Genotype by Environment Interaction Effect on Grain Iron and Zinc Concentration of Indian and Mediterranean Lentil Genotypes
Abstract
1. Introduction
2. Materials and Methods
2.1. Plant Material and Field Experimentation
2.2. Grain Iron and Zinc Analysis
2.3. Statistical Analysis
MASI = √ (∑PCn2 X θn2)
n = 1
MASV = √∑(SSIPCn/SSIPCn + 1 X PCn)2 + (PCN′)2
n = 1
3. Results
3.1. Mean Performance of Genotypes
3.2. Pooled Analysis of Variance
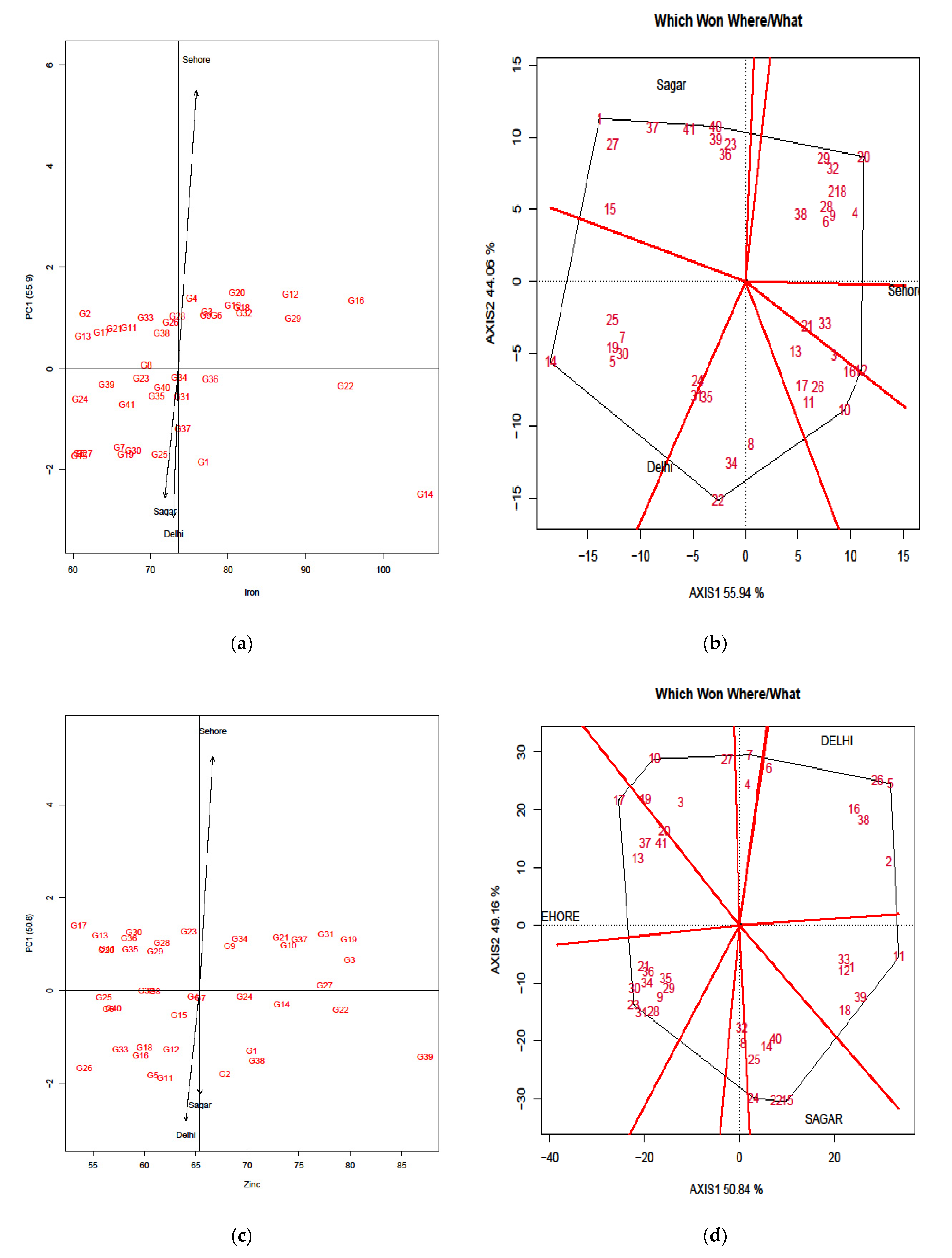
3.3. AMMI Aanalysis
3.4. Stability Analysis Using MASI and GSI
4. Discussion
5. Conclusions
Supplementary Materials
Author Contributions
Funding
Institutional Review Board Statement
Informed Consent Statement
Data Availability Statement
Acknowledgments
Conflicts of Interest
References
- Taleb, M.H.; Khodambashi, M.; Karimi, M. Study of physical and nutritional quality properties in segregating generations of lentil cross. Int. J. Agric. Crop Sci. 2013, 5, 2740–2742. [Google Scholar]
- Gupta, S.; Singh, A.; Dikshit, H.K.; Aski, M.; Mishra, G.P.; Kumar, J. Assessment of total phenol content, total flavonoid content and anti-oxidant capacity in exotic lentil germplasm. Chem. Sci. Rev. Lett. 2018, 7, 459–463. [Google Scholar]
- Khazaei, H.; Subedi, M.; Nickerson, M.; Martínez-Villaluenga, C.; Frias, J.; Vandenberg, A. Seed protein of lentils: Current status, progress, and food applications. Foods 2019, 8, 391. [Google Scholar] [CrossRef]
- FAOSTAT. Available online: http://www.fao.org/faostat/en/#data/QC (accessed on 5 June 2021).
- Thavarajah, D.; Thavarajah, P.; Sarker, A.; Vandenberg, A. Lentils (Lens culinaris Medikus subspecies culinaris): A whole food for increased iron and zinc intake. J. Agric. Food Chem. 2009, 57, 5413–5419. [Google Scholar] [CrossRef] [PubMed]
- Kumar, J.; Thavarajah, D.; Kumar, S.; Sarker, A.; Singh, N.P. Analysis of genetic variability and genotype × environment interactions for iron and zinc content among diverse genotypes of lentil. J. Food Sci. Technol. 2018, 55, 3592–3605. [Google Scholar] [CrossRef] [PubMed]
- Ozer, S.; Karakoy, T.; Toklu, F.; Baloch, F.S.; Kilian, B.; Ozkan, H. Nutritional and physicochemical variation in Turkish kabuli chickpea (Cicer arietinum L.) landraces. Euphytica 2010, 175, 237–249. [Google Scholar] [CrossRef]
- Singh, A.; Sharma, V.; Meena, J.; Gupta, S.; Dikshit, H.K.; Aski, M.; Mishra, G.P.; Sarker, A. Genetic variability for grain iron and zinc concentration in lentil. Chem. Sci. Rev. Lett. 2017, 6, 1327–1332. [Google Scholar]
- Gonmei, Z.; Toteja, G.S. Micronutrient status of Indian population. Indian J. Med. Res. 2018, 148, 511–521. [Google Scholar] [CrossRef] [PubMed]
