Rhizome Weight and Number of Sectioning per Rhizome Determine Plantlet Growth and Propagation Rate of Hemerocallis citrina Baroni in Cutting Propagation
Abstract
1. Introduction
2. Materials and Methods
2.1. Experimental Site and Materials
2.2. Experiment 1 (EXP.1)
2.3. Experiment 2 (EXP.2)
2.4. Growing Conditions
2.5. Plant Analysis
2.6. Calculation and Statistical Analysis
3. Results
3.1. Bud Sprouting Rates of Propagules and Propagation Rate
3.2. Aboveground and Belowground Growth of Plantlets
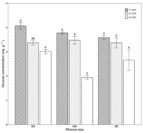
3.3. Carbohydrates in Rhizomes in EXP.1
3.4. Nutrients Concentrations of Plantlets
4. Discussion
4.1. The Influence of Rhizome Weight and Section Number on Propagation Coefficients
4.2. The Influence of Rhizome Weight on Plantlet Development Pattern
4.3. The Influence of Rhizome Weight on Plantlet Performance
4.4. The Influence of Section Numbers and Bud Size on Plantlet Growth
5. Conclusions
Author Contributions
Funding
Institutional Review Board Statement
Informed Consent Statement
Data Availability Statement
Conflicts of Interest
References
- Liang, Y.; Huang, R.; Chen, Y.; Zhong, J.; Deng, J.; Wang, Z.; Wu, Z.; Li, M.; Wang, H.; Sun, Y. Study on the sleep-improvement effects of Hemerocallis citrina Baroni in Drosophila melanogaster and targeted screening to identify its active components and mechanism. Foods 2021, 10, 883. [Google Scholar] [CrossRef] [PubMed]
- Qing, Z.; Liu, J.; Yi, X.; Liu, X.; Hu, G.; Lao, J.; He, W.; Yang, Z.; Zou, X.; Sun, M. The chromosome-level Hemerocallis citrina Borani genome provides new insights into the rutin biosynthesis and the lack of colchicine. Hortic. Res. 2021, 8, 89. [Google Scholar] [CrossRef]
- Wang, J.; Hu, D.; Hou, J.; Bai, J. Study on tissue culture of Hemerocallis citrine Baroni ‘March Flower. J. Sichuan Univ. 2019, 56, 167–172. (In Chinese) [Google Scholar]
- Fan, Y.; Cui, G. Study on the technique of clone rapid propagation in daylily. J. Shanxi Agric. Sci. 1994, 22, 22–24. (In Chinese) [Google Scholar]
- Cheng, M.; Lowe, B.A.; Spencer, T.M.; Ye, X.; Armstrong, C.L. Factors influencing Agrobacterium-mediated transformation of monocotyledonous species. Vitr. Cell. Dev. Biol. Plant 2004, 40, 31–45. [Google Scholar] [CrossRef]
- Dunwell, W.C. Hemerocallis (daylily) propagation. Proc. Int. Plant Propagators Soc. 1996, 46, 590–594. [Google Scholar]
- Leclerc, M.; Caldwell, C.D.; Lada, R.R.; Norrie, J. Effect of plant growth regulators on propagule formation in Hemerocallis spp. and Hosta spp. HortScience 2006, 41, 651–653. [Google Scholar] [CrossRef]
- Han, Z.; Zhang, H. Review on propagation and seedling technique of daylily. Hortic. Seed 2019, 1, 25–34. [Google Scholar] [CrossRef]
