Pre- and Postharvest Management of Sunburn in ‘Granny Smith’ Apples (Malus × domestica Borkh) under Neotropical Climate Conditions
Abstract
1. Introduction
2. Materials and Methods
2.1. Experimental Design
2.1.1. Field Experiment
2.1.2. Postharvest Experiment
2.2. Evaluations
2.2.1. Microclimate
2.2.2. Sunburn
2.2.3. Fruit Growth and Sprouting
2.2.4. Post-Harvest
2.3. Statistical Analysis
3. Results
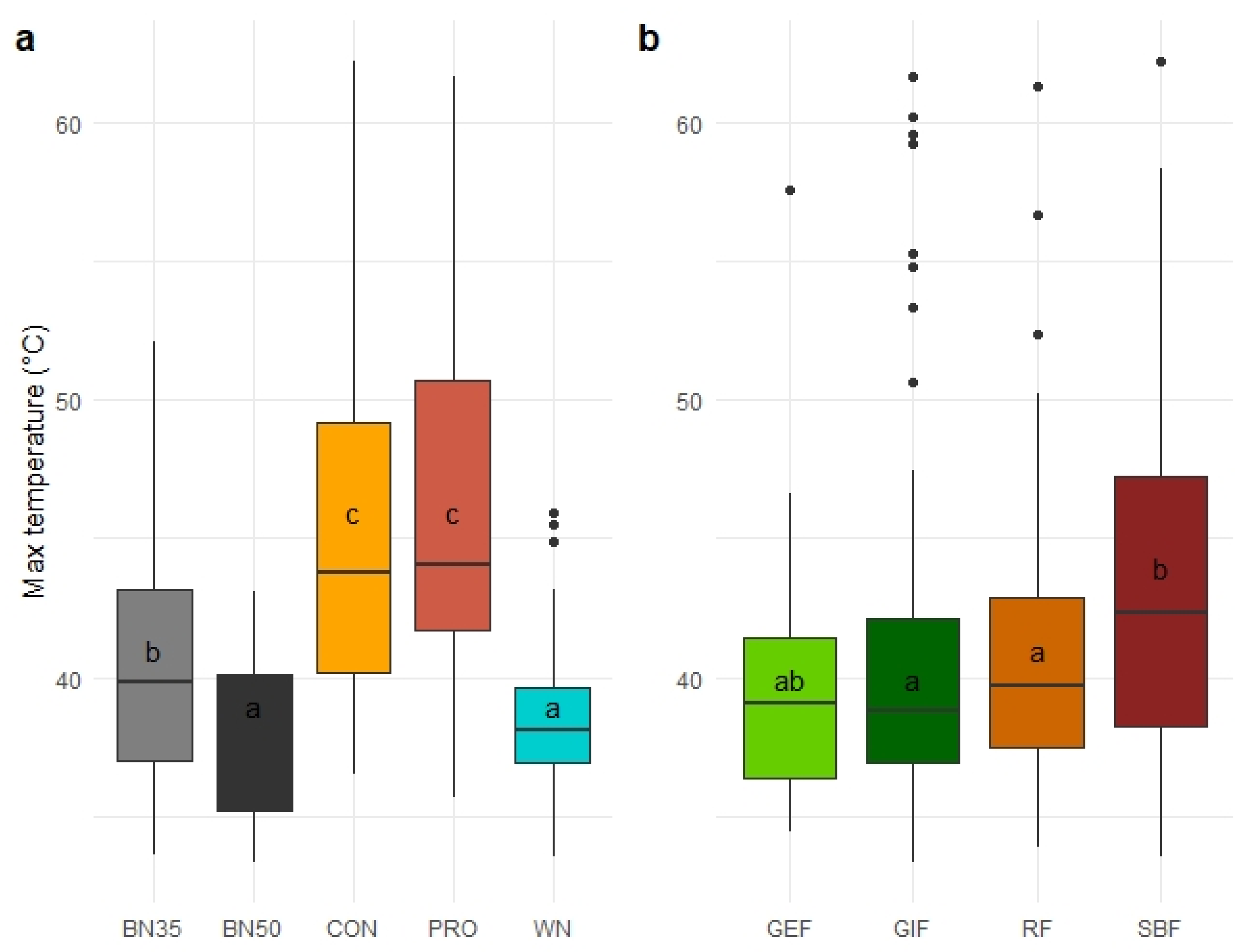
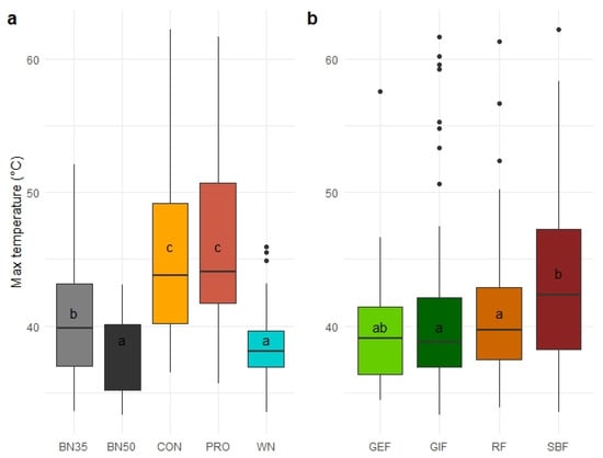
3.1. Changes in Microclimate
Incident Radiation and Air and Fruit Temperature