- Fava, C.; Piepoli, M.; Villani, G.Q. Heart failure and iron deficiency. J. Ital. Cardiol. 2019, 20, 126–135. [Google Scholar]
- Ning, S.; Zeller, M.P. Management of iron deficiency. Hematology 2019, 1, 315–322. [Google Scholar] [CrossRef]
- Cappellini, M.D.; Musallam, K.M.; Taher, A.T. Iron deficiency anaemia revisited. J. Intern. Med. 2019, 287, 153–170. [Google Scholar] [CrossRef]
- Jamnok, J.; Sanchaisuriya, K.; Sanchaisuriya, P.; Fucharoen, G.; Fucharoen, S.; Ahmed, F. Factors associated with anaemia and iron deficiency among women of reproductive age in Northeast Thailand: A cross-sectional study. BMC Public Health 2020, 20, 102. [Google Scholar] [CrossRef]
- Gupta, S.; Brazier, A.K.M.; Lowe, N.M. Zinc deficiency in low- and middle-income countries: Prevalence and approaches for mitigation. J. Hum. Nutri. Diet. 2020, 33, 624–643. [Google Scholar] [CrossRef]
- Grüngreiff, K.; Gottstein, T.; Reinhold, D. Zinc deficiency-an independent risk factor in the pathogenesis of haemorrhagic stroke? Nutrients 2020, 12, 3548. [Google Scholar] [CrossRef]
- Chasapis, C.T.; Ntoupa, P.A.; Spiliopoulou, C.A.; Stefanodou, M.E. Recent aspects of the effects of zinc on human health. Arch. Toxicol. 2020, 94, 1443–1460. [Google Scholar] [CrossRef] [PubMed]
- Garg, M.; Sharma, N.; Sharma, S.; Kapoor, P.; Kumar, A.; Chunduri, V.; Arora, P. Biofortified crops generated by breeding, agronomy, and transgenic approaches are improving lives of millions of people around the world. Front. Nutr. 2018, 5, 12. [Google Scholar] [CrossRef] [PubMed]
- Thavarajah, D.; Thavarajah, P.; Wejesuriya, A.; Rutzke, M.; Glahn, R.P.; Combs, J.G.F.; Vandenberg, A. The potential of lentil (Lens culinaris L.) as a whole food for increased selenium, iron, and zinc intake: Preliminary results from a 3-year study. Euphytica 2011, 180, 123–128. [Google Scholar] [CrossRef]
- Vandemark, G.J.; Grusak, M.A.; McGee, R.J. Mineral concentrations of chickpea and lentil cultivars and breeding lines grown in the U.S. Pacific Northwest. Crop J. 2018, 6, 253–262. [Google Scholar] [CrossRef]
- Sen Gupta, D.; Thavarajah, D.; Thavarajah, P.; McGee, R.; Coyne, C.J.; Kumar, S. Lentils (Lens culinaris L.), a rich source of folates. J. Agric. Food Chem. 2013, 61, 7794–7799. [Google Scholar] [CrossRef]
- Inabangan-Asilo, M.A.; Swamy, B.P.M.; Amparado, A.F.; Descalsota-Empleo, G.I.L.; Arocena, E.C.; Reinke, R. Stability and G × E analysis of zinc-biofortified rice genotypes evaluated in diverse environments. Euphytica 2019, 215, 61. [Google Scholar] [CrossRef]
