The Role of Soil Moisture Information in Developing Robust Climate Services for Smallholder Farmers: Evidence from Ghana
Abstract
1. Introduction
2. Materials and Methods
2.1. Study Area and Site Selection
2.2. Data Collection
2.3. Data Analysis
3. Results
3.1. Socio-Demographic Characteristics of Respondents
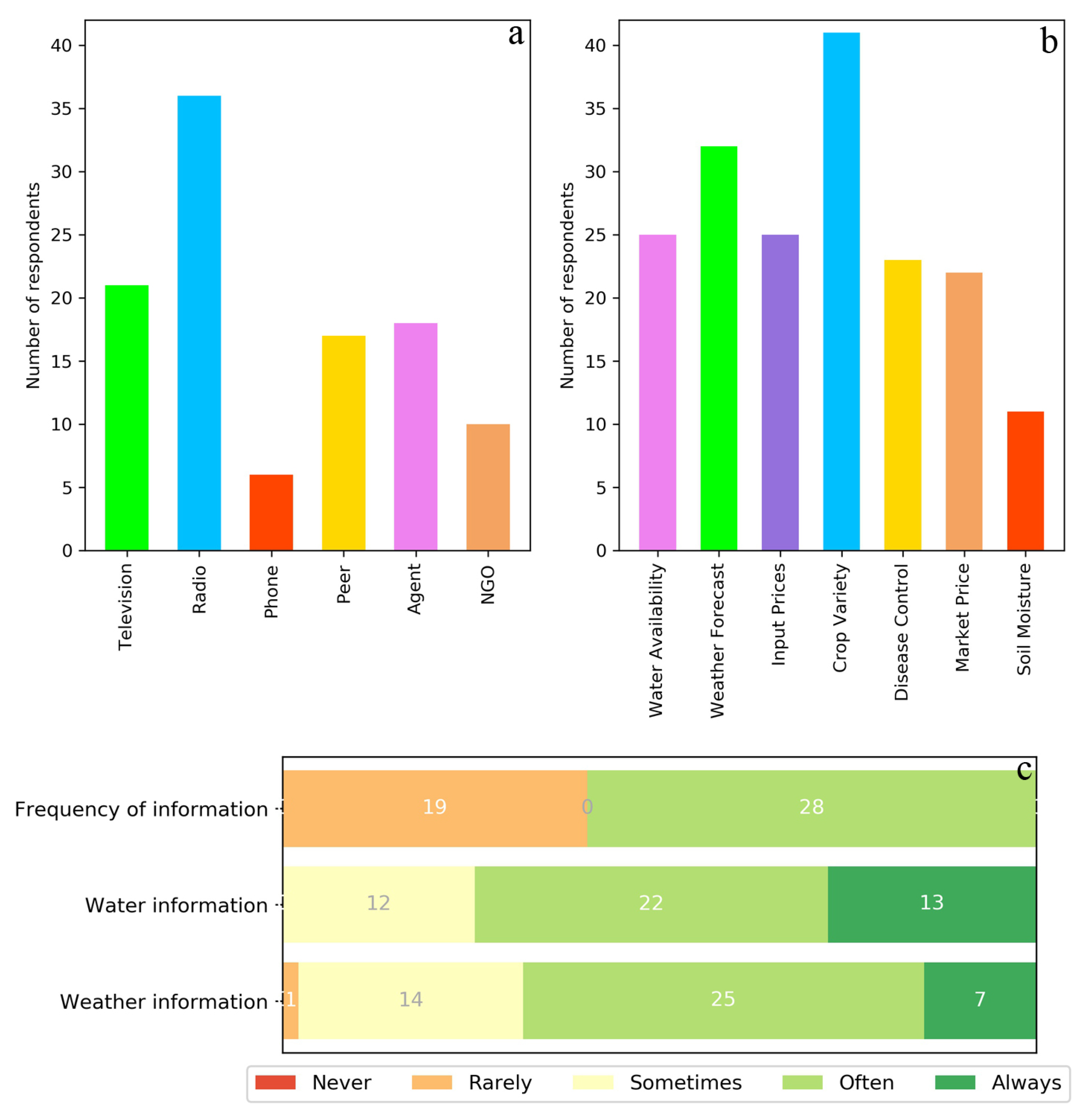
3.2. The Available Weather and Water-Related Agricultural Information
3.3. The Available Soil Moisture Information Related to Agriculture
3.4. The Importance of Forecast Information and the Needs
3.5. The Indigenous Soil Moisture Knowledge
4. Discussion
4.1. Opportunities to Develop Mobile-Based CIS
4.2. The Needs for Weather and Water-Related Agricultural Information
4.3. The Needs for an Information Service Based on Soil Moisture (CIS-SM)
5. Conclusions
Supplementary Materials
Author Contributions
Funding
Data Availability Statement
Acknowledgments
Conflicts of Interest
References
- Wani, S.P.; Rockström, J.; Oweis, T.Y. Rainfed Agriculture: Unlocking the Potentia; Comprehensive Assessment of Water Management in Agriculture Series 7; International Crops Research Institute for the Semi-Arid Tropics (ICRISAT), International Water Management Institute (IWMI): Colombo, Sri Lanka, 2009; 310p. [Google Scholar]
- Svendsen, M.; Ewing, M.; Msangi, S. Measuring Irrigation Performance in Africa; IFPRI Discussion Paper 00894; International Food Policy Research Institute: Washington, DC, USA, 2009. [Google Scholar]
- Biazin, B.; Sterk, G.; Temesgen, M.; Abdulkedir, A.; Stroosnijder, L. Rainwater harvesting and management in rainfed agricultural systems in sub-Saharan Africa—A review. Phys. Chem. Earth 2012, 47–48, 139–151. [Google Scholar] [CrossRef]
- World Bank. Spurring Agricultural and Rural Development. In Can Africa Claim the 21st Century? World Bank: Washington, DC, USA, 2000; pp. 170–207. [Google Scholar]
- Rockström, J.; Falkenmark, M. Agriculture: Increase water harvesting in Africa. Nature 2015, 519, 283. [Google Scholar] [CrossRef] [PubMed]
- Shimeles, A.; Verdier-Chouchane, A.; Boly, A. Introduction: Understanding the Challenges of the Agricultural Sector in Sub-Saharan Africa. In Building a Resilient and Sustainable Agriculture in Sub-Saharan Africa; Palgrave Macmillan: Cham, Switzerland; London, UK, 2018; pp. 1–12. [Google Scholar]
- FAO. Socio-Economic Context and Role of Agriculture, Country Fact Sheet on Food and Agriculture Policy Trends Ghana; Food and Agriculture Organization of the United Nations: Rome, Italy, 2015; Available online: https://www.fao.org/3/i4490e/i4490e.pdf (accessed on 20 November 2021).
- GSS. 2015 Labour Force Report, Ghana Statistical Service. Available online: https://www2.statsghana.gov.gh/docfiles/publications/Labour_Force/LFS%20REPORT_final_21-3-17.pdf (accessed on 10 November 2021).
- Yaro, J.A. The perception of and adaptation to climate variability/change in Ghana by small-scale and commercial farmers. Reg. Environ. Chang. 2013, 13, 1259–1272. [Google Scholar] [CrossRef]
