Adaptabilities of Water Production Function Models for Rice in Cold and Black Soil Region of China
Abstract
1. Introduction
2. Materials and Methods
2.1. Study Area
2.2. Experimental Design
2.3. Data Collection
2.4. Water Production Function Models
2.5. Simulation Accuracy Indices
2.6. Statistical Analysis
3. Results
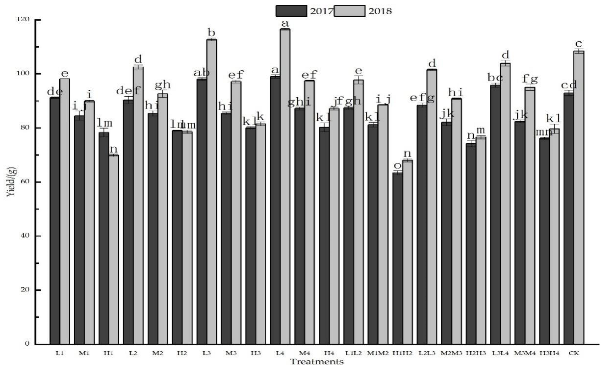
3.1. Yield
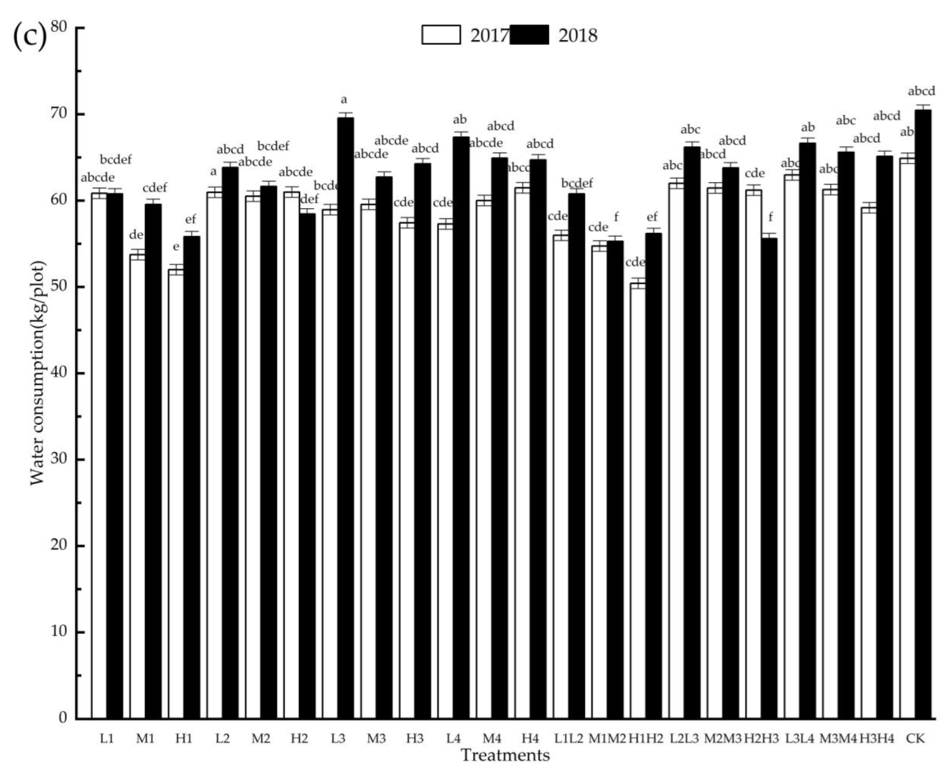
3.2. Water Consumption and WUE
3.3. The Sensitivity Indices
3.4. Simulation Accuracy
4. Discussion
4.1. Effect of Different Deficit Regulation Irrigation Treatments on Rice Yield, Water Consumption, and Water Use Efficiency
4.2. Selection of Five WPFMs
5. Conclusions
Author Contributions
Funding
Institutional Review Board Statement
Data Availability Statement
Acknowledgments
Conflicts of Interest
References
- Maclean, J.L.; Dawe, D.C.; Hardy, B.; Hettel, G.P. Rice Almanac: Source book for the most important economic activity on earth. J. Agric. Sci. 2005, 143, 110. [Google Scholar]
- Guerra, L.C.; Bhui, S.I.; Tuong, T.P. Producing More Rice with Less Water from Irrigated Systems; International Water Management: Colombo, Sri Lanka, 1998. [Google Scholar]
- Wang, C.; Wang, S.; Chen, H.; Wang, J.; Tao, Y.; Liu, J. Evaluation of water-storage and water-saving potential for paddy fields in Gaoyou, China. Water 2018, 10, 1176. [Google Scholar] [CrossRef]
- Masson-Delmotte, V.P.; Zhai, A.; Pirani, S.L.; Connors, C.; Péan, S.; Berger, N.; Caud, Y.; Chen, L.; Goldfarb, M.I.; Gomis, M.; et al. Climate Change 2021: The Physical Science Basis. Contribution of Working Group I to the Sixth Assessment Report of the Intergovernmental Panel on Climate Change; Cambridge University Press: Cambridge, UK, 2021. [Google Scholar]
- Huishi, D.; Zeyan, W. Quantitative evaluation of agro-meteorological disasters in China. Bangladesh J. Bot. 2017, 46, 1105–1115. [Google Scholar]
- Wang, Y.; Huang, J.; Wang, J.; Findlay, C. Mitigating rice production risks from drought through improving irrigation infrastructure and management in China. Aust. J. Agric. Resour. Ec. 2018, 62, 161–176. [Google Scholar] [CrossRef]
- Rasheed, A.; Hassan, M.U.; Aamer, M.; Fang, S. A critical review on the improvement of drought stress tolerance in rice (Oryza sativa L.). Not. Bot. Horti Agrobot. Cluj-Napoca 2020, 48, 1756–1788. [Google Scholar] [CrossRef]
- Peng, D.; Huete, A.R.; Huang, J.; Wang, F.; Sun, H. Detection and estimation of mixed paddy rice cropping patterns with MODIS data. Int. J. Appl. Earth Obs. 2011, 13, 13–23. [Google Scholar] [CrossRef]
- Jin, X.; Zuo, Q.; Ma, W.; Li, S.; Shi, J.; Tao, Y.; Zhang, Y.; Liu, Y.; Liu, X.; Lin, S.; et al. Water consumption and water-saving characteristics of a ground cover rice production system. J. Hydrol. 2016, 540, 220–231. [Google Scholar] [CrossRef]