- Chen, G.; Ma, F. Propagation of Hemerocallis citrina Baroni by dividing buds. Shanxi Agric. Sci. 1983, 03, 50. [Google Scholar]
- Tombesi, S.; Palliotti, A.; Poni, S.; Farinelli, D. Influence of light and shoot development stage on leaf photosynthesis and carbohydrate status during the adventitious root formation in cuttings of Corylus avellana L. Front. Plant Sci. 2015, 6, 973. [Google Scholar] [CrossRef]
- Veierskov, B. Relations between carbohydrates and adventitious root formation. Adv. Plant Sci. Ser. USA 1988, 2, 70–78. [Google Scholar]
- Gibson, S.I. Control of plant development and gene expression by sugar signaling. Curr. Opin. Plant Biol. 2005, 8, 93–102. [Google Scholar] [CrossRef]
- Gulia, S.K.; Singh, B.P.; Carter, J.; Griesbach, R.J. Daylily: Botany, Propagation, Breeding. Horticultural Rev. 2009, 35, 193–220. [Google Scholar]
- VDLUFA. Bestimmung von leicht löslichen (pflanzenverfügbaren) Haupt- und Spurennährstoffen, Band I, Die Untersuchung von Böden, 4th ed.; VDLUFA: Darmstadt, Germany, 1991. [Google Scholar]
- Hokura, A.; Matsuura, H.; Katsuki, F.; Haraguchi, H. Multielement Determination of major-to-ultratrace elements in plant reference materials by ICP-AES/ICP-MS and evaluation of their enrichment factors. Anal. Sci. 2000, 16, 1161–1168. [Google Scholar] [CrossRef]
- Zou, S.; Li, D.; Di, N.; Liu, J.; Li, L.; Liu, Y.; Xi, B.; Coleman, M. Stand development modifies effects of soil water availability on poplar fine-root traits: Evidence from a six-year experiment. Plant Soil 2022. [Google Scholar] [CrossRef]
- Hunt, R. Relative growth rates. In Basic Growth Analysis: Plant Growth Analysis for Beginners; Springer: Dordrecht, The Netherlands, 1990; pp. 25–34. [Google Scholar]
- Sheikh, F.R.; Jose-Santhi, J.; Kalia, D.; Singh, K.; Singh, R.K. Sugars as the regulators of dormancy and sprouting in geophytes. Ind. Crops Prod. 2022, 189, 115817. [Google Scholar] [CrossRef]
- Hermans, C.; Hammond, J.P.; White, P.J.; Verbruggen, N. How do plants respond to nutrient shortage by biomass allocation? Trends Plant Sci. 2006, 11, 610–617. [Google Scholar] [CrossRef] [PubMed]
- Peng, Y.; Li, X.; Li, C. Temporal and spatial profiling of root growth revealed novel response of maize roots under various nitrogen supplies in the field. PLoS ONE 2012, 7, e37726. [Google Scholar] [CrossRef] [PubMed]
- Scheible, W.-R.D.; Morcuende, R.; Czechowski, T.; Fritz, C.; Osuna, D.; Palacios-Rojas, N.; Schindelasch, D.; Thimm, O.; Udvardi, M.K.; Stitt, M. Genome-wide reprogramming of primary and secondary metabolism, protein synthesis, cellular growth processes, and the regulatory infrastructure of arabidopsis in response to nitrogen. Plant Physiol. 2004, 136, 2483–2499. [Google Scholar] [CrossRef]