- Ebdon, J.S.; Gauch, H.G. Additive main effect and multiplicative interaction analysis of national turf grass performance trials I. Interpretation of genotype x environment interaction. Crop Sci. 2002, 42, 489–496. [Google Scholar]
- Ebdon, J.S.; Gauch, H.G. Additive main effect and multiplicative interaction analysis of national turfgrass performance trials II. Cultivar recommendations. Crop Sci. 2002, 42, 497–506. [Google Scholar] [CrossRef]
- Singh, D.; Chonkar, P.K.; Dwivedi, B.S. Manual on Soil, Plant and Water Analysis; Westville Publishers: New Delhi, India, 2005. [Google Scholar]
- Zobel, R.W.; Wright, M.J.; Gauch, H.G. Statistical analysis of a yield trial. Agron. J. 1988, 80, 388–393. [Google Scholar] [CrossRef]
- Ajay, B.C.; Aravind, J.; Fiyaz, A.R. Ammistability: R package for ranking genotypes based on stability parameters derived from AMMI model. Indian J. Genet. Plant Breed. 2019, 79, 460–466. [Google Scholar] [CrossRef]
- Ajay, B.C.; Aravind, J.; Fiyaz, A.R.; Kumar, N.; Lal, C.; Gangadhar, K.; Kona, P.; Dagla, M.C.; Bera, S.K. Rectification of modified AMMI stability value (MASV). Indian J. Genet. Plant Breed. 2019, 79, 726–731. [Google Scholar]
- Farshadfar, E. Incorporation of AMMI stability value and grain yield in a single non-parametric index (GSI) in bread wheat. Pak. J. Biol. Sci. 2008, 11, 1791–1796. [Google Scholar] [CrossRef] [PubMed]
- Yan, W.; Kang, M.S. GGE Biplot Analysis: A Graphical Tool for Breeders, Geneticists, and Agronomists; CRC Press: Boca Raton, FL, USA, 2003. [Google Scholar]
- Joshi, A.K.; Chand, R.; Trethowan, R.; Vargas, M.; Ortiz-Monasterio, I. Genotype × environment interaction for zinc and iron concentration of wheat grain in eastern Gangetic plains of India. Field Crop. Res. 2010, 116, 268–277. [Google Scholar] [CrossRef]
- Gomez-Becerra, H.F.; Erdem, H.; Yazici, A.; Tutus, Y.; Torun, B.; Ozturk, L.; Cakmak, I. Grain concentrations of protein and mineral nutrients in a large collection of spelt wheat grown under different environments. J. Cereal Sci. 2010, 52, 342–349. [Google Scholar] [CrossRef]
- Gomez-Becerra, H.F.; Yazici, A.; Ozturk, L.; Budak, H.; Peleg, Z.; Morgounov, A.; Fahima, T.; Saranga, Y.; Cakmak, I. Genetic variation and environmental stability of grain mineral nutrient concentrations in Triticum dicoccoides under five environments. Euphytica 2010, 171, 39–52. [Google Scholar] [CrossRef]
- Chakraborti, M.; Prasanna, B.M.; Hossain, F.; Mazumdar, S.; Singh, A.M.; Guleria, S.; Gupta, H.S. Identification of kernel iron-and zinc-rich maize inbreds and analysis of genetic diversity using microsatellite markers. J. Plant Biochem. Biotechnol. 2011, 20, 224–233. [Google Scholar] [CrossRef]
