Abstract
In Central Russia, the area of possible effective use of raspberry varieties and their productivity and production values are determined by the plant tolerance to a complex of adverse environmental factors. In this regard, the introduction of new varieties and hybrids should be accompanied by analyzing not only their productivity, but also their winter hardiness and drought resistance. In this paper, we analyzed the winter hardiness of raspberry varieties and indicators of their water regime in the field. By modeling the damaging factors of the winter period, we revealed the stability potential of raspberry varieties for the main components of winter hardiness. The drought resistance of raspberry varieties and forms were assessed in laboratory conditions. According to the results of the complex studies, we identified the frost-resistant accessions: 9-17, 9-35, and 9-70 (freezing ranged from 1.1 to 2.0 points) as well as the medium-hardy varieties Glen Ample, Glen Magna, and Laszka (freezing score ranged from 2.1 to 3.0 points). The indicators of the water regime in the field showed that during the growing season, the studied raspberry varieties were characterized by optimal hydration and water deficiency of the leaf apparatus. This positively affected the yield formation. When modeling drought, raspberry genotypes showed a medium level of drought resistance. At the same time, the Glen Ample, Glen Magna, Glen Lyon, and Laszka varieties as well as the accession 9-70 showed high yields (above 15 t/ha). As a result, promising raspberry genotypes Glen Ample, Glen Magna, Laszka, and 9-70 were selected for further breeding and production cultivation in Central Russia.
1. Introduction
Raspberry is an economically profitable berry crop with valuable production, biological, and nutritional qualities [1]. Vitamins, minerals, and essential organic acids contained in raspberries ensure health and longevity [2]. Over 70% of the raspberry production is concentrated in Europe. In North America, raspberries are grown in the USA and Canada (10,000 t/year), whereas South American countries are planning to increase production. The world’s major raspberry producers are Russia with an average output of 156.889 tons, followed by the Republic of Serbia with an average output of 84.633 tons, Poland with 62.715 tons, the USA with 55.772 tons, and Ukraine, England, Canada, Mexico, Spain, France, Germany, Hungary, Bulgaria, and Bosnia and Herzegovina. On the European continent, with an increased raspberry production, the berries are grown on 83.028 ha and the yield averages 397.708 tons, which is 4.80 t/ha [3].
The successful cultivation of any crop in a particular climatic region depends on several factors, but above all on the adaptability of the plant to environmental conditions [4,5]. The data collected by the researchers indicate that temperature stress is the main winter damaging factor in the central gardening zone of the Russian Federation [6,7,8,9]. Therefore, the introduction of new varieties should be accompanied by characterizing their winter hardiness. It is known that the aboveground part of raspberry plants is quite sensitive to low winter temperatures. For many highly productive varieties, temperature drops to as low as −27–−30 °C are fatal [10]. The frost resistance of this crop is variable; it noticeably decreases in snowless winters, and the crop is especially vulnerable to prolonged thaws in January and February [11]. At the same time, raspberry is highly stable, which is the first component of winter hardiness [12]. The root system of raspberry varieties can withstand a temperature down to −37 °C with a snow cover of 15 cm; therefore, roots are not damaged even in Siberian winters [13].
Raspberry varieties differ in their endurance to arid growing conditions [10,14]. Under the influence of drought, the total leaf surface decreases; the leaves turn yellow and fall prematurely; burns and necrotic spots appear; ovaries and fruits crumble; the growth of shoots stops early [15,16,17,18,19]; the growth of the root system is inhibited, which leads to a decrease in yield by 15–30%. Thus, in 2010, due to excess heat and lack of moisture in Central Russia, most of the berries on the shoots dried up before reaching biological maturity [20]. In this regard, the study aimed to improve the assortment by introducing new high-yielding and adaptive raspberry varieties into it [21]. Therefore, it is very important to conduct a comprehensive study of varieties of red raspberries with the subsequent identification of valuable genotypes for breeding and production.
The purpose of this work was to study the winter hardiness, drought resistance, and productivity of introduced raspberry varieties and accessions bred at VNIISPK and to identify the most promising ones for breeding and cultivation in Central Russia.
2. Materials and Methods
2.1. Study Area
Biologically valuable traits of raspberries were analyzed in the laboratory for physiology and stability studies of fruit plants and at the site of the primary variety study at the Russian Research Institute of Fruit Crop Breeding (VNIISPK) in 2019–2021. The institute is located in the Orel Region (53°00′ north latitude, 36°00′ east longitude), which is part of the Central Federal District of Russia. VNIISPK is located 368 km southwest of Moscow.
