Strawberry Living Mulch in an Organic Vineyard
Abstract
:1. Introduction
2. Materials and Methods
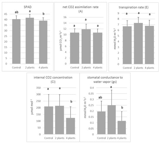
3. Results
4. Discussion and Conclusions
Author Contributions
Funding
Data Availability Statement
Conflicts of Interest
References
- Granatstein, D.; Sanchez, E. Research knowledge and needs for orchard floor management in organic tree fruit systems. Int. J. Fruit Sci. 2009, 9, 257–281. [Google Scholar] [CrossRef]
- Mia Md, J.; Massetani, F.; Murri, G.; Neri, D. Sustainable alternatives to chemicals for weed control in the orchard. Hortic. Sci. 2020, 47. [Google Scholar] [CrossRef] [Green Version]
- Neri, D.; Sugiyama, N.; Inujima, A. Effects of organic residues on strawberry root growth. Int. J. Fruit Sci. 2005, 1, 127–139. [Google Scholar] [CrossRef]
- Endeshaw, S.T.; Lodolini, E.M.; Neri, D. Effects of olive shoot residues on shoot and root growth of potted olive plantlets. Sci. Hortic. 2015, 182, 31–40. [Google Scholar] [CrossRef]
- Polverigiani, S.; Franzina, M.; Salvetti, M.; Folini, L.; Ferrante, P.; Scortichini, M.; Neri, D. The effect of growth substrate on apple plant status and on the occurrence of blister bark symptoms. Sci. Hortic. 2016, 198, 233–241. [Google Scholar] [CrossRef]
- Polverigiani, S.; Franzina, M.; Neri, D. Effect of soil condition on apple root development and plant resilience in intensive orchards. Appl. Soil Ecol. 2018, 123, 787–792. [Google Scholar] [CrossRef]
- Polverigiani, S.; Kelderer, M.; Neri, D. Growth of ‘M9′ apple root in five Central Europe replanted soils. Plant Root 2014, 8, 55–63. [Google Scholar] [CrossRef] [Green Version]
- Gangatharan, R.; Neri, D. Can biodiversity improve soil fertility resilience in agroecosystems? New Medit 2012, 4, 11–18. [Google Scholar]
- Neri, D.; Silvestroni, O.; Baldoni, N.; Belletti, M.; Bellucci, E.; Bitocchi, E.; Capocasa, F.; D’Ottavio, P.; Francioni, M.; Gambelli, D.; et al. Sustainable crop production. In The First Outstanding 50 Years of “Università Politecnica delle Marche” Research Achievements in Life Sciences; Longhi, S., Monteriù, A., Freddi, A., Aquilanti, L., Ceravolo, M.G., Carnevali, O., Giordano, M., Moroncini, G., Eds.; Springer: Berlin/Heidelberg, Germany, 2020; pp. 583–600. [Google Scholar] [CrossRef]
- Mia Md, J.; Furmanczyk, E.M.; Golian, J.; Kwiatkowska, J.; Malusá, E.; Neri, D. Living Mulch with Selected Herbs for Soil Management in Organic Apple Orchards. Horticulturae 2021, 7, 59. [Google Scholar] [CrossRef]
- McGourty, G.T.; Reganold, J.P. Managing vineyard soil organic matter with cover crops. In Proceedings of the Soil Environment and Vine Mineral Nutrition Symposium, San Diego, CA, USA, 29–30 June 2005; pp. 145–151. [Google Scholar]
- Baumgartner, K.; Smith, R.F.; Bettiga, L. Weed control and cover crop management affect mycorrhyzal colonization of grape- vine roots and arbuscular mycorrhizal fungal spore populations in a California vineyard. Mycorrhiza 2005, 15, 111–119. [Google Scholar] [CrossRef]
- Ingels, C.A.; Scow, K.M.; Whisson, D.A.; Drenovsky, R.E. Effects of cover crops on grapevines, yield, juice composition, soil microbial ecology, and gopher activity. Am. J. Enol. Vitic. 2005, 56, 19–29. [Google Scholar]
- Steenwerth, K.; Belina, K.M. Cover crops and cultivation: Impacts on soil N dynamics and microbiological function in a Mediterranean vineyard agroecosystem. App. Soil Ecol. 2008, 40, 370–380. [Google Scholar] [CrossRef]