- Agrawal, P.K.; Jaiswal, S.K.; Prasanna, B.M.; Hossain, F.; Saha, S.; Guleria, S.K.; Gupta, H.S. Genetic variability and stability for kernel iron and zinc concentration in maize (Zea mays L.) genotypes. Indian J. Genet. Plant Breed. 2012, 72, 421–428. [Google Scholar]
- Singhal, T.; Satyavathi, C.T.; Kumar, A.; Sankar, S.M.; Singh, S.P.; Bharadwaj, C.; Aravind, J.; Anuradha, N.; Meena, M.C.; Singh, N. Genotype x environment interaction.and genetic association of grain iron and zinc content with other agronomic traits in RIL population of pearl millet. Crop Pasture Sci. 2018, 69, 1092–1102. [Google Scholar] [CrossRef]
- Gauch, H.G. A simple protocol for AMMI analysis of yield trials. Crop Sci. 2013, 53, 1860–1869. [Google Scholar] [CrossRef]
- Gollob, H.F. A statistical model which combines features of factor analytic and analysis of variance techniques. Psychometrika 1968, 33, 73–115. [Google Scholar] [CrossRef] [PubMed]
- Purchase, J.L. Parametric Analysis to Describe Genotype × Environment Interaction and Yield Stability in Winter Wheat. Ph.D. Thesis, Department of Agronomy, Faculty of Agriculture, University of the Free State, Bloemfontein, South Africa, 1997. [Google Scholar]
- Purchase, J.L.; Hatting, H.; Van Deventer, C.S. Genotype × environment interaction of winter wheat (Triticum aestivum L.) in South Africa: II. Stability analysis of yield performance. S. Afr. J. Plant Soil. 2000, 17, 101–107. [Google Scholar] [CrossRef]
- Zali, H.; Farshadfar, E.; Sabaghpour, S.H.; Karimizadeh, R. Evaluation of genotype × environment interaction in chickpea using measures of stability from AMMI model. Ann. Biol. Res. 2012, 3, 3126–3313. [Google Scholar]
- Singh, A.; Sharma, V.; Dikshit, H.K.; Aski, M.; Kumar, H.; Thirunavukkarasu, N.; Patil, B.S.; Kumar, S.; Sarker, A. Association mapping unveils favorable alleles for grain iron and zinc concentrations in lentil (Lens culinaris subsp. culinaris). PLoS ONE 2017, 12, e0188296. [Google Scholar] [CrossRef] [PubMed]
- Kumar, H.; Singh, A.; Dikshit, H.K.; Mishra, G.P.; Aski, M.; Meena, M.C.; Kumar, S. Genetic dissection of grain iron and zinc concentrations in lentil (Lens culinaris Medik.). J. Genet. 2019, 98, 66–78. [Google Scholar] [CrossRef]
- Phuke, R.M.; Anuradha, K.; Radhika, K.; Jabeen, F.; Anuradha, G.; Ramesh, T.; Hariprasanna, K.; Mehtre, S.P.; Deshpande, S.P.; Anil, G.; et al. Genetic variability, genotype x environment interaction, correlation, and GGE biplot analysis for grain iron and zinc concentration and other agronomic traits in RIL population of sorghum (Sorghum bicolor L. Moench). Front. Plant Sci. 2017, 8, 712. [Google Scholar] [CrossRef]