2.2. Research Conditions
The analysis of meteorological data during the study period showed that the winter of 2018/2019 in the Orel Region was characterized by moderate frosts and a small amount of mean daily air temperatures (−468.5 °C). The minimum temperature of the air and on the snow surface did not fall below −24.5 °C. The winter period of 2019/2020 was abnormally warm (the amount of the mean daily air temperatures was −127.6 °C). The minimum temperature of the air and on the snow surface did not fall below −15.5 °C. The winter of 2020/2021 was characterized by sharp drops in positive and negative temperatures. Thus, at the end of January, a prolonged thaw was observed. At the same time, the maximum air temperature rose to +4.5 °C, and then in February, the minimum air temperature dropped to −30 °C. In March, a return frost of −24 °C was recorded preceded by a thaw for six days (maximum air temperature reached +4 °C).
The values of the absolute maximum and minimum air temperatures of the autumn period according to the data of the VNIISPK weather station for the years of research are shown in Table 1.
Table 1.
Air temperature in autumn 2019–2021.
During the growing season, an uneven distribution of precipitation and temperature was observed (Table 2). Thus, in June 2019 hot and dry weather was registered. The hydrothermal coefficient (HTC) was 0.3. In July 2019 and June 2020, the HTC was closer to normal—0.9, whereas in July, increased humidification conditions (HTC = 1.8) of plants were observed. In June 2021, the HTC was above normal—1.7, whereas in July, dry weather was observed (HTC = 0.6).
Table 2.
Meteorological data in summer 2019–2021.
2.3. Research Objects
The study objects were introduced raspberry varieties and accessions bred at VNIISPK, Scottish varieties ‘Glen Ample’ (‘Meeker’ × ‘Glen Prosen’), ‘Glen Lyon’ (SCRI7331/1 × SCRI7256/1), and ‘Glen Magna’ (‘Meeker’ × 7719B11); English varieties ‘Joan J’ (‘Joan Squire’ × ‘Terri-Louise’) and ‘Octavia’ (‘Glen Ample’ × EM5928/1140), and Polish variety ‘Laszka’ (80408 × 80192).
The accessions bred at VNIISPK: 9-17 (‘Beglianka’ open pollination), 9-35 (‘Balzam’ open pollination), and 9-70 (‘Samarskaya Plotnaya’ open pollination).
‘Brigantina’ (‘Ottawa’ × ‘Sayana’) is a control medium late ripening variety. It is recommended for growing under conditions of Central Russia, Moscow region, Ukraine, and Belarus. Its bushes are medium high reaching 1.8–2.0 m. The bush is slightly sprawling and consists of 10–12 shoots. The berry weight is 3–3.2 g. The taste is sweet and sour; the tasting score is 3.9 points. Berries contain 9.4% sugar, 1.9% organic acids, and 25 mg/100 g vitamin C.
2.4. Winter Hardiness in the Field
Freezing of the studied raspberry genotypes was visually accounted in the field before flowering and was assessed on the following scale:
- 0 points—shoots and buds are not frozen;
- 1 point—tops of shoots and individual buds are slightly frozen;
- 2 points—shoots and buds are frozen by 25%
- 3 points—shoots and buds are frozen by 50%;
- 4 points—shoots and buds are frozen by 75%, to the level of snow;
- 5 points—shoots and buds are frozen by 75–100%.
2.5. Winter Hardiness in Laboratory Conditions
Annual shoots of moderate length (30–50 cm) were used. The studied genotypes had 5 annual shoots cut off for each freezing temperature regime. The material was taken in late November when the mean daily air temperature stabilized below 0 °C for all dates of freezing. The material was kept in a deep freezer at −3 ± 1 °C in plastic bags.
Artificial freezing was conducted in the “Espec” PSL-2KPH climate chamber (Japan) by the method [22]. The basic components of hardiness were studied: the first component ability of frost resistance in the beginning of winter; the second component ability of maximum frost resistance developed by plants during hardening; the third component ability to retain hardening after a thaw period; the fourth component ability to restore frost resistance after repeated hardening and thaw. To evaluate the acclimatization ability of raspberry cultivars in early winter, shoots were frozen at −25 °C for eight hours on 7 December (the first component). To evaluate the resistance of raspberry cultivars to a maximum low temperature in midwinter, the shoots were frozen at −35 °C for eight hours on 15 January (the second component). To evaluate the ability to retain resistance during thaws in winter, the shots were frozen at −25 °C for eight hours on 10 February, after a three-day thaw at +2 °C (the second component). To evaluate resistance to repeated frosts in late winter, the shoots were frozen at −30 °C for eight hours on 20 March after a three-day thaw at +2 °C and repeated hardening at −5 °C for five days and at +10 °C for 5 days (the second component). The temperature was lowered at a rate of −5 °C per hour. Then the annual shoots were cultivated in vessels with water. The annual shoots were cut at ends by 2–3 cm after each freezing and put in vessels with water at +21 ± 1 °C for seven days. The water was changed every two days. The damage to the buds and tissues of the annual shoots was assessed after seven days using an MBS-2 binocular microscope.
