko, S.S. Spatio-temporal dynamics of desertification in the Black Lands. Mod. Probl. Remote Sens. Earth Space 2019, 16, 155–168. [Google Scholar] [CrossRef]
  45. Jorgensen, S.E.; Bendoricchio, G. Fundamentals of Ecological Modelling, 3rd ed.; Developments in Environmental Modelling, V. 21; Elsevier: Amsterdam, The Netherlands, 2001; p. 530. [Google Scholar]
  46. Logofet, D.O.; Ulanova, N.G.; Klochkova, I.N.; Demidova, A.N. Structure and dynamics of a clonal plant population: Classical model results in a non-classic formulation. Ecol. Model. 2006, 192, 95–106. [Google Scholar] [CrossRef]
  47. Maslov, A.A.; Logofet, D.O. Joint dynamics of blueberry and lingonberry populations in the protected post-fire pine forest-green moss. Model with averaged transition probabilities. J. Gen. Biol. 2020, 4, 243–256. [Google Scholar]
  48. Salguero-Gomez, R.; de Kroon, H. Matrix projection models meet variation in the real world. Ecology 2010, 2, 250–254. [Google Scholar] [CrossRef]
  49. Kust, G.S. To the treatment and interpretation of the “desertification” term in Russia. Arid Ecosyst. 2011, 4, 299–304. [Google Scholar] [CrossRef]
  50. Vlasenko, M.V. Influence of protective forest plantings and microrelief on the productivity of forage lands in the Sarpinskaya lowland. Arid Ecosyst. 2014, 4, 304–308. [Google Scholar] [CrossRef]
Figure 1. North-Western Near-Caspian region.
Figure 1. North-Western Near-Caspian region.
Agronomy 12 01448 g001
Figure 2. Soils of the Republic of Kalmykia in south Russia.
Figure 2. Soils of the Republic of Kalmykia in south Russia.
Agronomy 12 01448 g002
Figure 3. Polynomial regression of time dependencies.
Figure 3. Polynomial regression of time dependencies.
Agronomy 12 01448 g003
Figure 4. Digraph of the SVC of BL. 1—initial pastures, 2—community of wormwoods; 3—community of annual weed species, 4—open sands.
Figure 4. Digraph of the SVC of BL. 1—initial pastures, 2—community of wormwoods; 3—community of annual weed species, 4—open sands.
Agronomy 12 01448 g004
Figure 5. Changes in the values of the digraph vertices. 1—initial pastures, 2—community of wormwoods; 3—community of annual weed species, 4—open sands.
Figure 5. Changes in the values of the digraph vertices. 1—initial pastures, 2—community of wormwoods; 3—community of annual weed species, 4—open sands.
Agronomy 12 01448 g005
Figure 6. Accumulation of plant community weights for a sustainable SVC of arid ecosystems. 1—initial pastures, 2—community of wormwoods; 3—community of annual weed species, 4—open sands.
Figure 6. Accumulation of plant community weights for a sustainable SVC of arid ecosystems. 1—initial pastures, 2—community of wormwoods; 3—community of annual weed species, 4—open sands.
Agronomy 12 01448 g006
Table 1. Meteorological conditions of the Republic of Kalmykia in south Russia.
Table 1. Meteorological conditions of the Republic of Kalmykia in south Russia.
IndicatorsWestern Part of the TerritoryCentral Part of the TerritoryEastern Part of the Territory
Average annual air temperature, °C9–108–109–10
Sum of temperatures above 10 °C3200–34003200–35003500–3600
Annual amount of precipitation, mm350250–300190–250
Hydrothermal coefficient
(according to Selyaninov)
0.7–0.80.5–0.70.3–0.5
Stocks of productive moisture in a meter layer of soil by the beginning of the growing season, mm130–14070–8030–40
Number of dry wind days95–100100–120110–125
Frost-free period (days)180–185165–175180–215
including days with temperatures above 10 °C185170–175175–185
Publisher’s Note: MDPI stays neutral with regard to jurisdictional claims in published maps and institutional affiliations.

Share and Cite

MDPI and ACS Style

Salugin, A.N.; Vlasenko, M.V. Mathematical Models of the Dynamic Stability of Arid Pasture Ecosystems in the South of Russia. Agronomy 2022, 12, 1448. https://doi.org/10.3390/agronomy12061448

AMA Style

Salugin AN, Vlasenko MV. Mathematical Models of the Dynamic Stability of Arid Pasture Ecosystems in the South of Russia. Agronomy. 2022; 12(6):1448. https://doi.org/10.3390/agronomy12061448

Chicago/Turabian Style

Salugin, Aleksandr Nikolaevich, and Marina Vladimirovna Vlasenko. 2022. "Mathematical Models of the Dynamic Stability of Arid Pasture Ecosystems in the South of Russia" Agronomy 12, no. 6: 1448. https://doi.org/10.3390/agronomy12061448

APA Style

Salugin, A. N., & Vlasenko, M. V. (2022). Mathematical Models of the Dynamic Stability of Arid Pasture Ecosystems in the South of Russia. Agronomy, 12(6), 1448. https://doi.org/10.3390/agronomy12061448

Note that from the first issue of 2016, this journal uses article numbers instead of page numbers. See further details here.

Article Metrics

Back to TopTop