- Anuradha, N.; Satyavathi, C.T.; Meena, M.C.; Sankar, S.M.; Bharadwaj, C.; Bhat, J.; Singh, O.; Singh, S.P. Evaluation of pearl millet [Pennisetumg laucum (L.) R. Br.] for grain iron and zinc content in different agro climatic zones of India. Indian J. Genet. Plant Breed. 2017, 77, 65–73. [Google Scholar] [CrossRef]
- Ray, H.; Bett, K.; Tar’an, B.; Vandenberg, A.; Thavarajah, D.; Warkentin, T.D. Mineral micronutrient content of cultivars of field pea, chickpea, common bean, and lentil grown in Saskatchewan, Canada. Crop Sci. 2014, 54, 1698–1708. [Google Scholar] [CrossRef]
- Kumar, H. Stability Analysis and Association Mapping of Grain Micronutrients (Fe and Zn) in Lentil (Lens culinaris Medikus subsp. culinaris). Ph.D. Thesis, IARI, New Delhi, India, 2015. [Google Scholar]
- Purchase, J.L.; Hatting, H.; van Deventer, C.S. The use of the AMMI model and AMMI stability value to describe genotype x environment interaction and yield stability in winter wheat (Triticum aestivum L.). In Proceedings of the 10th Regional Wheat Workshop for Eastern, Central and Southern Africa, University of Stellenbosch, Stellenbosch, South Africa, 14–18 September 1998. [Google Scholar]
- Mallikarjuna, M.G.; Thirunavukkarasu, N.; Hossain, F.; Bhat, J.S.; Jha, S.K.; Rathore, A.; Agrawal, P.K.; Pattanayak, A.; Reddy, S.S.; Gularia, S.K.; et al. Stability performance of inductively coupled plasma mass spectrometry-phenotyped kernel minerals concentration and grain yield in maize in different agro-climatic zones. PLoS ONE 2015, 10, e0139067. [Google Scholar] [CrossRef][Green Version]
- Karimizadeh, R.; Mohammadi, M.; Shefazadeh, M.K.; Mahmoodi, A.A.; Rostami, B.; Karimpour, F. Relationship among and repeatability of ten stability indices for grain yield of food lentil genotypes in Iran. Turk. J. Field Crop. 2017, 17, 51–61. [Google Scholar]
- Ajay, B.C.; Bera, S.K.; Singh, A.L.; Kumar, N.; Gangadhar, K. Evaluation of genotype x environment interaction and yield stability analysis in peanut under phosphorus stress condition using stability parameters of AMMI model. Agric. Res. 2020, 9, 477–486. [Google Scholar] [CrossRef]


| S.No. | Genotype | Type of Genotype | Source |
|---|---|---|---|
| 1–13 | IC 201704, IC 208326, IC 262839, IC 267663, IC 268248, IC 560135, IC 560169, IC 560181, IC 560206, IC 560212, IC 560333, IC 560372, IC 560812 | Indian germplasm lines | NBPGR, New Delhi, India |
