Effects of Faba Bean Strip Cropping in an Outdoor Organic Tomato System on Soil Nutrient Availability, Production, and N Budget under Different Fertilizations
Abstract
:1. Introduction
2. Materials and Methods
2.1. Study Site and Experimental Design
2.2. Plant Analysis
2.3. Soil Analysis
2.4. Nitrogen Budget
2.5. Statistical Analysis
3. Results
3.1. Climate
3.2. Agronomic Assessment: N and P Uptake, Tomato Production, and Quality
3.3. Soil Nutrient Availability and Environmental Assessment
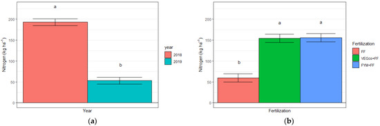
3.3.1. TOC, Inorganic-N, Nitrate-N and Nitrogen Balance
3.3.2. Phosphorus, Mycorrhizal Colonization, and Faba Bean Root SEM Analysis
4. Discussion
4.1. Agronomic Assessment: N and P Uptake, Tomato Production, and Quality
4.2. Nutrient and Environmental Assessment
4.2.1. TOC, Inorganic-N, Nitrate-N, and Nitrogen Balance
4.2.2. Available P and Mycorrhizal Colonization
5. Conclusions
Author Contributions
Funding
Data Availability Statement
Acknowledgments
Conflicts of Interest
References
- Mueller, N.D.; Gerber, J.S.; Johnston, M.; Ray, D.K.; Ramankutty, N.; Foley, J.A. Closing Yield Gaps through Nutrient and Water Management. Nature 2012, 490, 254–257. [Google Scholar] [CrossRef]
- Murphy, B.; Martini, M.; Fedi, A.; Loera, B.L.; Elliott, C.T.; Dean, M. Consumer Trust in Organic Food and Organic Certifications in Four European Countries. Food Control 2022, 133, 108484. [Google Scholar] [CrossRef]
- Melekhova, K.A.; Yankovskaya, X.G.; Demidova, A.G. Potential and Opportunities of Organic Agriculture in Russia. In Sustainable Agriculture; Springer: Berlin/Heidelberg, Germany, 2022; pp. 75–82. [Google Scholar]
- Hou, Y.; Luo, T.; Hao, J. Analysis of Determinants Affecting Organic Production: State Evidence from the United States. Sustainability 2022, 14, 503. [Google Scholar] [CrossRef]
- Aulakh, C.S.; Sharma, S.; Thakur, M.; Kaur, P. A Review of the Influences of Organic Farming on Soil Quality, Crop Productivity and Produce Quality. J. Plant Nutr. 2022, 1–22. [Google Scholar] [CrossRef]
- Ciaccia, C.; Ceglie, F.G.; Burgio, G.; Madžarić, S.; Testani, E.; Muzzi, E.; Mimiola, G.; Tittarelli, F. Impact of Agroecological Practices on Greenhouse Vegetable Production: Comparison among Organic Production Systems. Agronomy 2019, 9, 372. [Google Scholar] [CrossRef] [Green Version]
- Milestad, R.; Röös, E.; Stenius, T.; Wivstad, M. Tensions in Future Development of Organic Production—Views of Stakeholders on Organic 3.0. Org. Agric. 2020, 10, 509–519. [Google Scholar] [CrossRef]
- Beillouin, D.; Ben-Ari, T.; Malézieux, E.; Seufert, V.; Makowski, D. Positive but Variable Effects of Crop Diversification on Biodiversity and Ecosystem Services. Glob. Chang. Biol. 2021. [Google Scholar] [CrossRef]
- Lakhran, H.; Kumar, S.; Bajiya, R. Crop Diversification: An Option for Climate Change Resilience. Trends Biosci. 2017, 10, 516–518. [Google Scholar]
- Lin, B.B. Resilience in Agriculture through Crop Diversification: Adaptive Management for Environmental Change. BioScience 2011, 61, 183–193. [Google Scholar] [CrossRef] [Green Version]
- Hufnagel, J.; Reckling, M.; Ewert, F. Diverse Approaches to Crop Diversification in Agricultural Research. A Review. Agron. Sustain. Dev. 2020, 40, 14. [Google Scholar] [CrossRef]
- EU The Tomato Market in the EU: Vol. 1: Production and Area Statistics 2021. Available online: https://ec.europa.eu/info/sites/default/files/food-farming-fisheries/farming/documents/tomatoes-production_en.pdf (accessed on 15 May 2022).
