Greenhouse Assays with Lactuca sativa for Testing Sewage Sludge-Based Soil Amendments
Abstract
:1. Introduction
2. Materials and Methods
2.1. Materials
2.2. Physicochemical and Microbiological Characterization
2.3. Greenhouse Growth Tests
2.4. Statistical Analysis
3. Results and Discussion
3.1. Characterization of the Materials
3.2. Characteristics of the Soil before the Experiment
3.3. Influence of the Different Treatments and Amendments on Lettuce Growth
3.3.1. Crop Productivity
3.3.2. Chemical Composition
3.4. Influence of the Different Treatment and Amendments on Soil Properties
3.4.1. pH, Conductivity, and Organic Matter
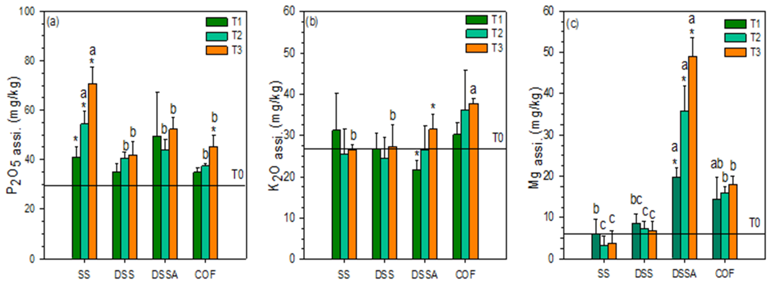
3.4.2. Nutrients
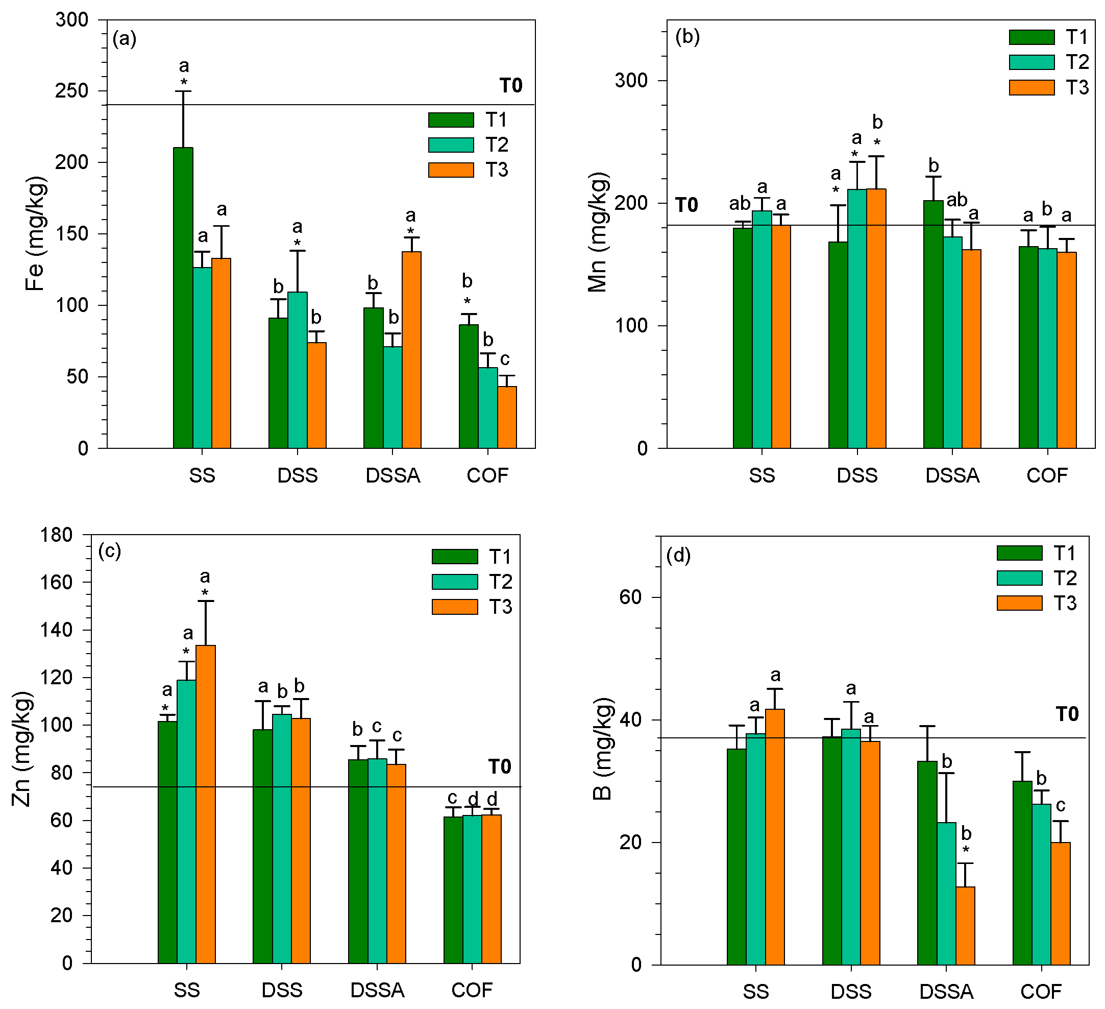
3.4.3. Potentially Toxic Metals
4. Conclusions
Author Contributions
Funding
Institutional Review Board Statement
Informed Consent Statement
Acknowledgments
Conflicts of Interest
References
- FAO. The State of the World’s Land and Water Resources for Food and Agricultuure (SOLAW)—Managing Systems at Risk; Food and Agriculture Organization of the United Nations, Rome and Earthscan: Rome, Italy, 2011. [Google Scholar]
- Brunelle, T.; Dumas, P.; Souty, F.; Dorin, B.; Nadaud, F. Evaluating the impact of rising fertilizer prices on crop yields. Agric. Econ. 2015, 46, 653–666. [Google Scholar] [CrossRef]
- Buta, M.; Hubney, J.; Zienlinski, W.; Harnisz, M.; Korzeniewska, E. Sewage sludge in agriculture—The effects of selected chemical pollutants and emerging genetic resistance determinants on the quality of soil and crops—A review. Ecotoxicol. Environ. Saf. 2021, 214, 112070. [Google Scholar] [CrossRef] [PubMed]
- Gomes, L.A.; Santos, A.F.; Góis, J.C.; Quina, M.J. Thermal dehydration of urban biosolids with green liquor dregs from pulp and paper mill. J. Environ. Manag. 2020, 261, 109944. [Google Scholar] [CrossRef] [PubMed]
- EEA (European Environmental Agency). Indicator Assessment: Soil Organic Carbon. Available online: https://www.eea.europa.eu/data-and-maps/indicators/soil-organic-carbon-1/assessment (accessed on 21 April 2021).
- Hillel, D. Soil Fertility and Plant Nutrition. In Soil in the Environment; Elsevier: New York, NY, USA, 2008; pp. 151–162. [Google Scholar]
- Jones, J.B., Jr. Agronomic Handbook: Management of Crops, Soils, and Their Fertility, 1st ed.; CRC Press: Boca Raton, FL, USA, 2002. [Google Scholar]
- Kacprzak, M.; Neczaj, E.; Fijałkowski, K.; Grobelak, A.; Grosser, A.; Worwag, M.; Rorat, A.; Brattebo, H.; Almås, Å.; Singh, B.R. Sewage sludge disposal strategies for sustainable development. Environ. Res. 2017, 156, 39–46. [Google Scholar] [CrossRef] [PubMed]
