Cyperus iria Weed Growth, Survival, and Fecundity in Response to Varying Weed Emergence Times and Densities in Dry-Seeded Rice Systems
Abstract
:1. Introduction
2. Materials and Methods
2.1. Location
2.2. Treatment and Design
2.3. Land Preparation and Sowing
2.4. Crop Husbandry
2.5. Postharvest Observations on Weeds
2.6. Germination Test or Fecundity of Weed Seeds
2.7. Statistical Analyses
3. Results
3.1. Plant Height
3.2. Tiller Density per Plant
3.3. Shoot Dry Biomass per Plant
3.4. Seed Weight
3.5. Number of Seeds per Plant
3.6. Thousand-Seed Weight
3.7. Seed Yield (kg ha−1)
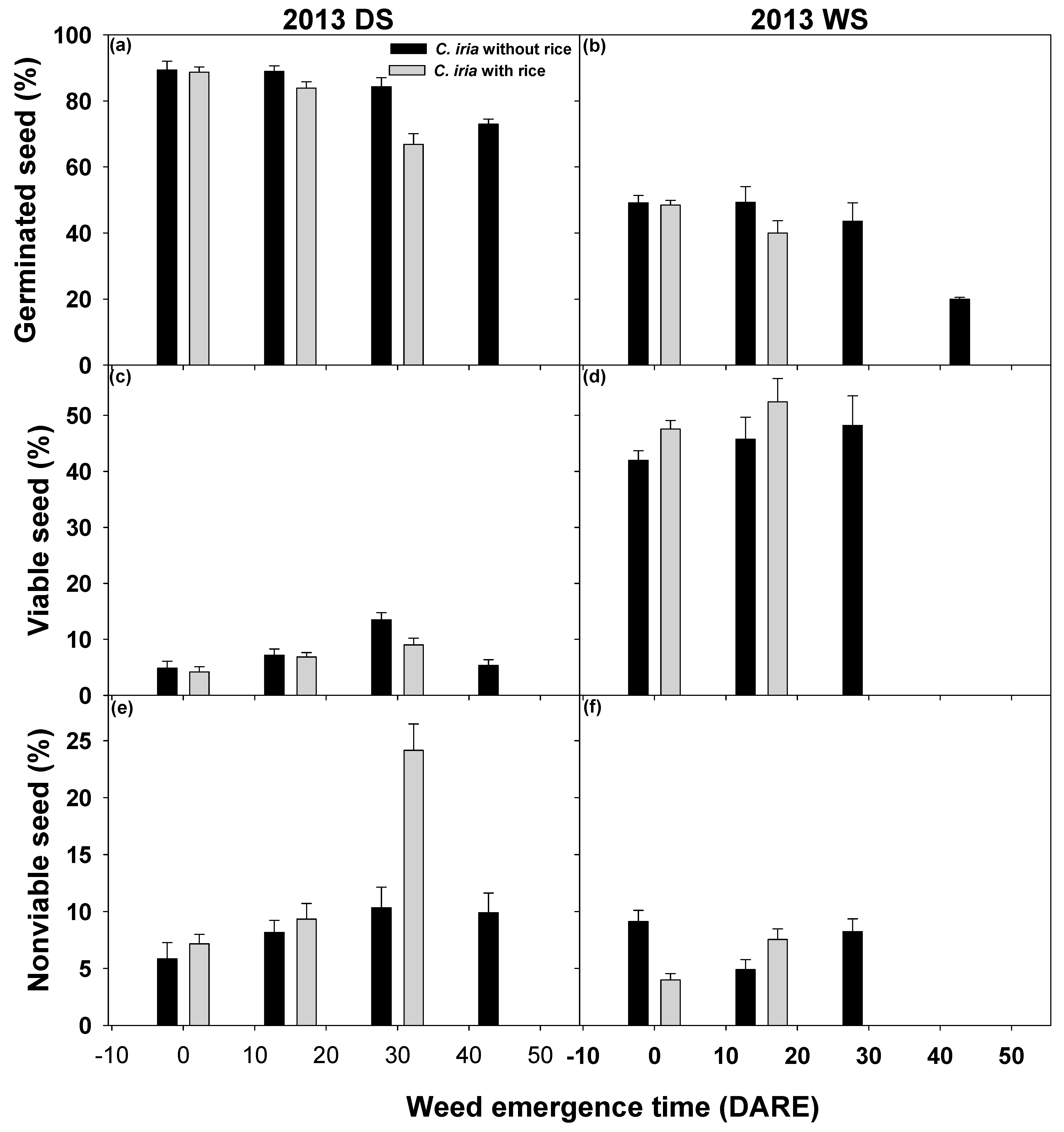
3.8. Germinated, Viable, and Nonviable Seeds
4. Discussion
5. Conclusions
Author Contributions
Funding
Institutional Review Board Statement
Informed Consent Statement
Conflicts of Interest
References
- Tuong, T.P.; Bouman, B.A.M. Rice production in water-scarce environments. In Water Productivity in Agriculture: Limits and Opportunities for Improvement; CABI: Wallingford, UK, 2003; Volume 1, pp. 13–42. [Google Scholar]
- Velasco, L.; Pandey, S. Economics of direct-seeded rice in Iloilo [Philippines]: Lessons from nearly two decades of adoption. Philipp. J. Crop Sci. 1998, 23, 19–25. [Google Scholar]
- Parthasarathi, T.; Vanitha, K.; Lakshamanakumar, P.; Kalalyarasi, D. Aerobic rice-mitigating water stress for the future climate change. Int. J. Agr. Plant Prod. 2012, 3, 241–254. [Google Scholar]
- Sandhu, N.; Yadav, S.; Kumar, S.V.; Kumar, A. Effective crop management and modern breeding strategies to ensure higher crop productivity under direct seeded Rice cultivation system: A review. Agronomy 2021, 11, 1264. [Google Scholar] [CrossRef]
- Bhushan, L.; Ladha, J.K.; Gupta, R.K.; Singh, S.; Tirol-Padre, A.; Saharawat, Y.S.; Gathala, M.; Pathak, H. Saving of water and labour in a rice– wheat system withno-tillage and direct seeding technologies. Agron. J. 2007, 99, 1288–1296. [Google Scholar] [CrossRef]
- Chauhan, B.S. Weed ecology and weed management strategies for dry-seeded rice in Asia. Weed Technol. 2012, 26, 1–13. [Google Scholar] [CrossRef]
- Brar, L.S.; Kolar, J.S.; Brar, L.S. Critical period of competition between Coesulio oxillaris Roxb. and transplanted rice. Indian J. Weed Sci. 1995, 27, 154–157. [Google Scholar]
- Ashraf, M.M.; Awan, T.H.; Manzoor, Z.; Ahmad, M.; Safdar, M.E. Screening of herbicides for weed management in transplanted rice. J. Anim. Plant Sci. 2006, 16, 89–92. [Google Scholar]
- Awan, T.H.; Safdar, M.E.; Manzoor, Z.; Ashraf, M.M. Screening of herbicides as post-emergence application for effective weed control without affecting growth and yield of direct seeded rice plant. J. Anim. Plant Sci. 2006, 16, 60–65. [Google Scholar]