- Husen, A.; Pal, M. Metabolic changes during adventitious root primordium development in Tectona grandis Linn. f.(teak) cuttings as affected by age of donor plants and auxin (IBA and NAA) treatment. New For. 2007, 33, 309–323. [Google Scholar] [CrossRef]
- Sivaci, A. Seasonal changes of total carbohydrate contents in three varieties of apple (Malus sylvestris Miller) stem cuttings. Sci. Hortic. 2006, 109, 234–237. [Google Scholar] [CrossRef]
- Del Rio, C.; Rallo, L.; Caballero, J. Effects of carbohydrate content on the seasonal rooting of vegetative and reproductive cuttins of olive. J. Hortic. Sci. 1991, 66, 301–309. [Google Scholar] [CrossRef]
- Basak, U.; Das, A.; Das, P. Metabolic changes during rooting in stem cuttings of five mangrove species. Plant Growth Regul. 1995, 17, 141–148. [Google Scholar] [CrossRef]
- Wiesman, Z.; Lavee, S. Relationship of carbohydrate sources and indole-3-butyric acid in olive cuttings. Funct. Plant Biol. 1995, 22, 811–816. [Google Scholar] [CrossRef]
- Zhong, Y.; Xie, J.; Wen, S.; Wu, W.; Tan, L.; Lei, M.; Shi, H.; Zhu, J.-K. TPST is involved in fructose regulation of primary root growth in Arabidopsis thaliana. Plant Mol. Biol. 2020, 103, 511–525. [Google Scholar] [CrossRef]
- Kelly, K.M.; Van Staden, J. A preliminary study of the carbohydrate metabolism in Parthenium argentatum. Bioresour. Technol. 1991, 35, 127–132. [Google Scholar] [CrossRef]
- Dwyer, J.M.; Hobbs, R.J.; Mayfield, M.M. Specific leaf area responses to environmental gradients through space and time. Ecology 2014, 95, 399–410. [Google Scholar] [CrossRef]
- Osone, Y.; Ishida, A.; Tateno, M. Correlation between relative growth rate and specific leaf area requires associations of specific leaf area with nitrogen absorption rate of roots. New Phytol. 2008, 179, 417–427. [Google Scholar] [CrossRef]
- Shipley, B. Net assimilation rate, specific leaf area and leaf mass ratio: Which is most closely correlated with relative growth rate? A meta-analysis. Funct. Ecol. 2006, 20, 565–574. [Google Scholar] [CrossRef]
- Chen, Q.; Lu, X.; Guo, X.; Xu, M.; Tang, Z. A source-sink model explains the difference in the metabolic mechanism of mechanical damage to young and senescing leaves in Catharanthus roseus. BMC Plant Biol. 2021, 21, 154. [Google Scholar] [CrossRef]
- Girault, T.; Bergougnoux, V.; Combes, D.; Viemont, J.-D.; Leduc, N. Light controls shoot meristem organogenic activity and leaf primordia growth during bud burst in Rosa sp. Plant Cell Environ. 2008, 31, 1534–1544. [Google Scholar] [CrossRef] [PubMed]
- Luo, T.; Zhang, J.; Khan, M.N.; Liu, J.; Xu, Z.; Hu, L. Temperature variation caused by sowing dates significantly affects floral initiation and floral bud differentiation processes in rapeseed (Brassica napus L.). Plant Sci. 2018, 271, 40–51. [Google Scholar] [CrossRef] [PubMed]