- Du, J.; Song, K.; Wang, Z. Estimation of water consumption and productivity for rice through integrating remote sensing and census data in the Songnen Plain, China. Paddy Water Environ. 2015, 13, 91–99. [Google Scholar] [CrossRef]
- Belder, P.; Bouman, B.; Cabangon, R.; Lu, G.; Quilang, E.; Li, Y.; Spiertz, J.; Tuong, T. Effect of water saving irrigation on rice yield and water use in typical lowland conditions in Asia. Agr. Water Manag. 2004, 65, 193–210. [Google Scholar] [CrossRef]
- Li, Y.; Shao, X.; Tan, J.; Hu, X.; Xu, H. Effects of controlled and mid-gathering irrigation on paddy rice height and yield. J. Food Agric. Environ. 2012, 10, 659–663. [Google Scholar]
- He, H.; Kang, S.; Geng, Z. Regulated deficit irrigation and the application on fruit trees. J. Northwest For. Acad. 1999, 14, 83–87. (In Chinese) [Google Scholar]
- Li, H. Effect of Regulated Deficit Irrigation on Growth and Yield of Rice; Yangzhou University: Yangzhou, China, 2005. (In Chinese) [Google Scholar]
- Liang, S.; Han, L.; Li, H.; Lian, W. Research on cultivation pattern and RDI index for dry cultivation of rice. Agric. Res. Arid. Reg. 2002, 20, 13–19. (In Chinese) [Google Scholar]
- Wang, K. Study on rice water production function and optimization of irrigation schedule of Cha Ha Yang irrigation area. Northeast. Agric. Univ. 2008, 27, 109–111. (In Chinese) [Google Scholar]
- Cai, H.; Kang, S.; Zhang, Z. Proper growth stages and deficit degree of crop regulated deficit irrigation. Trans. Chin. Soc. Agric. Eng. 2000, 16, 24–27. (In Chinese) [Google Scholar]
- Guo, X.; Kang, S. Regulated deficit irrigation—A new thought of water—Saving irrigation. Northwest Water Resour. Water Eng. 1998, 9, 22–26. [Google Scholar]
- Wang, D.; Li, F.; Nong, M. Response of yield and water use efficiency to different irrigation levels at different growth stages of Kenaf and crop water production function. Agric. Water Manag. 2017, 179, 177–183. [Google Scholar] [CrossRef]
- Wang, L.; Shan, Y.; Ma, Y.; Sun, Y. Study on sunflower water production function of semiarid area in the western of Heilongjiang. J. Northeast. Agric. Univ. 2009, 40, 33–36. (In Chinese) [Google Scholar]
- Chai, J.; Cui, Y.; Wang, W.; Liu, F. A study of water production function model for rice in Poyang Lake area. China Rural Water Conserv. Hydropower 2014, 8, 1–4. (In Chinese) [Google Scholar]
- Cheng, W.; Lu, W.; Xin, X.; Zhang, Z.; Chu, H. Adaptability of various models of the water production function for rice in Jilin Province, China. Paddy Water Environ. 2016, 14, 355–365. [Google Scholar] [CrossRef]
- Kuşçu, H. Mathematical modelling of crop water productivity for processing tomato. J. Agric. Sci. 2019, 25, 137–146. [Google Scholar] [CrossRef]
- Li, F.; Zhang, H.; Li, X.; Deng, H.; Chen, X.; Liu, L. Modelling and evaluation of potato water production functions in a cold and arid environment. Water 2022, 14, 2044. [Google Scholar] [CrossRef]