- Kolar, J.S.; Mehra, S.P. Changing Scenario of Weed Flora in Agroecosystems of Punjab; Punjab Agricultural University: Ludhiana, India, 1992; pp. 252–262. [Google Scholar]
- Galinato, M.I. Upland Rice Weeds of South and Southeast Asia; International Rice Research Institute: Los Baños, Philippines, 1999. [Google Scholar]
- Moorthy, B.T.S.; Das, T.K. Threshold level of weed umbrella sedge (Cyperusiria) in upland rice (Oryza sativa) under rainfed direct-seeded condition. Indian J. Agric. Sci. 1998, 68, 7–8. [Google Scholar]
- Moody, K. Weeds Reported in Rice in South and Southeast Asia; International Rice Research Institute: Los Baños, Philippines, 1989. [Google Scholar]
- Chauhan, B.S.; Johnson, D.E. The role of seed ecology in improving weed management strategies in the tropics. Adv. Agron. 2010, 105, 221–262. [Google Scholar]
- Gokulapalan, C.; Nair, M.C. Field screening for sheath blight and rice root nematode resistance. Int. Rice Res. Newsl. 1983, 8, 4. [Google Scholar]
- Awan, T.H.; Chauhan, B.S. Effect of emergence time, inter-and intra-specific competition on growth and fecundity of Echinochloa crus-galli in dry-seeded rice. Crop Prot. 2016, 87, 98–107. [Google Scholar] [CrossRef]
- Peerzada, A.M.; Bajwa, A.A.; Ali, H.H.; Chauhan, B.S. Biology, impact, and management of Echinochloa colona (L.) Link. Crop Prot. 2016, 83, 56–66. [Google Scholar] [CrossRef]
- Ali, H.H.; Peerzada, A.M.; Hanif, Z.; Hashim, S.; Chauhan, B.S. Weed management using crop competition in Pakistan: A review. Crop Prot. 2016, 95, 22–30. [Google Scholar] [CrossRef]
- Norsworthy, J.K.; Jha, P.; Steckel, L.E.; Scott, R.C. Confirmation and control of glyphosate-resistant giant ragweed (Ambrosia trifida) in Tennessee. Weed Technol. 2010, 24, 64–70. [Google Scholar] [CrossRef]
- Heap, I. The International Survey of Herbicide Resistant Weeds. 2012. Available online: www.weedscience.org (accessed on 16 April 2022).
- Dingkuhn, M.; Johnson, D.E.; Sow, A.; Audebert, A.Y. Relationships between upland rice canopy characteristics and weed competitiveness. Field Crops Res. 1999, 61, 79–95. [Google Scholar] [CrossRef]
- Garrity, D.P.; Movillon, M.; Moody, K. Differential weed suppression ability in upland rice cultivars. Agron. J. 1992, 84, 586–591. [Google Scholar] [CrossRef]
- Gibson, K.D.; Fischer, A.J. Relative growth and photosynthetic response of water-seeded rice and Echinochloaoryzoides (Ard.) Fritsch to shade. Int. J. Pest Manag. 2001, 47, 305–309. [Google Scholar] [CrossRef]
- Chauhan, B.S.; Johnson, D.E. Implications of narrow crop row spacing and delayed Echinochloa colona and Echinochloa crus-galli emergence for weed growth and crop yield loss in aerobic rice. Field Crops Res. 2010, 117, 177–182. [Google Scholar] [CrossRef]
