Changes in Bacterial and Fungal Community of Soil under Treatment of Pesticides
Abstract
:1. Introduction
2. Materials and Methods
2.1. Chemical Substances
2.2. Soil and Experimental Design
2.3. Sampling and DNA Extraction
2.4. Assessment of Pesticide’s Residual Quantities
2.5. Amplification and DNA Sequencing
2.6. Sequencing Data Processing
3. Results
3.1. Analysis of Pesticides Residual Amounts
3.2. Alpha Diversity of Soil Prokaryotic and Fungal Communities
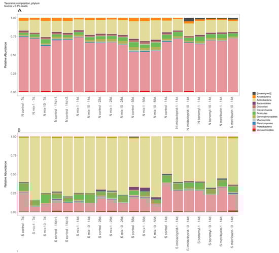
3.3. Taxonomic Structure of Soil Bacterial and Fungal Communities
4. Discussion
5. Conclusions
Author Contributions
Funding
Data Availability Statement
Conflicts of Interest
References
- Wilson, J.K.; Choudhri, R.S. Effects of DDT on Certain Microbiological Processes in the Soil. J. Econ. Èntomol. 1946, 39, 537–538. [Google Scholar] [CrossRef]
- Fletcher, D.W.; Bollen, W.B. The Effects of Aldrin on Soil Microorganisms and Some of Their Activities Related to Soil Fertility. Appl. Microbiol. 1954, 2, 349–354. [Google Scholar] [CrossRef]
- Bartha, R.; Lanzilotta, R.P.; Pramer, D. Stability and Effects of Some Pesticides in Soil. Appl. Microbiol. 1967, 15, 67–75. [Google Scholar] [CrossRef]
- Marsh, J.A.P.; Davies, H.A.; Grossbard, E. The effect of herbicides on respiration and transformation of nitrogen in two soils I. Metribuzin and glyphosate. Weed Res. 1977, 17, 77–82. [Google Scholar] [CrossRef]
- Tu, C.M. Influence of five pyrethroid insecticides on microbial populations and activities in soil. Microb. Ecol. 1980, 5, 321–327. [Google Scholar] [CrossRef]
- Peeples, J.L. Microbial Activity in Benomyl-Treated Soils. Phytopathology 1974, 64, 857–860. [Google Scholar] [CrossRef]
- Schuster, E.; Schröder, D. Side-effects of sequentially- and simultaneously-applied pesticides on non-target soil microorganisms: Laboratory experiments. Soil Biol. Biochem. 1990, 22, 375–383. [Google Scholar] [CrossRef]
- Das, A.; Mukherjee, D. Insecticidal effects on soil microorganisms and their biochemical processes related to soil fertility. World J. Microbiol. Biotechnol. 1998, 14, 903–909. [Google Scholar] [CrossRef]
- Das, A.; Chakravarty, A.; Sukul, P.; Mukherjee, D. Insecticides: Their effect on microorganisms and persistence in rice soil. Microbiol. Res. 1995, 150, 187–194. [Google Scholar] [CrossRef]
- Chakravarty, P.; Chatarpaul, L. Non-target effect of herbicides: I. effect of glyphosate and hexazinone on soil microbial activity. Microbial population, and in-vitro growth of ectomycorrhizal fungi. Pestic. Sci. 1990, 28, 233–241. [Google Scholar] [CrossRef]
- Engelen, B.; Meinken, K.; von Wintzingerode, F.; Heuer, H.; Malkomes, H.-P.; Backhaus, H. Monitoring Impact of a Pesticide Treatment on Bacterial Soil Communities by Metabolic and Genetic Fingerprinting in Addition to Conventional Testing Procedures. Appl. Environ. Microbiol. 1998, 64, 2814–2821. [Google Scholar] [CrossRef] [PubMed] [Green Version]
- Wang, C.; Wang, F.; Zhang, Q.; Liang, W. Individual and combined effects of tebuconazole and carbendazim on soil microbial activity. Eur. J. Soil Biol. 2016, 72, 6–13. [Google Scholar] [CrossRef]
- Cycoń, M.; Piotrowska-Seget, Z. Biochemical and microbial soil functioning after application of the insecticide imidacloprid. J. Environ. Sci. 2015, 27, 147–158. [Google Scholar] [CrossRef] [PubMed]
- Mahapatra, B.; Adak, T.; Patil, N.K.; Pandi G, G.P.; Gowda, G.B.; Jambhulkar, N.; Yadav, M.K.; Panneerselvam, P.; Kumar, U.; Munda, S.; et al. Imidacloprid application changes microbial dynamics and enzymes in rice soil. Ecotoxicol. Environ. Saf. 2017, 144, 123–130. [Google Scholar] [CrossRef] [PubMed]
- el Fantroussi, S.; Verschuere, L.; Verstraete, W.; Top, E.M. Effect of Phenylurea Herbicides on Soil Microbial Communities Estimated by Analysis of 16S rRNA Gene Fingerprints and Community-Level Physiological Profiles. Appl. Environ. Microbiol. 1999, 65, 982–988. [Google Scholar] [CrossRef] [PubMed] [Green Version]
- Zhang, R.; Jiang, J.; Gu, J.-D.; Li, S. Long term effect of methylparathion contamination on soil microbial community diversity estimated by 16S rRNA gene cloning. Ecotoxicology 2006, 15, 523–530. [Google Scholar] [CrossRef]
- Wang, X.; Song, M.; Gao, C.; Dong, B.; Zhang, Q.; Fang, H.; Yu, Y. Carbendazim induces a temporary change in soil bacterial community structure. J. Environ. Sci. 2009, 21, 1679–1683. [Google Scholar] [CrossRef]
- Puglisi, E.; Vasileiadis, S.; Demiris, K.; Bassi, D.; Karpouzas, D.G.; Capri, E.; Cocconcelli, P.S.; Trevisan, M. Impact of Fungicides on the Diversity and Function of Non-target Ammonia-Oxidizing Microorganisms Residing in a Litter Soil Cover. Microb. Ecol. 2012, 64, 692–701. [Google Scholar] [CrossRef]
