Assessment of a Postharvest Treatment with Pyrimethanil via Thermo-Nebulization in Controlling Storage Rots of Apples
Abstract
1. Introduction
2. Materials and Methods
2.1. Experimental Design
2.2. Evaluations
2.3. Residue Level Analysis
2.4. Quality Analysis
2.5. Statistical Analysis
3. Results
3.1. First Evaluation
3.2. Second Evaluation
3.3. Identification of Individual Rots
3.4. Residue Analysis
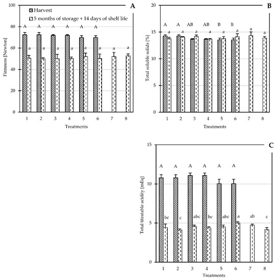
3.5. Quality Analysis
4. Discussion
5. Conclusions
Author Contributions
Funding
Institutional Review Board Statement
Informed Consent Statement
Data Availability Statement
Conflicts of Interest
References
- Rosenberger, D.A. Postharvest diseases. In Compendium of Apple and Pear Diseases and Pests, 2nd ed.; Sutton, T., Alswinckle, H., Agnello, A., Walgenbach, J., Eds.; American Phytopathological Society: St. Paul, MN, USA, 2014; p. 218. [Google Scholar]
- Wenneker, M. Fungal Pathogens in Pome Fruit Orchards and Causal Agents of Postharvest Decay. Ph. D. Thesis, Wageningen University, Wageningen, The Netherlands, 25 February.
- Weber, R.W.S. Biology and control of the apple canker fungus Neonectria ditissima (syn. N. galligena) from a Northwestern European perspective. Erwerbs-Obstbau 2014, 56, 95–107. [Google Scholar] [CrossRef]
- Paster, N.; Huppert, D.; Barkai-Golan, R. Production of patulin by different strains of penicillium expansum in pear and apple cultivars stored at different temperatures and modified atmospheres. Food Addit. Contam. 1995, 12, 51–58. [Google Scholar] [CrossRef]
- Scott, P.M. Analysis of agricultural commodities and foods for Alternaria mycotoxins. J. AOAC Int. 2001, 84, 1809–1817. [Google Scholar] [CrossRef] [PubMed]
- Laidou, I.A.; Thanassoulopoulos, C.C.; Liakopoulou-Kyriakides, M. Diffusion of Patulin in the Flesh of Pears Inoculated with Four Post-harvest Pathogens. J. Phytopathol. 2008, 149, 457–461. [Google Scholar] [CrossRef]
- Wightwick, A.; Walters, R.; Allinson, G.; Reichman, S.; Menzies, N. Environmental Risks of Fungicides Used in Horticultural Production Systems. In Fungicides; Carisse, O., Ed.; InTech: London, UK, 2010; pp. 273–304. [Google Scholar]
- Cullen, M.G.; Thompson, L.J.; Carolan, J.C.; Stout, J.C.; Stanley, D.A. Fungicides, herbicides and bees: A systematic review of existing research and methods. PLoS ONE 2019, 14, e0225743. [Google Scholar] [CrossRef] [PubMed]
- Brent, K.J.; Hollomon, D.W. Fungicide Resistance: The assessment of risk. In FRAC Monograph, 2nd ed.; Crop Life International: Brussels, Belgium, 2007. [Google Scholar]
- Fillinger, S.; Ajouz, S.; Nicot, P.C.; Leroux, P.; Bardin, M. Functional and Structural Comparison of Pyrrolnitrin- and Iprodione-Induced Modifications in the Class III Histidine-Kinase Bos1 of Botrytis cinerea. PLoS ONE 2012, 7, e42520. [Google Scholar] [CrossRef]
- FRAC Code List 2020—Fungal Control Agents Sorted by Cross Resistance Pattern and Mode of Action; Crop Life International: Brussels, Belgium, 2021; pp. 1–17.