- Awan, T.H.; Sta, P.C.; Cruz, S.; Ahmed, S.; Chauhan, B.S. Growth analysis and biomass partitioning of Cyperusiria in response to rice planting density and nitrogen rate. Crop Prot. 2015, 74, 92–102. [Google Scholar] [CrossRef]
- Mohler, C.L.; Calloway, M.B. Effects of tillage and mulch on the emergence and survival of weeds in sweet corn. J. Appl. Ecol. 1992, 29, 21–34. [Google Scholar] [CrossRef]
- Maun, M.A.; Barrett, S.C.H. The biology of Canadian weeds. 77. Echinochloa crus-galli (L.) Beauv. Can. J. Plant Sci. 1986, 66, 739–759. [Google Scholar] [CrossRef]
- Rao, A.N.; Johnson, D.E.; Sivaprasad, B.; Ladha, J.K.; Mortimer, A.M. Weed management in direct-seeded rice. Adv. Agron. 2007, 93, 153–255. [Google Scholar]
- Gibson, K.D.; Fischer, A.J.; Foin, T.C.; Hill, J.E. Implications of delayed Echinochloa spp. germination and duration of competition for integrated weed management in water-seeded rice. Weed Res. 2002, 42, 351–358. [Google Scholar] [CrossRef]
- Hartzler, R.G.; Battles, B.A.; Nordby, D. Effect of common waterhemp (Amaranthus rudis) emergence date on growth and fecundity in soybean. Weed Sci. 2004, 52, 242–245. [Google Scholar] [CrossRef]
- Clay, S.A.; Kleinjan, J.; Clay, D.E.; Forcella, F.; Batchelor, W. Growth and fecundity of several weed species in corn and soybean. Agron. J. 2005, 97, 294–302. [Google Scholar] [CrossRef]
- Bagavathiannan, M.V.; Norsworthy, J.K.; Smith, K.L.; Neve, P. Seed production of barnyardgrass (Echinochloa crus-galli) in response to time of emergence in cotton and rice. J. Agric. Sci. 2012, 150, 717–724. [Google Scholar] [CrossRef] [Green Version]
- Blackshaw, R.E.; Stoble, E.H.; Sturko, A.R.W. Effects of seeding dates and densities of green foxtail (Setaria viridis) on the growth and productivity of spring wheat (Triticum aestivum). Weed Sci. 1981, 29, 212–217. [Google Scholar] [CrossRef]
- McLachlan, S.M.; Tollenaar, M.; Swanton, C.J.; Weise, S.F. Effect of corn-induced shading on dry matter accumulation, distribution, and architecture of redroot pigweed (Amaranthusretroflexus). Weed Sci. 1993, 41, 568–573. [Google Scholar] [CrossRef]
- Massinga, R.A.; Currie, R.S.; Horak, M.J.; Boyer, J.R. Interference of Palmer amaranth in corn. Weed Sci. 2001, 49, 202–208. [Google Scholar] [CrossRef]
- Ciuberkis, S.; Bernotas, S.; Raudonius, S.; Felix, J. Effect of weed emergence time and intervals of weed and crop competition on potato yield. Weed Technol. 2007, 21, 213–218. [Google Scholar] [CrossRef]
- Mahajan, G.; Chauhan, B.S. Nonconventional weed management strategies for modern agriculture. Weed Sci. 2015, 63, 723–747. [Google Scholar]
- Fernandez-Quintanilla, C.; Navarette, L.; Andujar, J.L.G.; Fernandez, A.; Sanchez, M.J. Seedling recruitment and age-specific survivorship and reproduction in populations of Avenasterilis L. ssp. ludoviciana (Durieu) Nyman. J. Appl. Ecol. 1986, 23, 945–955. [Google Scholar] [CrossRef]