- Liu, Y.C. Crop water production function and water-saving and high-yield optimization model. Hebei Water Conserv. Hydropower Technol. 1998, 2, 9–11. (In Chinese) [Google Scholar]
- Gao, J.; Liu, Y. Climate warming and land use change in Heilongjiang province, Northeast China. Appl. Geogr. 2011, 31, 476–482. [Google Scholar] [CrossRef]
- Hu, Y.; Fan, L.; Liu, Z.; Yu, Q.; Liang, S.; Chen, S.; You, L.; Wu, W.; Yang, P. Rice production and climate change in Northeast China: Evidence of adaptation through land use shifts. Environ. Res. Lett. 2019, 14, 24014. [Google Scholar] [CrossRef]
- Fang, S.; Jia, R.; Tu, W.; Sun, Z. Assessing factors driving the change of irrigation water-use efficiency in China based on geographical features. Water 2017, 9, 759. [Google Scholar] [CrossRef]
- Liu, J.; Chen, H. Conjunctive use of groundwater and surface water for paddy rice irrigation in Sanjiang plain, North-East China. Irrig. Drain. 2020, 69, 142–152. [Google Scholar] [CrossRef]
- Chen, P.; Xu, J.; Zhang, Z.; Wang, K.; Li, T.; Wei, Q.; Li, Y. Carbon pathways in aggregates and density fractions in Mollisols under water and straw management: Evidence from 13C natural abundance. Soil Biol. Biochem. 2022, 169, 108684. [Google Scholar] [CrossRef]
- Kamarudin, Z.; Yusop, M.; Mohamed, M.; Ismail, M.; Harun, A. Growth performance and antioxidant enzyme activities of advanced mutant rice genotypes under drought stress condition. Agronomy 2018, 8, 279. [Google Scholar] [CrossRef]
- Venuprasad, R.; Lafitte, H.R.; Atlin, G.N. Response to direct selection for grain yield under drought stress in rice. Crop Sci. 2007, 47, 285–293. [Google Scholar] [CrossRef]
- Wang, C.; Kong, L.; Li, M.; Tang, X.; Du, Y.; Wang, H. Effect of water treatments at tillering stage on super rice yield and physiological characteristics. Acta Agric. Boreali-Sin. 2015, 30, 146–152. [Google Scholar]
- Wang, X.; Fu, J.; Min, Z.; Zou, D.; Liu, H.; Wang, J.; Zheng, H.; Jia, Y.; Yang, L.; Xin, W.; et al. Response of rice with overlapping growth stages to water stress by assimilates accumulation and transport and starch synthesis of superior and inferior grains. Int. J. Mol. Sci. 2022, 23, 11157. [Google Scholar] [CrossRef] [PubMed]
- Yao, Y. Effects of ridge tillage on photosynthesis and root characters of rice. Chil. J. Agric. Res. 2015, 75, 35–41. [Google Scholar]
- Suralta, R.; Julaton, M.; Rebong, D.B., II. Functional roles of constitutive root system development in maintaining higher water use and grain yield under post flowering drought stress in hybrid rice. Philipp. Agric. Sci. 2015, 98, 399–406. [Google Scholar]
- Kumari, M.; Asthir, B. Transformation of sucrose to starch and protein in rice leaves and grains under two establishment methods. Rice Sci. 2016, 23, 255–265. [Google Scholar] [CrossRef]