- Harris, C.A.; Renfrew, M.J.; Woolridge, M.W. Assessing the risks of pesticide residues to consumers: Recent and future developments. Food Addit. Contam. 2001, 18, 1124–1129. [Google Scholar] [CrossRef]
- Carrasco Cabrera, L.; Medina Pastor, P. The 2019 European Union report on pesticide residues in food. EFSA J. 2021, 19, e06491. [Google Scholar] [CrossRef]
- Muri, S.D.; van der Voet, H.; Boon, P.E.; van Klaveren, J.D.; Brüschweiler, B.J. Comparison of human health risks resulting from exposure to fungicides and mycotoxins via food. Food Chem. Toxicol. 2009, 47, 2963–2974. [Google Scholar] [CrossRef]
- Caiazzo, R.; Kim, Y.K.; Xiao, C.L. Occurrence and phenotypes of pyrimethanil resistance in Penicillium expansum from apple in Washington State. Plant Dis. 2014, 98, 924–928. [Google Scholar] [CrossRef]
- Chapeland, F.; Fritz, R.; Lanen, C.; Gredt, M.; Leroux, P. Inheritance and mechanisms of resistance to anilinopyrimidine fungicides in Botrytis cinerea (Botryotinia fuckeliana). Pestic. Biochem. Physiol. 1999, 64, 85–100. [Google Scholar] [CrossRef]
- Masner, P.; Muster, P.; Schmid, J. Possible methionine biosynthesis inhibition by pyrimidinamine fungicides. Pestic. Sci. 1994, 42, 163–166. [Google Scholar] [CrossRef]
- Fritz, R.; Lanen, C.; Colas, V.; Leroux, P. Inhibition of methionine biosynthesis in Botrytis cinerea by the anilinopyrimidine fungicide pyrimethanil. Pestic. Sci. 1997, 49, 40–46. [Google Scholar] [CrossRef]
- Li, H.X.; Xiao, C.L. Baseline sensitivities to fludioxonil and pyrimethanil in Penicillium expansum populations from apple in Washington State. Postharvest Biol. Technol. 2008, 47, 239–245. [Google Scholar] [CrossRef]
- Sholberg, P.L.; Bedford, K.; Stokes, S. Sensitivity of Penicillium spp. and Botrytis cinerea to pyrimethanil and its control of blue and gray mold of stored apples. Crop Prot. 2005, 24, 127–134. [Google Scholar] [CrossRef]
- Zhao, H.; Kim, Y.K.; Huang, L.; Xiao, C.L. Resistance to thiabendazole and baseline sensitivity to fludioxonil and pyrimethanil in Botrytis cinerea populations from apple and pear in Washington State. Postharvest Biol. Technol. 2010, 56, 12–18. [Google Scholar] [CrossRef]
- Schreuder, W.; du Plooy, W.; Erasmus, A.; Savage, C.; Basson, E.; Lennox, C.; Fourie, P.H. Postharvest fungicide treatments and cold storage control citrus black spot infections. Crop Prot. 2018, 112, 332–342. [Google Scholar] [CrossRef]
- Scheer, C. Schorfbekämpfung optimiert—Kann der Zusatzstoff Squall® die Wirkung von Fungiziden wie captanhaltigen Produkten und Delan WG gegen Apfelschorf verbessern? Obstbau 2018, 10, 561–565. [Google Scholar]
- Holthusen, H. Nacherntebehandlung mit Xedathane-HN—Eine Alternative in der Lagerfäulenbekämpfung im Rahmen der I.O.? In Proceedings of the 26th Pflanzenschutz Beratertagung, Grünberg, Germany, 17–19 October 2017. [Google Scholar]