- Gbangou, T.; Ludwig, F.; Van Slobbe, E.; Hoang, L.; Kranjac-Berisavljevic, G. Seasonal variability and predictability of agro-meteorological indices: Tailoring onset of rainy season estimation to meet farmers’ needs in Ghana. Clim. Serv. 2019, 14, 19–30. [Google Scholar] [CrossRef]
- Derbile, E.K.; Abdul-Moomin, A.; Yakubu, I. Local knowledge and community-based assessment of environmental change in Ghana. Ghana J. Geogr. 2016, 8, 59–83. [Google Scholar]
- Phillips, J.; Makaudze, E.; Unganai, L. Current and Potential Use of Climate Forecasts for Resource-Poor Farmers in Zimbabwe. In Impacts of El Niño and Climate Variability in Agriculture; Special Publication no. 63 ed.; American Society of Agronomy: Madison, WI, USA, 2001; pp. 87–100. [Google Scholar]
- Patt, A.; Suarez, P.; Gwata, C. Effects of seasonal climate forecasts and participatory workshops among subsistence farmers in Zimbabwe. Proc. Natl. Acad. Sci. USA 2005, 102, 12623–12628. [Google Scholar] [CrossRef]
- Roncoli, C.; Jost, C.; Kirshen, P.; Sanon, M.; Ingram, K.T.; Woodin, M.; Somé, L.; Ouattara, F.; Sanfo, B.J.; Sia, C.; et al. From accessing to assessing forecasts: An end-to-end study of participatory climate forecast dissemination in Burkina Faso (West Africa). Clim. Chang. 2009, 92, 433–460. [Google Scholar] [CrossRef]
- Okello, J.J.; Kirui, O.K.; Njiraini, G.W.; Gitonga, Z.M. Drivers of use of information and communication technologies by farm households: The case of smallholder farmers in Kenya. J. Agric. Sci. 2012, 4, 111–124. [Google Scholar] [CrossRef]
- Etwire, P.M.; Buah, S.; Ouédraogp, M.; Zougmoré, R.; Partey, S.T.; Martey, E.; Dayamba, S.D.; Bayala, J. An assessment of mobile phone-based dissemination of weather and market information in the upper West region of Ghana. Agric. Food Secur. 2017, 6, 1–9. [Google Scholar] [CrossRef]
- Paparrizos, S.; Smolenaars, W.; Gbangou, T.; van Slobbe, E.; Ludwig, F. Verification of Weather and Seasonal Forecast Information Concerning the Peri-Urban Farmers’ Needs in the Lower Ganges Delta in Bangladesh. Atmosphere 2020, 11, 1041. [Google Scholar] [CrossRef]
- McNew, K.P.; Mapp, H.P.; Duchon, C.E.; Merritt, E.S. Sources and uses of weather information for agricultural decision makers. Bull. Am. Meteorol. Soc. 1991, 72, 491–498. [Google Scholar] [CrossRef]
- Letson, D.; Llovet, I.; Podestá, G.; Royce, F.; Brescia, V.; Lema, D.; Parellada, G. User perspectives of climate forecasts: Crop producers in Pergaminao, Argentina. Clim. Res. 2001, 19, 57–67. [Google Scholar] [CrossRef]
- Patt, A.; Gwata, C. Effective seasonal climate forecast application: Examining constraints for subsistence farmers in Zimbabwe. Glob. Env. Chang. 2002, 12, 185–195. [Google Scholar] [CrossRef]
- Artikov, I.; Hoffman, S.J.; Lynne, G.D.; Zillig, L.M.P.; Hu, Q.; Tomkins, A.J.; Hubbard, K.G.; Hayes, M.J.; Waltman, W. Understanding the Influence of Climate Forecasts on Farmer Decisions as Planned Behavior. J. Appl. Meteorol. Climatol. 2006, 45, 1202–1214. [Google Scholar] [CrossRef]