- Djaman, K.; Mel, V.C.; Bado, B.V.; Manneh, B.; Diop, L.; Mutiibwa, D.; Rudnick, D.; Irmak, S.; Futakuchi, K. Evapotranspiration, irrigation water requirement, and water productivity of rice (Oryza sativa L.) in the Sahelian environment. Paddy Water Environ. 2017, 15, 469–482. [Google Scholar] [CrossRef]
- Liu, F.; Xu, J.; Yang, S.; Huang, Y.; Liang, J. Variation in rice water requirement and its influencing factors in Poyang Lake basin during the past 30 years. Irrig. Drain. 2021, 70, 1381–1393. [Google Scholar] [CrossRef]
- Basu, S.; Kumari, S.; Kumar, A.; Shahid, R.; Kumar, S.; Kumar, G. Nitro-oxidative stress induces the formation of roots’ cortical aerenchyma in rice under osmotic stress. Physiol. Plant 2021, 172, 963–975. [Google Scholar] [CrossRef]
- Wang, H.; Zhong, L.; Fu, X.; Huang, S.; Fu, H.; Shi, X.; Hu, L.; Cai, Y.; He, H.; Chen, X. Physiological and transcriptomic analyses reveal the mechanisms of compensatory growth ability for early rice after low temperature and weak light stress. Plants 2022, 11, 2523. [Google Scholar] [CrossRef]
- Lafitte, H.R.; Price, A.H.; Courtois, B. Yield response to water deficit in an upland rice mapping population: Associations among traits and genetic markers. Theor. Appl. Genet. 2004, 109, 1237–1246. [Google Scholar] [CrossRef]
- Pandey, V.; Shukla, A. Acclimation and tolerance strategies of rice under drought stress. Rice Sci. 2015, 22, 147–161. [Google Scholar] [CrossRef]
- Du, Y.; Lu, R.; Sun, H.; Cui, E.; Yan, L.; Xia, J. Plant photosynthetic overcompensation under nocturnal warming: Lack of evidence in subtropical evergreen trees. Ann. Bot. 2022, 130, 109–119. [Google Scholar] [CrossRef] [PubMed]
- Pan, D.; Ren, L. Application of distributed hydrological model in irrigation management of Tuhai-Majia river basin. II. Crop water production function and optimal irrigation. Sci. Agric. Sin. 2012, 45, 480–488. [Google Scholar]
- Liu, X.; Li, M.; Guo, P.; Zhang, Z. Optimization of water and fertilizer coupling system based on rice grain quality. Agri. Water Manage. 2019, 221, 34–46. [Google Scholar] [CrossRef]
- Ru, C.; Wei, Y.; Liu, H.; Yang, J.; Hou, J.; Zhang, Y. Response of rice yield and its components to water consumption. Water-Sav. Irrig. 2017, 12, 97–103. (In Chinese) [Google Scholar]
- Liu, Z.; Meng, J.; Sun, Z.; Su, J.; Luo, X.; Song, J.; Li, P.; Sun, Y.; Yu, C.; Peng, X. Zinc application after low temperature stress promoted rice tillers recovery: Aspects of nutrient absorption and plant hormone regulation. Plant Sci. 2022, 314, 111104. [Google Scholar] [CrossRef]





| Years | Rice Growth Stages | |||||
|---|---|---|---|---|---|---|
| Re-greening | Tillering | Jointing and Booting | Flowering | Milky | Ripening | |
| 2017 | 18 May–1 June (14 d) | 2 June–5 July (34 d) | 6 July–19 July (14 d) | 20 July–2 August (13 d) | 4 August–14 August (11 d) | 15 August–1 September (18 d) |