- Spotts, R.A.; Sanderson, P.G.; Lennox, C.; Sugar, D.; Cervantes, L.A. Wound healing and staining of mature d’Anjou pear fruit. Postharvest Biol. Technol. 1998, 13, 27–36. [Google Scholar] [CrossRef]
- Sugar, D.; Basile, S.R. Timing and sequence of postharvest fungicide and biocontrol agent applications for control of pear decay. Postharvest Biol. Technol. 2008, 49, 107–112. [Google Scholar] [CrossRef]
- Bompeix, G.; Cholodowski-Faivre, D.; Quenneniet, J. Post-harvest diseases of apples: Chemical and biological control, new data. Integr. Control Pome Fruit Diseases 2000, 23, 147–151. [Google Scholar]
- Delele, M.A.; Vorstermans, B.; Creemers, P.; Tsige, A.A.; Tijskens, E.; Schenk, A.; Opara, U.L.; Nicolaï, B.M.; Verboven, P. Investigating the performance of thermonebulisation fungicide fogging system for loaded fruit storage room using CFD model. J. Food Eng. 2012, 109, 87–97. [Google Scholar] [CrossRef]
- Aguilar, C.G.; Mazzola, M.; Xiao, C.L. Control of bull’s-eye rot of apple caused by Neofabraea perennans and Neofabraea kienholzii using pre-and postharvest fungicides. Plant Dis. 2018, 102, 905–910. [Google Scholar] [CrossRef] [PubMed]
- Bertolini, P.; Guarnieri, A.; Venturi, P. Post-harvest fog treatment of apples: Deposition patterns and control of Phlyctaena vagabunda and superficial scald. Crop Prot. 1995, 14, 345–348. [Google Scholar] [CrossRef]
- Russouw, A.; Meitz-Hopkins, J.; Den Breeyen, A.; Lennox, C. Postharvest applications of fludioxonil and pyrimethanil to control Phlyctema vagabunda on apple in South Africa. Crop Prot. 2021, 141, 105451. [Google Scholar] [CrossRef]
- Anastassiades, M.; Lehotay, S.J.; Štajnbaher, D.; Schenck, F.J. Fast and easy multiresidue method employing acetonitrile extraction/partitioning and “dispersive solid-phase extraction” for the determination of pesticide residues in produce. J. AOAC Int. 2003, 86, 412–431. [Google Scholar] [CrossRef] [PubMed]
- Streif, J. Optimal harvest date for different apple cultivars in the “Bodensee” area. In Determination and Prediction of Optimum Harvest Date of Apples and Pears: Proceedings of a Meeting of the Working Group on Optimum Harvest Date, Loftus, Norway, 9–10 June 1996; de Jager, A., Johnson, D., Höhn, E., Eds.; Office for Official Publications of the European Communities: Luxembourg, 1996; Volume 1, pp. 15–20. [Google Scholar]
- Höhn, E.; Gasser, F.; Guggenbühl, B.; Künsch, U. Efficacy of instrumental measurements for determination of minimum requirements of firmness, soluble solids, and acidity of several apple varieties in comparison to consumer expectations. Postharvest Biol. Technol. 2003, 27, 27–37. [Google Scholar] [CrossRef]