The degree of vegetative bud damage was evaluated on a scale of from 0 to 5; where 0 = no damage; 1 = insignificant damage, the tissue under the bud was damaged; 2 = reversible damage, a part of the leaf bud was damaged; 3 = moderate damage, vascular system and most of leaf buds were damaged; 4 = severe damage, apical meristems and most of leaf buds were dead; 5 = buds and tissues were dead.
Bark and wood (xylem) damage were evaluated according to length and crosswise tissue browning on the following scale: 0—no damage, tissues were light-colored; 1—insignificant damage, 10–12% of tissue area was brown; 2—reversible damage, 20–40% of tissue area was brown; 3—moderate damage, 40–60% of tissue area was brown; 4—severe damage, 60–80% of tissue area was brown; 5—>80% of tissue area was dead.
2.6. Determination of the Heat and Drought Resistance
The study was conducted according to the methodological recommendations in [23]. To determine the drought resistance, the method of withering was used. Leaves in 3-fold repetition of 5 PCs; each was weighed and laid out on a table for wilting. After four hours, the leaves were weighed and placed in glasses with water for 24 h for saturation. Then the leaves were weighed and dried in a climate chamber PSL-2KPH at a temperature of 105 °C to constant mass.
Hydration of leaves in the orchard, %
where H—hydration of leaves in wet weight, %; 0—mass of absolutely dry sample of leaves, g; 1—mass of wet sample of leaves at the beginning of the experiment, g.
Water deficiency of plant leaves in the orchard, %
where WD—water deficiency, %; 0—mass of the sample of absolutely dry leaves, g; 1—mass of the sample of wet leaves at the beginning of the experiment, g; 3—mass of the sample of leaves after full saturation, g.
Water recovery, %
where —water recovery, %; 1—mass of the sample of wet leaves at the beginning of the experiment, g; 2—weight of the leaf sample after modeling the drought, g; 3—mass of the sample of leaves after full saturation, g.
2.7. Yield Study
Biological accounting was used to determine potential productivity. For this purpose, we calculated the number of fruit-bearing shoots, the average number of berries per fruit twig, the average weight of berries in grams, and the average number of berries per bush. The obtained data were multiplied by the average weight of berries, followed by determining the harvest per bush.
The degree of large fruiting was assessed on the following scale:
- 5 points—very large fruits (more than 5 g);
- 4 points—large fruits (3.5–5.0 g);
- 3 points—medium-size fruits (2.5–3.4 g);
- 2 points—small fruits (2–2.4 g);
- 1 point—very small fruits (down to 1.9 g).
The yield (biological and actual) was assessed in points:
- 5 points—high yielding (15 t/ha and more);
- 4 points—yielding (10–14 t/ha);
- 3 points—medium yielding (6–9 t/ha);
- 2 points—low yielding (below 6 t/ha);
- 1 point—poor yielding with very weak fruiting.
2.8. Statistical Analysis
The research results were analyzed using correlation (r-Pearson) and one-way analysis of variance ANOVA (Version 22, SPSS). To evaluate the effect of genotypes, the least significant difference (LSD05) was calculated. The Student’s t-test was used to determine the statistical significance.