- Manyanhaire, I.O.; Miriam, C. Integrating indigenous knowledge systems into climate change interpretation: Perspectives relevant to Zimbabwe. Greener J. Educ. Res. 2015, 5, 27–36. [Google Scholar] [CrossRef]
- Kumar, U.; Werners, S.; Paparrizos, S.; Datta, D.K.; Ludwig, F. Hydroclimatic information needs of smallholder farmers in the lower Bengal Delta, Bangladesh. Atmosphere 2020, 11, 1009. [Google Scholar] [CrossRef]
- Vogel, J.; Letson, D.; Herrick, C. A framework for climate services evaluation and its application to the Caribbean Agrometeorological Initiative. Clim. Serv. 2017, 6, 65–76. [Google Scholar] [CrossRef]
- Nyamekye, A.B.; Dewulf, A.; van Slobbe, E.; Termeer, K. Information systems and actionable knowledge creation in rice-farming systems in Northern Ghana. Afr. Geogr. Rev. 2020, 39, 144–161. [Google Scholar] [CrossRef]
- Vaughan, C.; Hansen, J.; Roudier, P.; Watkiss, P.; Carr, E. Evaluating agricultural weather and climate services in Africa: Evidence, methods and a learning agenda. WIREs Clim. Chang. 2019, 10, e586. [Google Scholar] [CrossRef]
- Gbangou, T.; Ludwig, F.; van Slobbe, E.; Greuell, W.; Kranjac-Berisavljevic, G. Rainfall and dry spell occurrence in Ghana: Trends and seasonal predictions with a dynamical and a statistical model. Theor. Appl. Climatol. 2020, 141, 371–387. [Google Scholar] [CrossRef]
- Kumar, U.; Werners, S.E.; Paparrizos, S.; Datta, D.K. Co-producing climate information services with smallholder farmers in the Lower Bengal Delta: How forecast visualization and communication support farmers’ decision-making. Clim. Risk Manag. 2021, 33, 100346. [Google Scholar] [CrossRef]
- Kang, Y.; Khan, S.; Ma, X. Climate change impacts on crop yield, crop water productivity and food security—A review. Prog. Nat. Sci. 2009, 19, 1665–1674. [Google Scholar] [CrossRef]
- Carrao, H.; Russo, S.; Supulcre-Canto, G.; Barbosa, P. An empirical standardized soil moisture index for agricultural drought assessment from remotely sensed data. Int. J. App. Earth Observ. Geol. 2016, 48, 74–84. [Google Scholar] [CrossRef]
- Rossato, L.; dos Santos Alvalá, R.C.; Marengo, J.A.; Zeri, M.; do Amaral Cunha, A.P.M.; Pires, L.B.M.; Barbosa, H.A. Impact of soil moisture on crop yields over Brazilian semiarid. Front. Environ. Sci. 2017, 5, 73. [Google Scholar] [CrossRef]
- Gałȩzewski, L.; Jaskulska, I.; Jaskulski, D.; Lew Owski, A.; Szplowska, A.; Wilczek, A.; Szczepanczyk, M. Analysis of the need for soil moisture, salinity and temperature sensing in agriculture: A case study in Poland. Sci. Rep. 2021, 11, 1666. [Google Scholar] [CrossRef]
- Asbjornsen, H.; Goldsmith, G.R.; Alvaradobarrientos, M.S.; Rebel, K.; Osch, F.P.V.; Rietkerk, M.; Chen, J.; Gotsch, S.; Tobón, C.; Geissert, D.R.; et al. Ecohydrological advances and applications in plant–water relations research: A review. J. Plant Ecol. 2011, 4, 3–22. [Google Scholar] [CrossRef]
- Wang, C.; Fu, B.; Zhang, L.; Xu, Z. Soil moisture-plant interactions: An ecohydrological review. J. Soils Sediments 2019, 19, 1–9. [Google Scholar] [CrossRef]