- Costa, J.M.; Heuvelink, E. The Global Tomato Industry; CABI: Boston, MA, USA, 2018; pp. 1–26. [Google Scholar]
- Blair, M.W.; Wu, X.; Bhandari, D.; Zhang, X.; Hao, J. Role of Legumes for and as Horticultural Crops in Sustainable Agriculture. In Organic Farming for Sustainable Agriculture; Springer: Berlin/Heidelberg, Germany, 2016; pp. 185–211. [Google Scholar]
- Salgado, G.C.; Ambrosano, E.J.; Rossi, F.; Otsuk, I.P.; Trivelin, P.C.O.; Muraoka, T.; Ambrosano, G.M.B.; Dias, F.L.F.; Tavares, S.; de Melo, P.C.T. Nitrogen Transfer from Green Manure to Organic Cherry Tomato in a Greenhouse Intercropping System. J. Plant Nutr. 2020, 43, 1119–1135. [Google Scholar] [CrossRef]
- Hinsinger, P.; Betencourt, E.; Bernard, L.; Brauman, A.; Plassard, C.; Shen, J.; Tang, X.; Zhang, F. P for Two, Sharing a Scarce Resource: Soil Phosphorus Acquisition in the Rhizosphere of Intercropped Species. Plant Physiol. 2011, 156, 1078–1086. [Google Scholar] [CrossRef] [Green Version]
- Tang, X.; Zhang, C.; Yu, Y.; Shen, J.; van der Werf, W.; Zhang, F. Intercropping Legumes and Cereals Increases Phosphorus Use Efficiency; a Meta-Analysis. Plant Soil 2021, 460, 89–104. [Google Scholar] [CrossRef]
- Wang, Y.; Lambers, H. Root-Released Organic Anions in Response to Low Phosphorus Availability: Recent Progress, Challenges and Future Perspectives. Plant Soil 2020, 447, 135–156. [Google Scholar] [CrossRef]
- Gómez-Carabalí, A.; Idupulapati Madhusudana, R.; Ricaute, J. Differences in Root Distribution, Nutrient Acquisition and Nutrient Utilization by Tropical Forage Species Grown in Degraded Hillside Soil Conditions. Acta Agron. 2010, 59, 197–210. [Google Scholar]
- Ben-Laouane, R.; Ait-El-Mokhtar, M.; Anli, M.; Boutasknit, A.; Ait Rahou, Y.; Raklami, A.; Oufdou, K.; Wahbi, S.; Meddich, A. Green Compost Combined with Mycorrhizae and Rhizobia: A Strategy for Improving Alfalfa Growth and Yield Under Field Conditions. Gesunde Pflanz. 2021, 73, 193–207. [Google Scholar] [CrossRef]
- Ding, X.; Zhang, S.; Wang, R.; Li, S.; Liao, X. AM Fungi and Rhizobium Regulate Nodule Growth, Phosphorous (P) Uptake, and Soluble Sugar Concentration of Soybeans Experiencing P Deficiency. J. Plant Nutr. 2016, 39, 1915–1925. [Google Scholar] [CrossRef]
- Gatsios, A.; Ntatsi, G.; Yfantopoulos, D.; Baltzoi, P.; Karapanos, I.C.; Tsirogiannis, I.; Patakioutas, G.; Savvas, D. Effects of Different Organic Soil Amendments on Nitrogen Nutrition and Yield of Organic Greenhouse Tomato Crop. Nitrogen 2021, 2, 24. [Google Scholar] [CrossRef]
- Salgado, G.C.; Ambrosano, E.J.; Rossi, F.; Otsuk, I.P.; Ambrosano, G.M.B.; Santana, C.A.; Muraoka, T.; Trivelin, P.C.O. Biological N Fixation and N Transfer in an Intercropping System between Legumes and Organic Cherry Tomatoes in Succession to Green Corn. Agriculture 2021, 11, 690. [Google Scholar] [CrossRef]
- Unesco Bioclimatic Map of the Mediterranean Zone: Explanatory Notes. UNESCO-FAO. 1963. Available online: https://books.google.com.au/books/about/Bioclimatic_Map_of_the_Mediterranean_Zon.html?id=01ULAQAAIAAJ&redir_esc=y (accessed on 15 May 2022).
