Ion Exchange Resins to Reduce Boron in Desalinated Seawater for Irrigation in Southeastern Spain
Abstract
:1. Introduction
2. Materials and Methods
2.1. Experimental Site and Desalinated Water
2.2. Description of on-Farm Ion Exchange Resin Pilot Plant
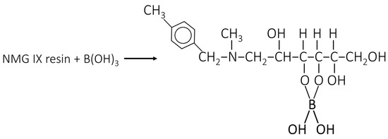
2.3. Tests Performed and Boron Characterization
2.4. Regeneration Procedure
2.5. Specific Energy Consumption of the on-Farm Ion Exchange Resin System
2.6. On-Farm Ion Exchange Resin Economic Cost
2.6.1. Depreciation Cost
2.6.2. Cost of Reagents
2.6.3. Energy Cost
2.6.4. Maintenance Cost
2.7. Statistical Analysis
3. Results and Discussion
3.1. pH and CE in the Effluent
3.2. Effect of the Resin Column on Major Ions’ Concentration
3.3. Effect of the Temperature and Feed Boron Concentration on Adsorption Capacity
3.4. Management of the Boron Concentration in the Effluent Water and Regeneration Process
3.5. On-Farm Ion Exchange Resin Economic Cost
4. Conclusions
Author Contributions
Funding
Institutional Review Board Statement
Informed Consent Statement
Data Availability Statement
Acknowledgments
Conflicts of Interest
Appendix A

Appendix B
| Phase | Volume | Time |
|---|---|---|
| Backwash water (optional) | ||
| Backwash flow rate | 0.30 m3/h | 5 min |
| Backwash water volume | 0.03 m3/h | |
| Acid injection (32 wt% HCl) | ||
| Flow rate | 0.07 m3/h | 40 min |
| Water volume | 0.05 m3/h | |
| Acid volume | 1.8 L | |
| Rinse (acid displacement) | ||
| Flow rate | 0.13 m3/h | 45 min |
| Water volume | 0.01 m3 | |
| Caustic injection (50 wt% NaOH) | ||
| Flow rate | 0.11 m3/h | 30 min |
| Water volume | 0.05 m3 | |
| Caustic volume | 1 L | |
| Rinse (caustic displacement) | ||
| Flow rate | 0.13 m3/h | 45 min |
| Water volume | 0.01 m3 | |
| Final rinse | ||
| Flow rate | 1 m3/h | 10 min |
| Water volume | 0.17 m3/h | |
| Total | 0.32 m3/h | 175 min |
References
- Jones, E.; Qadir, M.; van Vliet, M.T.; Smakhtin, V.; Kang, S.M. The state of desalination and brine production: A global outlook. Sci. Total Environ. 2019, 657, 1343–1356. [Google Scholar] [CrossRef] [PubMed]
- Martínez-Álvarez, V.; Maestre-Valero, J.F.; González-Ortega, M.J.; Gallego-Elvira, B.; Martín-Gorriz, B. Characterization of the Agricultural Supply of Desalinated Seawater in Southeastern Spain. Water 2019, 11, 1233. [Google Scholar] [CrossRef] [Green Version]
- Borokhov-Akerman, E.; Simhon, M.V.; Gitis, V. Advanced treatment options to remove boron from seawater. Desalin. Water Treat. 2012, 46, 285–294. [Google Scholar] [CrossRef]
- Freger, V.; Shemer, H.; Sagiv, A.; Semiat, R. Chapter 8–Boron Removal Using Membranes. In Boron Separation Processes; Elsevier: Amsterdam, The Netherlands, 2015; pp. 199–217. [Google Scholar]
- Martínez-Álvarez, V.; Martín-Gorriz, B.; Soto-García, M. Seawater desalination for crop irrigation—A review of current experiences and revealed key issues. Desalination 2016, 381, 58–70. [Google Scholar] [CrossRef]
- Koseoglu, H.; Kabay, N.; Yüksel, M.; Sarp, S.; Arar, Ö.; Kitis, M. Boron removal from seawater using high rejection SWRO membranes—Impact of pH, feed concentration, pressure, and cross-flow velocity. Desalination 2008, 227, 253–263. [Google Scholar] [CrossRef]
- Chillón-Arias, M.F.; Valero i Bru, L.; Prats-Rico, D.; Varó-Galvañ, P. Comparison of ion exchange resins used in re-duction of boron in desalinated water for human consumption. Desalination 2011, 278, 244–249. [Google Scholar] [CrossRef]