3. Results and Discussion
3.1. Winter Hardiness in the Field
Freezing is a major environmental stress during an annual cycle of overwintering temperate zone perennials [24,25]. The winter periods of 2019 and 2020 were characterized by moderate frosts. The minimum temperature of the air and on the snow surface did not fall below −24.5 °C. At the same time, the studied genotypes showed good winter hardiness. Damage to the tissues of annual shoots and buds in raspberry varieties did not exceed 2.0 points. January and February 2021 were characterized by sharp changes in positive and negative temperatures. An eight-day thaw (the maximum air temperature rose to +4.5 °C) at the end of January and the subsequent decrease in air temperature in February to −30 °C affected the winter hardiness of the introduced raspberry varieties: ‘Glen Ample’, ‘Glen Lyon’, ‘Glen Magna’, ‘Octavia’, and ‘Laszka’. As some authors note, many highly productive raspberry varieties freeze when the temperature drops to as low as −27–−30 °C [4]. Field accounting of freezing in 2021 showed that shoots and buds in these varieties froze by 41–50%. At the same time, winter hardiness at the level of the control variety was revealed in genotypes 9-17, 9-35, and 9-70 in which the tissues of annual shoots and buds were damage by 25% (no more than 2.0 points). As a result of three-year observations, selected forms (SF) 9-17, 9-35, and 9-70 showed stable winter hardiness at the level of the control variety under conditions of the Orel Region. On average, for three years, the introduced varieties also showed sufficient winter hardiness (shoots froze by no more than 2.0 points), except for ‘Octavia’ (English variety), which showed a winter hardiness in the field (Table 3).
Table 3.
Field assessment of raspberry hardiness (freezing point).
3.2. Winter Hardiness in Laboratory Conditions
To identify the maximum potential of winter hardiness, annual shoots of the introduced raspberry varieties and genotypes bred at VNIISPK were artificially frozen at temperatures critical for the studied culture [22].
In early December, the air temperature in Central Russia may drop to −25 °C [12]. In this regard, raspberry varieties should gain the necessary level of frost resistance by the beginning of winter. Modeling an early winter frost of −25 °C in early December (the first winter hardiness component) revealed a high frost resistance of buds and tissues of annual raspberry shoots with minor damage of no more than 1.0 points. This fact indicated that experimental raspberry varieties had undergone autumn hardening in a timely manner.
To determine the maximum frost resistance of the introduced varieties and VNIISPK hybrid forms of raspberries, annual shoots were artificially frozen in midJanuary, when the ability of plants to withstand critically low temperatures was most evident. At a temperature of −35 °C (the second winter hardiness component) in January, the frost resistance of the introduced raspberry varieties ‘Glen Ample’, ‘Glen Lyon’, ‘Glen Magna’, ‘Laszka’, ‘Joan J’, and ‘Octavia decreased to an average level. Their buds, bark, and cambium were damaged to a greater extent. The wood of the non-Russian varieties was damaged insignificantly at a temperature of −35 °C. Genotypes 9-17, 9-35, and 9-70 showed maximum frost resistance with reversible bud damage. The tissues of annual shoots were slightly damaged (Table 4).
Table 4.
Raspberry damage at −35 °C (the second winter hardiness component), average for 2019–2021.
The study of the biological potential of frost resistance of plants during the thaw period remains relevant due to the recent increasing sharp temperature changes in winter [26,27,28,29,30]. Thaws in February and March are especially dangerous for raspberry plants, since during this period they are in forced dormancy. Decreased frost resistance of plants in organic dormancy is mainly due to the resumption of growth processes under the influence of positive temperatures. Therefore, the ability of raspberry varieties to maintain frost resistance is important against the background of prolonged thaws, which have often been observed in recent years under conditions of Central Russia. With a temperature decrease in February to −25 °C after a three-day thaw of +2 °C (the third winter hardiness component), genotypes 9-17, 9-35, and 9-70 maintained frost resistance with reversible bud damage. The tissues of annual shoots of hybrid forms were slightly damaged. The introduced varieties ‘Glen Ample’, ‘Glen Magna’, ‘Laszka’, ‘Joan J’, and ‘Octavia’ showed a medium frost resistance of buds, bark, and cambium. The buds of ‘Glen Lyon’ were unable to maintain frost resistance at −25 °C after a three-day thaw of +2 °C. They were severely frozen. The bark and cambium of the annual shoots of ‘Glen Lyon’ showed a medium frost resistance. It is important to note that all genotypes retained a high frost resistance of the wood of annual shoots during the thaw (Table 5).
Table 5.
Raspberry damage at −25 °C after a three-day thaw of +2 °C (the third winter hardiness component), average for 2019–2021.