- United States Department of Agriculture (USDA). Keys to Soil Taxonomy. 7th Edition. Ed. R.W. Arnold. 1996. Available online: https://www.nrcs.usda.gov/Internet/FSE_DOCUMENTS/nrcs142p2_052454.pdf (accessed on 15 May 2022).
- Campbell, C.R.; Plank, C.O. Preparation of Plant Tissue for Laboratory Analysis. Methods Plant. Anal. 1998, 37. [Google Scholar]
- Trinchera, A.; Testani, E.; Roccuzzo, G.; Campanelli, G.; Ciaccia, C. Agroecological Service Crops Drive Plant Mycorrhization in Organic Horticultural Systems. Microorganisms 2021, 9, 410. [Google Scholar] [CrossRef]
- Grace, C.; Stribley, D.P. A Safer Procedure for Routine Staining of Vesicular-Arbuscular Mycorrhizal Fungi. Mycol. Res. 1991, 95, 1160–1162. [Google Scholar] [CrossRef]
- Trouvelot, A.; Kouch, J.; Gianinazzi-Pearson, V. Mesure Du Taux de Colonization on VA d’un Systeme Radiculaire: Colonizat of Method d’estimation Ayantune Signification Fonctionelle. In Les Mycorhizes: Phisiologie and Genetique; Dijon, I.S., Ed.; INRA: Paris, France, 1986; pp. 217–221. [Google Scholar]
- Trinchera, A.; Ciaccia, C.; Testani, E.; Baratella, V.; Campanelli, G.; Leteo, F.; Canali, S. Mycorrhiza-mediated Interference between Cover Crop and Weed in Organic Winter Cereal Agroecosystems: The Mycorrhizal Colonization Intensity Indicator. Ecol. Evol. 2019, 9, 5593–5604. [Google Scholar] [CrossRef] [PubMed]
- Krom, M.D. Spectrophotometric Determination of Ammonia: A Study of a Modified Berthelot Reaction Using Salicylate and Dichloroisocyanurate. Analyst 1980, 105, 305–316. [Google Scholar] [CrossRef]
- Henriksen, A.; Selmer-Olsen, A. Automatic Methods for Determining Nitrate and Nitrite in Water and Soil Extracts. Analyst 1970, 95, 514–518. [Google Scholar] [CrossRef]
- Mehlich, A. Mehlich 3 Soil Test Extractant: A Modification of Mehlich 2 Extractant. Commun. Soil Sci. Plant Anal. 1984, 15, 1409–1416. [Google Scholar] [CrossRef]
- Tuomisto, H.L.; Hodge, I.D.; Riordan, P.; Macdonald, D.W. Does Organic Farming Reduce Environmental Impacts?—A Meta-Analysis of European Research. J. Environ. Manag. 2012, 112, 309–320. [Google Scholar] [CrossRef] [PubMed]
- Jat, R.A.; Wani, S.P.; Sahrawat, K.L.; Singh, P.; Dhaka, S.; Dhaka, B. Recent Approaches in Nitrogen Management for Sustainable Agricultural Production and Eco-Safety. Arch. Agron. Soil Sci. 2012, 58, 1033–1060. [Google Scholar] [CrossRef]
- Gatsios, A.; Ntatsi, G.; Celi, L.; Said-Pullicino, D.; Tampakaki, A.; Savvas, D. Impact of Legumes as a Pre-Crop on Nitrogen Nutrition and Yield in Organic Greenhouse Tomato. Plants 2021, 10, 468. [Google Scholar] [CrossRef]
- Nandwa, S.; Bationo, A.; Obanyi, S.; Rao, I.M.; Sanginga, N.; Vanlauwe, B. Inter and Intra-Specific Variation of Legumes and Mechanisms to Access and Adapt to Less Available Soil Phosphorus and Rock Phosphate. In Fighting Poverty in Sub-Saharan Africa: The Multiple Roles of Legumes in Integrated Soil Fertility Management; Springer: Berlin/Heidelberg, Germany, 2011; pp. 47–66. [Google Scholar]
- Nuruzzaman, M.; Lambers, H.; Bolland, M.D.; Veneklaas, E.J. Phosphorus Benefits of Different Legume Crops to Subsequent Wheat Grown in Different Soils of Western Australia. Plant Soil 2005, 271, 175–187. [Google Scholar] [CrossRef]