| 14–38 | IG 111996, IG 112078, IG 112128, IG 112131, IG 115, IG 129214, IG 129291, IG 129302, IG 129304, IG 129317, IG 130033, IG 195, IG 49, IG 5320, IG 569608, IG 70230, IG 73798, IG 73920, IG 73933, IG 9, ILL 10832, ILL 108331, ILL 147, ILL 2581, ILL 7663 | Mediterranean landraces | ICARDA, Aleppo, Syria |
| 39–46 | L 11-243, L 11-273, L 11-279, L 11-282, L 11-289, L 11-291, L 11-294, L 11-297 | Advanced breeding lines | AICRP MULLaRP, IIPR, Kanpur India |
| 47 | L 4076 | Released variety | IARI, New Delhi, India |
| 48–61 | L 5253, L 7818, L 7903, L 7916, L 7920, LC 282-1444, LC 282-1485, LC 282896, LC 282907, LC 300-15, LC 300-16, LC 300-17, LC 300-19, LC 74151 | Advanced breeding lines | IARI, New Delhi, India |
| 62 | LH 90-57 | Advanced breeding lines | CCS, HAU, Hisar, India |
| 63–66 | LL 1122, LL 147, LL 461, LL 649 | Advanced breeding lines | PAU, Ludhiana, India |
| 67–85 | P 13108, P 13129, P 13135, P 13138, P 13142, P 13143, P 15104, P 15121, P 15127, P 16214, P 2113, P 2116, P 2118, P 2125, P 2127, P 3233, P 3234, P 8112, P 8115 | ICARDA Nursery selection | ICARDA, Aleppo, ICARDA, Aleppo, Syria |
| 86–92 | PL 02, PL 04, PL 05, PL 06, PL 07, PL 08, PL 406 | Released varieties | GBPUAT, Pantnagar, India |
| 93–96 | PL 117, PL 24, PL 77-12, PL 97 | Advanced breeding lines | GBPUAT, Pantnagar, India |
| Variable | Locations | Mean | SD | SE | CV | Minimum | Maximum |
|---|---|---|---|---|---|---|---|
| Fe (mg/kg) | Delhi | 68.97 | 13.82 | 1.41 | 20.04 | 37.7 | 116.75 |
| Sagar | 69.85 | 14.18 | 1.45 | 20.30 | 38.95 | 106.73 | |
| Sehore | 72.55 | 15.78 | 1.61 | 21.75 | 34.4 | 107.26 | |
| Combined locations | 70.46 | 13.00 | 1.33 | 18.45 | 39.38 | 105.41 | |
| Zn (mg/kg) | Delhi | 55.90 | 12.87 | 1.31 | 23.02 | 24.3 | 87 |
| Sagar | 57.05 | 13.26 | 1.35 | 23.24 | 27.45 | 94.45 | |
| Sehore | 57.51 | 13.30 | 1.36 | 23.13 | 30.35 | 87.7 | |
| Combined locations | 56.83 | 11.92 | 1.22 | 20.97 | 27.4 | 87.3 |
| Source | DF | Mean Sum of Squares | |
|---|---|---|---|
| Iron | Zinc | ||
| Genotype (G) | 95 | 1014.02 ** | 851.84 ** |
| Environment (E) | 2 | 668.06 * | 131.74 * |
| Genotype × Environment (G × E) | 190 | 134.2 ** | 92.46 ** |
| Replication within Environment | 3 | 3.784 | 9.29 |
| IPCA1 | 96 | 156.23 ** | 111.05 ** |
| IPCA2 | 94 | 123.70 ** | 107.81 ** |
| Total | 575 | 1832.29 | 1091.27 |
| S. No. | Genotype | Mean Fe (mg/kg) | RankFe | MASVFe | MASIFe | Rank MASVFe/MASIFe | GSIFe | Mean Zn (mg/kg) | RankZn | MASVZn | MASIZn | Rank MASVZn/MASIZn | GSIZn |
|---|---|---|---|---|---|---|---|---|---|---|---|---|---|
| 1 | L 4076 | 76.84 | 14 | 2.84 | 1.25 | 40 | 54 | 70.41 | 12 | 1.40 | 0.69 | 21 | 33 |
| 2 | ILL 7663 | 61.56 | 36 | 1.63 | 0.72 | 20 | 56 | 67.80 | 16 | 1.93 | 0.95 | 38 | 54 |