- Farhat, A.; Ahmad, F.; Hilal, N.; Arafat, H.A. Boron removal in new generation reverse osmosis (RO) membranes using two-pass RO without pH adjustment. Desalination 2013, 310, 50–59. [Google Scholar] [CrossRef]
- Kürklü, S.; Velioğlu, S.; Ahunbay, M.G.; Tantekin-Ersolmaz, S.B.; Krantz, W.B. A novel energy-efficient concurrent desalination and boron removal (CDBR) process. Desalination 2017, 423, 79–94. [Google Scholar] [CrossRef]
- Kurkdjian, A.; Guern, J. Intracellular pH: Measurement and Importance in Cell Activity. Annu. Rev. Plant Physiol. Plant Mol. Biol. 1989, 40, 271–303. [Google Scholar] [CrossRef]
- García-Sánchez, F.; Simón-Grao, S.; Martínez-Nicolás, J.J.; Alfosea-Simón, M.; Liu, C.; Chatzissavvidis, C.; Pérez-Pérez, J.G.; Cámara-Zapata, J.C. Multiple stresses occurring with boron toxicity and deficiency in plants. J. Hazard. Mater. 2020, 397, 122713. [Google Scholar] [CrossRef]
- Hussain, A.; Sharma, R.; Minier-Matar, J.; Hirani, Z.; Adham, S. Application of emerging ion exchange resin for boron removal from saline groundwater. J. Water Process 2009, 32, 100906. [Google Scholar] [CrossRef]
- Wang, Z.; Jia, Y.; Song, W.; Li, S.; Xu, K.; Wang, Z. Optimization of boron adsorption from desalinated seawater onto UiO-66-NH2/GO composite adsorbent using response surface methodology. J. Clean. Prod. 2021, 300, 126974. [Google Scholar] [CrossRef]
- Rioyo, J.; Aravinthan, V.; Bundschuh, J.; Lynch, M. ‘High-pH softening pretreatment’ for boron removal in inland desalination systems. Sep. Purif. Technol. 2018, 205, 308–316. [Google Scholar] [CrossRef]
- Rodríguez Pastor, M.; Ferrándiz-Ruiz, A.; Chillón, M.F.; Prats-Rico, D. Influence of pH in the elimination of boron by means of reverse osmosis. Desalination 2001, 140, 145–152. [Google Scholar] [CrossRef]
- Gimeno, V.; Simón, I.; Nieves, M.; Martínez, V.; Cámara-Zapata, J.M.; García-Torres, A.L.; García-Sánchez, F. The physiological and nutritional responses to an excess of boron by Verna lemon trees that were grafted on four contrasting rootstocks. Trees 2012, 26, 1513–1526. [Google Scholar] [CrossRef]
- Yoshinari, A.; Takano, J. Insights into the mechanisms underlying boron homeostasis in plants. Front. Plant Sci. 2017, 8, 1951. [Google Scholar] [CrossRef] [Green Version]
- Nable, R.O.; Banuelos, G.S.; Paull, J.G. Boron toxicity. Plant Soil 1997, 193, 181–198. [Google Scholar] [CrossRef]
- Jacob, C. Seawater desalination: Boron removal by ion exchange technology. Desalination 2007, 205, 47–52. [Google Scholar] [CrossRef]
- Gorenflo, A.; Brusilovsky, M.; Faigon, M.; Liberman, B. High pH operation in seawater reverse osmosis permeate: First results from the world’s largest SWRO plant in Ashkelon. Desalination 2007, 203, 82–90. [Google Scholar] [CrossRef]
- Hilal, N.; Kim, G.J.; Somerfield, C. Boron removal from saline water: A comprehensive review. Desalination 2011, 273, 23–35. [Google Scholar] [CrossRef]
- Güler, E.; Kaya, C.; Kabay, N.; Arda, M. Boron removal from seawater: State-of-the-art review. Desalination 2015, 356, 85–93. [Google Scholar] [CrossRef]
- Najid, N.; Kouzbour, S.; Ruiz-García, A.; Fellaou, S.; Gourich, B.; Stiriba, Y. Comparison analysis of different technologies for the removal of boron from seawater: A review. J. Environ. Chem. Eng. 2021, 9, 105133. [Google Scholar] [CrossRef]
- Kabay, N.; Sarp, S.; Yuksel, M.; Kitis, M.; Koseiglu, H.; Arar, O.; Brujak, M.; Semiat, R. Removal of boron from SWRO permeate by boron selective ion exchange resins containing N-methyl glucamine groups. Desalination 2008, 223, 49–56. [Google Scholar] [CrossRef]