- Moggia, C.; Yuri, J.A.; Lolas, M.; Pereira, M. Use of Thermofogging for Dpa and Fungicides Applications in Chile. In Proceedings of the Washington Tree Fruits Postharvest Conference, Wenatchee, WA, USA, 1–2 December 2003; pp. 1–10. [Google Scholar]
- Palm, G.; Kruse, P. Wie ist in der Zukunft Lagerfäulnis zu verhindern? Obstbau 2013, 8, 449–454. [Google Scholar]
- Beckerman, J.L.; Sundin, G.W.; Rosenberger, D.A. Do some IPM concepts contribute to the development of fungicide resistance? Lessons learned from the apple scab pathosystem in the United States. Pest Manag. Sci. 2015, 71, 331–342. [Google Scholar] [CrossRef]
- Brent, K.J.; Hollomon, D.W. Fungicide Resistance in Plant Management: How can it be managed? In FRAC Monograph, 2nd ed.; Crop Life International: Brussels, Belgium, 2007. [Google Scholar]
- Xiao, C.L.; Boal, R.J. Residual activity of fludioxonil and pyrimethanil against penicillium expansum on apple fruit. Plant Dis. 2009, 93, 1003–1008. [Google Scholar] [CrossRef]
- Neuwald, D.A.; Kittemann, D. The incidence of Neofabraea spp. in “Pinova” apples can be reduced at elevated storage temperatures. Acta Hortic. 2016, 1144, 231–235. [Google Scholar] [CrossRef]
- Scheer, C. Ein neuer Wirkstoff lässt hoffen. Besseres Obst. 2020, 6, 4–7. [Google Scholar]
- Delele, M.A.; Tsige, A.A.; Tijskens, E.; Nicolaï, B.M.; Verboven, P.; Vorstermans, B.; Creemers, P.; Schenk, A. CFD modelling of a fungicide thermonebulisation system for fruit storage rooms. Acta Hortic. 2010, 877, 1387–1394. [Google Scholar] [CrossRef]
- Xu, X.M.; Robinson, J.D. Effects of fruit maturity and wetness on the infection of apple fruit by Neonectria galligena. Plant Pathol. 2010, 59, 542–547. [Google Scholar] [CrossRef]
- Hutcheon, J.A.; Coyle, J.; Holgate, M.E.; Byrde, R.J.W. Effects of fungicides on long-term cropping and fruit quality of apple. Plant Pathol. 1986, 35, 249–253. [Google Scholar] [CrossRef]
- Palmer, J.W.; Davies, S.B.; Shaw, P.W.; Wünsche, J.N. Growth and fruit quality of ‘Braeburn’ apple (Malus domestica) trees as influenced by fungicide programmes suitable for organic production. N. Z. J. Crop Hortic. Sci. 2003, 31, 169–177. [Google Scholar] [CrossRef]
- Sholberg, P.L.; Haag, P.; Gaudet, D.A. Effect of fungicides and controlled-atmosphere storage on LTB rot of apples. Can. J. Plant Sci. 1995, 75, 515–520. [Google Scholar] [CrossRef]
- Tarlanović, J.; Grahovac, M.; Milić, B.; Keserović, Z.; Magazin, N.; Petreš, M.; Miodragović, M. Effect of storage conditions on virulence of Fusarium avenaceum and Alternaria alternata on apple fruits. J. Phytopathol. 2017, 165, 595–601. [Google Scholar] [CrossRef]
- Berrie, A.M.; Xu, X.-M.; Johnson, D. Lower Temperatures More Effective than Atmosphere Modification in Controlling Botrytis and Nectria Rots in Stored Apples. J. Phytopathol. 2011, 159, 73–79. [Google Scholar] [CrossRef]