- Hudcová, H.; Vymazal, J.; Rozkošný, M. Present restrictions of sewage sludge application in agriculture within the European Union. Soil Water Res. 2019, 14, 104–120. [Google Scholar] [CrossRef]
- Andersen, A. Disposal and Recycling Routes for Sewage Sludge: Part 3—Scientific and Technical Report; European Commission: Luxembourg, 2002. [Google Scholar]
- Sharma, B.; Sarkar, A.; Singh, P.; Pratap, R. Agricultural utilization of biosolids: A review on potential effects on soil and plant grown. Waste Manag. 2017, 64, 117–132. [Google Scholar] [CrossRef] [PubMed]
- Aguiar, A.; Godinho, M.C.; Costa, C.A. Produção Integrada; Sociedade Portuguesa de Inovação: Viseu, Portugal, 2005. [Google Scholar]
- Santos, A.F.; Santos, C.P.; Matos, A.M.; Cardoso, O.; Quina, M.J. Effect of Thermal Drying and Chemical Treatments with Wastes on Microbiological Contamination Indicators in Sewage Sludge. Microorganisms 2020, 8, 376. [Google Scholar] [CrossRef] [PubMed] [Green Version]
- Santos, A.F.; Gomes, L.A.; Góis, J.C.; Quina, M.J. Improvement of Thermal Dehydration and Agronomic Properties of Products Obtained by Combining Sewage Sludge with Industrial Residues. Waste Biomass Valorization 2021, 12, 5087–5097. [Google Scholar] [CrossRef]
- Gomes, L.A.; Santos, A.F.; Pinheiro, C.T.; Góis, J.C.; Quina, M.J. Screening of waste materials as adjuvants for drying sewage sludge based on environmental, technical and economic criteria. J. Clean. Prod. 2020, 259, 120927. [Google Scholar] [CrossRef]
- Quina, M.J.; Pinheiro, C.T. Inorganic waste generated in kraft pulp mills: The transition from landfill to industrial applications. Appl. Sci. 2020, 10, 2317. [Google Scholar] [CrossRef] [Green Version]
- Sempiterno, C. Colocação no mercado de matérias fertilizantes não hamornizadas—Ensaios de Eficácia. In Vida Rural; Instituto Nacional de Investigação Agrária e Veterinária: Oeiras, Portugal, 2017; pp. 36–38. [Google Scholar]
- Zhang, J.; Hu, H.; Wang, M.; Li, Y.; Wu, S.; Cao, Y.; Liang, P.; Zhang, J.; Naidu, R.; Liu, Y.; et al. Land application of sewage sludge biochar: Assessments of soil-plant-human health risks from potentially toxic metals. Sci. Total Environ. 2021, 756, 144137. [Google Scholar] [CrossRef] [PubMed]
- Antoniadis, V.; Koutroubas, S.D.; Fotiadis, S. Nitrogen, Phosphorus, and Potassium Availability in Manure- and Sewage Sludge–Applied Soil. Commun. Soil Sci. Plant Anal. 2015, 46, 393–404. [Google Scholar] [CrossRef]
- INIAP. Manual de Fertilização das Culturas, 2nd ed.; Laboratório Químico Agrícola Rebelo da Silva: Lisbon, Portugal, 2006. [Google Scholar]