- Granatstein, D.; Wiman, M.; Kirby, E.; Mullinix, K. Sustainability trade-offs in organic orchard floor management. Acta Hortic. 2010, 873, 115–122. [Google Scholar] [CrossRef]
- Fageria, N.K.; Baligar, V.C.; Bailey, B.A. Role of cover crops in improving soil and row crop productivity. Commun. Soil Sci. Plant Anal. 2005, 36, 2733–2757. [Google Scholar] [CrossRef]
- Lacey, L.A.; Granatstein, D.; Arthurs, S.P.; Headrick, H.; Fritts, R. Use of entomopathogenic nematodes (Steinernematidae) in conjunction with mulches for control of overwintering codling moth (Lepidoptera: Tortricidae). J. Entomol. Sci. 2006, 41, 107–119. [Google Scholar] [CrossRef]
- Guerra, B.; Steenwerth, K. Influence of floor management technique on grapevine growth, disease pressure, and juice and wine composition: A review. Am. J. Enol. Vitic. 2012, 63, 149–164. [Google Scholar] [CrossRef]
- Carsoulle, J. L’enherbement permanent du vignoble. Influence sur la production viticole et son environment. Phytoma 1995, 478, 38–41. [Google Scholar]
- Lopes, C.M.; Monteiro, A.; Machado, J.P.; Fernandes, N.; Araújo, A. Cover cropping in a sloping non-irrigated vineyard: II—Effects on vegetative growth, yield, berry and wine quality of “cabernet sauvignon” grapevines. Cienc. E Tec. Vitivinic 2008, 23, 37–43. [Google Scholar]
- Malézieux, E.; Crozat, Y.; Dupraz, C.; Laurans, M.; Makowski, D.; Ozier-Lafontaine, H.; Rapidel, B.; de Tourdonnet, S.; Valantin-Morison, M. Mixing plant species in cropping systems: Concepts, tools and models. A review. Agron. Sustain. Dev. 2009, 29. [Google Scholar] [CrossRef] [Green Version]
- Scherr, S.J.; Mcneely, J. Biodiversity conservation and agricultural sustainability: Towards a new paradigm of ‘ecoagriculture’ landscapes. Philos. Trans. R. Soc. B Biol. Sci. 2008, 363, 477–494. [Google Scholar] [CrossRef] [Green Version]
- Neri, D.; Polverigiani, S.; Zucchini, M.; Marchionni, F. Pacciamature vive per la gestione del sottofila: Un caso applicativo. Vigne Vini Qual. 2019, 7, 34–37. [Google Scholar]
- Wezel, A.; Bellon, S.; Dore, T.; Francis, C.; Vallod, D.; David, C. Agroecology as a science, a movement and a practice. A review. Agron. Sustain. Dev. 2009. [Google Scholar] [CrossRef] [Green Version]
- Hembree, K.J.; Lanini, W.T. Weeds. UC IPM Pest Management Guidelines: Grape; University of California Agriculture and Natural Resources: Davis, CA, USA, 2006; pp. 90–108. [Google Scholar]
- Wheeler, S.J.; Black, A.S.; Pickering, G.J. Vineyard floor management improves wine quality in highly vigorous Vitis vinifera ‘Cabernet Sauvignon’ in New Zealand. N. Z. J. Crop Hortic. Sci. 2005, 33, 317–328. [Google Scholar] [CrossRef]
- Tesic, D.; Keller, M.; Hutton, R.J. Influence of vineyard floor management practices on grapevine vegetative growth, yield, and fruit composition. Am. J. Enol. Vitic. 2007, 58, 1–11. [Google Scholar]
- Hammermeister, A.M. Organic weed management in perennial fruits. Sci. Hortic. (Amst.) 2016, 208, 28–42. [Google Scholar] [CrossRef]
- Steinmaus, S.; Elmore, C.L.; Smith, R.J.; Donaldson, D.; Weber, E.A.; Roncoroni, J.A.; Miller, P.R.M. Mulched cover crops as an alternative to conventional weed management systems in vineyards. Weed Res. 2008, 48, 273–281. [Google Scholar] [CrossRef] [Green Version]
- Neri, D.; Friedli, M.; Kelderer, M.; Fernandez, M.M.; Zikeli, S.; Malusa, E.; Kutinkova, H. Dynamic Sod Mulching and Use of Recycled Amendments to Increase Biodiversity, Resilience and Sustainability of Intensive Organic Fruit Orchards and Vineyards. 2021. Available online: http://www.domino-coreorganic.eu/ (accessed on 20 March 2021).