- Abd-Alla, M.H.; El-Enany, A.-W.E.; Nafady, N.A.; Khalaf, D.M.; Morsy, F.M. Synergistic Interaction of Rhizobium Leguminosarum Bv. Viciae and Arbuscular Mycorrhizal Fungi as a Plant Growth Promoting Biofertilizers for Faba Bean (Vicia faba L.) in Alkaline Soil. Microbiol. Res. 2014, 169, 49–58. [Google Scholar] [CrossRef]
- Johnson, R.; Dixon, M.; Lee, D. Water Relations of the Tomato during Fruit Growth. Plant Cell Environ. 1992, 15, 947–953. [Google Scholar] [CrossRef]
- Tringovska, I.; Yankova, V.; Markova, D.; Mihov, M. Effect of Companion Plants on Tomato Greenhouse Production. Sci. Hortic. 2015, 186, 31–37. [Google Scholar] [CrossRef]
- Liu, T.; Cheng, Z.; Meng, H.; Ahmad, I.; Zhao, H. Growth, Yield and Quality of Spring Tomato and Physicochemical Properties of Medium in a Tomato/Garlic Intercropping System under Plastic Tunnel Organic Medium Cultivation. Sci. Hortic. 2014, 170, 159–168. [Google Scholar] [CrossRef]
- Herrick, J.E.; Wander, M.M. Relationships between Soil Organic Carbon and Soil Quality in Cropped and Rangeland Soils: The Importance of Distribution, Composition, and Soil Biological Activity. In Soil Processes and the Carbon Cycle; CRC Press: Boca Raton, FL, USA, 2018; pp. 405–425. ISBN 0-203-73927-2. [Google Scholar]
- Aschi, A.; Aubert, M.; Riah-Anglet, W.; Nélieu, S.; Dubois, C.; Akpa-Vinceslas, M.; Trinsoutrot-Gattin, I. Introduction of Faba Bean in Crop Rotation: Impacts on Soil Chemical and Biological Characteristics. Appl. Soil Ecol. 2017, 120, 219–228. [Google Scholar] [CrossRef]
- Minasny, B.; Malone, B.P.; McBratney, A.B.; Angers, D.A.; Arrouays, D.; Chambers, A.; Chaplot, V.; Chen, Z.-S.; Cheng, K.; Das, B.S. Soil Carbon 4 per Mille. Geoderma 2017, 292, 59–86. [Google Scholar] [CrossRef]
- Chalhoub, M.; Garnier, P.; Coquet, Y.; Mary, B.; Lafolie, F.; Houot, S. Increased Nitrogen Availability in Soil after Repeated Compost Applications: Use of the PASTIS Model to Separate Short and Long-Term Effects. Soil Biol. Biochem. 2013, 65, 144–157. [Google Scholar] [CrossRef] [Green Version]
- Basso, B.; Ritchie, J.T. Impact of Compost, Manure and Inorganic Fertilizer on Nitrate Leaching and Yield for a 6-Year Maize–Alfalfa Rotation in Michigan. Agric. Ecosyst. Environ. 2005, 108, 329–341. [Google Scholar] [CrossRef]
- Forge, T.; Kenney, E.; Hashimoto, N.; Neilsen, D.; Zebarth, B. Compost and Poultry Manure as Preplant Soil Amendments for Red Raspberry: Comparative Effects on Root Lesion Nematodes, Soil Quality and Risk of Nitrate Leaching. Agric. Ecosyst. Environ. 2016, 223, 48–58. [Google Scholar] [CrossRef]
- Leip, A.; Britz, W.; Weiss, F.; de Vries, W. Farm, Land, and Soil Nitrogen Budgets for Agriculture in Europe Calculated with CAPRI. Environ. Pollut. 2011, 159, 3243–3253. [Google Scholar] [CrossRef]
- Berry, P.; Stockdale, E.; Sylvester-Bradley, R.; Philipps, L.; Smith, K.; Lord, E.; Watson, C.; Fortune, S. N, P and K Budgets for Crop Rotations on Nine Organic Farms in the UK. Soil Use Manag. 2003, 19, 112–118. [Google Scholar] [CrossRef]