- Sutanto, S.J.; Wetterhall, F.; Van Lanen, H.A.J. Hydrological drought forecasts outperform meteorological drought forecasts. Environ. Res. Lett. 2020, 15, 084010. [Google Scholar] [CrossRef]
- Sutanto, S.J.; Van Lanen, H.A.J. Catchment memory explains hydrological drought forecast performance. Sci. Rep. 2022, 12, 2689. [Google Scholar] [CrossRef]
- Kothari, C.R. Research Methodology: Methods and Techniques; E-book; New Age International: New Delhi, India, 2004. [Google Scholar]
- Maxwell, J.A. Qualitative Research Design: An Interactive Approach; E-book; Sage: London, UK, 2012; Volume 41. [Google Scholar]
- Jebb, A.T.; Parrigon, S.; Woo, S.E. Exploratory data analysis as a foundation of inductive research. Hum. Resour. Manag. Rev. 2017, 27, 265–276. [Google Scholar] [CrossRef]
- Angelucci, F.; Asante-Poku, A.; Anaadumba, P. Analysis of Incentives and Disincentives for Rice in Ghana; Technical Notes Series; FAO: Rome, Italy, 2013. [Google Scholar]
- Abdul-Rahaman, I.; Owusu-Sekyere, E. Climate variability and sustainable food production: Insights from north-eastern Ghana. Ghana J. Geogr. 2017, 9, 67–89. [Google Scholar]
- McSweeney, C.; New, M.; Lizcano, G. UNDP Climate Variability. Country Profiles: Ghana. 2006. Available online: https://digital.library.unt.edu/ark:/67531/metadc226664/ (accessed on 25 November 2021).
- Yiran, G.A.B.; Kusimi, J.M.; Kufogbe, S.K. A synthesis of remote sensing and local knowledge approaches in land degradation assessment in the Bawku East District, Ghana. Int. J. Appl. Earth Obs. Geoinf. 2012, 14, 204–213. [Google Scholar] [CrossRef]
- Quaye-Ballard, J.A.; Okrah, T.M.; Andam-Akorful, S.A.; Awotwi, A.; Antwi, T.; Osei-Wusu, W.; Tang, X.; Quaye-Ballard, N.L. Spatiotemporal dynamics of rainfall in Upper East Region of Ghana, West Africa, 1981–2016. SN Appl. Sci. 2020, 2, 1675. [Google Scholar] [CrossRef]
- Nyadzi, E. Climate variability since 1970 and farmers’ observations in Northern Ghana. Sustain. Agric. Res. 2016, 5. [Google Scholar] [CrossRef]
- Owusu, K.; Waylen, P. Trends in spatio-temporal variability in annual rainfall in Ghana (1951–2000). Weather 2009, 64, 115–120. [Google Scholar] [CrossRef]
- Nyadzi, E. Best of both worlds: Co-Producing Climate Services that Integrate Scientific and Indigenous Weather and Seasonal Climate Forecast for Water Management and Food Production in Ghana. Ph.D. Thesis, Wageningen University, Wageningen, The Netherlands, 2020. [Google Scholar]
- Ansah, T.; Nagbila, D.A. Utilization of local trees and shrubs for sustainable livestock production in the Talensi-Nabdam District of the Upper East Region of Ghana. Livest. Res. Rural. Dev. 2011, 23. [Google Scholar] [CrossRef]
- Klocke, N.L.; Fischbach, P.E. G84-690 Estimating Soil Moisture by Appearance and Feel, Historical Materials from University of Nebraska-Lincoln Extension, 1201, 1984. Available online: https://digitalcommons.unl.edu/extensionhist/1201/ (accessed on 31 December 2021).