- Karas, P.; Baguelin, C.; Pertile, G.; Papadopoulou, E.; Nikolaki, S.; Storck, V.; Ferrari, F.; Trevisan, M.; Ferrarini, A.; Fornasier, F.; et al. Assessment of the impact of three pesticides on microbial dynamics and functions in a lab-to-field experimental approach. Sci. Total. Environ. 2018, 637-638, 636–646. [Google Scholar] [CrossRef]
- Cycoń, M.; Markowicz, A.; Borymski, S.; Wójcik, M.; Piotrowska-Seget, Z. Imidacloprid induces changes in the structure, genetic diversity and catabolic activity of soil microbial communities. J. Environ. Manag. 2013, 131, 55–65. [Google Scholar] [CrossRef]
- Zhang, P.; Ren, C.; Sun, H.; Min, L. Sorption, desorption and degradation of neonicotinoids in four agricultural soils and their effects on soil microorganisms. Sci. Total Environ. 2018, 615, 59–69. [Google Scholar] [CrossRef]
- Egbe, C.C.; Oyetibo, G.O.; Ilori, M.O. Ecological impact of organochlorine pesticides consortium on autochthonous microbial community in agricultural soil. Ecotoxicol. Environ. Saf. 2021, 207, 111319. [Google Scholar] [CrossRef] [PubMed]
- Fang, H.; Han, L.; Cui, Y.; Xue, Y.; Cai, L.; Yu, Y. Changes in soil microbial community structure and function associated with degradation and resistance of carbendazim and chlortetracycline during repeated treatments. Sci. Total. Environ. 2016, 572, 1203–1212. [Google Scholar] [CrossRef] [PubMed]
- Garg, N.; Bhattacherjee, A.K.; Shukla, P.K.; Singh, B. Influence of imidacloprid on bacterial community diversity of mango orchard soil assessed through 16S rRNA sequencing-based metagenomic analysis. Environ. Monit. Assess. 2021, 193, 1–10. [Google Scholar] [CrossRef] [PubMed]
- Imfeld, G.; Vuilleumier, S. Measuring the effects of pesticides on bacterial communities in soil: A critical review. Eur. J. Soil Biol. 2012, 49, 22–30. [Google Scholar] [CrossRef]
- Martin-Laurent, F.; Kandeler, E.; Petric, I.; Djuric, S.; Karpouzas, D.G. An FP7 European project for developing and evaluating innovative tools for assessing the impact of pesticides on soil functional microbial diversity—towards new pesticide registration regulation? Environ. Sci. Pollut. Res. 2013, 20, 1203–1205. [Google Scholar] [CrossRef] [PubMed]
- OECD. Test No. 217: Soil Microorganisms: Carbon Transformation Test. OECD Guidelines for the Testing of Chemicals 2000. Available online: https://www.oecd-ilibrary.org/environment/test-no-217-soil-microorganisms-carbon-transformation-test_9789264070240-en (accessed on 1 December 2021).
- OECD. Test No. 216: Soil Microorganisms: Nitrogen Transformation Test. OECD Guidelines for the Testing of Chemicals 2000. Available online: https://www.oecd-ilibrary.org/environment/test-no-216-soil-microorganisms-nitrogen-transformation-test_9789264070226-en (accessed on 1 December 2021).
- Regulation (EU) No 283/2013 Data Requirements for Active Substances. Available online: https://eur-lex.europa.eu/legal-content/EN/TXT/PDF/?uri=CELEX%3A32013R0283&from=EN (accessed on 15 July 2021).
- Karpouzas, D.; Kandeler, E.; Bru, D.; Friedel, I.; Auer, Y.; Kramer, S.; Vasileiadis, S.; Petric, I.; Udikovic-Kolic, N.; Djuric, S.; et al. A tiered assessment approach based on standardized methods to estimate the impact of nicosulfuron on the abundance and function of the soil microbial community. Soil Biol. Biochem. 2014, 75, 282–291. [Google Scholar] [CrossRef]
- Riah, W.; Laval, K.; Laroche-Ajzenberg, E.; Mougin, C.; Latour, X.; Trinsoutrot-Gattin, I. Effects of pesticides on soil enzymes: A review. Environ. Chem. Lett. 2014, 12, 257–273. [Google Scholar] [CrossRef]
- Thiour-Mauprivez, C.; Martin-Laurent, F.; Calvayrac, C.; Barthelmebs, L. Effects of herbicide on non-target microorganisms: Towards a new class of biomarkers? Sci. Total. Environ. 2019, 684, 314–325. [Google Scholar] [CrossRef]
- PPDB: Pesticide Properties DataBase. Available online: https://sitem.herts.ac.uk/aeru/ppdb/en/Reports/66.htm (accessed on 15 July 2021).
- Fadrosh, D.W.; Ma, B.; Gajer, P.; Sengamalay, N.; Ott, S.; Brotman, R.M.; Ravel, J. An improved dual-indexing approach for multiplexed 16S rRNA gene sequencing on the Illumina MiSeq platform. Microbiome 2014, 2, 6. [Google Scholar] [CrossRef] [Green Version]
- Mukherjee, P.K.; Chandra, J.; Retuerto, M.; Sikaroodi, M.; Brown, R.E.; Jurevic, R.; Salata, R.A.; Lederman, M.M.; Gillevet, P.M.; Ghannoum, M.A. Oral Mycobiome Analysis of HIV-Infected Patients: Identification of Pichia as an Antagonist of Opportunistic Fungi. PLoS Pathog. 2014, 10, e1003996. [Google Scholar] [CrossRef]
- Quast, C.; Pruesse, E.; Yilmaz, P.; Gerken, J.; Schweer, T.; Yarza, P.; Peplies, J.; Glöckner, F.O. The SILVA ribosomal RNA gene database project: Improved data processing and web-based tools. Nucleic Acids Res. 2013, 41, D590–D596. [Google Scholar] [CrossRef]
- UNITE Community Full UNITE+INSD Dataset for Fungi UNITE Community 2019 (2019) 18.11.2018. Available online: https://unite.ut.ee/ (accessed on 1 December 2021).