- Janisiewicz, W.J.; Leverentz, B.; Conway, W.S.; Saftner, R.A.; Reed, A.N.; Camp, M.J. Control of bitter rot and blue mold of apples by integrating heat and antagonist treatments on 1-MCP treated fruit stored under controlled atmosphere conditions. Postharvest Biol. Technol. 2003, 29, 129–143. [Google Scholar] [CrossRef]
- Saftner, R.A.; Abbott, J.A.; Conway, W.S.; Barden, C.L. Effects of 1-methylcyclopropene and heat treatments on ripening and postharvest decay in “Golden Delicious” apples. J. Am. Soc. Hortic. Sci. 2003, 128, 120–127. [Google Scholar] [CrossRef]



| Date | Active Ingredient | Dosage per ha | Date | Active Ingredient | Dosage per ha |
|---|---|---|---|---|---|
| 23 March | Copper hydroxide | 0.6 L | 05 June | Dithianon/Myclobutanil | 0.25 kg + 0.125 L |
| 01 April | Dithianon/Sulfur | 0.25 kg + 2 kg | 13 June | Captan/Myclobutanil | 1 L + 0.125 L |
| 08 April | Dodin | 0.625 L | 18 June | Dithianon/Penconazol | 0.25 kg + 0.125 L |
| 25 April | Fluxapyroxad/Dithianon | 0.1 L + 0.25 kg | 01 July | Dithianon | 0.25 kg |
| 27 April | Dodin | 0.625 L | 11 July | Captan | 0.6 kg |
| 01 May | Fluxapyroxad/Captan | 0.1 L + 0.625 kg | 19 July | Captan | 1 L |
| 07 May | Captan/Trifloxystrobin | 0.625 kg | 05 August | Dithianon | 0.25 kg |
| 17 May | Dithianon/Sulfur | 0.25 kg + 2 kg | 08 August | Captan | 0.6 kg |
| 22 May | Calciumpolysulfid | 6 L | 15 August | Dithianon | 0.25 kg |
| 27 May | Dithianon/Sulfur | 0.25 kg + 2 kg | 27 August | Captan | 0.75 kg |
| Days to Harvest | Post | |||||
|---|---|---|---|---|---|---|
| −28 | −21 | −14 | −7 | +3 | ||
| Treatments | 1 | |||||
| 2 | Pyrimethanil | |||||
| 3 | Captan | Captan | ||||
| 4 | Captan | Captan | Pyrimethanil | |||
| 5 | Captan | Captan | Trifloxystrobin | Trifloxystrobin | ||
| 6 | Captan | Captan | Trifloxystrobin | Trifloxystrobin | Pyrimethanil | |
| 7 | Captan | Captan | Pyrimethanil | Pyrimethanil | ||
| 8 | Captan | Captan | Fludioxonil | Fludioxonil | ||
| Dosage | Captan | 0.75 kg/ha | ||||
| Trifloxystrobin | 0.05 kg/ha | |||||
| Pyrimethanil | 0.375 L/ha | 0.05 L/t | ||||
| Fludioxonil | 0.15 kg/ha | |||||
| Tr. | Total | neof. | n.d. | m.f. | p.e. | fr. | b.c. | a.a. |
|---|---|---|---|---|---|---|---|---|
| 1 | 25.0 ± 11.1 a | 22.8 ± 11.9 a | 0.5 ± 0.0 a | 0.3 ± 0.5 a | 1.1 ± 0.9 a | 0.1 ± 0.3 a | 0.0 ± 0.0 a | 0.3 ± 0.5 a |
| 2 | 5.9 ± 2.5 c | 3.8 ± 1.6 c | 0.5 ± 0.4 a | 0.8 ± 1.5 a | 0.5 ± 0.4 a | 0.3 ± 0.3 a | 0.1 ± 0.3 a | 0.0 ± 0.0 a |
| 3 | 17.9 ± 4.3 ab | 15.4 ± 4.7 ab | 0.4 ± 0.5 a | 0.3 ± 0.5 a | 1.1 ± 0.9 a | 0.0 ± 0.0 a | 0.1 ± 0.3 a | 0.6 ± 0.8 a |
| 4 | 5.3 ± 2.3 c | 3.3 ± 2.2 c | 0.9 ± 0.5 a | 0.9 ± 0.3 a | 0.3 ± 0.5 a | 0.0 ± 0.0 a | 0.0 ± 0.0 a | 0.0 ± 0.0 a |