- Guarte, J.M.; Barrios, E.B. Estimation under purposive sampling. Commun. Stat.-Simul. Comput. 2006, 35, 277–284. [Google Scholar] [CrossRef]
- Etikan, I.; Musa, S.A.; Alkassim, R.S. Comparison of convenience sampling and purposive sampling. Am. J. Theor. Appl. Stat. 2016, 5, 1–4. [Google Scholar] [CrossRef]
- Wolfinger, N.H. On writing fieldnotes: Collection strategies and background expectancies. Qual. Res. 2002, 2, 85–93. [Google Scholar] [CrossRef]
- Van Maanen, J. Tales of the Field: On Writing Ethnography, 2nd ed.; University of Chicago Press: Chicago, IL, USA, 2011; 232p. [Google Scholar]
- Gbangou, T.; Sarku, R.; van Slobe, E.; Ludwig, F.; Kranjac-Berisavljevic, G.; Paparrizos, S. Coproducing Weather Forecast Information with and for Smallholder Farmers in Ghana: Evaluation and Design Principles. Atmosphere 2020, 11, 902. [Google Scholar] [CrossRef]
- García, Z.; Nyberg, J.; Saadat, S.O. Agriculture, Trade Negotiations and Gender; Food and Agriculture Organization of the United Nations: Rome, Italy, 2006; Available online: https://www.fao.org/3/a0493e/a0493e00.htm#Contents (accessed on 20 January 2022).
- Britwum, A.O.; Akorsu, A.D. Qualitative Gender Evaluation of Agricultural Intensification Practices in Northern Ghana; Institute of Tropical Agriculture: Ibadan, Nigeria, 2016; 62p. [Google Scholar]
- FAO. Gender Inequalities in Rural Employment in Ghana—An Overview; Food and Agriculture Organization of the United Nations: Rome, Italy, 2012; Available online: https://www.fao.org/3/ap090e/ap090e00.pdf (accessed on 20 January 2022).
- OECD. Working Age Population (Indicator). Available online: https://http://doi.org/10.1787/d339918b-en (accessed on 6 January 2022).
- Kuivanen, K.S.; Alvarez, S.; Michalscheck, M.; Adjei-Nsiah, S.; Descheemaeker, K.; Mellon-Bedi, S.; Groot, J.C.J. Characterising the diversity of smallholder farming system and their constraints and opportunities for innovation: A case study from the Northern Region, Ghana. NJAS-Wagening. J. Life Sci. 2016, 78, 153–166. [Google Scholar] [CrossRef]
- PHC. 2010 Population and Housing Census, National Analytical Report, Ghana Statistical Service, May 2013. Available online: https://statsghana.gov.gh/gssmain/fileUpload/pressrelease/2010_PHC_National_Analytical_Report.pdf (accessed on 21 January 2022).
- Krell, N.T.; Giroux, S.A.; Guido, Z.; Hannah, C.; Lopus, S.E.; Caylor, K.K.; Evans, T.P. Smallholder farmers’ use of mobile phone services in central Kenya. Clim. Dev. 2021, 13, 215–227. [Google Scholar] [CrossRef]
- Kumar, U.; Werners, S.; Roy, S.; Ashraf, S.; Hoang, L.P.; Datta, D.K.; Ludwig, F. Role of information in Farmers’ response to weather and water related stresses in the lower Bengal Delta, Bangladesh. Sustainability 2020, 12, 6598. [Google Scholar] [CrossRef]
- World Bank. Information and Communications for Development 2018: Data-Driven Development; Tech. Report No. 128301; World Bank: Washington, DC, USA, 2018; 177p. [Google Scholar]
- Wyche, S.; Olson, J. Gender, mobile and mobile internet—Kenyan women’s rural realities, mobile internet access and “Africa rising”. Inf. Technol. Int. Dev. 2018, 14, 33–47. [Google Scholar]
- Qiang, C.Z.; Kuek, S.C.; Dymond, A.; Esselaar, S. Mobile Applications for Agriculture and Rural Development; Report No: 96226-GLB; ICT Sector Unit, World Bank: Washington, DC, USA, 2012. [Google Scholar]
- Zhang, Y.; Yu, L. Information for social and economic participation: A review of related research on the information needs and acquisition of rural Chinese. Int. Inf. Libr. Rev. 2009, 41, 63–70. [Google Scholar] [CrossRef]
- Babu, S.C.; Glendening, C.J.; Anseso-Okoye, K.; Govindarajan, S.K. Farmers’ Information Needs and Search Behaviours: Case Study in Tamil Nadu, India; Discussion paper 01166; International Food Policy Research Institute: Washington, DC, USA, 2012; 48p. [Google Scholar]
- Benard, R.; Dulle, F.; Ngalapa, H. Assessment of Information Needs of Rice Farmers in Tanzania; A Case Study of Kilombero District, Morogoro. Libr. Philos. Pract. 2014, 1071. Available online: http://digitalcommons.unl.edu/libphilprac/1071 (accessed on 21 January 2022).