Raspberry frequently suffers winter injury, and it is thought to be prone to injury in late winter, as weakening dormancy diminishes its cold hardiness and rehardening capacity [31]. Growth resumption under the influence of positive temperatures decreases retemperability and, consequently, the ability of plants to restore frost resistance after a thaw. These abilities are very important for a successful overwintering. In laboratory conditions, after a three-day thaw of +2 °C and repeated hardening with a decrease in temperature to −30 °C (the fourth winter hardiness component), 9-17, 9-35, and 9-70 showed high frost resistance of buds and tissues of annual shoots. ‘Laszka’ and ‘Glen Magna’ were characterized by frost resistance with reversible damage to the buds and bark of annual shoots. At the same time, the cambium in these varieties was slightly damaged by a return frost of –30 °C after a thaw of +2 °C. ‘Glen Ample’, ‘Glen Lyon’, ‘Joan J’, and ‘Octavia’ showed a minimum frost resistance compared to other genotypes. The buds and bark of annual shoots of these varieties were medium damaged. The cambium of annual shoots was insignificantly damaged. The wood of all raspberry genotypes was not damaged (Table 6).
Table 6.
Damage to raspberries at −30 °C after repeated hardening and a three-day thaw of +2 °C (the fourth winter hardiness component) in 2019–2021.
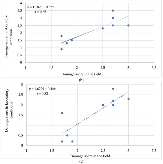
When studying the winter hardiness of raspberry genotypes, a correlation analysis of the data obtained for 2021 was carried out in the temperature-controlled laboratory and field, since unfavorable conditions for plants developed that year. The data obtained under controlled conditions on the winter hardiness for the second component had an average correlation of r = 0.57 with the field valuation, which was not reliable t = 1.8 < 2.4 (Figure 1a). The obtained data on the winter hardiness for the third and fourth components had a close reliable correlation r = 0.85 and r = 0.83 with the field assessment (Figure 1b,c) (significant correlation at p < 0.05). The results of the correlation analysis indicate that the simulated conditions for the winter hardiness components three and four reliably coincided with the weather conditions in the winter of 2021.

Figure 1.
The relationship between the results of artificial freezing and field assessment of winter hardiness. (a)—the second winter hardiness component). (b)—the third winter hardiness component). (c)—the fourth winter hardiness component).
It should be noted that the field method has one drawback—the duration of the study. Therefore, it is possible to accelerate the assessment of frost resistance of plants by testing under controlled conditions. Artificial freezing provides the possibility of screening genotypes to determine their frost resistance potential.
3.3. Determination of the Heat and Drought Resistance
Raspberry varieties differ in their endurance to arid growing conditions [13,17]. During the growing season, the parameters of the water regime (hydration and water deficiency of leaves) of raspberry genotypes were studied in the field. In June, the studied varieties were characterized by a medium hydration of the leaf apparatus, except for 9-35, which was characterized by a high leaf hydration. In July, the medium level of hydration of raspberry leaves also remained. At the same time, the hydration of raspberry leaves decreased compared to June: by 3.4% in 9-70, by 3.6% in ‘Glen Ample’, by 3.8% in ‘Glen Lyon’, by 4.1% in ‘Laszka’, by 5.9% in SF 9-17, by 6.3% in ‘Glen Magna’, by 2.3% in ‘Joan J’, and by 8.7% in 9-35 (Figure 2). This is due to the fact that during the formation and ripening of berries, the water flows from the leaves and other plant organs to the berries.
Figure 2.
Hydration of raspberry leaf apparatus, % (2019–2021). *—significant differences at the 5% significance level.
In early June, raspberry genotypes, such as ‘Glen Lyon’, ‘Glen Magna’, and 9-35, had a low water deficiency of the leaf apparatus (no more than 10%) in the field. In other genotypes, water deficiency of 11–14.4% was noted in leaves, which was a natural phenomenon and did not cause tangible harm to plants. In July, water deficiency in leaves decreased in 9-70 by 7.3 times, in ‘Glen Ample’ by 6.1 times, in ‘Glen Lyon’ by 1.3 times, in ‘Laszka’ by 3.9 times, in 9-17 by 1.6 times, in ‘Glen Magna’ by 3.7 times, in ‘Joan J’ by 6.9%, and in 9-35 by 2.5 times compared to June (Figure 3), which is primarily due to an increased plant moisture (according to the VNIISPK weather station).
Figure 3.
Water deficiency of raspberry leaves in the field, % (2019–2021). *—significant differences at the 5% significance level.
Drought was simulated in laboratory conditions. Thus, in June (by 1.5–3.2 times) and July (by 3.9–14.7 times), under conditions of artificial drought, a water deficiency in the leaf apparatus of raspberry genotypes significantly increased compared to field conditions. At the same time, the average level of water deficiency of raspberry leaves remained, the value of which did not exceed 32% (Figure 4).
Figure 4.
Water scarcity of raspberry leaves after drought simulation, % (2019–2021). *—significant differences at the 5% significance level.
