Abstract
Drought stress has been shown to have harmful effects on crop productivity worldwide, including in Pakistan, due to rapid climate change scenarios. Extensive work has been reported on the influential role of melatonin (MEL) in either foliar or seed-primed applications; however, its role in root application is seldom reported. We investigated plant biochemical responses, including anti-oxidants, plant pigments, leaf water characteristics, and maize crop production, with MEL treatment under mild and severe drought stress. Maize Cvar. Jalal was subjected to drought stress (60% and 80% of full irrigation) at the four-leaf stage, and MEL was applied as pretreatment with irrigation water at different doses (0, 100, and 200µM). The findings of the study revealed that the Chl a, b, and a + b contents and the carotenoid content significantly increased with MEL application during severe and mild drought stress. After applying 200 µM MEL, leaf water attributes, comprising relative water content (RWC), leaf water content (LWC), and relative saturation deficit (RSD), increased by 1.9%, 100%, and 71.2%, respectively, during mild drought and 17%, 133%, and 32% under severe drought. The anti-oxidant activities of POD, CAT, and APX were remarkably enhanced with MEL during drought stress. Our results showed that root application of 200 µM melatonin boosted seed yield and water productivity by 31% and 38%, and plant biomass increased by 32% and 29% under mild and severe drought stressors compared to plants with no MEL, leading to increased drought tolerance.
1. Introduction
Drought is one of the main abiotic hazards responsible for reducing crop growth and productivity across the globe [1,2,3]. It results in the disturbance of various internal plant processes in morphological, physiological, and anatomical reactions [2,4]. Drought stress can increase the senescence rate of chlorophyll content, leading to a decline in photosynthesis and productivity and dwarf canopies [3,5,6]. It also results in the increased production of reactive oxygen species (ROS) [7], leading to damage to cell membranes, protein content, and enzymatic reactions [2,8]. Plants have evolved multiple strategies to avoid and reduce the damaging effects of oxidative damage caused by these reactive oxygen species. The essential components include anti-oxidants in the enzymatic defense system and non-enzymatic reactions that can efficiently balance the overproduction of ROS to maintain homeostasis [9,10]. The anti-oxidant activities involve ascorbate peroxidase, catalase, and peroxidase, as well as non-enzymatic anti-oxidants, including glutathione, ascorbate, and polyphenols [3,11]. Moreover, the accumulation of osmolytes, including soluble protein and proline content, also alleviates abiotic stress [12]; however, extended drought stress causes cell damage and death [13]. The application of plant growth regulators (PGRs) can be used as one of the essential strategies to induce tolerance and improve crop productivity during drought stress [2,6,14].
Melatonin was first identified in animals, in the pineal gland, and in crop plants under stress conditions. MEL is considered vital for numerous processes in plants and animals, including seasonal imitation, the activities of anti-oxidant enzymes, and growth [5,15]. The vital role of MEL in improving tolerance against plant stress is not yet fully understood; additionally, plant stress is not yet fully understood. However, MEL is associated with improved plant growth and tolerance against abiotic stress in various crops under control conditions [16,17]. MEL can result in stomata regulation and increase the rate of photosynthesis and transpiration, the uptake of minerals, and the accumulation of secondary metabolites, including organic acids, phenols, and plant hormones. This can lead to a balance of ROS production and the regulation of anti-oxidants in the plant defense system [18]. Moreover, the role of MEL both as a growth regulator and anti-oxidants are yet debatable [18,19]. The compatible solute (proline and sugar) content substantially enhanced under drought stress, resulting in changes in biochemical activities in different plants [20,21].
It has also been reported that MEL promotes root growth and seed germination and increases photosynthetic rates in many crop plants [16,22]. Moreover, MEL has been shown to balance ROS production via a cascade reaction and improve anti-oxidant activities [23,24] in Arabidopsis thaliana during endoplasmic reticulum stress [25] responses pertaining to the function of melatonin in abiotic stress. Additionally, the interaction between melatonin and ROS results in the creation of a number of spin-off chemicals in a cascade reaction, all of which have strong antioxidant properties [15,18,19]. The information on how MEL moderates physiological and biochemical variations in maize crops under drought stress conditions is unclear; furthermore, the available literature regarding the exact dose of MEL for its solicitation method in maize crops is limited, which permits in-depth experimentation.
Research has investigated MEL’s role in alleviating drought stress using exogenous MEL application with irrigation water and investigated whether MEL uptake through roots can enhance the growth of maize plants and induce tolerance against drought stress. In the current study, we determine the positive influence of pretreatment with MEL on the growth and physio-biochemical traits of maize under mild and severe drought stresses. We found substantial changes in plant growth, antioxidant activity, and plant chlorophyll accumulation with MEL-root application during drought stress.
2. Materials and Methods
2.1. Plant Materials
The experiment was performed from March–July 2020 at a greenhouse in Batkhela (Malak District, Khyber Pakhtunkhwa, Pakistan). The experiment was carried out in pots. Healthy maize seeds (Zea mays L., cultivar Jalal) purchased from Cereal Crops Research Institute (CCRI) (Nowshehra, Pakistan) were first disinfected with sodium hypochlorite solution for 15 min. They were then washed twice with distilled water and dried in open air for one hour. Each plastic pot had a diameter of 28 cm and a height of 30.48 cm, and each was filled with garden soil. Ten maize seeds were planted in each pot. The soil was applied in a 2:1 mixture of topsoil from a garden and compost. The plants in each pot were reduced to six after germination. Urea and singe superphosphate (SSP) were used as basal doses of N and P205, and 150 kg ha−1 and 120 kg ha−1 were applied to each pot, respectively. SSP was mixed with soil during pot filling, and urea was applied in three splits from the sowing to the pre-tasseling stage.
2.2. Experimental Treatments
The pots were set in a completely randomized design with three replications, placed in a glass shed under natural light conditions, and protected from rainfall. For the first 20 days after planting, the level of moisture in the soil in each container was kept at 100% of field capacity (FC). MEL was applied as pretreatment via root irrigation at the four-leaves stage, at a rate of 0, 100, and 200 µM in the respective pots. The pots were exposed to drought stress with irrigation levels of 100% (no stress), 80% (mild drought stress), and 60% FC (severe drought stress). All measurements and sampling were carried out at 55 days after sowing (DAS) for the data collection of plant pigments, leaf water traits, anti-oxidant activity, growth, and yield traits of the maize.