- Davis, A.S.; Dixon, P.M.; Liebman, M. Cropping system effects on giant foxtail (Setaria faberi) demography: II. Retrospective perturbation analysis. Weed Sci. 2003, 51, 930–939. [Google Scholar] [CrossRef]
- Gallandt, E.R. How can we target the weed seedbank? Weed Sci. 2006, 54, 588–596. [Google Scholar] [CrossRef]
- Uscanga–Mortera, E.; Clay, S.A.; Forcella, F.; Gunsolus, J. Common waterhemp growth and fecundity as influenced by emerging date and competing crop. Agron. J. 2007, 99, 1265–1270. [Google Scholar] [CrossRef] [Green Version]
- Opeña, J.L.; Chauhan, B.S.; Baltazar, A.M. Seed germination ecology of Echinochloa glabrescens and its implication for management in rice (Oryza sativa L.). PLoS ONE 2014, 9, e92261. [Google Scholar] [CrossRef] [Green Version]
- Baskin, C.C.; Baskin, J.M. Seeds: Ecology, Biogeography, and Evolution of Dormancy and Germination; Academic Press: San Diego, CA, USA, 1998; p. 666. [Google Scholar]
- Awan, T.H.; Chauhan, B.S.; Cruz, P.C. Sta. Influence of environmental factors on the germination of Urenalobata L. its response to herbicides. PLoS ONE 2014, 9, e90305. [Google Scholar] [CrossRef] [Green Version]
- O’Donovan, J.T.; de St. Remy, E.A.; Sullivan, P.A.O.; Dew, D.A.; Sharma, A.K. Influence of the relative time of emergence of wild oat (Avenafatua) on yield loss of barley (Hordeum vulgare) and wheat (Triticumaestivum). Weed Sci. 1985, 33, 498–503. [Google Scholar] [CrossRef]
- Kropff, M.J.; Spitters, C.J.T. A simple model of crop loss by weed competition from early observations on relative leaf area of the weed. Weed Res. 1991, 31, 97–105. [Google Scholar] [CrossRef]
- Awan, T.H.; Cruz, P.C.S.; Ahmed, S.; Chauhan, B.S. Effect of nitrogen application, rice planting density, and water regime on the morphological plasticity and biomass partitioning of Chinese sprangletop (Leptochloachinensis). Weed Sci. 2015, 63, 448–460. [Google Scholar] [CrossRef]
- Swanton, C.J.; Nkoa, R.; Blackshaw, R.E. Experimental methods for crop–weed competition studies. Weed Sci. 2015, 63, 2–11. [Google Scholar] [CrossRef] [Green Version]
- Fahad, S.; Hussain, S.; Chauhan, B.S.; Saud, S.; Wu, C.; Hassan, S.; Tanveer, M.; Jan, A.; Huang, J. Weed growth and crop yield loss in wheat as influenced by row spacing and weed emergence times. Crop Prot. 2015, 71, 101–108. [Google Scholar] [CrossRef]
- Singh, S.; Govindra, S.; Singh, V.P.; Singh, A.P. Effect of establishment methods and weed management practices on weeds and rice in rice-wheat cropping system. Indian J. Weed Sci. 2005, 37, 51–57. [Google Scholar]