| 3 | P 3234 | 77.26 | 12 | 1.60 | 0.70 | 19 | 31 | 79.91 | 2 | 1.38 | 0.68 | 17 | 19 |
| 4 | P 2116 | 75.29 | 15 | 1.89 | 0.83 | 26 | 41 | 64.71 | 18 | 1.35 | 0.66 | 15 | 33 |
| 5 | L 11-289 | 60.77 | 41 | 2.28 | 1.00 | 37 | 78 | 60.80 | 26 | 2.30 | 1.13 | 41 | 67 |
| 6 | IC 560333 | 78.52 | 10 | 1.47 | 0.65 | 12 | 22 | 56.50 | 35 | 1.57 | 0.77 | 26 | 61 |
| 7 | PL 77-12 | 65.98 | 32 | 2.06 | 0.91 | 30 | 62 | 65.41 | 17 | 1.64 | 0.80 | 29 | 46 |
| 8 | L 7916 | 69.48 | 25 | 1.59 | 0.70 | 17 | 42 | 61.01 | 25 | 1.14 | 0.56 | 4 | 29 |
| 9 | PL 04 | 77.11 | 13 | 1.50 | 0.66 | 14 | 27 | 68.27 | 15 | 1.19 | 0.58 | 5 | 20 |
| 10 | LL 1122 | 80.61 | 9 | 2.03 | 0.89 | 28 | 37 | 73.98 | 8 | 1.91 | 0.94 | 37 | 45 |
| 11 | LC 282-907 | 67.21 | 29 | 1.56 | 0.69 | 15 | 44 | 62.01 | 22 | 1.97 | 0.97 | 39 | 61 |
| 12 | IC 208326 | 88.05 | 5 | 2.05 | 0.90 | 29 | 34 | 62.58 | 21 | 1.39 | 0.68 | 18 | 39 |
| 13 | P 15121 | 61.27 | 38 | 1.05 | 0.47 | 1 | 39 | 55.68 | 39 | 1.40 | 0.68 | 20 | 59 |
| 14 | P 16214 | 105.41 | 1 | 3.24 | 1.42 | 41 | 42 | 73.35 | 9 | 1.21 | 0.59 | 7 | 16 |
| 15 | PL 02 | 60.82 | 40 | 2.30 | 1.01 | 38 | 78 | 63.35 | 20 | 1.78 | 0.87 | 33 | 53 |
| 16 | IG 115 | 96.51 | 2 | 1.91 | 0.84 | 27 | 29 | 59.63 | 29 | 1.80 | 0.88 | 34 | 63 |
| 17 | L 7903 | 63.72 | 35 | 1.36 | 0.60 | 9 | 44 | 53.63 | 41 | 1.90 | 0.93 | 36 | 77 |
| 18 | LH 90-57 | 81.76 | 7 | 1.76 | 0.77 | 23 | 30 | 60.00 | 28 | 1.52 | 0.75 | 25 | 53 |
| 19 | LL 461 | 66.79 | 31 | 2.24 | 0.98 | 35 | 66 | 79.85 | 3 | 1.68 | 0.82 | 31 | 34 |
| 20 | PL 05 | 81.14 | 8 | 2.26 | 0.99 | 36 | 44 | 56.30 | 37 | 1.28 | 0.63 | 12 | 49 |
| 21 | P 2118 | 65.34 | 33 | 1.09 | 0.48 | 2 | 35 | 73.25 | 10 | 1.22 | 0.60 | 9 | 19 |
| 22 | IC 560812 | 95.14 | 3 | 2.19 | 0.96 | 34 | 37 | 79.06 | 4 | 1.76 | 0.86 | 32 | 36 |
| 23 | IC 560206 | 68.79 | 27 | 1.36 | 0.60 | 8 | 35 | 64.31 | 19 | 1.50 | 0.73 | 24 | 43 |
| 24 | P 2113 | 60.91 | 39 | 1.24 | 0.54 | 4 | 43 | 69.71 | 13 | 1.67 | 0.82 | 30 | 43 |
| 25 | L 11-291 | 71.19 | 23 | 2.18 | 0.96 | 33 | 56 | 56.06 | 38 | 1.31 | 0.64 | 13 | 51 |
| 26 | L 11-294 | 72.59 | 20 | 1.56 | 0.69 | 16 | 36 | 54.15 | 40 | 2.19 | 1.07 | 40 | 80 |
| 27 | IC 262839 | 61.48 | 37 | 2.53 | 1.11 | 39 | 76 | 77.50 | 6 | 1.61 | 0.79 | 27 | 33 |
| 28 | IG 112128 | 73.46 | 19 | 1.49 | 0.65 | 13 | 32 | 61.68 | 23 | 1.33 | 0.65 | 14 | 37 |
| 29 | ILL 147 | 88.36 | 4 | 1.74 | 0.76 | 21 | 25 | 61.03 | 24 | 1.05 | 0.51 | 3 | 27 |
| 30 | LC 74151 | 67.78 | 28 | 2.14 | 0.94 | 32 | 60 | 58.98 | 30 | 1.42 | 0.70 | 22 | 52 |
| 31 | LC 282896 | 74.05 | 17 | 1.31 | 0.57 | 6 | 23 | 77.63 | 5 | 1.46 | 0.71 | 23 | 28 |