| 2018 | 20 May–4 June (15 d) | 5 June–9 July (35 d) | 10 July–22 July (13 d) | 23 July–5 August (13 d) | 6 August–15 August (10 d) | 16 August–3 September (19 d) |
| Years | Parameters | Rice Growth Stages | Weighted Average | |||||
|---|---|---|---|---|---|---|---|---|
| Re-Greening | Tillering | Jointing and Booting | Flowering | Milky | Ripening | |||
| 2017 | Average Daily Max Temp (°C) | 20.2 | 27.9 | 29.3 | 26.6 | 27.6 | 24.3 | 24.6 |
| Average Daily Min Temp (°C) | 9.5 | 17.4 | 19.8 | 17.7 | 20.1 | 13.5 | 14 | |
| Average Daily Mean Temp (°C) | 14.8 | 22.6 | 24.5 | 21.8 | 23.3 | 18.6 | 19.3 | |
| 2018 | Average Daily Max Temp (°C) | 25.7 | 25.1 | 28.4 | 28.3 | 26.9 | 24.6 | 24.5 |
| Average Daily Min Temp (°C) | 13.2 | 16.2 | 21.4 | 19.8 | 17.9 | 16.3 | 14.7 | |
| Average Daily Mean Temp (°C) | 19.5 | 20.2 | 24.7 | 23.9 | 22.3 | 20 | 19.6 | |
| Treatments | Rice Growth Stages | |||||
|---|---|---|---|---|---|---|
| Re-greening | Tillering | Jointing and Booting | Flowering | Milky | Ripening | |
| L1 | 10~30 mm | 80~90%θs | 10~30 mm | 10~30 mm | 10~30 mm | Natural drying |
| M1 | 10~30 mm | 70~80%θs | 10~30 mm | 10~30 mm | 10~30 mm | Natural drying |
| H1 | 10~30 mm | 60~70%θs | 10~30 mm | 10~30 mm | 10~30 mm | Natural drying |
| L2 | 10~30 mm | 10~30 mm | 80~90%θs | 10~30 mm | 10~30 mm | Natural drying |
| M2 | 10~30 mm | 10~30 mm | 70~80%θs | 10~30 mm | 10~30 mm | Natural drying |
| H2 | 10~30 mm | 10~30 mm | 60~70%θs | 10~30 mm | 10~30 mm | Natural drying |
| L3 | 10~30 mm | 10~30 mm | 10~30 mm | 80~90%θs | 10~30 mm | Natural drying |
| M3 | 10~30 mm | 10~30 mm | 10~30 mm | 70~80%θs | 10~30 mm | Natural drying |
| H3 | 10~30 mm | 10~30 mm | 10~30 mm | 60~70%θs | 10~30 mm | Natural drying |
| L4 | 10~30 mm | 10~30 mm | 10~30 mm | 10~30 mm | 80~90%θs | Natural drying |
| M4 | 10~30 mm | 10~30 mm | 10~30 mm | 10~30 mm | 70~80%θs | Natural drying |
| H4 | 10~30 mm | 10~30 mm | 10~30 mm | 10~30 mm | 60~70%θs | Natural drying |
| L1L2 | 10~30 mm | 80~90%θs | 80~90%θs | 10~30 mm | 10~30 mm | Natural drying |
| M1M2 | 10~30 mm | 70~80%θs | 70~80%θs | 10~30 mm | 10~30 mm | Natural drying |
| H1H2 | 10~30 mm | 60~70%θs | 60~70%θs | 10~30 mm | 10~30 mm | Natural drying |
| L2L3 | 10~30 mm | 10~30 mm | 80~90%θs | 80~90%θs | 10~30 mm | Natural drying |
| M2M3 | 10~30 mm | 10~30 mm | 70~80%θs | 70~80%θs | 10~30 mm | Natural drying |
| H2H3 | 10~30 mm | 10~30 mm | 60~70%θs | 60~70%θs | 10~30 mm | Natural drying |
| L3L4 | 10~30 mm | 10~30 mm | 10~30 mm | 80~90%θs | 80~90%θs | Natural drying |
| M3M4 | 10~30 mm | 10~30 mm | 10~30 mm | 70~80%θs | 70~80%θs | Natural drying |
| H3H4 | 10~30 mm | 10~30 mm | 10~30 mm | 60~70%θs | 60~70%θs | Natural drying |
| CK | 10~30 mm | 10~30 mm | 10~30 mm | 10~30 mm | 10~30 mm | Natural drying |
| Year | Models | Parameters | Rice Growth Stages | |||
|---|---|---|---|---|---|---|