- Jing, Z.; Peng, Y.; He, R.; Xu, Y.; Yu, T.; Hu, K. Popular leaves reclamation for porous granules and their application in nitrobenzene removal from aqueous solution. Desalin. Water Treat. 2016, 57, 449–458. [Google Scholar]
- Myachina, M.A.; Polyakova, Y.A.; Gavrilova, N.N.; Nazarov, V.V.; Kolesnikov, V.A. ZrO2–Carbon nanotubes composite sorbent for treatment of aqueous solutions to remove boron. Russ. J. Appl. Chem. 2017, 90, 895–900. [Google Scholar] [CrossRef]
- Bang, Y.-K.; Park, C.; Hang, J.; Lee, T.; Choi, Y.; Jung, J.; Kim, H.-L. Synthesis of chelate resins with multiple functional groups based on simplified reaction using mixed solvent and their improved boron adsorption characteristics. Polymer-Korea 2020, 44, 334–341. [Google Scholar] [CrossRef]
- Korkmaz, M.; Ozmetin, C.; Ozmetin, E.; Suzen, Y. Modelling of boron removal from solutions by ion exchange for column reactor design in boron mine wastewater treatment. Desalin. Water Treat. 2020, 179, 63–74. [Google Scholar] [CrossRef]
- Zhang, W.; Liu, C.; Chen, Y.; Wu, W. Removal of boron from water by Mg-Al-Ce hydrotalcite adsorption. J. Inorg. Mater. 2020, 35, 337–344. [Google Scholar]
- Bornak, B. Desalination by Ion Exchange. In Desalination: Water from Water; John Wiley & Sons, Inc.: Hoboken, NJ, USA, 2014; pp. 503–520. [Google Scholar]
- Nadav, N. Boron removal from seawater reverse osmosis permeate utilizing selective ion exchange resin. Desalination 1999, 124, 131–135. [Google Scholar] [CrossRef]
- Yılmaz, A.; Boncukcuoglu, R.; Yılmaz, M.; Kocakerim, M. Adsorption of boron from boron-containing wastewaters by ion exchange in a continuous reactor. J. Hazard. Mater. 2005, 117, 221–226. [Google Scholar] [CrossRef]
- Darwish, N.; Kochkodan, V.; Hilal, N. Boron removal from water with fractionized Amberlite IRA743 resin. Desalination 2015, 370, 1–6. [Google Scholar] [CrossRef]
- Glueckstern, P.; Priel, M. Optimization of boron removal in old and new SWRO systems. Desalination 2003, 156, 219–228. [Google Scholar] [CrossRef]
- Kabay, N.; Bryjak, M.; Chosser, S.; Kitis, M.; Avlonitis, S.; Matejka, Z.; Mitaz, A.; Tuksel, M. Adsoption-membrane filtration (AMF) hybrid process for boron removal from seawater. An overview. Desalination 2008, 223, 38–48. [Google Scholar] [CrossRef]
- Turek, M.; Bandura, B.; Dydo, P. Electroanalytic boron removal from SWRO permeate. Desalination 2008, 223, 17–22. [Google Scholar] [CrossRef]
- Kayaci, S.; Tantekin-Ersolmaz, M.; Ahunbay, G.; Krantz, W.B. Technical and economic feasibility of the concurrent desalination and boron removal (CDBR) process. Desalination 2020, 486, 114474. [Google Scholar] [CrossRef]
- Subban, C.V.; Gadgil, A.J. Electrically regenerated ion-exchange technology for desalination of low-salinity water sources. Desalination 2019, 465, 38–43. [Google Scholar] [CrossRef]
- Chillón-Arias, M.F.; Valero-i-Bru, L.; Prats-Rico, D.; Varó-Galvañ, P. Approximate cost of the elimination of boron in desalinated water by reverse osmosis and ion exchange resins. Desalination 2011, 273, 421–427. [Google Scholar] [CrossRef]
- Nadav, N.; Koutsakos, E. Innovative design of the UF and SWRO Limassol desalination plant in Cyprus. Desalin. Water Treat. 2013, 51, 95–100. [Google Scholar] [CrossRef]