2.3. Sampling and Measurement
2.3.1. Determination of Plant Leaf Water Relations
Leaf water traits include relative water content (RWC), leaf water content (LWC), water uptake capacity (WUC), and relative saturation deficit (RSD). Relative water content (RWC) was determined using the method of Turk [26]. After the sample was harvested, an instantaneous measurement was taken to determine the fresh weight (FW) of the seventh leaf. After that, the turgid weight (TW) of the leaf segments was determined by soaking them overnight in distilled water. The leaf samples were dried in an oven at 105 °C. The relative water content (RWC) was determined using Equation (1).
RWC = [(FW − DW)/(TW − DW)] × 100
The water uptake capacity (WUC) and relative saturation deficit (RSD) were determined using Equations (2) and (3), in which [1] TW represents turgid weight, FW- represents fresh weight, and DW is the dry weight of the maize leaf. The leaf water content was calculated using Equation (4).
WUC = (TW-FW)/DW
RSD = [(TW – FW)/TW] × 100
LWC = (TW – DW) ×100
2.3.2. Chlorophyll and Carotenoids Determination
The chlorophyll a, b, and a + b concentrations and the carotenoid concentrations were determined using the method of Arnon [27]. A fresh leaf weight of 0.25 g samples was taken from all treatments and kept in 10 mL test tubes, and 5 mL of 80% acetone solution was added to each tube, and they were kept in the dark for 48 h. The absorbance of the supernatant was measured at 645, 663, and 440 nm to determine the concentrations of chlorophyll a, b, a + b, and carotenoid, respectively, using a UV spectrophotometer.
2.3.3. Determination of Anti-Oxidant Enzyme Activity
A fresh leaf sample of 0.05 g was taken from each pot and standardized in 5 mL of precooled phosphate buffer (pH 7.6), containing 1 mM EDTA and 4% (w/v) PVP, and incubated at 4 °C for 10 min to determine the activity of anti-oxidant enzymes. The homogenates were incubated and centrifuged (12,000 g) for 15 min at 4 °C, and the supernatants were used for the subsequent enzyme estimates. The activity of the enzymes was expressed as U g−1 FW according to [28]. The ascorbate peroxidase (APX) activity was determined using the method described in [29], while catalase (CAT) activity was measured using the assay in [30].
2.3.4. Proline Measurement
Proline content was assessed using the method described by [31]. Fresh samples of 0.5 g were homogenized in 10 mL of 3% sulfosalicylic acid and centrifuged at 10,000× g for 15 min. The homogenized samples (2 mL of extract) were treated with 4 mL of toluene, 2 mL of acid ninhydrin, and 2 mL of glacial acetic acid. The sample were measured at 520 nm using a UV spectrophotometer, and toluene was used as a blank.
2.3.5. Plant Growth Attributes
Plants were harvested from each pot, and the plant parts were separated, including the roots, shoots, and leaves, and their fresh biomass was determined using a sensitive electronic balance. Data on stem diameter was determined with the help of a digital vernier caliper, whereas plant height was taken using a measuring tape. The samples of roots, stems, and leaves were oven dried at a temperature of 105 °C for 48 h, and the dry weight was calculated using a sensitive electronic scale. The leaf area (LA) was determined by measuring the length and widest width of leaf with the help of a ruler and multiplying with a correction factor of 0.70. The leaf area was expressed in cm2.
2.3.6. Yield and Yield Components
Yield components, including number of grains per ear and thousand-grain weight, were recorded as per the standard procedure. Three plants were randomly chosen for grains per ear, and the average was worked out. For the thousand-grain weight, 100 seeds were randomly picked from grains of each treatment and multiplied by 10. Biomass and grain yield were recorded by harvesting six plants from three replicates of each treatment, and then they were converted to g per plant. The harvest index was expressed as a ratio of grain yield and biological yield in percent.
2.4. Statistical Analysis
The investigational data were structured and processed using Microsoft Excel and are presented as ± SD. A two-way analysis of variance (ANOVA) was carried out to find out the significant differences between the treatment means at p < 0.05 using Statistix 8.1 statistical software. Mean tables were prepared with standard error, and figures were made using Sigma plot 12.2.
3. Results
3.1. Effect of Melatonin on Plant Leaf Water Relations
Under normal conditions, the leaf relative water content (RWC)was 88.6%, dropping to 80.6% and 62.30% during mild and severe drought, respectively. The root application of MEL showed good performance in improving RWC, and a substantial increase of 82.1% was observed with 200 µM MEL during mild drought stress and 73.0% during severe drought stress, indicating the potential role of MEL during severe drought stress. A significant reduction occurred in leaf water uptake capacity (WUC) with MEL application under severe and mild stress (Table 1). Higher values of 1.71 and 0.66 were recorded with 0 µM under severe and mild drought stress, respectively, compared with 0.34 and 0.14 with 200 µM MEL application under corresponding stress. No obvious change occurred in the water saturation deficit (WSD) with MEL under the control plots; however, MEL application reduced WSD during drought stress (although 100 µM MEL enhanced WSD under mild stress more than 200 µM). Under no drought stress, the leaf relative saturation deficit (RSD) increased with the dose of MEL. However, the increase in RSD with MEL was more obvious; although the higher dose of 200 µM of MEL was less effective than 100 µM of under severe drought stress, suggesting that a lower dose has more potential to improve RSD content in maize leaves during severe drought stress (Table 1). The leaf water content (LWC) was lower (41.7%) in no-stress plots, and with MEL application, the LWC was substantially enhanced both in unstressed and stressed plants. However, the increase in LWC during both mild and severe drought stress was higher with increasing doses of MEL.
Table 1.
Leaf relative water content (RWC%), water uptake capacity (WUC), water saturation deficit (WSD%), relative saturation deficit (RSD%), and leaf water Content (LWC%) of maize as affected by root application of MEL under drought stress. Values in parenthesis represent standard error of replicates.