- Nyadzi, E.; Werners, E.S.; Biesbroek, R.; Long, P.H.; Franssen, W.; Ludwig, F. Verification of seasonal climate forecast toward hydroclimatic information needs of rice farmers in Northern Ghana. Weather Clim. Soc. 2019, 11, 127–142. [Google Scholar] [CrossRef]
- Nyamekye, A.B.; Nyadzi, E.; Dewulf, A.; Werners, S.; van SLobe, E.; Biesbroek, R.G.; Termeer, C.J.A.M.; Ludwig, F. Forecast probability, lead time and farmer decision-making in rice farming system in Northern Ghana. Clim. Risk Manag. 2021, 31, 100258. [Google Scholar] [CrossRef]
- Vitart, F. Monthly forecasting at ECMWF. Mon. Weather Rev. 2004, 132, 2761–2779. [Google Scholar] [CrossRef]
- Yuan, X.; Wood, E.F.; Roundy, J.K.; Pan, M. CFSv2-based seasonal hydroclimatic forecasts over the conterminous United States. J. Clim. 2013, 26, 4828–4847. [Google Scholar] [CrossRef]
- Van Lanen, H.A.; Wanders, N.; Tallaksen, L.M.; Van Loon, A.F. Hydrological drought across the world: Impact of climate and physical catchment structure. Hydrol. Earth Syst. Sci. 2013, 17, 1715–1732. [Google Scholar] [CrossRef]
- Van Loon, A.F.; Laaha, G. Hydrological drought severity explained by climate and catchment characteristics. J. Hydrol. 2015, 526, 3–14. [Google Scholar] [CrossRef]
- Kalanda-Joshua, M.; Ngongondo, C.; Chipeta, L.; Mpembeka, F. Integrating indigenous knowledge with conventional science: Enhancing localized climate and weather forecasts in Nessa, Mulanje, Malawi. Phys. Chem. Earth 2011, 36, 996–1003. [Google Scholar] [CrossRef]
- Vilakazi, B.; Zangeni, R.; Mafongoya, P. Indigenous strategies used by selected farming communities in KwaZulu Natal, South Africa, to manage soil, water and climate extremes and to make weather predictions. Land Degrad. Dev. 2019, 30, 1999–2008. [Google Scholar] [CrossRef]
- Radeny, M.; Desalegn, A.; Mubiru, D.; Kyazze, F.; Mahoo, H.; Recha, J.; Kimeli, P.; Solomon, D. Indigenous knowledge for seasonal weather and climate forecasting across East Africa. Clim. Chang. 2019, 156, 509–526. [Google Scholar] [CrossRef]
- Gbangou, T.; van Slobe, E.; Ludwig, F.; Kranjac-Berisavljevic, G.; Paparrizos, S. Harnessing local forecasting knowledge on weather and climate in Ghana: Documentation, skill and integration with scientific forecasting knowledge. Weather Clim. Soc. 2021, 13, 23–37. [Google Scholar] [CrossRef]
- Nyadzi, E.; Werners, S.E.; Biesbroek, R.; Ludwig, F. Techniques and skills of indigenous weather and seasonal climate forecast in northern Ghana. Clim. Dev. 2021, 13, 551–562. [Google Scholar] [CrossRef]
- Kadi, M.; Njau, L.N.; Mwikya, J.; Kamga, A. The State of Climate Information Services for Agriculture and Food Security in East African Countries. CCAFS Working Paper No. 5, Copenhagen, Denmark. Available online: www.ccafs.cgiar.org (accessed on 15 December 2021).