- Veneklaas, E.J.; Lambers, H.; Bragg, J.; Finnegan, P.M.; Lovelock, C.E.; Plaxton, W.C.; Price, C.A.; Scheible, W.; Shane, M.W.; White, P.J. Opportunities for Improving Phosphorus-use Efficiency in Crop Plants. New Phytol. 2012, 195, 306–320. [Google Scholar] [CrossRef] [PubMed]
- Xue, Y.; Xia, H.; Christie, P.; Zhang, Z.; Li, L.; Tang, C. Crop Acquisition of Phosphorus, Iron and Zinc from Soil in Cereal/Legume Intercropping Systems: A Critical Review. Ann. Bot. 2016, 117, 363–377. [Google Scholar] [CrossRef]
- Bodale, I.; Mihalache, G.; Achiţei, V.; Teliban, G.-C.; Cazacu, A.; Stoleru, V. Evaluation of the Nutrients Uptake by Tomato Plants in Different Phenological Stages Using an Electrical Conductivity Technique. Agriculture 2021, 11, 292. [Google Scholar] [CrossRef]
- Scheublin, T.R.; Ridgway, K.P.; Young, J.P.W.; Van Der Heijden, M.G. Nonlegumes, Legumes, and Root Nodules Harbor Different Arbuscular Mycorrhizal Fungal Communities. Appl. Environ. Microbiol. 2004, 70, 6240–6246. [Google Scholar] [CrossRef] [Green Version]
- Ingraffia, R.; Amato, G.; Frenda, A.S.; Giambalvo, D. Impacts of Arbuscular Mycorrhizal Fungi on Nutrient Uptake, N2 Fixation, N Transfer, and Growth in a Wheat/Faba Bean Intercropping System. PLoS ONE 2019, 14, e0213672. [Google Scholar] [CrossRef]
- Wahbi, S.; Maghraoui, T.; Hafidi, M.; Sanguin, H.; Oufdou, K.; Prin, Y.; Duponnois, R.; Galiana, A. Enhanced Transfer of Biologically Fixed N from Faba Bean to Intercropped Wheat through Mycorrhizal Symbiosis. Appl. Soil Ecol. 2016, 107, 91–98. [Google Scholar] [CrossRef]
- Köpke, U.; Nemecek, T. Ecological Services of Faba Bean. Field Crops Res. 2010, 115, 217–233. [Google Scholar]
- Bilalis, D.J.; Karamanos, A.J. Organic Maize Growth and Mycorrhizal Root Colonization Response to Tillage and Organic Fertilization. J. Sustain. Agric. 2010, 34, 836–849. [Google Scholar] [CrossRef]
- Ngosong, C.; Jarosch, M.; Raupp, J.; Neumann, E.; Ruess, L. The Impact of Farming Practice on Soil Microorganisms and Arbuscular Mycorrhizal Fungi: Crop Type versus Long-Term Mineral and Organic Fertilization. Appl. Soil Ecol. 2010, 46, 134–142. [Google Scholar] [CrossRef]









| Vegetable Compost | Animal-Based Organic Fertilizer | |
|---|---|---|
| TOC (%dm) | 26.6 | 33.8 |
| OM (%dm) | 53.2 | 67.6 |
| N-total (%dm) | 1.7 | 3.1 |
| DM (%fw) | 62 | 93 |
| C/N | 15.6 | 10.9 |
| P-available (%dm) | 0.7 | 1.7 |
| N in Total Yield | N Uptake | P in Total Yield | P Uptake | Fresh Total Yield | Dry Yield | Mean Fruit Weight | °Brix | |
|---|---|---|---|---|---|---|---|---|
| (Intercept) | ns | ns | ns | ns | ns | *** | - | - |
| CS | ns | ns | ** | ns | ns | ns | ns | ns |
| Fert | ns | ns | ns | ns | ns | ns | ns | ns |
| year | ns | ns | ns | ns | ns | ** | * | ns |
| SOC_pl | ns | ns | ns | ns | ns | - | - | ns |
| CS × Fert | ns | ns | ns | ns | ns | ns | - | - |
| CS × year | ns | ns | * | ns | ns | ** | - | - |
| Fert × year | ns | ns | ns | ns | ns | - | - | - |
| CS × Fert × year | ns | ns | ns | ns | ns | - | - | - |
| TOC | Total Inorganic-N | Nitrate-N | N-Budget | Available-P | Mycorrhizal Colonization Intensity (M%) | |
|---|---|---|---|---|---|---|
| (Intercept) | - | ns | *** | ** | *** | - |