3.2. Effect of Melatonin on Plant Pigment
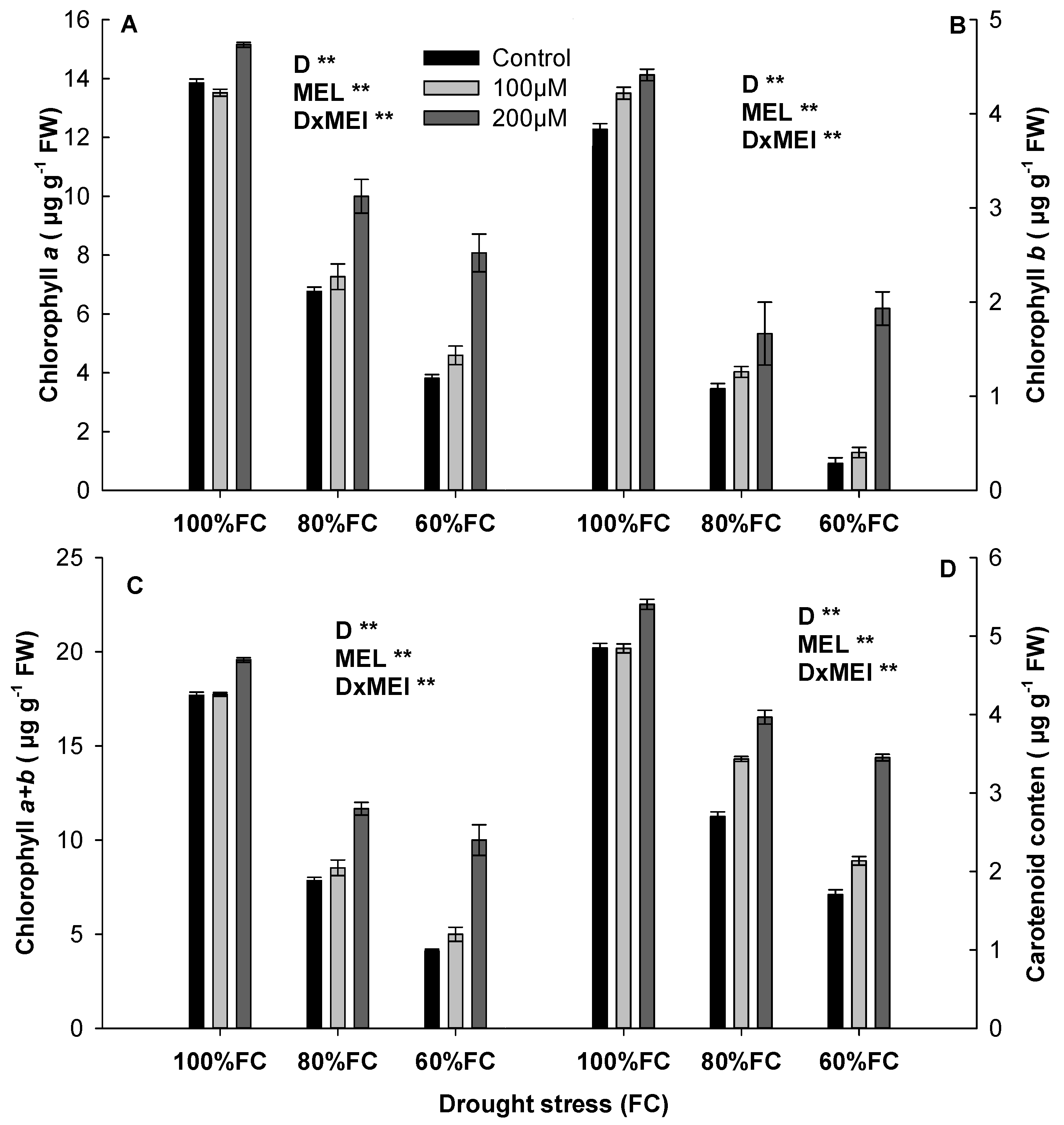
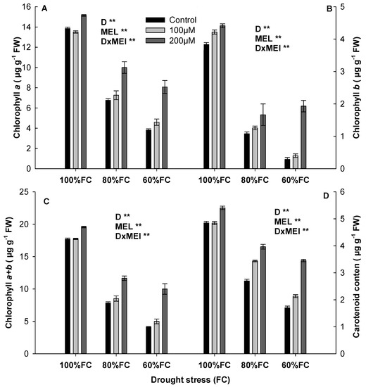
Plant pigment content, including chlorophyll a, chlorophyll b, chlorophyll a + b, and carotenoid, was directly affected as drought stress increased; however, treatment with melatonin enhanced plant pigment. Chlorophyll a significantly decreased with an increase in water drought under normal conditions. The chlorophyll a, b, a + b, and carotenoid content were higher than in the induced drought conditions. A significant improvement in chlorophyll a was recorded under MEL treatment of 200 µM, followed by 100 µM MEL. The drought stress and melatonin interaction indicated that both concentrations of 100 µM and 200 µM of MEL caused improvements in plant pigments, including chlorophyll a, chlorophyll b, and chlorophyll a + b, during water drought conditions. A MEL concentration of 200 µM significantly improved plant pigments under mild and severe drought conditions compared to 100 µM of MEL concentration (Figure 1A–C). The carotenoid content of the maize plant leaves significantly decreased as drought stress increased. Both MEL concentrations of 100 µM and 200 µM improved carotenoid content under mild as well in severe drought; however, MEL concentration of 200 µM showed a better increase in carotenoid content under mild and severe drought conditions compared with no MEL application under the same stress conditions (Figure 1D).
Figure 1.
Changes in plant pigments, i.e., (A) Chl a; (B) Chl b; (C) Chl a + b; and (D) carotenoid content as affected by root application of MEL under drought stress. 100% FC represents no stress, 80% FC represents mild stress, and 60% FC signifies severe stress. Error bars represent standard error of replicates. ** represents significant difference at 1% level of probability. D represents drought stress levels, while MEL represents MEL Levels, and DxMEL is the interaction between both factors.