- Jones, J.B., Jr. Plant Nutrition and Soil Fertility Manual, 2nd ed.; CRC Press: Boca Raton, FL, USA, 2012; ISSN 9781439816103. [Google Scholar]
- Graves, R. Chapter 2—Composting. In Part 637 Environmental Engineering National, Engineering Handbook; NRCS National Production Sevices: Fort Worth, TX, USA, 2000. [Google Scholar]
- Maynard, D.; Hochmuth, G. Knott’s Handbook for Vegetable Growers, 5th ed.; John Wiley & Sons, Inc.: Hoboken, NJ, USA, 2007. [Google Scholar]
- Castro, E.; Mañas, P.; De las Heras, J. A comparison of the application of different waste products to a lettuce crop: Effects on plant and soil properties. Sci. Hortic. 2009, 123, 148–155. [Google Scholar] [CrossRef]
- Medeiros, J.C.; Albuquerque, J.A.; Mafra, Á.L.; Batistella, F.; Grah, J. Calagem superficial com resíduo alcalino da indústria de papel e celulose em um solo altamente tamponado. Rev. Bras. Ciência Solo 2009, 33, 1657–1665. [Google Scholar] [CrossRef] [Green Version]
- dos Santos Pereira, I.; Bamberg, A.L.; Oliveira de Sousa, R.; Monteiro, A.B.; Martinazzo, R.; Posser Silveira, C.A.; de Oliveira Silveira, A. Agricultural use and pH correction of anaerobic sewage sludge with acid pH. J. Environ. Manag. 2020, 275, 111203. [Google Scholar] [CrossRef] [PubMed]
- Inácio, M.; Pereira, V.; Pinto, M. The Soil Geochemical Atlas of Portugal: Overview and applications. J. Geochemical Explor. 2008, 98, 22–33. [Google Scholar] [CrossRef]
- Alvarenga, P.; Farto, M.; Mourinha, C.; Palma, P. Beneficial Use of Dewatered and Composted Sewage Sludge as Soil Amendments: Behaviour of Metals in Soils and Their Uptake by Plants. Waste Biomass Valorization 2016, 7, 1189–1201. [Google Scholar] [CrossRef]
- Sommers, L. Chemical composition of sewage sludges and analysis of their potential use as fertilizers. J. Environ. Qual. 1977, 6, 225–232. [Google Scholar] [CrossRef]
- Breda, C.C.; Soares, M.B.; Tavanti, R.F.R.; Viana, D.G.; da Silva Freddi, O.; Piedade, A.R.; Mahl, D.; Traballi, R.C.; Guerrini, I.A. Successive sewage sludge fertilization: Recycling for sustainable agriculture. Waste Manag. 2020, 109, 38–50. [Google Scholar] [CrossRef] [PubMed]








| Materials | Designation | Source | |
|---|---|---|---|
| Raw sewage sludge | ![]() | SS | Sample from an activated sludge system after mechanical dewatering by centrifugation |
| Dried sewage sludge | ![]() | DSS | SS dried at 100 °C to ~30%wb moisture, milled, and sieved through a 6.3 mm sieve |
| Dried sewage sludge with additive (GLD) | ![]() | DSSA | SS with 0.15 g GLD/gwb dried at 100 °C to ~30%wb moisture, milled, and sieved through a 6.3 mm sieve |