- OECD. Test, No. 307: Aerobic and Anaerobic Transformation in Soil. OECD Guidelines for the Testing of Chemicals 2002. Available online: https://www.oecd-ilibrary.org/environment/test-no-307-aerobic-and-anaerobic-transformation-in-soil_9789264070509-en (accessed on 1 December 2021).
- European Food Safety Authority. EFSA Guidance Document for evaluating laboratory and field dissipation studies to obtain DegT50 values of active substances of plant protection products and transformation products of these active substances in soil. EFSA J. 2014, 12.5, 3662. [Google Scholar]
- Kuzyakov, Y.; Blagodatskaya, E. Microbial hotspots and hot moments in soil: Concept & review. Soil Biol. Biochem. 2015, 83, 184–199. [Google Scholar]
- Suhara, H.; Adachi, A.; Kamei, I.; Maekawa, N. Degradation of chlorinated pesticide DDT by litter-decomposing basidiomycetes. Biodegradation 2011, 22, 1075–1086. [Google Scholar] [CrossRef] [PubMed]
- Henn, C.; Arakaki, R.M.; Monteiro, D.A.; Boscolo, M.; Da Silva, R.; Gomes, E. Degradation of the Organochlorinated Herbicide Diuron by Rainforest Basidiomycetes. BioMed Res. Int. 2020, 2020, 5324391. [Google Scholar] [CrossRef] [PubMed]
- Kasuga, K.; Nojiri, H.; Yamane, H.; Kodama, T.; Omori, T. Cloning and characterization of the genes involved in the degradation of dibenzofuran by Terrabacter sp. strain DBF63. J. Ferment. Bioeng. 1997, 84, 387–399. [Google Scholar] [CrossRef]
- Eizuka, T.; Ito, A.; Chida, T. Degradation of Ipconazole by Microorganisms Isolated from Paddy Soil. J. Pestic. Sci. 2003, 28, 200–207. [Google Scholar] [CrossRef] [Green Version]
- Yu, F.B.; Shan, S.D.; Luo, L.P.; Guan, L.B.; Qin, H. Isolation and characterization of aSphingomonassp. strain F-7 degrading fenvalerate and its use in bioremediation of contaminated soil. J. Environ. Sci. Health Part B 2013, 48, 198–207. [Google Scholar] [CrossRef]
- Asaf, S.; Numan, M.; Khan, A.L.; Al-Harrasi, A. Sphingomonas: From diversity and genomics to functional role in environmental remediation and plant growth. Crit. Rev. Biotechnol. 2020, 40, 138–152. [Google Scholar] [CrossRef]





| Active Substances | Chemical Formula | Molecular Weight | Solubility—In Water at 20 °C (mg/L) | Octanol–Water Partition Coefficient at pH 7, 20 °C, log P | Vapor Pressure at 20 °C (mPa) |
|---|---|---|---|---|---|
| Metribuzin | C8H14N4OS | 214.29 | 10,700 | 1.75 | 0.121 |
| Imidacloprid | C9H10ClN5O2 | 255.66 | 610 | 0.57 | 4.0 × 10−7 |
| Benomyl | C14H18N4O3 | 290.32 | 2 | 1.4 | 0.005 |
| Carbendazim | C9H9N3O2 | 191.21 | 8 | 1.48 | 0.09 |
| Parameter | Value |
|---|---|
| Organic matter (%) 0–20 cm | 1.5 ± 0.04 |
| pHwater | 5.6 ± 0.2 |
| Texture class (USDA) 0–25 cm | Silty loam |
| Soil bulk density, g/cm3 | 1.2 ± 0.1 |
| Experiment Option | Individual Application of Pesticides | Mix of Pesticides Application | ||
|---|---|---|---|---|
| Substrate Induction | Sampling Time, Days | Substrate Induction | Sampling Time, Days | |
| control | yes | 14 | yes | 7, 14, 28, 56 |
| control | no | 14 | no | 7, 14, 28, 56 |
| 1-fold | yes | 14 | yes | 7, 14, 28, 56 |
| 1-fold | no | 14 | no | 7, 14, 28, 56 |
| 10-fold | yes | 14 | yes | 7, 14, 28, 56 |
| 10-fold | no | 14 | no | 7, 14, 28, 56 |
| Benomyl (Carbendazim) | Imidacloprid | Metribuzin | |
|---|---|---|---|
| 1-fold −SMM | 86 ± 4 | 104 ± 7 | 41 ± 1 |
| 10-fold −SMM | 52 ± 5 | 57 ± 3 | 20 ± 0.3 |
| 1-fold +SMM | 78 ± 7 | 102 ± 8 | 37 ± 1 |