| Tillering | Jointing and Booting | Flowering | Milky | |||
| 2017 | Jensen | 0.104830 | 0.246291 | 0.468936 | 0.106340 | |
| Minhas | 0.104100 | 2.484440 | 1.188240 | 0.381090 | ||
| Blank | 0.006489 | 0.668534 | 0.075467 | 0.295784 | ||
| Stewart | 0.009711 | 0.521946 | 0.046370 | 0.159350 | ||
| Singh | 0.118730 | 1.385370 | −0.600190 | 0.027590 | ||
| 2018 | Jensen | 0.519549 | 0.655407 | 0.579629 | 0.330349 | |
| Minhas | 3.141450 | 2.353970 | 0.586240 | 0.048590 | ||
| Blank | 0.211679 | 0.342835 | 0.220606 | 0.113858 | ||
| Stewart | 0.626302 | 0.724038 | 0.719480 | 0.290445 | ||
| Singh | 0.742707 | 0.077861 | 0.324258 | −0.297443 | ||
| Year | Index | Jensen | Minhas | Blank | Stewart | Singh |
|---|---|---|---|---|---|---|
| 2017 | AE | −0.0247 | 0.0002 | −0.0002 | −0.0024 | 0.0004 |
| RMSE | 0.0802 | 0.0634 | 0.0727 | 0.0732 | 0.0721 | |
| (%) | 8.8461 | 6.9965 | 8.0219 | 8.0719 | 7.9549 | |
| CRM | −0.0273 | 0.0002 | −0.0002 | −0.0027 | 0.0005 | |
| R2 | 0.9938 | 0.9951 | 0.9936 | 0.9936 | 0.9937 | |
| 2018 | AE | 0.0143 | 0.0110 | 0.0025 | 0.0328 | 0.0013 |
| RMSE | 0.0616 | 0.0760 | 0.0781 | 0.0800 | 0.0987 | |
| (%) | 7.2774 | 8.9882 | 9.2375 | 9.4603 | 11.6630 | |
| CRM | 0.0169 | 0.0131 | 0.0029 | 0.0387 | 0.0016 | |
| R2 | 0.9952 | 0.9923 | 0.9916 | 0.9931 | 0.9866 |
Publisher’s Note: MDPI stays neutral with regard to jurisdictional claims in published maps and institutional affiliations. |
© 2022 by the authors. Licensee MDPI, Basel, Switzerland. This article is an open access article distributed under the terms and conditions of the Creative Commons Attribution (CC BY) license (https://creativecommons.org/licenses/by/4.0/).
Share and Cite
Nie, T.; Lu, D.; Zhang, Z.; Yang, H.; Gong, Z.; Chen, P.; Li, T.; Lin, Y.; Wang, M.; Du, C.; et al. Adaptabilities of Water Production Function Models for Rice in Cold and Black Soil Region of China. Agronomy 2022, 12, 2931. https://doi.org/10.3390/agronomy12122931
Nie T, Lu D, Zhang Z, Yang H, Gong Z, Chen P, Li T, Lin Y, Wang M, Du C, et al. Adaptabilities of Water Production Function Models for Rice in Cold and Black Soil Region of China. Agronomy. 2022; 12(12):2931. https://doi.org/10.3390/agronomy12122931
Chicago/Turabian StyleNie, Tangzhe, Dehao Lu, Zhongxue Zhang, Hua Yang, Zhenping Gong, Peng Chen, Tiecheng Li, Yanyu Lin, Mengxue Wang, Chong Du, and et al. 2022. "Adaptabilities of Water Production Function Models for Rice in Cold and Black Soil Region of China" Agronomy 12, no. 12: 2931. https://doi.org/10.3390/agronomy12122931
APA StyleNie, T., Lu, D., Zhang, Z., Yang, H., Gong, Z., Chen, P., Li, T., Lin, Y., Wang, M., Du, C., Dai, C., & Weerasooriya, T. (2022). Adaptabilities of Water Production Function Models for Rice in Cold and Black Soil Region of China. Agronomy, 12(12), 2931. https://doi.org/10.3390/agronomy12122931