- Soliman, M.N.; Guen, F.; Ahmed, S.; Saleem, H.; Khalil, M.; Zaidi, S. Energy consumption and environmental impact assessment of desalination plants and brine disposal strategies. Process Saf. Environ. Prot. 2021, 147, 589–608. [Google Scholar] [CrossRef]
- Kamboh, M.; Yilmaz, M. Synthesis of N-methylglucamine functionalized calix[4]arene based magnetic sporopollenin for the removal of boron from aqueous environment. Desalination 2013, 310, 67–74. [Google Scholar] [CrossRef]
- Yilmaz, I.; Kabay, N.; Yüksel, M. Modeling of fixed bed column studies for removal of boron from geothermal water by selective chelating ion exchange resins. Desalination 2013, 310, 151–157. [Google Scholar] [CrossRef]
- De la Fuente, M.M. Diseño y Desarrollo de un Sistema de Tratamiento para la Eliminación de boro en Vertidos Industriales. Ph.D. Thesis, Autonomous University of Madrid, Madrid, Spain, 2000. [Google Scholar]
- Simonnot, M.O.; Castel, C.; Nicolai, M.; Rosin, C.; Sardin, M.; Jauffret, H. Boron removal from drinking water with a boron selective resin: Is the treatment really selective? Water Res. 2000, 34, 109–116. [Google Scholar] [CrossRef]
- Yan, C.; Yi, W.; Ma, P.; Deng, X.; Li, F. Removal of boron from refined brine by using selective ion exchange resins. J. Hazard. Mater. 2008, 154, 564–571. [Google Scholar] [CrossRef] [PubMed]
- Öztürk, N.; Köse, T.E. Boron removal from aqueous solutions by ion-exchange resin: Batch studies. Desalination 2008, 227, 233–240. [Google Scholar] [CrossRef]
- Parada, F.; Dreisinger, D.; Wilkomirsky, I. Evaluación de resinas de intercambio iónico para el control del hierro en soluciones de electro-obtención de cobre. Rev. Metal. 2010, 46, 331–339. [Google Scholar] [CrossRef] [Green Version]
- Kalaitzidou, K.; Tzika, A.M.; Simeonidis, K.; Mitrakas, M. Evaluation of boron uptake by anion exchange resins in tap and geothermal water matrix. Mater. Today Proc. 2018, 5, 27599–27606. [Google Scholar] [CrossRef]
- Disposiciones Normativas del Plan Hidrológico de la Demarcación Hidrográfica del Segura. Tercer Ciclo (2022–2027). Available online: https://www.chsegura.es/export/sites/chs/descargas/planificacionydma/planificacion21-27/docsdescarga/docplan2127/Normativa/Normativa_PH_Segura_2022-2027.pdf (accessed on 28 April 2022).
- Köse, T.E.; Öztürk, N. Boron removal from aqueous solutions by ion-exchange resin: Column sorption–elution studies. J. Hazard. Mater. 2008, 152, 744–749. [Google Scholar] [CrossRef]
- Liu, Y.L.; Sun, M. Ion exchange removal and resin regeneration to treat per- and polyfluoroalkyl ether acids and other emerging PFAS in drinking water. Water Res. 2021, 207, 11781. [Google Scholar] [CrossRef]
- Pinelli, D.; Bovina, S.; Rubertelli, G.; Martinelli, A.; Guida, S.; Soares, A.; Frascari, D. Regeneration and modelling of a phosphorous removal and recovery hybrid ion exchange resin after long term operation with municipal wastewater. Chemosphere 2022, 286, 1331581. [Google Scholar] [CrossRef]
- Chandrasekara, N.P.G.N.; Pashley, R.M. Study of a new process for the efficient regeneration of ion exchange resins. Desalination 2015, 357, 131–139. [Google Scholar] [CrossRef] [Green Version]
- Taniguchi, M.; Fusaoka, Y.; Nishikawa, T.; Kurihara, M. Boron removal in RO seawater desalination. Desalination 2004, 167, 419–426. [Google Scholar] [CrossRef]
- Bonin, L.; Deduytsche, D.; Wolthers, M.; Flexer, V.; Rabaey, K. Boron extraction using selective ion exchange resins enables effective magnesium recovery from lithium rich brines with minimal lithium los. Sep. Purif. Technol. 2021, 275, 119177. [Google Scholar] [CrossRef]