| 5 | 8.0 ± 1.6 bc | 6.5 ± 1.1 bc | 0.1 ± 0.3 a | 0.0 ± 0.0 a | 0.8 ± 0.6 a | 0.4 ± 0.5 a | 0.0 ± 0.0 a | 0.3 ± 0.3 a |
| 6 | 4.1 ± 1.4 c | 2.6 ± 1.1 c | 0.9 ± 1.0 a | 0.5 ± 0.6 a | 0.1 ± 0.3 a | 0.0 ± 0.0 a | 0.0 ± 0.0 a | 0.0 ± 0.0 a |
| 7 | 7.6 ± 1.0 bc | 6.0 ± 0.7 bc | 0.5 ± 0.6 a | 0.0 ± 0.0 a | 0.6 ± 0.5 a | 0.3 ± 0.5 a | 0.0 ± 0.0 a | 0.1 ± 0.3 a |
| 8 | 5.5 ± 3.2 c | 4.0 ± 2.7 c | 0.6 ± 0.6 a | 0.5 ± 0.4 a | 0.3 ± 0.5 a | 0.0 ± 0.0 a | 0.0 ± 0.0 a | 0.1 ± 0.3 a |
| Treatments | ||||||||
|---|---|---|---|---|---|---|---|---|
| 1st evaluation | 2 | 3 | 4 | 5 | 6 | 7 | 8 | MRL 2 |
| Captan 1 | 0.26 | 0.74 | 0.75 | 0.90 | 1.00 | 0.95 | 0.57 | 10.00 |
| Dithianon | 0.04 | 0.02 | 0.05 | 0.06 | 0.04 | 0.08 | 0.03 | 3.00 |
| Pyrimethanil | 2.30 | 2.70 | 2.40 | 0.48 | 15.00 | |||
| Trifloxystrobin | 0.08 | 0.08 | 0.70 | |||||
| Fludioxonil | 0.13 | 5.00 | ||||||
| 2nd evaluation | 2 | 3 | 4 | 5 | 6 | 7 | 8 | MRL 2 |
| Captan 1 | 0.08 | 0.55 | 0.51 | 0.59 | 0.61 | 0.53 | 0.49 | 10.00 |
| Dithianon | 0.06 | 0.05 | 0.06 | 0.05 | 0.04 | 0.04 | 0.02 | 3.00 |
| Pyrimethanil | 2.90 | 3.40 | 3.00 | 0.65 | 15.00 | |||
| Trifloxystrobin | 0.05 | 0.05 | 0.70 | |||||
| Fludioxonil | 0.13 | 5.00 | ||||||
Publisher’s Note: MDPI stays neutral with regard to jurisdictional claims in published maps and institutional affiliations. |
© 2021 by the authors. Licensee MDPI, Basel, Switzerland. This article is an open access article distributed under the terms and conditions of the Creative Commons Attribution (CC BY) license (https://creativecommons.org/licenses/by/4.0/).
Share and Cite
Büchele, F.; Neuwald, D.A.; Scheer, C.; Wood, R.M.; Vögele, R.T.; Wünsche, J.N. Assessment of a Postharvest Treatment with Pyrimethanil via Thermo-Nebulization in Controlling Storage Rots of Apples. Agronomy 2022, 12, 34. https://doi.org/10.3390/agronomy12010034
Büchele F, Neuwald DA, Scheer C, Wood RM, Vögele RT, Wünsche JN. Assessment of a Postharvest Treatment with Pyrimethanil via Thermo-Nebulization in Controlling Storage Rots of Apples. Agronomy. 2022; 12(1):34. https://doi.org/10.3390/agronomy12010034
Chicago/Turabian StyleBüchele, Felix, Daniel A. Neuwald, Christian Scheer, Rachael M. Wood, Ralf T. Vögele, and Jens N. Wünsche. 2022. "Assessment of a Postharvest Treatment with Pyrimethanil via Thermo-Nebulization in Controlling Storage Rots of Apples" Agronomy 12, no. 1: 34. https://doi.org/10.3390/agronomy12010034
APA StyleBüchele, F., Neuwald, D. A., Scheer, C., Wood, R. M., Vögele, R. T., & Wünsche, J. N. (2022). Assessment of a Postharvest Treatment with Pyrimethanil via Thermo-Nebulization in Controlling Storage Rots of Apples. Agronomy, 12(1), 34. https://doi.org/10.3390/agronomy12010034