- Chauhan, V.; Mariampillai, A.; Gajda, G.B.; Thansandote, A.; Mcnamee, J.P. Analysis of proto-oncogene and heat-shock protein gene expression in human derived cell-lines exposed in vitro to an intermittent 1.9 GHz pulse-modulated radiofrequency field. Int. J. Radiat. Biol. 2006, 82, 347–354. [Google Scholar] [CrossRef] [PubMed]
- Ali, H.; Abid, S.A.; Ahmad, S.; Sarwar, N.; Arooj, M.; Mahmood, A.; Shahzad, A.N. Impact of integrated weed management on flat-sown cotton (Gossypiumhirsutum L.). J. Anim. Plant Sci. 2013, 23, 1185–1192. [Google Scholar]
- Khaliq, A.; Hussain, S.; Matloob, A.; Tanveer, A.; Aslam, F. Swine cress (Cronopus didymus L. Sm.) residues inhibit rice emergence and early seedling growth. Philipp. Agric. Sci. 2014, 96, 419–425. [Google Scholar]
- Matloob, A.; Khaliq, A.; Tanveer, A.; Hussain, S.; Aslam, F.; Chauhan, B.S. Weed dynamics as influenced by tillage system, sowing time and weed competition duration in dry-seeded rice. Crop Prot. 2015, 71, 25–38. [Google Scholar] [CrossRef]
- Fahad, S.; Hussain, S.; Saud, S.; Hassan, S.; Muhammad, H.; Shan, D.; Chen, C.; Wu, C.; Xiong, D.; Khan, S.B.; et al. Consequences of narrow crop row spacing and delayed Echinochloacolona and Trianthemaportulacastrum emergence for weed growth and crop yield loss in maize. Weed Res. 2014, 54, 475–483. [Google Scholar] [CrossRef]
- Teasdale, J.R. Influence of narrow row/high population corn (Zea mays) on weed control and light transmittance. Weed Technol. 1995, 9, 113–118. [Google Scholar] [CrossRef]
- Mashingaidze, A.B.; Van Der Werf, W.; Lotz, L.A.P.; Chipomho, J.; Kropff, M.J. Narrow rows reduce biomass and seed production of weeds and increase maize yield. Ann. Appl. Biol. 2009, 155, 207–218. [Google Scholar] [CrossRef]
- Bosnic, A.; Swanton, C.J. Influence of barnyardgrass (Echinochloa crus-galli) time of emergence and density on corn (Zea mays). Weed Sci. 1997, 45, 276–282. [Google Scholar] [CrossRef]
- Travlos, I.S.; Economou, G.; Kanatas, P.J. Corn and barnyardgrass competition as influenced by relative time of weed emergence and corn hybrid. Agron. J. 2011, 103, 1–6. [Google Scholar] [CrossRef]
- Steckel, L.E.; Sprague, C.L. Late season common waterhemp (Amaranthus rudis) interference in soybean. Weed Sci. 2003, 43, 18. [Google Scholar]
- Steckel, L.E.; Sprague, C.L.; Hager, A.G.; Simmon, F.W.; Bollero, G.A. Effect of shading on common waterhemp (Amaranthus rudis) growth and development. Weed Sci. 2003, 51, 898–903. [Google Scholar] [CrossRef]
- Jha, P.; Norsworthy, J.K. Soybean canopy and tillage effects on emergence of Palmer amaranth (Amaranthus palmeri) from a natural seed bank. Weed Sci. 2009, 57, 644–651. [Google Scholar] [CrossRef]
- Ballare, C.L.; Scopel, A.L.; Sanchez, R.A. Far-red radiation reflected from adjacent leaves: An early signal of competition in plant canopies. Science 1990, 247, 329–332. [Google Scholar] [CrossRef]