3.3. Response of MEL to Anti-Oxidant Activities and Proline Content
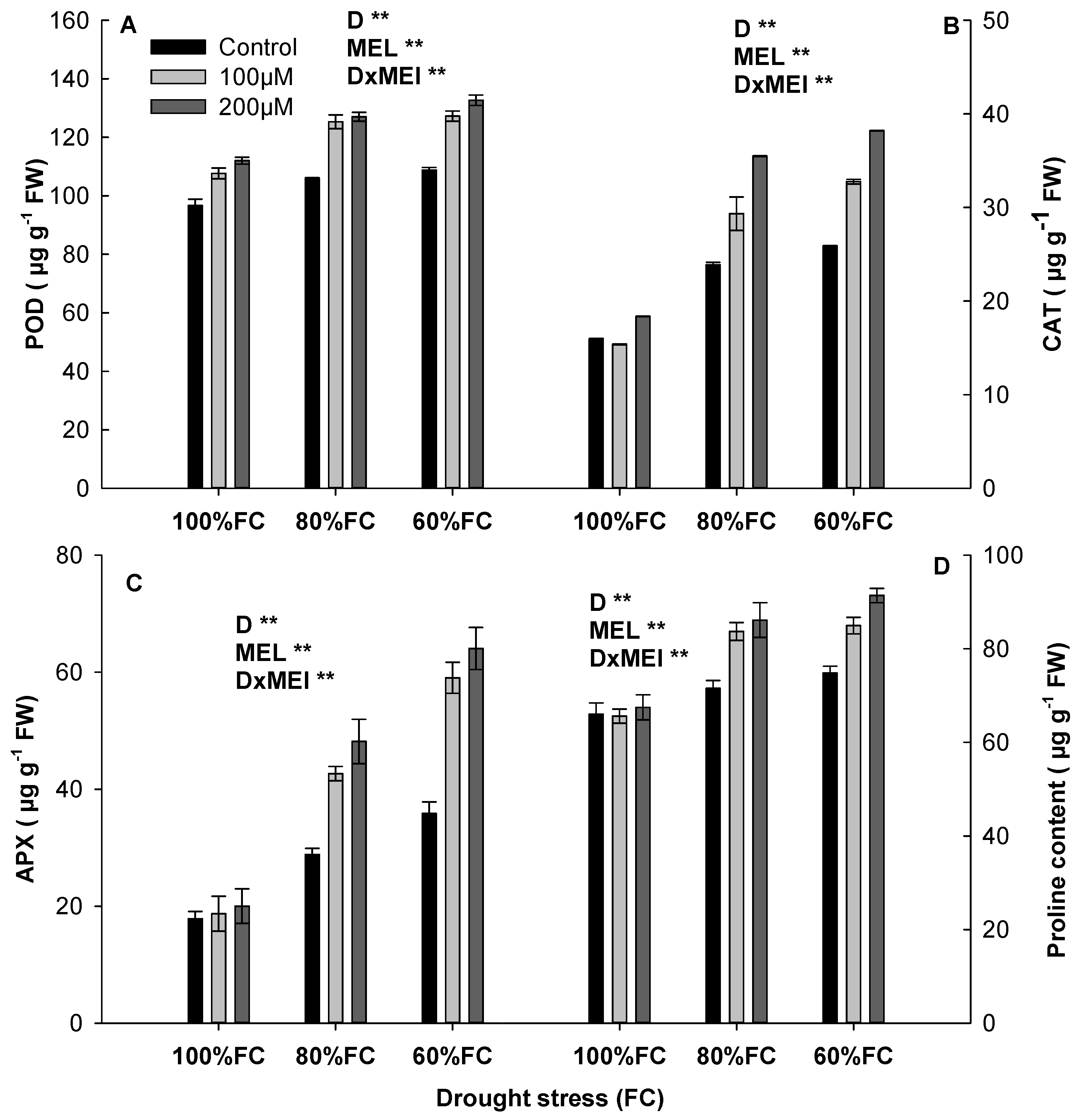
Drought and MEL resulted in a substantial effect on anti-oxidant activity and proline content in the maize. The interaction between MEL and drought stress was also found significant. MEL significantly improved plant anti-oxidant activity, including POD, CAT, and APX activity in the maize leaves under mild and severe drought conditions. POD activity was higher as MEL increased from 100 to 200 µM. However, the increase with 200 µM of MEL was not as substantial under mild stress compared with the severe drought stress (Figure 2A). The CAT activity was also greater with MEL application under both stress levels compared with no MEL, and 200 µM MEL stimulated greater CAT activity under mild and severe drought stress than 100 µM of MEL (Figure 2B). APX activity was greater with the application of 200 µM of MEL under severe drought stress than in mild drought stress (Figure 2C). Drought stress conditions enhanced proline content in maize leaves compared with normal conditions. The proline content was higher in maize with 200 µM of MEL during severe drought stress, followed by mild drought stress, whereas the 100 µM of MEL was equally effective as 200 µM during mild drought stress for proline accumulation (Figure 2D).
Figure 2.
Changes in anti-oxidant activity (A) POD (µgg−1); (B) CAT(µgg−1); (C) APX (µgg−1); and (D) Proline content (µgg−1) as affected by rooting application of Melatonin under drought stress. 100% FC represents no stress, 80% FC represents mild stress, and 60% FC represents severe stress. Error bars represents standard error of replicates. ** represent significant difference at 1% level of probability. D represent drought stress levels, while MEL represents MEL Levels, and DxMEL is the interaction between both factors.
3.4. Effect of MEL on Maize Growth Traits during Drought Stress
The number of leaves per plant decreased with the increase in drought stress; however, MEL application to roots, prior to both lower and higher doses, enhanced the number of leaves in severe and mild drought stresses. The stem diameter, plant height, and leaf area of the maize were significantly reduced with the imposition of drought stress. Conversely, MEL application resulted in improved leaf areas, wider stems, and taller plants during both mild and severe drought stress; however, the stem diameter and plant height were not substantially improved with MEL application with both doses under severe drought stress. Leaf area was enhanced significantly with increasing MEL under no drought stress, as well as the number of leaves and plant height (Table 2). The root weight of the maize improved more after 100 µM MEL application under mild drought stress compared with severe drought stress and no stress. The stem and leaf weight also substantially reduced under drought stress conditions, and MEL application of 200 µM enhanced stem weight more under mild stress compared with severe drought stress and no drought stress. Leaf weight was significantly enhanced with 200 µM of MEL under both mild and severe drought stress, unlike under no stress, in which MEL did not alter the leaf weight. The overall plant weight significantly increased with 200 µM of MEL application under mild stress, which was statistically similar to the increase following 100 µM MEL application under severe drought stress (Table 2).
Table 2.
Different growth traits of maize as affected by rooting application of MEL under drought stress. Values in parenthesis represent standard error of replicates.