| Treatment | Sprouting Rate (%) | Propagation Coefficients | ||||
|---|---|---|---|---|---|---|
| EXP.1 | 3 DAP | 6 DAP | 9 DAP | |||
| BR | 86.7 ± 6.2 a | 93.3 ± 2.4 | 98.9 ± 1.4 | 1.00 ± 0.00 | ||
| MR | 68.9 ± 4.9 b | 85.6 ± 3.6 | 95.6 ± 2.7 | 0.98 ± 0.01 | ||
| SR | 64.4 ± 4.9 b | 88.9 ± 1.4 | 96.7 ± 2.4 | 0.97 ± 0.02 | ||
| EXP.2 | 3 DAP | 7 DAP | 9 DAP | |||
| Large bud | S2 | 87.8 ± 3.6 a | 97.8 ± 1.4 a | 98.9 ± 1.4 a | 1.98 ± 0.03 c | |
| S3 | 84.4 ± 1.4 a | 91.1 ± 2.7 a | 93.9 ± 2.4 a | 2.80 ± 0.07 b | ||
| S4 | 70.0 ± 4.1 b | 73.3 ± 7.1 b | 81.1 ± 3.6 b | 3.24 ± 0.14 a | ||
| Small bud | S2 | 82.2 ± 1.4 a | 88.9 ± 1.4 a | 96.7 ± 0.0 a | 1.93 ± 0.00 c | |
| S3 | 34.4 ± 2.7 b | 43.3 ± 4.1 b | 78.9 ± 3.6 b | 2.37 ± 0.11 b | ||
| S4 | 33.3 ± 0.0 b | 38.9 ± 5.9 b | 66.7 ± 2.4 c | 2.67 ± 0.09 a | ||
| DAP | Treatment | Leaf Area (cm2) | Fibrous Root Length (cm) | Aboveground Dry Biomass (mg) | Root Dry Weight (mg) | Specific Leaf Area (cm2 g−1) | Specific Root Length (cm) |
|---|---|---|---|---|---|---|---|
| 17 | BR | 120.11 ± 5.40 | 23.87 ± 3.21 | 577.50 ± 24.02 a | - | 206.95 ± 12.95 b | - |
| MR | 116.21 ± 8.71 | 17.25 ± 2.47 | 448.33 ± 24.04 b | - | 260.59 ± 13.37 ab | - | |
| SR | 98.92 ± 7.09 | 15.83 ± 0.49 | 348.33 ± 17.22 c | - | 284.21 ± 15.83 a | - | |
| 22 | BR | 139.49 ± 16.87 | 70.37 ± 11.06 a | 586.67 ± 50.09 a | - | 237.04± 17.64 b | - |
| MR | 142.21 ± 7.44 | 34.40 ± 5.44 b | 514.12 ± 13.72 ab | - | 276.23± 7.92 b | - | |
| SR | 128.53 ± 10.82 | 36.86 ± 1.48 b | 386.67 ± 22.93 b | - | 331.58 ± 10.34 a | - | |
| 27 | BR | 195.60 ± 12.14 | 176.78 ± 28.50 | 691.67 ± 32.83 a | 121.11 ± 22.55 | 282.48 ± 5.48 | 14.96 ± 1.52 |
| MR | 197.68 ± 12.90 | 93.60 ± 3.68 | 607.50 ± 20.36 a | 62.22 ± 23.28 | 324.74 ± 11.27 | 25.26 ± 13.89 | |
| SR | 179.48 ± 21.34 | 125.47 ± 34.70 | 470.83 ± 34.11 b | 65.56 ± 28.57 | 379.14 ± 20.11 | 25.07 ± 9.50 | |
| 32 | BR | 391.59 ± 11.01 a | 304.13 ± 29.43 a | 1233.33 ± 103.30 a | 180.00 ± 17.50 a | 321.00 ± 21.38 | 17.09 ± 1.99 |
| MR | 301.17 ± 24.25 b | 218.96 ± 27.68 ab | 832.50 ± 53.87 b | 105.83 ± 4.17 b | 361.23± 9.26 | 20.80 ± 2.86 | |
| SR | 223.66 ± 22.88 b | 160.20 ± 9.59 b | 595.83 ± 45.56 b | 63.33 ± 6.51 b | 373.95± 9.24 | 25.56 ± 1.50 |
| DAP | Treatment | Aboveground Dry Biomass (mg) | Fibrous Root Length (cm) |
|---|---|---|---|
| 32 | S2 | 264.33 ± 15.75 a | 88.57 ± 8.42 a |
| S3 | 164.67 ± 9.30 b | 41.06 ± 5.76 b | |
| S4 | 97.67 ± 6.9 c | 21.14 ± 3.53 c | |
| 39 | S2 | 306.67 ± 18.89 a | 133.22 ± 19.78 a |
| S3 | 257.00 ± 16.34 a | 152.48 ± 17.40 a | |
| S4 | 118.00 ± 13.64 b | 40.31± 6.75 b | |
| 46 | S2 | 698.00 ± 67.43 a | 438.52 ± 44.34 a |
| S3 | 403.00 ± 32.51 b | 250.28 ± 18.61 b | |
| S4 | 210.00 ± 29.25 c | 108.94 ± 9.20 c |