- Leary, J.; DeFrank, J. Living Mulches for Organic Farming Systems. HortTechnology 2000, 10, 692–698. [Google Scholar] [CrossRef] [Green Version]
- Peel, M.C.; Finlayson, B.L.; McMahon, T.A. Updated world map of the Köppen-Geiger climate classification. Hydrol. Earth Syst. Sci. 2007, 11, 1633–1644. [Google Scholar] [CrossRef] [Green Version]
- Benati, J.A.; Nava, G.; Mayer, N.A. Spad index for diagnosis of nitrogen status in ‘Esmeralda’ peach. Rev. Bras. Frutic. Jaboticabal 2021, 43. [Google Scholar] [CrossRef]
- Paušič, A.; Tojnko, S.; Lešnik, M. Permanent, undisturbed, in-row living mulch: A realistic option to replace glyphosate-dominated chemical weed control in intensive pear orchards. Agric. Ecosyst. Environ. 2021, 318, 107502. [Google Scholar] [CrossRef]








| Treatment | |||
|---|---|---|---|
| Analysis | Control | 2 Plants | 4 Plants |
| Pruning (kg) | 1.32 ± 0.31 | 1.28 ± 0.31 | 1.28 ± 0.22 |
| Yield (kg) | 2.02 ± 0.74 | 2.10 ± 0.64 | 2.18 ± 0.50 |
| BABO degree | |||
| 27/08/2019 | 10.2 ± 0.69 | 10.17 ± 0.96 | 9.76 ± 0.71 |
| 07/09/2019 | 15.16 ± 0.82 | 14.96 ± 0.74 | 14.28 ± 0.64 |
| 17/09/2019 | 19.16 ± 0.50 | 18.52 ± 0.52 | 18.48 ± 0.30 |
| Malic acid (g/L) | |||
| 27/08/2019 | Values too low to be measured | ||
| 07/09/2019 | 4.84 ± 0.78 | 5.13 ± 0.52 | 5.06 ± 0.64 |
| 17/09/2019 | 4.45 ± 0.35 | 4.32 ± 0.50 | 4.42 ± 0.63 |
| Tartaric acid (g/L) | |||
| 27/08/2019 | 6.9 ± 0.72 | 6.45 ± 1.21 | 6.91 ± 1.30 |
| 07/09/2019 | 6.63 ± 0.40 | 6.85 ± 0.31 | 6.7 ± 0.18 |
| 17/09/2019 | 7.07 ± 0.33 | 6.95 ± 0.59 | 7.25 ± 0.32 |
| Ammonic N (mg/L) | |||
| 27/08/2019 | 192.2 ± 42.4 | 201.6 ± 18.23 | 184.8 ± 15.5 |
| 07/09/2019 | 219.4 ± 8.0 | 211.8 ± 14.6 | 211.4 ± 20.8 |
| 17/09/2019 | 211.4 ± 8.11 | 199.4 ± 7.23 | 210 ± 9.38 |
| NH4 (mg/L) | |||
| 27/08/2019 | 237.8 ± 24.1 | 229.6 ± 21.34 | 207.6 ± 20.5 |
| 07/09/2019 | 166.2 ± 13.9 | 175.2 ± 4.76 | 169.8 ± 10.3 |
| 17/09/2019 | 154.8 ± 17.5 | 153.2 ± 7.29 | 160 ± 11.1 |
| K (mg/L) | |||
| 27/08/2019 | 1566.6 ± 394.9 | 1515.5 ± 336.7 | 1596.8. ± 185.6 |
| 07/09/2019 | 1685.6 ± 118.4 | 1647.0 ± 47.3 | 1634.6 ± 55.5 |
| 17/09/2019 | 1816.3 ± 105.1 | 1718.9 ± 88.1 | 1788.9 ± 88.3 |
Publisher’s Note: MDPI stays neutral with regard to jurisdictional claims in published maps and institutional affiliations. |
© 2021 by the authors. Licensee MDPI, Basel, Switzerland. This article is an open access article distributed under the terms and conditions of the Creative Commons Attribution (CC BY) license (https://creativecommons.org/licenses/by/4.0/).
Share and Cite
Neri, D.; Polverigiani, S.; Zucchini, M.; Giorgi, V.; Marchionni, F.; Mia, M.J. Strawberry Living Mulch in an Organic Vineyard. Agronomy 2021, 11, 1643. https://doi.org/10.3390/agronomy11081643
Neri D, Polverigiani S, Zucchini M, Giorgi V, Marchionni F, Mia MJ. Strawberry Living Mulch in an Organic Vineyard. Agronomy. 2021; 11(8):1643. https://doi.org/10.3390/agronomy11081643
Chicago/Turabian StyleNeri, Davide, Serena Polverigiani, Matteo Zucchini, Veronica Giorgi, Fabio Marchionni, and Md Jebu Mia. 2021. "Strawberry Living Mulch in an Organic Vineyard" Agronomy 11, no. 8: 1643. https://doi.org/10.3390/agronomy11081643
APA StyleNeri, D., Polverigiani, S., Zucchini, M., Giorgi, V., Marchionni, F., & Mia, M. J. (2021). Strawberry Living Mulch in an Organic Vineyard. Agronomy, 11(8), 1643. https://doi.org/10.3390/agronomy11081643