- Jeschke, S.; Cline, D.; Wonka, P. Rendering surface details with diffusion curves. In ACM SIGGRAPH Asia 2009 Papers; Association for Computing Machinery: New York, NY, USA, 2009; pp. 1–8. [Google Scholar]








| Sr. No. | Activity | DAS | 2013 DS | 2013 WS |
|---|---|---|---|---|
| 1 | Basal fertilizer (P2O5 and K2O) application | 0 | 22 January | 29 May |
| 2 | Sowing of C. iria in plastic trays and rice in the field | 0 | 22 January | 29 May |
| 3 | C. iria planting in the field | 15 | 7 February | 13 June |
| 4 | C. iria sowing in plastic trays | 8 | 1 February | 7 June |
| 5 | Application of fertilizer N (30%) | 14 | 5 February | 12 June |
| 6 | C. iria planting in the field | 23 | 14 February | 20 June |
| 7 | C. iria sowing in plastic trays | 24 | 15 February | 21 June |
| 9 | Hand weeding | 35 | 25 February | 3 July |
| 10 | Application of fertilizer N (30%) | 36 | 28 February | 4 July |
| 11 | C. iria planting in the field | 39 | 1 March | 7 July |
| 12 | C. iria sowing in plastic trays | 38 | 4 March | 6 July |
| 13 | C. iria planting in the field | 54 | 14 March | 24 July |
| 14 | Hand weeding | 53 | 15 March | 23 July |
| 15 | Application of fertilizer N (40%) | 55 | 19 March | 25 July |
| 16 | C. iria harvesting | 90 | 20 April | 8 September |
| 17 | Harvesting and threshing of rice | 111 | 14 May | 22 September |
Publisher’s Note: MDPI stays neutral with regard to jurisdictional claims in published maps and institutional affiliations. |
© 2022 by the authors. Licensee MDPI, Basel, Switzerland. This article is an open access article distributed under the terms and conditions of the Creative Commons Attribution (CC BY) license (https://creativecommons.org/licenses/by/4.0/).
Share and Cite
Awan, T.H.; Ali, H.H.; Chauhan, B.S. Cyperus iria Weed Growth, Survival, and Fecundity in Response to Varying Weed Emergence Times and Densities in Dry-Seeded Rice Systems. Agronomy 2022, 12, 1006. https://doi.org/10.3390/agronomy12051006
Awan TH, Ali HH, Chauhan BS. Cyperus iria Weed Growth, Survival, and Fecundity in Response to Varying Weed Emergence Times and Densities in Dry-Seeded Rice Systems. Agronomy. 2022; 12(5):1006. https://doi.org/10.3390/agronomy12051006
Chicago/Turabian StyleAwan, Tahir Hussain, Hafiz Haider Ali, and Bhagirath Singh Chauhan. 2022. "Cyperus iria Weed Growth, Survival, and Fecundity in Response to Varying Weed Emergence Times and Densities in Dry-Seeded Rice Systems" Agronomy 12, no. 5: 1006. https://doi.org/10.3390/agronomy12051006
APA StyleAwan, T. H., Ali, H. H., & Chauhan, B. S. (2022). Cyperus iria Weed Growth, Survival, and Fecundity in Response to Varying Weed Emergence Times and Densities in Dry-Seeded Rice Systems. Agronomy, 12(5), 1006. https://doi.org/10.3390/agronomy12051006