The ability of plants to restore hydration after stress is no less important for their drought. The experiment showed that all raspberry varieties were characterized by a high ability to restore hydration after drought. At the same time, young leaves of raspberry genotypes were observed to restore water to a greater extent than fully formed ones. Thus, in June, the restoration of leaf hydration increased by 20.3% compared to July (Table 7).
Table 7.
Restoration of hydration of raspberry leaves after drought simulation, % (2019–2021).
3.4. Yield Study
The biological accounting of the harvest revealed significant differences (at a level of 5%) in the fruiting zone of the studied genotypes of raspberries. For all the studied varieties, the average number of replaced shoots was 4–5 per linear meter. In terms of the number of berries per shoot in experimental raspberry varieties, except for genotype 9-17, the control variety ‘Brigantina’. Accession 9-17 was characterized by the minimal number of berries per fruiting shoot. The maximum number of berries per shoot and bush was observed in the following varieties: ‘Glen Ample’, ‘Glen Lyon’, ‘Glen Magna’, and ‘Laszka’ as well as in the genotypes 9-35 and 9-70 (Figure 5).
Figure 5.
Average amount of raspberry berries per shoot and per bush, pieces. (2019–2021). *—significant differences at the 5% significance level.
As a result of the studies, ‘Glen Ample’ was singled out as a variety characterized by very large berries (6.1 g). Large berries (3.5–5.0 g) were also noted in ‘Glen Lyon’, ‘Glen Magna’, ‘Laszka’, ‘Joan J’, and ‘Octavia’ and in selected forms of 9-17 and 9-70. Berries of medium size were noted in genotype 9-35 (Figure 5 and Figure 6).
Figure 6.
Average berry weight, g (2019–2021). *—significant differences at the 5% significance level.
Biological accounting showed a high yield per fruiting shoot and bush in ‘Glen Ample’. The yield ranging within 4.7–5.2 kg/bush was noted in ‘Glen Lyon’, ‘Glen Magna’, ‘Laszka’, and 9-70. The medium yield per bush was registered in ‘Joan J’, ‘Octavia’, and 9-17, 9-35 (Figure 7).
Figure 7.
Yield per fruiting raspberry shoot and per bush, kg. (2019–2021). *—significant differences at the 5% significance level.
The maximum biological yield from 1 ha was registered in the introduced raspberry varieties: ‘Glen Ample’ and ‘Glen Lyon’. The remaining varieties were characterized by a high biological yield ranging from 16.6 t/ha to 23.8 t/ha.
It should be noted that the actual yield of raspberries differed from biological yield on average by 60–65%. High actual yields were recorded in ‘Glen Ample’, ‘Glen Magna’, ‘Glen Lyon’, ‘Laszka’, and 9-70 (above 15 t/ha). They entered the group of highly productive varieties. The other studied genotypes were also productive (10–15 t/ha) (Table 8).
Table 8.
Raspberry yield, t/ha (2019–2021).
4. Conclusions
The studied raspberry genotypes were divided into two groups: frost-resistant genotypes (9-17, 9-35, and 9-70) and medium-hardy (‘Glen Ample’, ‘Glen Magna’, and ‘Laszka’). In laboratory conditions, when modeling drought, they showed medium drought resistance. In the field, according to the indicators of the water regime, during the growing season, they were characterized by optimal hydration and water deficiency of the leaf apparatus, and this positively affected the yield formation. High actual yields were recorded in ‘Glen Ample’, ‘Glen Magna’, ‘Glen Lyon’, ‘Laszka’, and 9-70 (above 15 t/ha). The remaining studied genotypes were productive (10–15 t/ha). Based on comprehensive studies, the raspberry genotypes ‘Glen Ample’, ‘Glen Magna’, ‘Laszka’, and 9-70 (Figure 8) were selected for further breeding and production.
Figure 8.
Promising raspberry genotypes.
Author Contributions
Conceptualization, writing—review and editing, Z.E.O.; visualization, supervision, M.V.L. and N.I.B. All authors have read and agreed to the published version of the manuscript.
Funding
Ministry of Science and Higher Education of the Russian Federation project FGZS-2022-0007.
Data Availability Statement
In this study, ten raspberries genotypes (Rúbus idaea) bred by the Russian Research Institute of Fruit Crop Breeding (VNIISPK) and introduced cultivars were used. The genotypes were taken from the VNIISPK raspberry genotype study genetic collection site and were kindly provided by Natal’ja Bogomolova (Russian Research Institute of Fruit Crop Breeding, VNIISPK, Orel, Russia).