| 10-fold +SMM | 50 ± 2 | 42 ± 2 | 20 ± 1 |
| Treatment, and Sampling Time, Days | Bacteria −SMM | Bacteria +SMM | ||
|---|---|---|---|---|
| Shannon | Chao1 | Shannon | Chao1 | |
| Control 7 d | 3.17 | 237.5 | 2.98 | 178.8 |
| Mix 1–7 d | 2.98 | 224.6 | 2.04 | 98.0 |
| Mix 10–7 d | 3.35 | 229.1 | 2.24 | 147.8 |
| control 14 d | 3.19 | 164.5 | 2.45 | 140.1 |
| mix 1–14 d | 2.99 | 180.1 | 2.67 | 159.0 |
| mix 10–14 d | 3.12 | 152.4 | 2.28 | 136.6 |
| control 28 d | 3.36 | 169.3 | 2.97 | 195.0 |
| mix 1–28 d | 3.16 | 136.8 | 2.58 | 145.4 |
| mix 10–28 d | 3.31 | 178.5 | 2.61 | 214.3 |
| control 56 d | 3.63 | 172.6 | 3.08 | 222.6 |
| mix 1–56 d | 3.38 | 135.7 | 3.03 | 194.6 |
| mix 10–56 d | 3.40 | 162.0 | 2.39 | 207.9 |
| control 14 d | 3.15 | 170.2 | 3.10 | 180.1 |
| imidacloprid 1–14 d | 2.90 | 119.5 | 2.98 | 143.4 |
| imidacloprid 10–14 d | - | - | 2.96 | 145.3 |
| Benomyl 1–14 d | 3.05 | 100.0 | 2.80 | 151.6 |
| benomyl 10–14 d | 2.93 | 111.1 | 2.52 | 141.4 |
| metribuzin 1–14 d | 2.91 | 103.0 | 3.10 | 177.6 |
| metribuzin 10–14 d | - | - | 2.97 | 149.0 |
| Treatment and Sampling Time, Days | Fungi −SMM | Fungi +SMM | ||
|---|---|---|---|---|
| Shannon | Chao1 | Shannon | Chao1 | |
| control 7 d | 2.60 | 63.0 | 1.43 | 20.0 |
| mix 1–7 d | 1.58 | 31.0 | 1.80 | 36.0 |
| mix 10–7 d | 2.05 | 59.0 | 1.80 | 77.8 |
| control 14 d | 1.68 | 46.0 | 0.33 | 15.0 |
| mix 1–14 d | 2.55 | 59.0 | 0.87 | 28.5 |
| mix 10–14 d | 2.08 | 66.3 | 1.88 | 81.8 |
| control 28 d | 1.98 | 60.0 | 0.20 | 16.0 |
| mix 1–28 d | 2.43 | 52.0 | 1.44 | 30.0 |
| mix 10–28 d | 2.12 | 50.0 | 1.58 | 43.5 |
| control 56 d | 2.47 | 58.0 | 0.35 | 13.0 |
| mix 1–56 d | 1.55 | 38.0 | 0.51 | 15.3 |
| mix 10–56 d | 2.00 | 47.3 | 1.23 | 13.0 |
| control 14 d | 2.30 | 53.0 | 0.98 | 30.0 |
| benomyl 1–14 d | 1.55 | 40.0 | 0.68 | 19.0 |
| benomyl 10–14 d | 2.12 | 68.3 | 2.22 | 59.8 |
| Phylum | Reads (Average) | Mean LogFC | Wilcoxon p | Log2(Fold Change) | |||||||||||||
|---|---|---|---|---|---|---|---|---|---|---|---|---|---|---|---|---|---|
| Mix1_CTRL 7 d | Mix10_CTRL 7 d | Mix1_CTRL 14 d | Mix10_CTRL 14 d | Mix1_CTRL 28 d | Mix10_CTRL 28 d | Mix1_CTRL 56 d | Mix10_CTRL 56 d | Imi1_CTRL 14 d | Imi10_CTRL 14 d | Ben1_CTRL14 d | Ben10_CTRL 14 d | Met1_CTRL 14 d | Met10_CTRL 14 d | ||||
| Without SMM | |||||||||||||||||
| Acidobacteria | 908 | −0.54 | 0.0009 | −0.65 | 0.05 | −0.98 | −0.41 | −0.42 | 0.15 | −0.06 | −0.40 | −0.96 | −0.22 | −0.75 | −0.85 | −0.93 | −0.69 |
| Actinobacteria | 5970 | 0.14 | 0.002 | 0.41 | 0.72 | −0.08 | 0.35 | 0.08 | 0.11 | 0.18 | 0.13 | −0.05 | 0.11 | 0.26 | 0.10 | 0.09 | −0.09 |
| Bacteroidetes | 380 | −0.27 | 0.0009 | −0.69 | −0.31 | 0.01 | −0.10 | −0.13 | 0.08 | −0.29 | −0.29 | −0.57 | −1.24 | −0.04 | −0.26 | −0.26 | −0.39 |
| Chloroflexi | 407 | −0.59 | 0.0009 | −0.41 | 0.20 | −0.89 | −0.39 | −0.31 | −0.03 | −0.09 | −0.35 | −1.03 | −0.12 | −1.17 | −1.46 | −1.11 | −1.51 |
| Myxococcota | 270 | −0.38 | 0.0006 | −0.07 | 0.16 | −0.18 | −0.46 | −0.34 | −0.58 | −0.90 | −0.75 | −0.43 | −1.79 | −0.18 | −0.24 | −0.11 | −0.52 |
| Planctomycetes | 201 | −1.03 | 0.004 | −0.83 | 0.45 | −1.35 | −0.63 | −1.44 | −0.49 | 0.39 | −0.68 | −1.38 | −0.50 | −1.21 | −1.82 | −1.80 | −2.61 |
| Verrucomicrobia | 297 | −0.33 | 0.09 | −0.61 | 0.48 | −1.31 | −0.33 | −0.63 | −0.01 | 0.82 | −0.20 | −1.33 | 0.33 | −1.05 | −1.07 | −1.10 | −1.23 |
| With SMM | |||||||||||||||||