| Commercial organic fertilizer | ![]() | COF | Fertimax fertilizer (based on 75% horse manure and 25% of vegetable source) granulated (<6 mm) |
| Treatments | Application Rate of the Amendments to the Soil (kg N/ha) | Observations |
|---|---|---|
| T0 | 0 | Without any soil amendment (control) |
| T1 | 85 | Low quantity of soil amendment applied |
| T2 | 170 | Maximum recommended for manure and slurry by Portuguese Despacho No. 1230/2018 |
| T3 | 255 | Quantity of soil amendment applied in excess to evaluate the system in extreme conditions |
| SS | DSS | DSSA | DL No. 276/2009 | COF | |
|---|---|---|---|---|---|
| pH | 7.0 | 7.2 | 8.4 | - | 7.76 |
| H (%) | 84.2 | 31.5 | 24.6 | - | 17.0 |
| OM (%) | 70.8 | 70.1 | 40.1 | - | 57.4 |
| TN (%) | 6.14 | 6.13 | 2.38 | - | 3.08 |
| N-NO3- (%) | <0.001 | <0.001 | <0.001 | - | <0.005 |
| N-NH4+ (%) | 0.41 | 0.43 | 0.05 | - | 0.74 |
| P2O5 (%) | 6.15 | 6.62 | 4.49 | - | 2.34 |
| K2O (%) | 0.31 | 0.30 | 0.23 | - | 2.55 |
| MgO (%) | 0.73 | 0.64 | 1.99 | - | 1.04 |
| CaO (%) | 2.13 | 2.29 | 28.7 | - | 19.0 |
| Cd (mg/kg) | 0.8 | 0.9 | 0.8 | 20 | 0.7 |
| Cu (mg/kg) | 170 | 174 | 128 | 1000 | 34.8 |
| Ni (mg/kg) | 25 | 25 | 28 | 300 | 8 |
| Pb (mg/kg) | 23 | 27 | 22 | 750 | 8.4 |
| Zn (mg/kg) | 770 | 787 | 543 | 2500 | 185 |
| Hg (mg/kg) | 0.46 | 0.40 | 0.39 | 16 | 0.01 |
| Cr (mg/kg) | 34 | 35 | 33 | 1000 | 17 |
| LAS (mg/kg) | 10,000 | 1,700 | - | 5000 | - |
| Total 16-PAH (mg/kg) | 0.11 | 0.35 | - | 6 | - |
| Total 6-PCB (mg/kg) | <0.02 | <0.02 | - | 0.8 | - |
| WHO-PCDD/F TEQ (ng/kg) | 2–4 | 2–4 | - | 100 | - |
| E. coli (CFU/g) | 4.6 × 104 | <1.0 × 101 | <1.0 × 101 | 1000 | <1.0 × 103 |
| Salmonella spp. | Present | Absent | Absent | Absent/50 g | Absent |
| Parameter | Value | Parameter | Value |
|---|---|---|---|
| pH | 5.50 | Ca assimilable (mg/kg) | 202 |
| EC (mS/cm) | 0.11 | Mg assimilable (mg/kg) | 15 |
| OM (%TS) | 0.70 | Fe extractable (mg/kg) | 16 |
| CEC (meq/100 g) | 0.70 | Cu extractable (mg/kg) | 2.5 |
| Bulk density (g/L) | 1290 | Zn extractable (mg/kg) | 4.0 |
| Sand (%) | 97 | Mn extractable (mg/kg) | 31.9 |
| Silt (%) | 1 | B extractable (mg/kg) | 0.32 |
| Clay (%) | 2 | Ca exchangeable (meq/100 g) | 0.15 |
| TN (%) | 0.04 | Mg exchangeable (meq/100 g) | 0.20 |
| P assimilable (mg/kg) | 48 | K exchangeable (meq/100 g) | 0.07 |
| K assimilable (mg/kg) | 47 | Na exchangeable (meq/100 g) | 0.08 |
| PTM (mg/kg) | Value | DL 276/2009 * | DL 103/2015 * |
| Cd | 0.03 | 1 | 0.5 |
| Zn | 7.45 | 150 | 60 |
| Pb | 0.43 | 50 | 50 |
| Cu | 1.97 | 50 | 20 |