| 32 | IG 9 | 82.06 | 6 | 1.81 | 0.80 | 25 | 31 | 60.15 | 27 | 0.99 | 0.48 | 1 | 28 |
| 33 | L 11-282 | 69.37 | 26 | 1.34 | 0.59 | 7 | 33 | 57.66 | 33 | 1.37 | 0.67 | 16 | 49 |
| 34 | LC 300-17 | 73.71 | 18 | 1.79 | 0.79 | 24 | 42 | 69.26 | 14 | 1.26 | 0.62 | 11 | 25 |
| 35 | PL 07 | 70.78 | 24 | 1.31 | 0.57 | 5 | 29 | 58.61 | 31 | 1.03 | 0.50 | 2 | 33 |
| 36 | IG 49 | 77.69 | 11 | 1.37 | 0.60 | 10 | 21 | 58.50 | 32 | 1.22 | 0.60 | 8 | 40 |
| 37 | IC 560135 | 74.15 | 16 | 2.13 | 0.94 | 31 | 47 | 75.05 | 7 | 1.40 | 0.68 | 19 | 26 |
| 38 | LC 282-1485 | 71.44 | 22 | 1.10 | 0.48 | 3 | 25 | 70.90 | 11 | 1.83 | 0.90 | 35 | 46 |
| 39 | P 8115 | 64.34 | 34 | 1.43 | 0.63 | 11 | 45 | 87.26 | 1 | 1.63 | 0.80 | 28 | 29 |
| 40 | P 13142 | 71.49 | 21 | 1.59 | 0.70 | 18 | 39 | 56.98 | 34 | 1.20 | 0.59 | 6 | 40 |
| 41 | P 13143 | 66.96 | 30 | 1.75 | 0.77 | 22 | 52 | 56.36 | 36 | 1.24 | 0.60 | 10 | 46 |
Publisher’s Note: MDPI stays neutral with regard to jurisdictional claims in published maps and institutional affiliations. |
© 2021 by the authors. Licensee MDPI, Basel, Switzerland. This article is an open access article distributed under the terms and conditions of the Creative Commons Attribution (CC BY) license (https://creativecommons.org/licenses/by/4.0/).
Share and Cite
Gupta, S.; Das, S.; Dikshit, H.K.; Mishra, G.P.; Aski, M.S.; Bansal, R.; Tripathi, K.; Bhowmik, A.; Kumar, S. Genotype by Environment Interaction Effect on Grain Iron and Zinc Concentration of Indian and Mediterranean Lentil Genotypes. Agronomy 2021, 11, 1761. https://doi.org/10.3390/agronomy11091761
Gupta S, Das S, Dikshit HK, Mishra GP, Aski MS, Bansal R, Tripathi K, Bhowmik A, Kumar S. Genotype by Environment Interaction Effect on Grain Iron and Zinc Concentration of Indian and Mediterranean Lentil Genotypes. Agronomy. 2021; 11(9):1761. https://doi.org/10.3390/agronomy11091761
Chicago/Turabian StyleGupta, Soma, Shouvik Das, Harsh Kumar Dikshit, Gyan Prakash Mishra, Muraleedhar S. Aski, Ruchi Bansal, Kuldeep Tripathi, Arpan Bhowmik, and Shiv Kumar. 2021. "Genotype by Environment Interaction Effect on Grain Iron and Zinc Concentration of Indian and Mediterranean Lentil Genotypes" Agronomy 11, no. 9: 1761. https://doi.org/10.3390/agronomy11091761
APA StyleGupta, S., Das, S., Dikshit, H. K., Mishra, G. P., Aski, M. S., Bansal, R., Tripathi, K., Bhowmik, A., & Kumar, S. (2021). Genotype by Environment Interaction Effect on Grain Iron and Zinc Concentration of Indian and Mediterranean Lentil Genotypes. Agronomy, 11(9), 1761. https://doi.org/10.3390/agronomy11091761