- Vaughan, C.; Dessai, S. Climate services for society: Origins, institutional arrangements and design elements for an evaluation framework. Wiley Interdiscip. Rev. Clim. Chang. 2014, 5, 587–603. [Google Scholar] [CrossRef]
- Dayamba, D.S.; Ky-Dembele, C.; Bayala, J.; Dorward, P.; Clarkson, G.; Sanogo, D.; Mamadou, L.D.; Traoré, I.; Diakité, A.; Nenkam, A.; et al. Assessment of the use of participatory integrated climate services for agriculture (PICSA) approach by farmers to manage climate risk in Mali and Senegal. Clim. Serv. 2018, 12, 27–35. [Google Scholar] [CrossRef]
- Fang, B.; Lakshmi, V. Soil moisture at watershed scale: Remote sensing techniques. J. Hydrol. 2014, 516, 258–272. [Google Scholar] [CrossRef]
- Mohanty, B.P.; Cosh, M.H.; Lakshmi, V.; Montzka, C. Soil moisture remote sensing: State-of-the-science. Vadose Zone J. 2017, 16, 1–9. [Google Scholar] [CrossRef]
- López-López, P.; Sutanudjaja, E.H.; Schellekens, J.; Sterk, G.; Bierkens, M.F.P. Calibration of a large-scale hydrological model using satellite-based soil moisture and evapotranspiration products. Hydrol. Earth Syst. Sci. 2017, 21, 3125–3144. [Google Scholar] [CrossRef]
- Wanders, N.; Bierkens, M.F.P.; Jong, S.M.; Roo, A.; Karssenberg, D. The benefits of using remotely sensed soil moisture in parameter identification of large-scale hydrological models. Water Resour. Res. 2014, 50, 6874–6891. [Google Scholar] [CrossRef]
- Ouédraogo, M.; Zougmoré, R.; Barry, S.; Somé, L.; Baki, G. The Value and Benefits of Using Seasonal Climate Forecasts in Agriculture: Evidence from Cowpea and Sesame Sectors in Climate-Smart Villages of Burkina Faso; CCAFS Info Note: Copenhagen, Denmark, 2015; pp. 1–4. [Google Scholar]
- De Fraiture, C.; Giordano, M. Small private irrigation: A thriving but overlooked sector. Agric. Water Manag. 2014, 131, 167–174. [Google Scholar] [CrossRef]
- Roy, R.N.; Finck, A.; Blair, G.J.; Tandon, H.L.S. Plant Nutrition for Food Security: A Guide for Integrated Nutrient Management. FAO Fertilizer and Plant Nutrition Bulletin, 16. Available online: https://www.fao.org/fileadmin/templates/soilbiodiversity/Downloadable_files/fpnb16.pdf (accessed on 24 November 2021).






| Gbulung | Nakpanzoo | Yapalsi | ||||||
|---|---|---|---|---|---|---|---|---|
| Variable | N = 16 | % | Variable | N = 17 | % | Variable | N = 16 | % |
| Gender | Gender | Gender | ||||||
| Male | 12 | 75 | Male | 15 | 88.2 | Male | 13 | 81.3 |
| Female | 4 | 25 | Female | 2 | 11.8 | Female | 3 | 18.8 |
| Age | Age | Age | ||||||
| <25 | 3 | 18.8 | <25 | 0 | 0 | <25 | 3 | 18.8 |
| 25–34 | 5 | 31.3 | 25–34 | 5 | 29.4 | 25–34 | 1 | 6.3 |
| 35–44 | 5 | 31.3 | 35–44 | 5 | 29.4 | 35–44 | 5 | 31.3 |
| 45–54 | 3 | 18.8 | 45–54 | 5 | 29.4 | 45–54 | 4 | 25 |
| 55–64 | 0 | 0 | 55–64 | 2 | 11.8 | 55–64 | 3 | 18.8 |
| Household size | Household size | Household size | ||||||
| 2–5 | 1 | 6.3 | 2–5 | 1 | 5.9 | 2–5 | 0 | 0 |
| 6–9 | 4 | 25 | 6–9 | 6 | 35.3 | 6–9 | 3 | 18.8 |
| 10–13 | 4 | 25 | 10–13 | 2 | 11.8 | 10–13 | 0 | 0 |
| 14–17 | 1 | 6.3 | 14–17 | 1 | 5.9 | 14–17 | 5 | 31.3 |
| 18–21 | 4 | 25 | 18–21 | 2 | 11.8 | 18–21 | 3 | 18.8 |
| >21 | 2 | 12.5 | >21 | 5 | 29.4 | >21 | 5 | 31.3 |
| Education | Education | Education | ||||||
| Illiterate | 8 | 50 | Illiterate | 9 | 52.9 | Illiterate | 10 | 62.5 |
| Basic | 3 | 18.8 | Basic | 6 | 35.3 | Basic | 3 | 18.8 |
| JHS | 1 | 6.3 | JHS | 1 | 5.9 | JHS | 1 | 6.3 |
| SHS | 3 | 18.8 | SHS | 1 | 5.9 | SHS | 0 | 0 |
| Tertiary | 1 | 6.3 | Tertiary | 0 | 0 | Tertiary | 2 | 12.5 |
| Land ownership | Land ownership | Land ownership | ||||||
| Yes | 7 | 43.8 | Yes | 13 | 76.5 | Yes | 7 | 43.8 |
| No | 9 | 56.3 | No | 4 | 23.5 | No | 9 | 56.3 |
| Animal farm | Animal farm | Animal farm | ||||||
| Yes | 13 | 81.3 | Yes | 14 | 82.4 | Yes | 12 | 75 |