Conflicts of Interest
The authors declare no conflict of interest.
References
- Kljajic, N.; Subic, J.; Sredojevic, Z. Profitability of raspberry production on holdings in the territory of Arilje. Econ. Agric. 2017, 1, 57–68. [Google Scholar] [CrossRef] [Green Version]
- Hashempour, A.; Ghazvini, R.F.; Bakhshi, D.; Ghasemnezhad, M.; Sharafti, M.; Ahmadian, H. Ascorbic Acid, Anthocyanins, and Phenolics Contents and Antioxidant Activity of Ber, Azarole, Raspberry, and Cornelian Cherry Fruit Genotypes Growing in Iran. Hort. Environ. Biotechnol. 2010, 51, 83–88. [Google Scholar]
- Sredojevic, Z.; Kljajic, N.; Popovic, N. Investing in Raspberry Production as an Opportunity of Sustainable Development of Rural Areas in Western Serbia. Econ. Insights Trends Chall. 2013, 2, 63–72. [Google Scholar]
- Black, B.L.; Lindstrom, T.; Hunter, B.; Olsen, S.; Heflebower, R.; Alston, D.G.; Maughan, T. Adaptability of floricane-fruiting Raspberry cultivars to a high-elevation Arid Climate. J. Am. Pomol. Soc. 2015, 69, 74–83. [Google Scholar]
- Krasova, N.G.; Galasheva, A.M.; Ozherelieva, Z.E.; Golyshkina, L.V.; Makarkina, M.A. About resistance of apple genotypes to winter unfavorable conditions. Agric. Biol. 2014, 49, 42–49. [Google Scholar] [CrossRef]
- Ozherelieva, Z.; Emelianova, O.; Firsov, A. Introduced tree and shrub species for sustainable landscape compositions in the urban conditions. E3S Web Conf. 2021, 273, 01013. [Google Scholar] [CrossRef]
- Zhang, Y.Y.; Dai, H.P. Study on interspecific hybridization between raspberry cultivars and wild raspberry. J. Fruit Sci. 2009, 33, 899–901. [Google Scholar]
- Ozherelieva, Z.E.; Prudnikov, P.S.; Kurashev, O.V.; Krivushina, D.A. Tolerance of gooseberry varieties to maximally low temperature in the middle of winter. Bulg. J. Agric. Sci. 2018, 24, 1053–1058. [Google Scholar]
- Ozherelieva, Z.; Prudnikov, P.; Zubkova, M. Estimation of the frost resistance of the strawberry. Biol. Commun. 2020, 65, 288–296. [Google Scholar] [CrossRef]
- Hansen, S.; Black, B.; Alston, D.; Lindstrom, T.; Olsen, S. A comparison of nine primocane fruiting raspberry cultivars for suitability to a high-elevation, Arid Climate. Int. J. Fruit Sci. 2021, 21, 500–508. [Google Scholar] [CrossRef]
- Evdokimenko, S.N.; Podgaetsky, M.A.; Danilova, A.A.; Mironova, N.V. Frost resistance of raspberry stems during thaw. Fruit Berry Grow. Russ. 2017, 49, 100–104. [Google Scholar]
- Bogomolova, N.I.; Ozhereleva, Z.E. An adaptive potential of red raspberries to damaging factors of the winter period in field and controlled conditions of Central Russia. Contemp. Hortic. 2016, 4, 40–52. [Google Scholar]
- Rachenko, M.A.; Rachenko, E.I. Winter hardiness of remontant raspberries in the conditions of the south of the Irkutsk region. J. Stress Physiol. Biochem. 2013, 9, 264–270. [Google Scholar]
- Black, B.L.; Lindstrom, T.; Heflebower, R.; Hunter, B.; Olsen, S.; Alston, D.G. Adaptability of primocane-fruiting raspberry cultivars to a high-elevation Arid Climate. J. Am. Pomol. Soc. 2013, 67, 47–56. [Google Scholar]
- Wahid, A.; Gelani, S.; Ashraf, M.; Foolad, M. Heat tolerance in plants: An overview. Environ. Exp. Bot. 2007, 61, 199–223. [Google Scholar] [CrossRef]
- Alizadeh, A.; Alizade, V.; Nassery, L.; Eivazi, A. Effect of drought stress on apple dwarf rootstocks. Tech. J. Eng. Appl. Sci. 2011, 1, 86–94. [Google Scholar]
- Ulianovskaya, E.V.; Suprun, I.I.; Tokmakov, S.V.; Ushakova, Y.V. Complex approach to the selection of valuable apple genotypes that are resistant to environmental stress factors. Fruit Vitic. South Russ. 2014, 25, 11–26. [Google Scholar]