| Fructose (mg g−1) | Sucrose (mg g−1) | Soluble Sugar (mg g−1) | Starch (mg g−1) | |
|---|---|---|---|---|
| Dates | ||||
| 17 | 10.46 ± 0.45 | 18.19 ± 0.86 | 32.46 ± 1.45 | 2.06 ± 0.18 |
| 27 | 10.31 ± 0.60 | 16.72 ± 1.65 | 30.44 ± 2.84 | 2.68 ± 0.22 |
| 32 | 10.90 ± 0.91 | 19.21 ± 1.36 | 32.65 ± 1.15 | 2.32 ± 0.18 |
| Rhizome weight | ||||
| Big | 11.59 ± 0.45 a | 19.30 ± 1.22 | 34.36 ± 1.45 | 2.70 ± 0.27 |
| Medium | 8.98 ± 0.67 b | 19.03 ± 1.40 | 31.07 ± 1.75 | 2.22 ± 0.14 |
| Small | 11.11 ± 0.53 a | 15.80 ± 1.14 | 30.12 ± 0.90 | 2.15 ± 0.15 |
| Date × Rhizome weight | n.s. | n.s. | n.s. | n.s. |
| Treatment | N (mg g−1) | P (mg g−1) | K (mg g−1) | Ca (mg g−1) | Mg (mg g−1) | S (mg g−1) | |
|---|---|---|---|---|---|---|---|
| Aboveground | BR | 7.05 ± 0.25 a | 3.04 ± 0.20 | 16.97 ± 0.97 | 4.15 ± 0.09 | 1.88 ± 0.03 | 2.30 ± 0.03 |
| MR | 6.97 ± 0.63 a | 3.03 ± 0.04 | 17.52 ± 0.63 | 4.08 ± 0.12 | 1.87 ± 0.05 | 2.54 ± 0.37 | |
| SR | 4.76 ± 0.34 b | 3.13 ± 0.09 | 19.60 ± 0.16 | 4.50 ± 0.33 | 2.03 ±0.06 | 3.80 ± 0.96 | |
| Belowground | BR | 2.7 ± 0.20 | 1.78 ± 0.05 | 7.29 ± 0.38 | 7.42 ± 0.38 b | 1.38 ± 0.05 | 1.27 ± 0.24 |
| MR | 2.30 ± 0.07 | 1.92 ± 0.12 | 7.23 ± 0.60 | 8.27 ± 0.35 b | 1.41 ± 0.08 | 2.07 ± 0.31 | |
| SR | 2.77 ± 0.19 | 1.88 ± 0.08 | 7.68 ± 0.23 | 9.81 ± 0.03 a | 1.47 ± 0.02 | 1.53 ± 0.23 |
Publisher’s Note: MDPI stays neutral with regard to jurisdictional claims in published maps and institutional affiliations. |
© 2022 by the authors. Licensee MDPI, Basel, Switzerland. This article is an open access article distributed under the terms and conditions of the Creative Commons Attribution (CC BY) license (https://creativecommons.org/licenses/by/4.0/).
Share and Cite
Xie, Y.; Chen, T.; Ren, H. Rhizome Weight and Number of Sectioning per Rhizome Determine Plantlet Growth and Propagation Rate of Hemerocallis citrina Baroni in Cutting Propagation. Agronomy 2022, 12, 2777. https://doi.org/10.3390/agronomy12112777
Xie Y, Chen T, Ren H. Rhizome Weight and Number of Sectioning per Rhizome Determine Plantlet Growth and Propagation Rate of Hemerocallis citrina Baroni in Cutting Propagation. Agronomy. 2022; 12(11):2777. https://doi.org/10.3390/agronomy12112777
Chicago/Turabian StyleXie, Yue, Tong Chen, and Huazhong Ren. 2022. "Rhizome Weight and Number of Sectioning per Rhizome Determine Plantlet Growth and Propagation Rate of Hemerocallis citrina Baroni in Cutting Propagation" Agronomy 12, no. 11: 2777. https://doi.org/10.3390/agronomy12112777
APA StyleXie, Y., Chen, T., & Ren, H. (2022). Rhizome Weight and Number of Sectioning per Rhizome Determine Plantlet Growth and Propagation Rate of Hemerocallis citrina Baroni in Cutting Propagation. Agronomy, 12(11), 2777. https://doi.org/10.3390/agronomy12112777