| No | 3 | 18.8 | No | 3 | 17.6 | No | 4 | 25 |
| Off–farm income | Off–farm income | Off–farm income | ||||||
| Yes | 10 | 62.5 | Yes | 5 | 29.4 | Yes | 11 | 68.8 |
| No | 6 | 37.5 | No | 12 | 70.6 | No | 5 | 31.3 |
| Farm experience | Farm experience | Farm experience | ||||||
| 1–10 year | 10 | 62.5 | 1–10 year | 5 | 29.4 | 1–10 year | 5 | 31.3 |
| 11–20 year | 5 | 31.3 | 11–20 year | 7 | 41.2 | 11–20 year | 4 | 25 |
| >20 year | 1 | 6.3 | >20 year | 5 | 29.4 | >20 year | 7 | 43.8 |
| Community | |||||
|---|---|---|---|---|---|
| No | Variable | Gbulung | Nakpanzoo | Yapalsi | Unit |
| 1 | Altitude | 139.0 | 115.4 | 117.0 | m |
| 2 | Soil type | sand, silt | sand, silt | sand, silt | - |
| 3 | Farmer received SM information | 6.3 | 29.4 | 31.3 | respondents |
| 4 | Importance of SM information | 31.3 | 35.3 | 50.0 | respondents |
| 5 | Farming decision stage | Fertilizer | Sowing | Sowing | - |
| 6 | Importance of SM forecast | 81.3 | 88.2 | 93.8 | respondents |
| No | Name of Indicator | Indicator Signal | Period/Month | SM Status |
|---|---|---|---|---|
| 1 | Gbingbane plant (at maturity stage) | When poultry, or small animals (cat) can hide behind shrub without being seen | Onset of the rainy season (April/May) | Soil ready for sowing/planting |
| 2 | Shea tree (Vitellaria paradoxa) | Immediately after the fruits start ripening | Onset of the rainy season (April/May) | Soil ready for sowing/planting |
| 3 | Karifi maalam plant | 1. When it starts to fruit, 2. When its fruits starts ripening. From the start of ripening to fully ripe fruits | Rainy season (May/June) | 1. Good for sowing of groundnuts and maize, 2. Good for planting of rice |
| 4 | Dawadawa tree (African Locust tree-Parkia biglobosa) | Immediately when harvest of ripe fruits starts | Rainy season (May to June/July) | Suitable for any type of crop |
| 5 | Presence of Earth worms | Earth worms on the earth surface after it rained indicate effective rainfall | Rainy season | Soil is suitable for sowing since moisture is related to rainfall |
Publisher’s Note: MDPI stays neutral with regard to jurisdictional claims in published maps and institutional affiliations. |
© 2022 by the authors. Licensee MDPI, Basel, Switzerland. This article is an open access article distributed under the terms and conditions of the Creative Commons Attribution (CC BY) license (https://creativecommons.org/licenses/by/4.0/).
Share and Cite
Sutanto, S.J.; Paparrizos, S.; Kranjac-Berisavljevic, G.; Jamaldeen, B.M.; Issahaku, A.K.; Gandaa, B.Z.; Supit, I.; van Slobbe, E. The Role of Soil Moisture Information in Developing Robust Climate Services for Smallholder Farmers: Evidence from Ghana. Agronomy 2022, 12, 541. https://doi.org/10.3390/agronomy12020541
Sutanto SJ, Paparrizos S, Kranjac-Berisavljevic G, Jamaldeen BM, Issahaku AK, Gandaa BZ, Supit I, van Slobbe E. The Role of Soil Moisture Information in Developing Robust Climate Services for Smallholder Farmers: Evidence from Ghana. Agronomy. 2022; 12(2):541. https://doi.org/10.3390/agronomy12020541
Chicago/Turabian StyleSutanto, Samuel J., Spyridon Paparrizos, Gordana Kranjac-Berisavljevic, Baba M. Jamaldeen, Abdulai K. Issahaku, Bizoola Z. Gandaa, Iwan Supit, and Erik van Slobbe. 2022. "The Role of Soil Moisture Information in Developing Robust Climate Services for Smallholder Farmers: Evidence from Ghana" Agronomy 12, no. 2: 541. https://doi.org/10.3390/agronomy12020541
APA StyleSutanto, S. J., Paparrizos, S., Kranjac-Berisavljevic, G., Jamaldeen, B. M., Issahaku, A. K., Gandaa, B. Z., Supit, I., & van Slobbe, E. (2022). The Role of Soil Moisture Information in Developing Robust Climate Services for Smallholder Farmers: Evidence from Ghana. Agronomy, 12(2), 541. https://doi.org/10.3390/agronomy12020541