| Actinobacteria | 21,392 | 0.22 | 0.0009 | 0.50 | 0.32 | −0.03 | −0.01 | 0.02 | 0.15 | 0.05 | 0.31 | 0.28 | 0.26 | 0.28 | 0.46 | 0.16 | 0.34 |
| Bacteroidetes | 423 | −0.82 | 0.01 | −2.32 | −1.03 | −0.82 | −1.74 | −1.19 | −1.82 | 0.42 | −0.34 | −0.66 | −0.33 | −0.61 | −0.32 | −0.18 | −1.14 |
| Gemmatimonadetes | 276 | −0.23 | 0.04 | −0.70 | −0.23 | 0.16 | −0.28 | 0.29 | −0.64 | 0.05 | −0.82 | −0.11 | −0.37 | −0.10 | −0.57 | −0.02 | 0.00 |
| Myxococcota | 209 | −0.36 | 0.02 | −1.03 | −0.23 | 0.47 | 0.16 | 0.02 | 0.06 | −0.27 | −1.06 | −0.68 | −0.38 | −0.32 | −1.00 | −0.38 | −0.37 |
| Proteobacteria | 6242 | −0.51 | 0.0002 | −1.76 | −1.36 | 0.04 | −0.31 | −0.30 | −0.75 | −0.07 | −0.97 | −0.44 | −0.33 | −0.38 | −0.69 | −0.22 | −0.73 |
| Genus | Reads (Average) | Mean LogFC | Wilcoxon p | Log2(Fold Change) | |||||||||||||
|---|---|---|---|---|---|---|---|---|---|---|---|---|---|---|---|---|---|
| Mix1_CTRL 7d | Mix10_CTRL 7 d | Mix1_CTRL 14d | Mix10_CTRL 14d | Mix1_CTRL 28d | Mix10_CTRL 28d | Mix1_CTRL 56d | Mix10_CTRL 56d | Imi1_CTRL 14d | Imi10_CTRL 14d | Ben1_CTRL14 d | Ben10_CTRL 14 d | Met1_CTRL 14 d | Met10_CTRL 14 d | ||||
| Without SMM | |||||||||||||||||
| Actinoplanes | 31 | −0.22 | 0.05 | −0.39 | −0.57 | 0.15 | −0.30 | −0.01 | 0.12 | 0.00 | −0.08 | −0.06 | −0.70 | −0.68 | |||
| Allorhizobium–Neorhizobium–Pararhizobium–Rhizobium | 28 | −0.72 | 0.02 | 0.06 | 0.03 | −0.20 | −0.03 | 0.22 | −1.02 | −1.37 | −0.65 | −3.45 | −1.43 | −1.31 | −1.28 | ||
| Arenimonas | 40 | −0.58 | 0.0001 | −0.55 | −0.59 | −0.47 | −0.93 | −0.68 | −1.34 | −0.26 | −0.49 | −0.42 | −0.52 | −1.35 | −0.40 | −0.14 | −0.75 |
| Bradyrhizobium | 383 | −0.19 | 0.004 | −0.03 | 0.17 | −0.28 | −0.21 | −0.31 | −0.23 | −0.50 | −0.40 | 0.07 | −0.19 | −0.19 | −0.15 | 0.00 | −0.28 |
| Bryobacter | 102 | −0.17 | 0.01 | −0.32 | −0.07 | −0.17 | −0.18 | −0.23 | −0.06 | −0.21 | 0.05 | 0.31 | −0.42 | −0.61 | −0.19 | −0.17 | −0.09 |
| Burkholderia–Caballeronia–Paraburkholderia | 185 | 0.20 | 0.009 | −0.11 | 0.05 | 0.03 | 0.16 | 0.41 | 0.31 | −0.14 | 0.51 | 0.04 | 0.49 | 0.43 | 0.41 | 0.07 | 0.13 |
| Candidatus Solibacter | 20 | −0.59 | 0.03 | −0.52 | −0.58 | −0.51 | −0.81 | −0.64 | −0.46 | ||||||||
| Catenulispora | 43 | 0.45 | 0.0007 | 0.52 | 0.50 | 0.23 | 0.08 | 0.55 | 0.39 | 0.38 | 0.24 | −0.29 | 0.42 | 1.33 | 0.90 | 0.68 | |
| Cohnella | 20 | −0.45 | 0.03 | 0.48 | −0.71 | −0.59 | −1.07 | −0.61 | −0.32 | −0.41 | −0.40 | −0.39 | −0.15 | ||||
| Ellin6067 | 126 | −0.30 | 0.02 | −0.44 | −0.60 | −0.50 | −0.64 | −0.14 | −0.23 | −0.45 | −0.75 | 0.26 | 0.36 | −0.38 | 0.08 | −0.27 | −0.04 |
| Gaiella | 50 | −0.31 | 0.003 | −0.04 | 0.16 | −0.03 | −0.35 | −0.16 | −0.17 | −0.74 | −0.77 | −0.02 | −2.82 | −0.21 | −2.82 | −0.25 | −0.33 |
| Haliangium | 132 | −0.40 | 0.002 | −0.20 | −0.10 | −0.10 | −0.61 | −0.12 | −0.93 | −0.90 | −0.97 | −0.36 | −4.08 | −0.40 | −0.13 | 0.24 | −0.23 |
| Hyphomicrobium | 126 | −0.36 | 0.02 | −0.44 | −0.21 | −0.05 | −0.04 | −0.29 | −0.55 | −1.16 | −0.53 | 0.40 | −3.92 | −0.20 | −0.45 | −0.84 | 0.68 |
| Janthinobacterium | 19 | −0.81 | 0.03 | −1.47 | −1.25 | −0.30 | −0.55 | −0.86 | −0.42 | ||||||||
| Kitasatospora | 464 | 1.03 | 0.0001 | 1.11 | 1.73 | 1.20 | 1.35 | 0.63 | 0.70 | 1.09 | 1.03 | 0.93 | 1.03 | 1.40 | 0.90 | 1.01 | 0.63 |
| Marmoricola | 45 | 0.91 | 0.01 | 0.64 | 1.12 | 1.30 | 0.89 | 0.07 | −0.94 | 1.12 | 1.36 | 1.30 | 1.23 | 0.54 | |||