3.5. Yield Components with MEL Application under Drought Stress
Significant differences were noted in the yield components of the maize, including the grains per ear and thousand-grain weight, due to drought stress, MEL levels, and interactions between drought and MEL (Table 3). The number of grains per ear decreased with the increase in drought stress across all MEL levels. The application of MEL at a rate of 200 µM enhanced the number of grains per ear both in mild and severe drought stress; however, a greater increase was noted during mild drought stress than during severe drought stress. Ear weight was significantly reduced by drought stress, and increasing drought stress declined the ear weight of the maize, whereas MEL application did not influence ear weight. Interactions between MEL and drought stress were also found to be non-significant. The thousand-grain weight was also substantially reduced as drought stress increased, and severe drought stress resulted in the highest decrease in 1000-grain weight. Increasing the MEL application from 100 µM to 200 µM increased the thousand-grain weight of maize under mild and severe drought stress (Table 3).
Table 3.
Ear weight, grains ear−1, and thousand-grain weight of maize as affected by root application of melatonin under drought stress. Values in parentheses represent standard error of replicates.
3.6. Maize Yields and Water Productivity with MEL under Drought Stress
The maize grain and biological yields were negatively affected by drought stress, whereas water productivity was enhanced under drought stress. The grain and biological yields were reduced by 28% and 36% under mild drought stress and 47% and 59% under severe drought stress when compared with no-stress yields. After MEL application, water productivity enhanced by 13% under severe drought stress and declined by 2.5% under mild stress compared with no-stress yields. MEL application at a rate of 200 µM enhanced grain yield and biological yield by 31% and 32 % under mild stress and 38% and 29% under severe drought stress when compared with no-MEL plants in the respective drought stresses. MEL application at a rate of 100 µM also resulted in a higher maize yield and an increase in the grain and biological yield, which were 22 % and 17 % under mild stress and 32% and 16% under severe drought stress, respectively (Figure 3A,B). Water productivity was enhanced by 30.8% and 37.7% with MEL application at a rate of 200 µM, while the increase was 21.7% and 31.7% with 100 µM MEL under mild and severe drought stress, respectively, compared with no-MEL plants under the same drought stresses (Figure 3D). The harvest index of the maize was highest with MEL application at a rate of 100 µM under mild stress (6%) and severe drought stress (18%) compared with 200 µM and 0 µM MEL (Figure 3C).
Figure 3.
Changes in (A) grain yield; (B) biological yield; (C) harvest index; and (D) water productivity of maize with root application of MEL under drought. 100% FC represent no stress, 80% FC represents mild stress, and 60% FC represents severe stress. Error bars represent standard error of replicates. ** and * represents Significant at 1% and 5% level of probability, respectively. D represents drought stress levels, while MEL represents MEL Levels, and D x MEL is the interaction between both factors.
4. Discussion
The world population is expected to reach up to 10 billion in 2050, creating a food security challenge. Additionally, environmental stresses, particularly drought, negatively affect plant growth and productivity globally, causing significant losses in crop yields [32,33]. There are various adaptive mechanisms evolved by plant crops to overcome crop yield loss under abiotic stress, particularly drought [34]. The current study provides direct evidence that MEL could enhance drought tolerance in maize, as it promoted greater leaf water status, chlorophyll and carotenoid contents, anthocyanin accumulation. And APX activity to detoxify the excess ROS. This could contribute to maintaining the photosynthesis and protective mechanisms, leading to a growth balance, drought stress response, and, could finally, affect plant biomass and grain productivity of maize under drought stress conditions. In detail, the positive effect of MEL application is found to enhance plant biomass in maize under normal and drought conditions. In the present study, the higher plant biomass found after MEL application indicated a reduction in the drought effect on maize, which was associated with the higher water status of leaves in MEL application. The higher leaf water status in MEL could result in the maintenance of photosynthesis during drought conditions [35]. Therefore, it might affect plant recovery and productivity. In support of this hypothesis, our data showed higher chlorophyll contents in MEL plants than those in the control during drought stress conditions. Melatonin is considered a vital plant growth regulator in abiotic stresses especially salt and drought stresses [36,37,38]. The present findings revealed that MEL pretreatment mitigated the adverse effects of drought stress on plant pigments and osmolyte accumulation in maize. Chlorophylls in chloroplasts have a crucial function in the photosynthesis system, which highly correlates with plant biomass and recovery and grain yield [39,40]. Under drought stress conditions, plants accumulate high levels of oxidative stress molecules, including ROS [36], which could directly damage chloroplasts, the most susceptible organelles to oxidative stress conditions [40]. In plants, carotenoid acts as an anti-oxidant to protect chlorophyll against oxidative stress, therefore, maintaining the chlorophyll content under stress conditions [41]. Our results showed that MEL application enhanced the carotenoid content during drought in maize, which could help plants against the chlorophyll degradation process, leading to the maintenance of higher chlorophyll contents in MEL-treated than water-treated plants. Therefore, the greater carotenoid content produced by MEL application contributed to enhancing drought tolerance in maize in this study.
The major sources of ROS during abiotic stress include ROS produced as a consequence of disruptions to metabolic activity and ROS produced as a signal as part of the abiotic stress response signal transduction network [42,43]. High concentrations of ROS are harmful to cells, yet, at low concentrations, they are remarkably essential signaling molecules for controlling stomatal movement to adapt to water deficits. In this study, we found that MEL application reduced ROS accumulation under drought, which supported drought tolerance in maize via the ROS-detoxification mechanism. The current study indicated that lower ROS accumulation in MEL resulted from the increased activity of the APX enzyme, which helps plants detoxify excess ROS under drought stress conditions. These data were supported by previous studies, which reported that applied copper compound nanoparticles increased the anti-oxidant systems, including peroxidase (POD), APX, and CAT activity [39,44,45]. In addition, Mel application enhanced proline content in maize during drought stress, suggesting that Mel affects the ROS-scavenging enzyme activity and elevates osmolyte content during the drought response in maize.
We also found that MEL applied at a rate of 200 µM enhanced the maize grain yield by 31% and 38%, the biomass by 32% and 29%, the thousand-grain weight by 12% and 19%, the grains per ear by 37% and 62%, and the harvest index by 2% and 18% under mild stress and severe drought stresses, respectively, compared with no MEL application in the corresponding drought stress. The enhancements in the yielding traits suggest that MEL plays a vital role in mitigating plant pigment damage, as well as osmolytes, and protein content in maize during drought stress. The improvement in maize growth and yield can also be explained as MEL maintaining comparatively greater leaf water content and improving the anti-oxidant system in the leaves during water stress; greater water content in the leaves led to lower ROS production and protecting plant pigments degradation [44,45,46,47,48].