- Tworkoski, T.; Fazio, G.; Glenn, D.M. Apple rootstock resistance to drought. Sci. Hortic. 2016, 204, 70–78. [Google Scholar] [CrossRef] [Green Version]
- Nenko, N.I.; Kiseleva, G.K.; Ulyanovskaya, E.V.; Yablonskaya, E.K.; Karavaeva, A.V. Physiological and biochemical criteria of apple tree stability to abiotic stresses of the summer period. Agric. Biol. 2019, 54, 158–168. [Google Scholar]
- Bogomolova, N.I.; Ozherelieva, Z.E.; Rezvyakova, S.V.; Lupin, M.V. Heat resistance and drought resistance of red raspberry in Central Russia (on the example of the Orel region). Innov. Agric. Probl. Prospect. 2019, 4, 192–201. [Google Scholar]
- Evdokimenko, S.N.; Sazonov, F.F.; Danilova, A.A.; Podgaetsky, M.A.; Mironova, N.V. Resistance of raspberry cultivars to temperature stress factors of the winter period. Russ. Agric. Sci. 2019, 5, 27–31. [Google Scholar] [CrossRef]
- Tyurina, M.M.; Krasova, N.G.; Rezvyakova, S.V.; Savelyev, N.I.; Dzhigadlo, E.N.; Ogoltsova, T.P. Study of winter hardiness of fruit and berry plants in field and laboratory conditions. In Program and Methods of Variety Investigation of Fruit, Berry and Nut Crops, 1st ed.; Sedov, E.N., Ogoltsova, T.P., Eds.; VNIISPK: Orel, Russia, 1999; pp. 351–374. [Google Scholar]
- Leonchenko, V.G.; Yevseyeva, R.P.; Zhbanova, E.V.; Cherenkova, T.A. The Preliminary Selection of Promising Genotypes of Fruit Plants for Ecological Resistance and Biochemical Value of Fruit (Methodical Recommendations), 1st ed.; Federal Scientific Center Im. I.V. Michurin: Michurinsk, Russia, 2007; pp. 1–72. [Google Scholar]
- Bertrand, A.; Castonguay, Y. Plant adaptations to overwintering stresses and implications of climate change. Can. J. Bot. 2011, 81, 1145–1152. [Google Scholar]
- Guy, C.L. Freezing tolerance of plants: Current understanding and selected emerging concepts. Can. J. Bot. 2011, 81, 1216–1223. [Google Scholar] [CrossRef]
- Khanizadeh, S.; Brodeur, C.; Granger, R.; Buszard, D. Factors associated with winter injury to apple trees. Acta Hortic. 2000, 514, 179–192. [Google Scholar] [CrossRef]
- Cline, J.A.; Neilsen, D.; Neilsen, G.; Brownlee, R.; Norton, D.; Quamme, H. Cold hardiness of new apple cultivars of commercial importance in Canada. J. Am. Pomol. Soc. 2012, 66, 174–182. [Google Scholar]
- Linden, L. Measuring Cold Hardiness in Woody Plants; Department of Applied Biology, University of Helsinki: Helsinki, Finland, 2002; 57p. [Google Scholar]
- Quamme, H.; Cannon, A.; Neilsen, D.; Caprio, J.; Taylor, W. The potential impact of climate change on the occurrence of winter freeze events in six fruit crops grown in the Okanagan Valley. J. Plant Sci. 2010, 90, 8593–8596. [Google Scholar] [CrossRef]
- Arora, R.; Rowland, L.J. Physiological research on winter-hardiness: Deacclimation resistance, reacclimation ability, photoprotection strategies and a cold acclimation protocol design. Hort. Sci. 2011, 46, 1070–1078. [Google Scholar]
- Palonen, P.; Lindén, L. Breaking dormancy in red raspberry with hot water treatment and its effects on cold hardiness. J. Amer. Soc. Hort. Sci. 2006, 131, 209–213. [Google Scholar] [CrossRef] [Green Version]
Publisher’s Note: MDPI stays neutral with regard to jurisdictional claims in published maps and institutional affiliations. |
© 2022 by the authors. Licensee MDPI, Basel, Switzerland. This article is an open access article distributed under the terms and conditions of the Creative Commons Attribution (CC BY) license (https://creativecommons.org/licenses/by/4.0/).