| Massilia | 953 | −0.12 | 0.02 | −0.59 | −0.61 | −0.04 | −0.26 | 0.01 | −0.09 | −0.21 | 0.03 | −0.34 | 0.00 | −0.20 | 0.07 | −0.12 | 0.07 |
| Mycobacterium | 570 | −0.22 | 0.001 | −0.13 | 0.12 | 0.02 | −0.11 | −0.34 | −0.21 | −0.45 | −0.32 | −0.21 | −0.43 | −0.01 | −0.28 | −0.12 | −0.58 |
| Occallatibacter | 39 | −0.73 | 0.005 | −0.43 | 0.13 | −1.57 | −0.49 | −0.72 | −0.17 | −0.59 | −0.62 | −1.03 | 0.70 | −1.73 | −1.07 | −0.61 | −1.74 |
| Paenisporosarcina | 393 | 0.35 | 0.002 | 0.54 | 1.31 | 0.51 | 0.61 | 0.19 | 0.61 | −0.22 | 0.20 | 0.40 | −0.08 | 0.54 | 0.27 | 0.23 | 0.04 |
| Phycicoccus | 154 | 0.39 | 0.01 | 0.67 | 0.97 | −0.40 | 0.34 | 0.32 | 0.74 | 0.72 | 0.14 | −0.38 | 1.38 | 0.47 | 0.03 | 0.14 | 0.30 |
| Ramlibacter | 289 | 0.25 | 0.02 | −0.51 | −0.34 | −0.01 | 0.02 | 0.52 | 0.11 | 0.51 | 0.10 | 0.11 | 0.42 | 0.41 | 0.34 | 0.50 | 0.50 |
| Sphingomonas | 2893 | 0.16 | 0.001 | 0.10 | 0.00 | 0.17 | 0.27 | 0.01 | 0.02 | −0.09 | 0.09 | 0.30 | 0.28 | 0.13 | 0.46 | 0.36 | 0.26 |
| Streptacidiphilus | 55 | 0.65 | 0.0005 | 0.30 | 0.79 | 0.26 | 0.54 | 0.79 | 0.25 | 0.69 | 0.96 | 0.83 | 1.22 | 0.84 | 0.47 | ||
| Streptomyces | 325 | 0.74 | 0.0001 | 1.33 | 1.69 | 0.34 | 0.91 | 0.53 | 0.76 | 0.13 | 0.58 | 0.65 | 0.55 | 1.14 | 0.75 | 0.72 | 0.77 |
| Terrabacter | 592 | 0.62 | 0.0009 | 0.67 | 0.92 | −0.34 | 1.12 | 0.51 | 1.20 | 1.03 | 0.58 | −0.10 | 1.09 | 0.31 | 0.35 | 0.19 | 0.54 |
| Terracidiphilus | 48 | −0.52 | 0.05 | −0.77 | −0.17 | −0.96 | 0.08 | −0.28 | 0.53 | 0.61 | −0.20 | −1.38 | −3.53 | −0.32 | −1.22 | −3.53 | 0.06 |
| Thermomonas | 6779 | 0.12 | 0.05 | 0.19 | −0.33 | 0.29 | 0.00 | 0.16 | 0.06 | 0.35 | 0.42 | 0.20 | −0.12 | −0.02 | 0.09 | 0.06 | 0.20 |
| Xylophilus | 31 | 0.17 | 0.01 | 0.27 | 0.30 | 0.43 | 0.06 | 0.12 | −0.06 | 0.19 | 0.29 | −0.02 | 0.13 | ||||
| With SMM | |||||||||||||||||
| Aminobacter | 58 | −0.33 | 0.05 | −1.39 | −0.87 | −0.10 | −0.25 | 0.73 | −0.45 | 0.16 | 0.01 | −0.48 | −0.47 | −0.28 | −0.01 | −0.46 | −0.81 |
| Arachidicoccus | 17 | −2.78 | 0.008 | −0.08 | −1.06 | −4.13 | −3.34 | −1.71 | −3.34 | −3.34 | −3.34 | −3.34 | |||||
| Bradyrhizobium | 318 | −0.28 | 0.02 | −0.78 | −0.50 | 0.63 | −0.14 | 0.10 | −0.89 | 0.07 | −0.88 | −0.23 | −0.17 | −0.09 | −0.60 | −0.15 | −0.25 |
| Bryobacter | 32 | −0.50 | 0.01 | −0.90 | −1.03 | 0.62 | −0.45 | 0.24 | −0.43 | −0.26 | −1.53 | −0.91 | −0.07 | −0.65 | −1.90 | −0.22 | −0.08 |
| Burkholderia–Caballeronia–Paraburkholderia | 109 | −0.31 | 0.02 | −0.74 | −0.79 | 0.26 | −0.61 | −0.19 | −1.00 | 0.07 | −1.72 | 0.02 | −0.24 | 0.18 | −0.05 | −0.08 | −0.44 |
| Catenulispora | 25 | −0.55 | 0.04 | 0.84 | −0.01 | −1.46 | −0.34 | −0.59 | −0.72 | −0.44 | −1.17 | ||||||
| Conexibacter | 56 | −0.29 | 0.03 | −0.24 | −0.23 | −0.12 | −0.56 | −0.39 | −0.40 | −0.58 | −1.30 | −0.28 | 0.03 | −0.13 | −0.64 | 0.26 | 0.51 |
| Devosia | 56 | −0.55 | 0.01 | −1.02 | −0.99 | 0.08 | −0.21 | −1.29 | −0.73 | 0.59 | −0.84 | −0.59 | −0.32 | −0.26 | −0.24 | −0.26 | −1.23 |
| Dyella | 862 | −1.35 | 0.0001 | −4.42 | −4.79 | −0.08 | −1.56 | −2.15 | −2.79 | −0.92 | −3.78 | −0.51 | −0.10 | −0.28 | −0.67 | 0.00 | −0.76 |
| Edaphobacter | 15 | 0.51 | 0.03 | 1.78 | 0.41 | 0.17 | 0.06 | 0.36 | 0.31 | ||||||||
| Frateuria | 504 | −1.31 | 0.001 | −6.47 | −6.47 | −0.03 | −1.47 | −2.01 | −1.96 | −0.48 | −3.50 | −0.74 | −0.43 | −0.41 | −0.72 | −0.41 | −1.34 |