| Cr | 0.70 | 50 | 30 |
| Ni | 0.28 | 30 | 15 |
| Hg | 0.002 | 1 | 0.1 |
| Parameter | Treatment | Materials | |||||||
|---|---|---|---|---|---|---|---|---|---|
| SS | DSS | DSSA | COF | ||||||
| pH | T0 | 5.80 | +0.13 | 5.80 | +0.13 | 5.80 | +0.13 | 5.80 | +0.10 |
| −0.10 | −0.10 | −0.10 | −0.13 | ||||||
| T1 | 5.57 | +0.06 | 5.60 | +0.00 | 5.69 | +0.09 | 6.08 | +0.10 | |
| −0.05 | −0.00 | −0.07 | −0.08 | ||||||
| T2 | 5.45 | +0.06 | 5.42 | +0.11 | 6.12 | +0.22 | 6.04 | +0.10 | |
| −0.05 | −0.09 | −0.14 | −0.08 | ||||||
| T3 | 5.30 | +0.00 | 5.25 | +0.06 | 6.39 | +0.35 | 5.92 | +0.05 | |
| −0.00 | −0.05 | −0.19 | −0.04 | ||||||
| EC | T0 | 0.02 ± 0.00 | 0.02 ± 0.00 | 0.02 ± 0.00 | 0.02 ± 0.00 | ||||
| (mS/cm) | T1 | 0.06 ± 0.04 | 0.05 ± 0.01 | 0.08 ± 0.01 | 0.03 ± 0.00 | ||||
| T2 | 0.06 ± 0.01 | 0.08 ± 0.03 | 0.11 ± 0.01 | 0.03 ± 0.01 | |||||
| T3 | 0.10 ± 0.02 | 0.10 ± 0.01 | 0.13 ± 0.02 | 0.04 ± 0.01 | |||||
| OM (%) | T0 | 0.88 ± 0.05 | 0.88 ± 0.05 | 0.88 ± 0.05 | 0.88 ± 0.05 | ||||
| T1 | 0.83 ± 0.13 | 1.03 ± 0.10 | 1.03 ± 0.13 | 1.30 ± 0.18 | |||||
| T2 | 0.90 ± 0.08 | 0.98 ± 0.17 | 1.10 ± 0.27 | 1.28 ± 0.19 | |||||
| T3 | 0.93 ± 0.10 | 0.90 ± 0.41 | 1.53 ± 0.05 | 1.15 ± 0.13 | |||||
Publisher’s Note: MDPI stays neutral with regard to jurisdictional claims in published maps and institutional affiliations. |
© 2022 by the authors. Licensee MDPI, Basel, Switzerland. This article is an open access article distributed under the terms and conditions of the Creative Commons Attribution (CC BY) license (https://creativecommons.org/licenses/by/4.0/).
Share and Cite
Santos, A.F.; Veríssimo, A.M.; Brites, P.; Baptista, F.M.; Góis, J.C.; Quina, M.J. Greenhouse Assays with Lactuca sativa for Testing Sewage Sludge-Based Soil Amendments. Agronomy 2022, 12, 209. https://doi.org/10.3390/agronomy12010209
Santos AF, Veríssimo AM, Brites P, Baptista FM, Góis JC, Quina MJ. Greenhouse Assays with Lactuca sativa for Testing Sewage Sludge-Based Soil Amendments. Agronomy. 2022; 12(1):209. https://doi.org/10.3390/agronomy12010209
Chicago/Turabian StyleSantos, Andreia F., Ana M. Veríssimo, Pedro Brites, Filipe M. Baptista, José C. Góis, and Margarida J. Quina. 2022. "Greenhouse Assays with Lactuca sativa for Testing Sewage Sludge-Based Soil Amendments" Agronomy 12, no. 1: 209. https://doi.org/10.3390/agronomy12010209
APA StyleSantos, A. F., Veríssimo, A. M., Brites, P., Baptista, F. M., Góis, J. C., & Quina, M. J. (2022). Greenhouse Assays with Lactuca sativa for Testing Sewage Sludge-Based Soil Amendments. Agronomy, 12(1), 209. https://doi.org/10.3390/agronomy12010209