5. Conclusions
Melatonin application was found to effectively enhance drought tolerance in maize by increasing the activity of anti-oxidant enzymes and the accumulation of osmolyte contents. Exogenous applications of MEL at rates of 100 and 200 µM were effective in enhancing RWC, plant growth attributes, proline content, and anti-oxidant activity, and stabilizing chlorophyll pigments during severe and mild drought stresses. These mechanisms are very important to sustain maize production in water deficit conditions. MEL application at 200 µM resulted in a 31% increase in grain yield during mild drought and 38% under severe drought stress, whereas the lower dose of MEL (100 µM) resulted in 22% and 32% maize seed yield and 21.7% and 31.7% under mild and severe drought stresses, respectively, suggesting that the lower dose was more economical for enhancing maize productivity compared with 200 µM, and hence, recommended under drought stress. Our current results revealed that melatonin pretreatment alleviated the inhibitory effects of drought stress on photosynthesis and biochemical traits, leading to enhanced tolerance in maize; this can be applicable to field application on a large scale during drought conditions.
Author Contributions
N.G. and Z.U.H. Conceptualization and conduct of research, H.A., N.G., and F.M.; original manuscript draft preparation and review, F.M.; methodology, N.G., Z.U.H., and F.M.; validation, Z.U.H., formal analysis, N.G., F.M., H.A., S.S.u.H. and S.B. investigation, N.G., and F.M.; resources, N.G. and Z.U.H.; writing—original draft preparation, N.G., Z.U.H. and S.S.u.H.; writing—review and editing, F.M. and H.A.; visualization, N.G.; supervision, Z.U.H. and F.M.; project administration, S.S.u.H. and S.B; All authors have read and agreed to the published version of the manuscript.
Funding
This research received no external funding.
Institutional Review Board Statement
Not applicable.
Informed Consent Statement
Not applicable.
Data Availability Statement
Not applicable.
Acknowledgments
N.G. acknowledges H.A and the administration of the University of Engineering and Technology (Peshawar, Pakistan) for providing their support. The authors wish to thank the University of Oradea (Oradea, Romania) for its financial support in publishing this paper.
Conflicts of Interest
The authors declare that they have no known competing financial interests or personal relationships that could have appeared to influence the work reported in this paper.
References
- Liang, G.; Liu, J.; Zhang, J.; Guo, J. Effects of Drought Stress on Photosynthetic and Physiological Parameters of Tomato. J. Am. Soc. Hortic. Sci. 2020, 145, 12–17. [Google Scholar] [CrossRef]
- Cui, G.; Zhao, X.; Liu, S.; Sun, F.; Zhang, C.; Xi, Y. Beneficial Effects of Melatonin in Overcoming Drought Stress in Wheat Seedlings. Plant Physiol. Biochem. 2017, 118, 138–149. [Google Scholar] [CrossRef]
- Naeem, M.; Naeem, M.S.; Ahmad, R.; Ahmad, R.; Ashraf, M.Y.; Ihsan, M.Z.; Nawaz, F.; Athar, H.u.R.; Ashraf, M.; Abbas, H.T.; et al. Improving Drought Tolerance in Maize by Foliar Application of Boron: Water Status, Antioxidative Defense and Photosynthetic Capacity. Arch. Agron. Soil Sci. 2018, 64, 626–639. [Google Scholar] [CrossRef]
- Zhao, Z.-Y.; Wang, P.-Y.; Xiong, X.-B.; Wang, Y.-B.; Zhou, R.; Tao, H.-Y.; Grace, U.A.; Wang, N.; Xiong, Y.-C. Environmental risk of multi-year polythene film mulching and its green solution in arid irrigation region. J. Hazard. Mater. 2022, 435, 128981. [Google Scholar] [CrossRef]
- Sunaina, B.; Kumar, J.R.; Rupak, K.; Mahesh, R. A Case Study on Soil Fertility Status and Maize Productivity in Dang District, Nepal. Malays. J. Sustain. Agric. 2019, 3, 56–59. [Google Scholar] [CrossRef]
- Ma, S.; Wang, Z.; Guo, X.; Wang, F.; Huang, J.; Sun, B.; Wang, X. Sourdough improves the quality of whole-wheat flour products: Mechanisms and challenges—A review. Food Chem. 2021, 360, 130038. [Google Scholar] [CrossRef]
- Vijayaraghavareddy, P.; Lekshmy, S.V.; Struik, P.C.; Makarla, U.; Yin, X.; Sreeman, S. Production and scavenging of reactive oxygen species confer to differential sensitivity of rice and wheat to drought stress. Crop Environ. 2022, 1, 15–23. [Google Scholar] [CrossRef]
- Dawood, M.G.; El-Awadi, M.E. Disminución Del Estrés Salino En Plantas de Vicia Faba L. a Través de La Activación de Las Semillas Con Melatonina. Acta Biol. Colomb. 2015, 20, 223–235. [Google Scholar] [CrossRef]
- Shi, H.; Chen, K.; Wei, Y.; He, C. Fundamental Issues of Melatonin-Mediated Stress Signaling in Plants. Front. Plant Sci. 2016, 7, 1124. [Google Scholar] [CrossRef]
- Imran, M.; Latif Khan, A.; Shahzad, R.; Aaqil Khan, M.; Bilal, S.; Khan, A.; Kang, S.M.; Lee, I.J. Exogenous Melatonin Induces Drought Stress Tolerance by Promoting Plant Growth and Antioxidant Defence System of Soybean Plants. AoB Plants 2021, 13, plab026. [Google Scholar] [CrossRef]