| Gemmatimonas | 191 | −0.21 | 0.05 | −0.91 | −0.21 | 0.24 | −0.27 | 0.36 | −0.54 | −0.03 | −0.70 | −0.11 | −0.43 | −0.03 | −0.50 | −0.07 | 0.04 |
| Hyphomicrobium | 93 | −0.46 | 0.02 | −1.06 | −0.88 | 0.28 | −0.11 | 0.52 | −0.22 | −0.62 | −1.00 | −0.95 | −0.32 | −0.39 | −1.07 | 0.17 | −0.24 |
| Janibacter | 30 | 0.84 | 0.02 | 3.37 | −0.05 | −0.31 | 0.76 | 0.51 | 1.97 | 0.86 | 0.86 | 0.98 | |||||
| Jatrophihabitans | 63 | −0.93 | 0.002 | −3.74 | −0.59 | 0.18 | −3.61 | −1.04 | −0.53 | −2.12 | −0.54 | 0.08 | −0.72 | −0.43 | −0.02 | −0.71 | |
| Kribbella | 246 | −0.97 | 0.02 | −2.32 | −3.47 | −0.99 | −0.62 | −6.59 | −1.41 | 0.90 | −2.41 | −0.67 | −0.10 | 0.10 | 0.08 | −0.38 | −0.90 |
| Leifsonia | 171 | 0.22 | 0.02 | 0.19 | 0.54 | 0.24 | 0.88 | 0.18 | 0.20 | 0.21 | 0.96 | 0.08 | 0.22 | 0.00 | −0.16 | 0.29 | −0.46 |
| Luteimonas | 33 | −0.48 | 0.006 | −1.12 | −0.09 | 0.12 | −0.60 | −1.31 | −0.84 | −1.98 | −0.55 | 0.06 | −0.40 | −0.34 | 0.13 | −0.18 | |
| Marmoricola | 33 | −0.62 | 0.05 | −3.44 | −0.10 | −0.70 | −0.39 | −0.45 | 0.02 | 0.37 | −2.12 | −0.34 | −0.86 | ||||
| Mycobacterium | 841 | −0.29 | 0.009 | −0.75 | −0.08 | 0.19 | −0.28 | −0.33 | −0.61 | 0.17 | −1.16 | −0.24 | −0.12 | −0.42 | −0.47 | −0.06 | −0.29 |
| Nakamurella | 154 | −0.42 | 0.02 | −0.79 | −0.73 | 0.63 | −0.42 | −0.70 | −0.99 | −0.40 | −1.24 | −0.04 | −0.03 | −0.27 | −0.48 | 0.30 | −0.32 |
| Ochrobactrum | 49 | 0.50 | 0.05 | 0.36 | 0.11 | −0.80 | 0.81 | 0.01 | 0.69 | 1.04 | 1.57 | ||||||
| Paenarthrobacter | 62 | 0.44 | 0.05 | 1.47 | 0.89 | 0.55 | −0.10 | 0.95 | 0.85 | −0.90 | −0.85 | 0.74 | 0.36 | 0.25 | −0.24 | 0.17 | 1.36 |
| Paenisporosarcina | 278 | −0.28 | 0.01 | −1.92 | −1.69 | 0.71 | −0.11 | 0.03 | −0.64 | −0.54 | 0.23 | −0.16 | −0.22 | −0.09 | −0.36 | −0.03 | −0.67 |
| Pseudolabrys | 102 | −0.24 | 0.05 | −0.97 | −0.37 | 0.30 | −0.36 | 0.49 | −0.35 | −0.22 | −0.89 | −0.12 | −0.12 | −0.10 | −0.49 | −0.18 | −0.12 |
| Ramlibacter | 38 | −0.25 | 0.05 | −2.88 | −0.19 | 0.54 | −0.01 | 0.38 | −0.52 | −0.02 | −0.32 | −0.62 | −0.64 | −0.38 | −0.14 | ||
| Sphingomonas | 1073 | −1.08 | 0.0006 | −2.92 | −2.62 | 0.22 | −0.40 | −1.37 | −2.12 | 0.18 | −2.61 | −0.52 | −0.48 | −0.57 | −1.12 | −0.38 | −1.19 |
| Thermomonas | 228 | −0.64 | 0.004 | −2.54 | −2.72 | 0.22 | −0.18 | 0.22 | −0.53 | −0.16 | −0.26 | −0.55 | −0.77 | −0.81 | −1.27 | −0.30 | −1.61 |
| Phylum | Reads (Average) | Mean LogFC | Wilcoxon p | Log2(Fold Change) | |||||||||
|---|---|---|---|---|---|---|---|---|---|---|---|---|---|
| Mix1_CTRL 7 d | Mix10_CTRL 7 d | Mix1_CTRL 14 d | Mix10_CTRL 14 d | Mix1_CTRL 28 d | Mix10_CTRL 28 d | Mix1_CTRL 56 d | Mix10_CTRL 56 d | Ben1_CTRL14 d | Ben10_CTRL 14 d | ||||
| Without SMM | |||||||||||||
| Ascomycota | 11,935 | −0.49 | 0.02 | −0.73 | −0.59 | 0.34 | −0.67 | 0.04 | −0.55 | −1.05 | −0.71 | −0.31 | −0.43 |
| With SMM | |||||||||||||
| Ascomycota | 27,377 | −0.46 | 0.004 | −0.46 | −1.70 | −0.14 | −1.16 | −0.04 | −0.70 | −0.03 | 0.00 | −0.11 | −1.06 |
| Basidiomycota | 5978 | 2.77 | 0.004 | 1.67 | 3.12 | 3.22 | 5.66 | 2.53 | 6.12 | 1.90 | −1.26 | 0.27 | 3.77 |
| Mucoromycota | 136 | 2.09 | 0.05 | 0.38 | 3.64 | 1.93 | 4.56 | 1.37 | 3.16 | −1.94 | 2.05 | ||
| Genus | Reads (Average) | Mean LogFC | Wilcoxon p | Log2(Fold Change) | |||||||||
|---|---|---|---|---|---|---|---|---|---|---|---|---|---|
| Mix1_CTRL 7d | Mix10_CTRL 7 d | Mix1_CTRL 14d | Mix10_CTRL 14d | Mix1_CTRL 28d | Mix10_CTRL 28d | Mix1_CTRL 56d | Mix10_CTRL 56d | Ben1_CTRL14 d | Ben10_CTRL 14 d | ||||