| CS | ns | ns | ns | ns | ns | *** |
| Time | - | *** | * | - | - | - |
| Fert | ns | * | * | *** | ns | ** |
| year | ns | ns | * | *** | *** | *** |
| SOC | - | - | - | ns | ns | - |
| Fert × year | - | - | - | ns | ns | - |
| CS × time | - | *** | ** | - | - | - |
| CS × year | ns | ns | ns | ns | * | - |
| Time × year | - | *** | ** | - | - | - |
| CS × Fert | - | - | - | ns | ns | - |
| Cs × year × Fert | - | - | - | ns | ns | - |
| CS × time × year | - | *** | * | - | - | - |
| Year | Cropping System | Fertilizer Treatments | N Input from Faba Residues (FF) (kg of N ha−1) | N Input from Fertilizer (kg of N ha−1) | N Uptake by Tomato (kg of N ha−1) | Soil ∆N (kg of N ha−1) | N Balance (kg of N ha−1) |
|---|---|---|---|---|---|---|---|
| 2018 | MC | FF | 128 ± 25 | 0 | 63 ± 9 | −57 ± 26 | 122 ± 25 |
| FYM+FF | 122 ± 24 | 120 | 98 ± 7 | −57 ± 18 | 202 ± 28 | ||
| VEGco+FF | 141 ± 57 | 120 | 74 ± 14 | −57 ± 6 | 243 ± 72 | ||
| SC | FF | 159 ± 24 | 0 | 69 ± 32 | −57 ± 8 | 146 ± 10 | |
| FYM+FF | 161 ± 37 | 120 | 93 ± 37 | −44 ± 6 | 231 ± 44 | ||
| VEGco+FF | 113 ± 7 | 120 | 70 ± 22 | −51 ± 8 | 214 ± 30 | ||
| 2019 | MC | FF | 38 ± 4 | 0 | 51 ± 16 | −4 ± 10 | −9 ± 12 |
| FYM+FF | 41 ± 16 | 120 | 91 ± 16 | −15 ± 22 | 85 ± 43 | ||
| VEGco+FF | 44 ± 17 | 120 | 101 ± 18 | −24 ± 9 | 87 ± 19 | ||
| SC | FF | 41 ± 17 | 0 | 90 ± 9 | −24 ± 23 | −25 ± 19 | |
| FYM+FF | 36 ± 5 | 120 | 93 ± 32 | −36 ± 16 | 99 ± 45 | ||
| VEGco+FF | 35 ± 8 | 120 | 71 ± 25 | 3 ± 8 | 81 ± 22 |
Publisher’s Note: MDPI stays neutral with regard to jurisdictional claims in published maps and institutional affiliations. |
© 2022 by the authors. Licensee MDPI, Basel, Switzerland. This article is an open access article distributed under the terms and conditions of the Creative Commons Attribution (CC BY) license (https://creativecommons.org/licenses/by/4.0/).
Share and Cite
Warren Raffa, D.; Migliore, M.; Campanelli, G.; Leteo, F.; Trinchera, A. Effects of Faba Bean Strip Cropping in an Outdoor Organic Tomato System on Soil Nutrient Availability, Production, and N Budget under Different Fertilizations. Agronomy 2022, 12, 1372. https://doi.org/10.3390/agronomy12061372
Warren Raffa D, Migliore M, Campanelli G, Leteo F, Trinchera A. Effects of Faba Bean Strip Cropping in an Outdoor Organic Tomato System on Soil Nutrient Availability, Production, and N Budget under Different Fertilizations. Agronomy. 2022; 12(6):1372. https://doi.org/10.3390/agronomy12061372
Chicago/Turabian StyleWarren Raffa, Dylan, Melania Migliore, Gabriele Campanelli, Fabrizio Leteo, and Alessandra Trinchera. 2022. "Effects of Faba Bean Strip Cropping in an Outdoor Organic Tomato System on Soil Nutrient Availability, Production, and N Budget under Different Fertilizations" Agronomy 12, no. 6: 1372. https://doi.org/10.3390/agronomy12061372
APA StyleWarren Raffa, D., Migliore, M., Campanelli, G., Leteo, F., & Trinchera, A. (2022). Effects of Faba Bean Strip Cropping in an Outdoor Organic Tomato System on Soil Nutrient Availability, Production, and N Budget under Different Fertilizations. Agronomy, 12(6), 1372. https://doi.org/10.3390/agronomy12061372