- Normah, H.; Hanapi, M.J. Antioxidant Capacity of The Green Leafy Vegetables Using Oxygen Radical Antioxidant Capacity (Orac), 2,2’-Azino-Bis (3-Ethylbenzothiazoline-6-Sulphonic Acid(Abts) And 2,2-Diphenyl-1-Picrylhydrazyl (Dpph) Assays. Sci. Herit. J. 2019, 3, 1–7. [Google Scholar]
- Shams ul Hassan, S.; Jin, H.z.; Abu-Izneid, T.; Rauf, A.; Ishaq, M.; Suleria, H.A.R. Stress-driven discovery in the natural products: A gateway towards new drugs. Biomed. Pharmacother. 2019, 109, 459–467. [Google Scholar] [CrossRef] [PubMed]
- Ayliffe, M.; Periyannan, S.K.; Feechan, A.; Dry, I.; Schumann, U.; Wang, M.B.; Pryor, A.; and Lagudah, E. A simple method for comparing fungal biomass in infected plant tissues. Mol. Plant-Microbe Interact. 2013, 26, 658–667. [Google Scholar] [CrossRef] [PubMed]
- Sarropoulou, V.; Dimassi-Theriou, K.; Therios, I.; Koukourikou-Petridou, M. Melatonin Enhances Root Regeneration, Photosynthetic Pigments, Biomass, Total Carbohydrates and Proline Content in the Cherry Rootstock PHL-C (Prunus Avium × Prunus Cerasus). Plant Physiol. Biochem. 2012, 61, 162–168. [Google Scholar] [CrossRef] [PubMed]
- Reiter, R.J.; Tan, D.-X.; Sharma, R. Historical Perspective and Evaluation of the Mechanisms by Which Melatonin Mediates Seasonal Reproduction in Mammals. Melatonin Res. 2018, 1, 59–77. [Google Scholar] [CrossRef]
- Martinez, V.; Nieves-Cordones, M.; Lopez-Delacalle, M.; Rodenas, R.; Mestre, T.C.; Garcia-Sanchez, F.; Rubio, F.; Nortes, P.A.; Mittler, R.; Rivero, R.M. Tolerance to Stress Combination in Tomato Plants: New Insights in the Protective Role of Melatonin. Molecules 2018, 23, 535. [Google Scholar] [CrossRef]
- Jiang, D.; Lu, B.; Liu, L.; Duan, W.; Chen, L.; Li, J.; Zhang, K.; Sun, H.; Zhang, Y.; Dong, H.; et al. Exogenous Melatonin Improves Salt Stress Adaptation of Cotton Seedlings by Regulating Active Oxygen Metabolism. PeerJ 2020, 8, e10486. [Google Scholar] [CrossRef]
- Tan, D.-X.; Manchester, L.C.; Esteban-Zubero, E.; Zhou, Z.; Reiter, R.J. Melatonin as a Potent and Inducible Endogenous Anti-oxidant: Synthesis and Metabolism. Molecules 2015, 20, 18886–18906. [Google Scholar] [CrossRef]
- Florido, J.; Rodriguez-Santana, C.; Martinez-Ruiz, L.; López-Rodríguez, A.; Acuña-Castroviejo, D.; Rusanova, I.; Escames, G. Understanding the Mechanism of Action of Melatonin, Which Induces ROS Production in Cancer Cells. Antioxidants 2022, 11, 1621. [Google Scholar] [CrossRef]
- Ahmad, S.; Kamran, M.; Ding, R.; Meng, X.; Wang, H.; Ahmad, I.; Fahad, S.; Han, Q. Exogenous Melatonin Confers Drought Stress by Promoting Plant Growth, Photosynthetic Capacity and Antioxidant Defense System of Maize Seedlings. PeerJ 2019, 7, e7793. [Google Scholar] [CrossRef]
- Fleta-Soriano, E.; Díaz, L.; Bonet, E.; Munné-Bosch, S. Melatonin May Exert a Protective Role against Drought Stress in Maize. J. Agron. Crop Sci. 2017, 203, 286–294. [Google Scholar] [CrossRef]
- Nawaz, K.; Chaudhary, R.; Sarwar, A.; Ahmad, B.; Gul, A.; Hano, C.; Abbasi, B.H.; Anjum, S. Melatonin as Master Regulator in Plant Growth, Development and Stress Alleviator for Sustainable Agricultural Production: Current Status and Future Perspectives. Sustainability 2021, 13, 294. [Google Scholar] [CrossRef]
- Li, H.; Chang, J.; Chen, H.; Wang, Z.; Gu, X.; Wei, C.; Zhang, Y.; Ma, J.; Yang, J.; Zhang, X. Exogenous Melatonin Confers Salt Stress Tolerance to Watermelon by Improving Photosynthesis and Redox Homeostasis. Front. Plant Sci. 2017, 8, 295. [Google Scholar] [CrossRef] [PubMed]
- Liang, D.; Ni, Z.; Xia, H.; Xie, Y.; Lv, X.; Wang, J.; Lin, L.; Deng, Q.; Luo, X. Exogenous Melatonin Promotes Biomass Accumulation and Photosynthesis of Kiwifruit Seedlings under Drought Stress. Sci. Hortic. 2019, 246, 34–43. [Google Scholar] [CrossRef]
- Lee, H.Y.; Back, K. Melatonin Plays a Pivotal Role in Conferring Tolerance against Endoplasmic Reticulum Stress via Mitogen-Activated Protein Kinases and BZIP60 in Arabidopsis Thaliana. Melatonin Res. 2018, 1, 94–108. [Google Scholar] [CrossRef]
- Turk, H.; Erdal, S.; Genisel, M.; Atici, O.; Demir, Y.; Yanmis, D. The Regulatory Effect of Melatonin on Physiological, Biochemical and Molecular Parameters in Cold-Stressed Wheat Seedlings. Plant Growth Regul. 2014, 74, 139–152. [Google Scholar] [CrossRef]
- Arnon, D.I. Copper enzymes in isolated chloroplasts. Polyphenoloxidase in beta vulgaris. Plant Physiol. 1949, 24, 1–15. [Google Scholar] [CrossRef]
- Cakmak, I.; Marschner, H. Magnesium Deficiency and High Light Intensity Enhance Activities of Superoxide Dismutase, Ascorbate Peroxidase, and Glutathione Reductase in Bean Leaves. Plant Physiol. 1992, 98, 1222–1227. [Google Scholar] [CrossRef]
- Nakano, Y.; Asada, K. Hydrogen Peroxide Is Scavenged by Ascorbate-Specific Peroxidase in Spinach Chloroplasts. Plant Cell Physiol. 1981, 22, 867–880. [Google Scholar] [CrossRef]
- Havir, E.A.; McHale, N.A. Biochemical and Developmental Characterization of Multiple Forms of Catalase in Tobacco Leaves. Plant Physiol. 1987, 84, 450–455. [Google Scholar] [CrossRef]