| Without SMM | |||||||||||||
| Acremonium | 139 | −0.87 | 0.002 | −0.67 | −0.33 | −1.03 | −0.06 | −1.71 | −0.62 | −0.90 | −0.81 | −1.21 | −1.36 |
| Apiotrichum | 6385 | 1.30 | 0.010 | 1.73 | 1.96 | −0.22 | 1.59 | −0.10 | 1.34 | 1.74 | 2.05 | 0.79 | 1.35 |
| Didymella | 150 | −1.02 | 0.04 | −0.81 | −1.96 | −2.51 | −1.31 | −1.19 | 0.36 | 0.44 | −0.77 | −4.43 | 0.02 |
| Gibberella | 23 | −2.20 | 0.05 | −0.11 | −3.21 | −3.17 | −3.17 | −1.33 | −3.67 | 2.77 | |||
| Plectosphaerella | 1171 | −0.40 | 0.03 | −0.62 | −0.89 | −0.69 | −0.18 | −0.05 | −0.23 | 0.11 | 0.48 | −1.51 | −0.64 |
| Trichocladium | 232 | −1.29 | 0.05 | −3.10 | −2.23 | 1.53 | 0.37 | 0.81 | −1.20 | −1.95 | −1.53 | −2.96 | −1.65 |
| With SMM | |||||||||||||
| Acremonium | 49 | 3.15 | 0.02 | 3.98 | 4.17 | 2.26 | 3.15 | 2.38 | 3.70 | −0.75 | 3.43 | ||
| Apiotrichum | 4627 | 3.11 | 0.004 | 1.60 | 3.15 | 3.54 | 6.04 | 2.62 | 6.38 | 2.07 | −1.83 | 0.91 | 4.95 |
| Candida | 204 | 1.48 | 0.05 | −0.51 | 0.87 | 2.10 | 4.12 | 1.71 | 3.73 | 0.25 | −0.85 | 2.19 | |
| Cephalotrichum | 1346 | 4.80 | 0.006 | 5.44 | 5.09 | −3.53 | 6.09 | 6.55 | 10.74 | 2.95 | 3.50 | 2.92 | 5.89 |
| Didymella | 93 | 3.57 | 0.03 | 2.33 | 4.50 | 2.81 | 5.40 | 4.46 | 1.94 | ||||
| Fusicolla | 82 | 3.61 | 0.02 | 2.86 | 5.17 | 3.48 | 4.04 | 4.73 | 5.50 | −3.33 | 1.37 | ||
| Gamsia | 961 | 7.60 | 0.03 | 4.83 | 5.06 | 8.54 | 9.45 | 8.85 | 8.88 | ||||
| Holtermanniella | 77 | 1.78 | 0.02 | 1.37 | 1.29 | 2.14 | 2.73 | 3.47 | 0.66 | 1.38 | |||
| Humicola | 13,471 | −3.86 | 0.03 | 0.27 | −5.24 | −0.39 | −7.64 | −2.79 | −8.08 | −0.01 | −8.96 | 0.77 | −6.99 |
| Metarhizium | 183 | 1.99 | 0.02 | 1.37 | 0.95 | 0.92 | 2.76 | 3.93 | 0.32 | 4.70 | |||
| Mortierella | 134 | 2.08 | 0.05 | 0.38 | 3.61 | 1.93 | 4.51 | 1.37 | 3.16 | −1.94 | 2.02 | ||
| Plectosphaerella | 274 | 1.90 | 0.02 | 2.91 | −0.53 | 2.32 | 1.24 | 2.30 | 2.01 | 6.71 | 0.12 | 2.43 | |
| Saitozyma | 828 | 2.05 | 0.01 | 1.74 | 2.83 | 1.95 | 3.96 | 2.08 | 4.35 | 1.20 | −0.02 | −0.22 | 2.67 |
| Solicoccozyma | 224 | 1.94 | 0.04 | 0.31 | 3.77 | 1.93 | 4.19 | 1.60 | 3.17 | 0.00 | −1.80 | 2.81 | |
Publisher’s Note: MDPI stays neutral with regard to jurisdictional claims in published maps and institutional affiliations. |
© 2022 by the authors. Licensee MDPI, Basel, Switzerland. This article is an open access article distributed under the terms and conditions of the Creative Commons Attribution (CC BY) license (https://creativecommons.org/licenses/by/4.0/).
Share and Cite
Streletskii, R.; Astaykina, A.; Krasnov, G.; Gorbatov, V. Changes in Bacterial and Fungal Community of Soil under Treatment of Pesticides. Agronomy 2022, 12, 124. https://doi.org/10.3390/agronomy12010124
Streletskii R, Astaykina A, Krasnov G, Gorbatov V. Changes in Bacterial and Fungal Community of Soil under Treatment of Pesticides. Agronomy. 2022; 12(1):124. https://doi.org/10.3390/agronomy12010124
Chicago/Turabian StyleStreletskii, Rostislav, Angelika Astaykina, George Krasnov, and Victor Gorbatov. 2022. "Changes in Bacterial and Fungal Community of Soil under Treatment of Pesticides" Agronomy 12, no. 1: 124. https://doi.org/10.3390/agronomy12010124
APA StyleStreletskii, R., Astaykina, A., Krasnov, G., & Gorbatov, V. (2022). Changes in Bacterial and Fungal Community of Soil under Treatment of Pesticides. Agronomy, 12(1), 124. https://doi.org/10.3390/agronomy12010124