- Gallego-Elvira, B.; Martínez-Álvarez, V.; Pittaway, P.; Brink, G.; Martin-Gorriz, B. Impact of Micrometeorological Conditions on the Efficiency of Artificial Monolayers in Reducing Evaporation. Water Resour. Manag. 2013, 27, 2251–2266. [Google Scholar] [CrossRef]








| Date | Temp (°C) | pH | CE (dS/m) | Ca2+ (mg/L) | Mg2+ (mg/L) | Cl− (mg/L) | Na+ (mg/L) | B (mg/L) |
|---|---|---|---|---|---|---|---|---|
| Aug 2021 | 26 °C | 8.35 | 0.715 | 23.27 | 1.48 | 170.95 | 102.17 | 0.912 |
| Jan 2022 | 6 °C | 8.45 | 0.615 | 17.60 | 1.62 | 150.01 | 92.95 | 1.013 |
| Average | - | 8.40 | 0.665 | 20.44 | 1.55 | 160.48 | 97.56 | 0.963 |
| Characteristics | Ion Exchange Resin |
|---|---|
| Manufacturer | Duppont |
| Resin | AmberLiteTM PWA10 |
| Physical Properties | |
| Matrix | Macroporous |
| Type | Weak-base anion |
| Functional group | N-Methylglucamine |
| Maximum operating temperature | 40 °C (104 °F) |
| Chemical Properties | |
| pH range (service cycle/stable) | 5–8/0–14 |
| Total exchange capacity | ≥0.7 eq/L |
| Water retention capacity | 48–54% |
| Particle Size | |
| Particle diameter | 525 ± 75 µm |
| Uniformity coefficient | ≤1.2 |
| Spare Part (D1 and D2 Plants) | Replacement Frequency | Quantity |
|---|---|---|
| pH probe—SEKO | 1 year | 1 |
| CE probe—SEKO | 1 year | 1 |
| Level probe—SEKO | 1 year | 2 |
| SEKO Kosmo MM1 PVDF/EPDM dosing maintenance kit | 1 year | 2 |
| SEKO Kosmo MM1 PVDF/EPDM | 5 years | 2 |
| CM3-3 pump | 5 years | 1 |
| TP40-300/2 pump spare parts kit (vent plug, mechanical seals and rings of wear) | 2 years | 1 |
| Microfiltration cartridge 40″; 1 micron | 6 months | 12 |
| AmberLiteTM PWA10 resin replacement rate of the column | 1 year | 5% |
Publisher’s Note: MDPI stays neutral with regard to jurisdictional claims in published maps and institutional affiliations. |
© 2022 by the authors. Licensee MDPI, Basel, Switzerland. This article is an open access article distributed under the terms and conditions of the Creative Commons Attribution (CC BY) license (https://creativecommons.org/licenses/by/4.0/).
Share and Cite
Imbernón-Mulero, A.; Gallego-Elvira, B.; Martínez-Álvarez, V.; Martin-Gorriz, B.; Molina-del-Toro, R.; Jódar-Conesa, F.J.; Maestre-Valero, J.F. Ion Exchange Resins to Reduce Boron in Desalinated Seawater for Irrigation in Southeastern Spain. Agronomy 2022, 12, 1389. https://doi.org/10.3390/agronomy12061389
Imbernón-Mulero A, Gallego-Elvira B, Martínez-Álvarez V, Martin-Gorriz B, Molina-del-Toro R, Jódar-Conesa FJ, Maestre-Valero JF. Ion Exchange Resins to Reduce Boron in Desalinated Seawater for Irrigation in Southeastern Spain. Agronomy. 2022; 12(6):1389. https://doi.org/10.3390/agronomy12061389
Chicago/Turabian StyleImbernón-Mulero, Alberto, Belén Gallego-Elvira, Victoriano Martínez-Álvarez, Bernardo Martin-Gorriz, Rubén Molina-del-Toro, Francisco J. Jódar-Conesa, and José F. Maestre-Valero. 2022. "Ion Exchange Resins to Reduce Boron in Desalinated Seawater for Irrigation in Southeastern Spain" Agronomy 12, no. 6: 1389. https://doi.org/10.3390/agronomy12061389
APA StyleImbernón-Mulero, A., Gallego-Elvira, B., Martínez-Álvarez, V., Martin-Gorriz, B., Molina-del-Toro, R., Jódar-Conesa, F. J., & Maestre-Valero, J. F. (2022). Ion Exchange Resins to Reduce Boron in Desalinated Seawater for Irrigation in Southeastern Spain. Agronomy, 12(6), 1389. https://doi.org/10.3390/agronomy12061389