- Tiwari, J.K.; Munshi, A.D.; Kumar, R.; Pandey, R.N.; Arora, A.; Bhat, J.S.; Sureja, A.K. Effect of Salt Stress on Cucumber: Na+-K+ Ratio, Osmolyte Concentration, Phenols and Chlorophyll Content. Acta Physiol. Plant. 2010, 32, 103–114. [Google Scholar] [CrossRef]
- Hossain, M.A.; Bhattacharjee, S.; Armin, S.M.; Qian, P.; Xin, W.; Li, H.Y.; Burritt, D.J.; Fujita, M.; Tran, L.S.P. Hydrogen Peroxide Priming Modulates Abiotic Oxidative Stress Tolerance: Insights from ROS Detoxification and Scavenging. Front. Plant Sci. 2015, 6, 420. [Google Scholar] [CrossRef] [PubMed]
- Webber, H.; Ewert, F.; Olesen, J.E.; Müller, C.; Fronzek, S.; Ruane, A.C.; Bourgault, M.; Martre, P.; Ababaei, B.; Bindi, M.; et al. Diverging Importance of Drought Stress for Maize and Winter Wheat in Europe. Nat. Commun. 2018, 9, 1–10. [Google Scholar] [CrossRef] [PubMed]
- He, G.; Liu, X.; Cui, Z. Achieving global food security by focusing on nitrogen efficiency potentials and local production. Glob. Food Secur. 2021, 29, 100536. [Google Scholar] [CrossRef]
- Li, W.; Shi, Y.; Zhu, D.; Wang, W.; Liu, H.; Li, J.; Shi, N.; Ma, L.; Fu, S. Fine root biomass and morphology in a temperate forest are influenced more by the nitrogen treatment approach than the rate. Ecol. Indic. 2021, 130, 108031. [Google Scholar] [CrossRef]
- Hassan, S.S.; Shah, S.A.A.; Pan, C.; Fu, L.; Cao, X.; Shi, Y.; Wu, X.; Wang, K.; Wu, B. Production of an antibiotic enterocin from a marine actinobacteria strain H1003 by metal-stress technique with enhanced enrichment using response surface methodology. Pak. J. Pharm. Sci. 2017, 30, 313–324. [Google Scholar]
- Samuel, A.D.; Bungau, S.; Fodor, I.K.; Tit, D.M.; Blidar, C.F.; David, A.T.; Melinte (Frunzulica), C.E. Effects of liming and fertilization on the dehydrogenase and catalase activities. Rev. Chim. 2019, 70, 3464–3468. [Google Scholar] [CrossRef]
- Samuel, A.D.; Brejea, R.; Domuta, C.; Bungau, S.; Cenusa, N.; Tit, D.M. Enzymatic indicators of soil quality. J. Environ. Prot. Ecol. 2017, 18, 871–878. [Google Scholar]
- Ul Hassan, S.S.; Muhammad, I.; Abbas, S.Q.; Hassan, M.; Majid, M.; Jin, H.Z.; Bungau, S. Stress driven discovery of natural products from actinobacteria with anti-oxidant and cytotoxic activities including docking and admet properties. Int. J. Mol. Sci. 2021, 22, 11432. [Google Scholar] [CrossRef]
- Yamauchi, Y. Chapter 7: Integrated Chemical Control of Abiotic Stress Tolerance Using Biostimulants. In Plant, Abiotic Stress Responses to Climate Change; Intech Open: London, UK, 2018. [Google Scholar] [CrossRef]
- Emiliani, J.; D’Andrea, L.; Falcone Ferreyra, M.L.; Maulión, E.; Rodriguez, E.; Rodriguez-Concepción, M.; Casati, P. A Role for β,β-Xanthophylls in Arabidopsis UV-B Photoprotection. J. Exp. Bot. 2018, 69, 4921–4933. [Google Scholar] [CrossRef]
- Choudhury, F.K.; Rivero, R.M.; Blumwald, E.; Mittler, R. Reactive oxygen species, abiotic stress and stress combination. Plant J. 2017, 90, 856–867. [Google Scholar] [CrossRef] [PubMed]
- Liu, Y.; He, C. Regulation of Plant Reactive Oxygen Species (ROS) in Stress Responses: Learning from AtRBOHD. Plant Cell Rep. 2016, 35, 995–1007. [Google Scholar] [CrossRef]
- Singh, A.; Singh, N.B.; Hussain, I.; Singh, H. Effect of biologically synthesized copper oxide nanoparticles on metabolism and antioxidant activity to the crop plants Solanum lycopersicum and Brassica oleracea var. botrytis. J. Biotechnol. 2017, 262, 11–27. [Google Scholar] [CrossRef] [PubMed]
- Regier, N.; Cosio, C.; von Moos, N.; Slaveykova, V.I. Effects of Copper-Oxide Nanoparticles, Dissolved Copper and Ultraviolet Radiation on Copper Bioaccumulation, Photosynthesis and Oxidative Stress in the Aquatic Macrophyte Elodea Nuttallii. Chemosphere 2015, 128, 56–61. [Google Scholar] [CrossRef] [PubMed]
- Li, Z.; Su, X.; Chen, Y.; Fan, X.; He, L.; Guo, J.; Wang, Y.; Yang, Q. Melatonin Improves Drought Resistance in Maize Seedlings by Enhancing the Anti-oxidant System and Regulating Abscisic Acid Metabolism to Maintain Stomatal Opening Under PEG-Induced Drought. J. Plant Biol. 2021, 64, 299–312. [Google Scholar] [CrossRef]
- Samuel, A.D.; Tit, D.M.; Melinte (Frunzulica), C.E.; Iovan, C.; Purza, L.; Gitea, M.; Bungau, S. Enzymological and physicochemical evaluation of the effects of soil management practices. Rev. Chim. 2017, 68, 2243–2247. [Google Scholar] [CrossRef]
- Bungau, S.; Behl, T.; Aleya, l.; Bourgeade, P.; Aloui-Sosse, B.; Purza, A.L.; Abid, A.; Samuel, A.D. Expatiating the impact of anthropogenic aspects and climatic factors on long term soil monitoring and management. Environ Sci. Pollut. Res. 2021, 202, 30528–30550. [Google Scholar] [CrossRef]
Publisher’s Note: MDPI stays neutral with regard to jurisdictional claims in published maps and institutional affiliations. |
© 2022 by the authors. Licensee MDPI, Basel, Switzerland. This article is an open access article distributed under the terms and conditions of the Creative Commons Attribution (CC BY) license (https://creativecommons.org/licenses/by/4.0/).