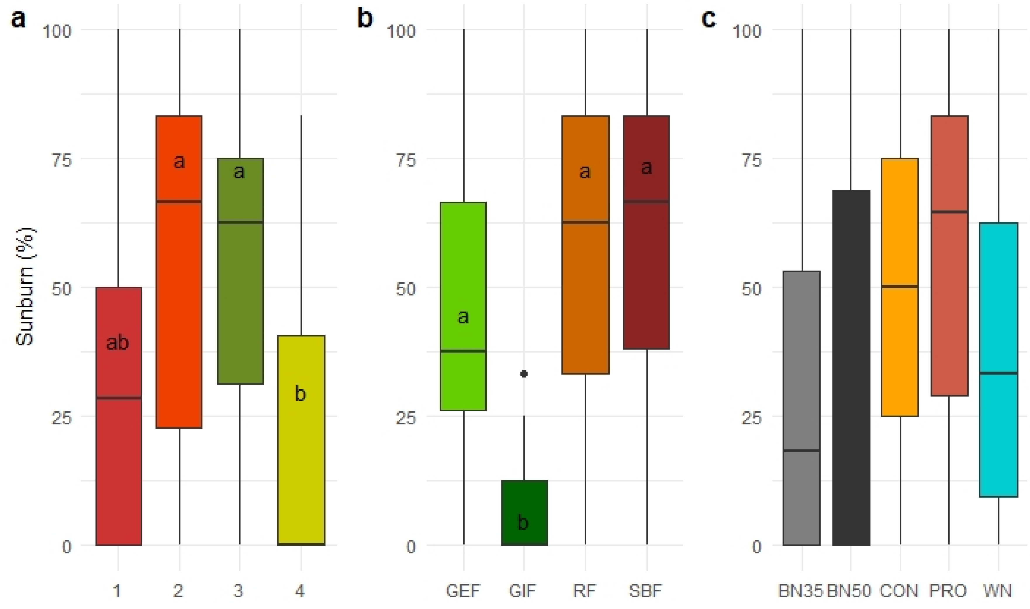
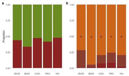
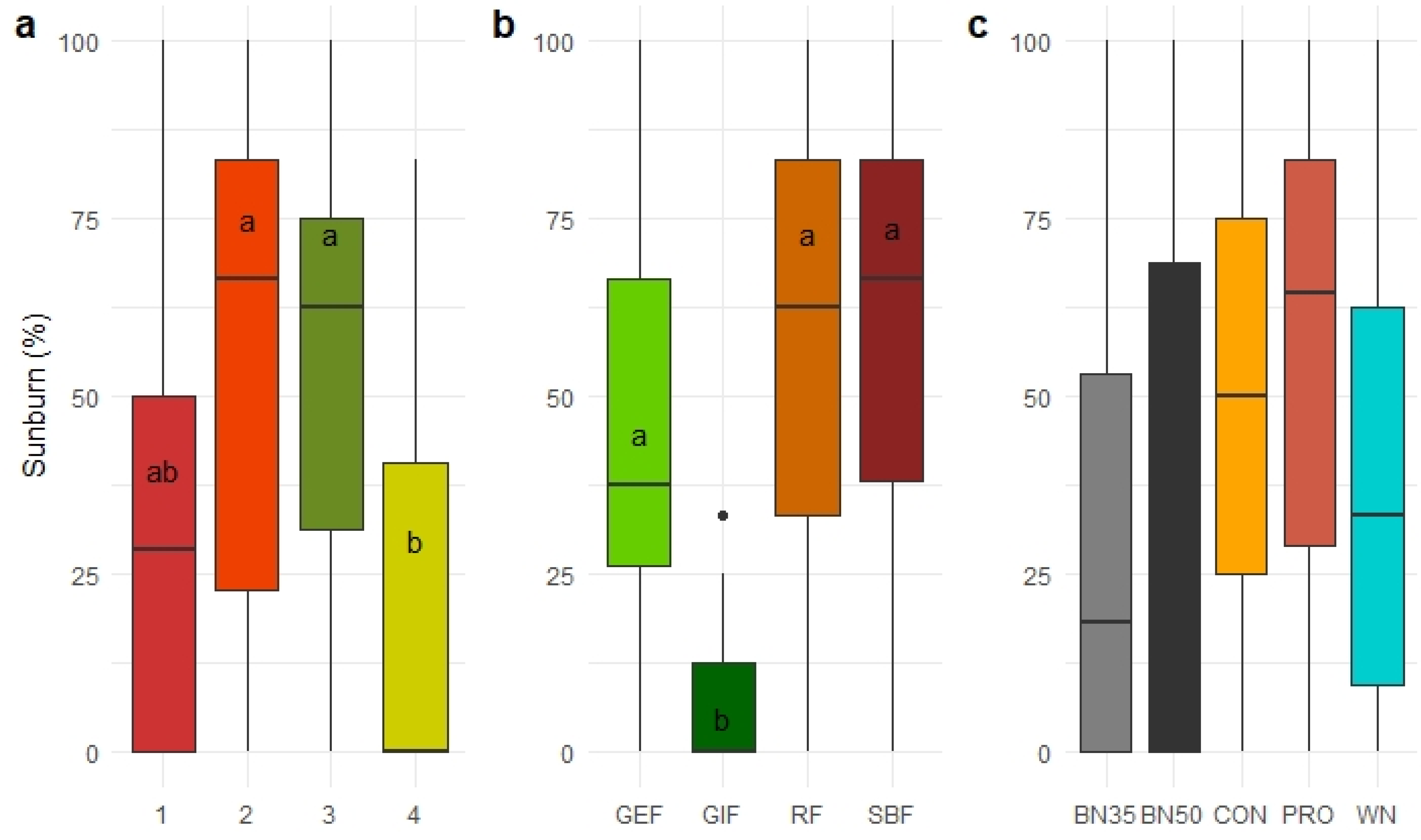
3.2. Sunburn
3.2.1. Sunburn Changes during the Season
3.2.2. Sunburn at Harvest
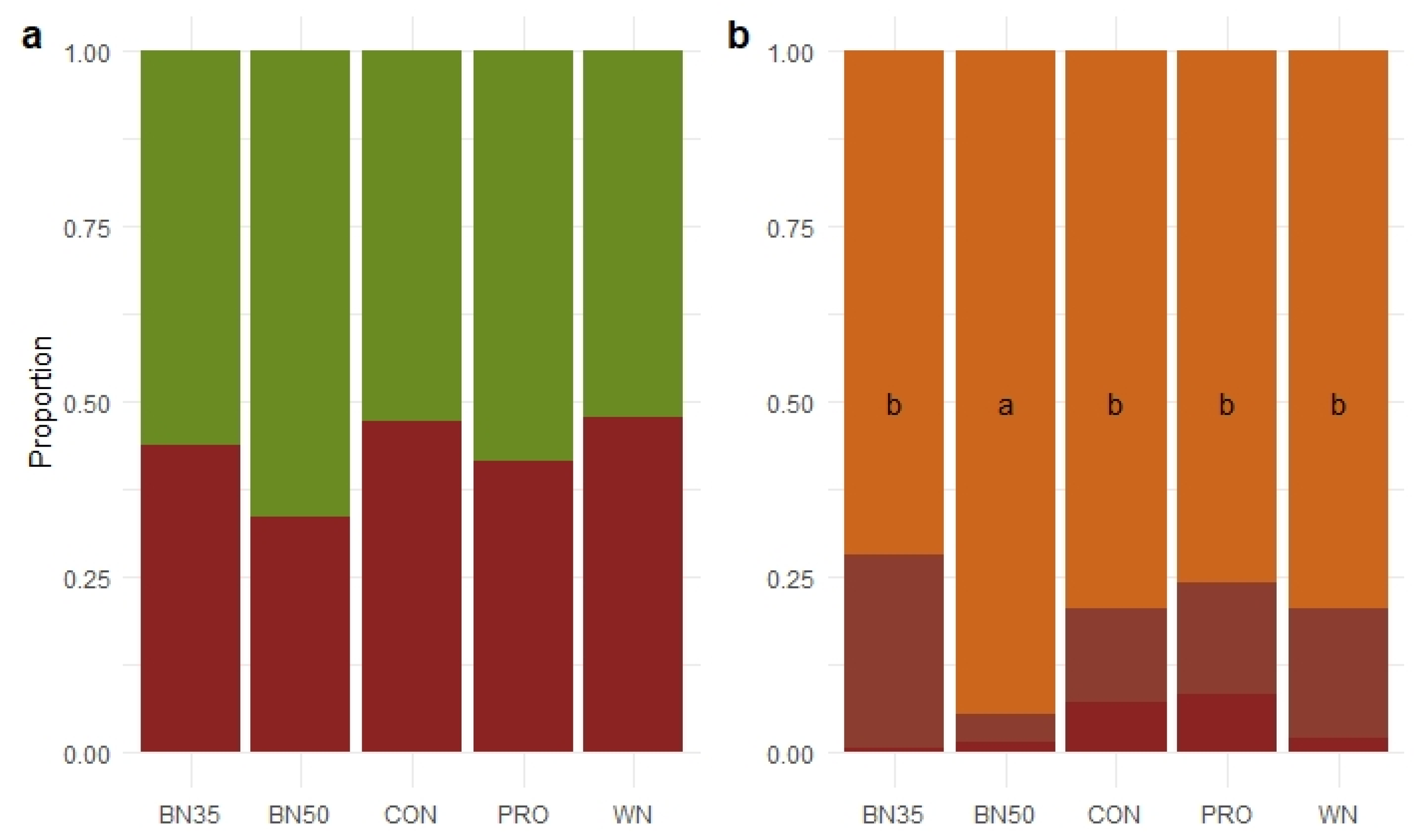
3.3. Fruit Growth and Sprouting
3.4. Postharvest Evaluation
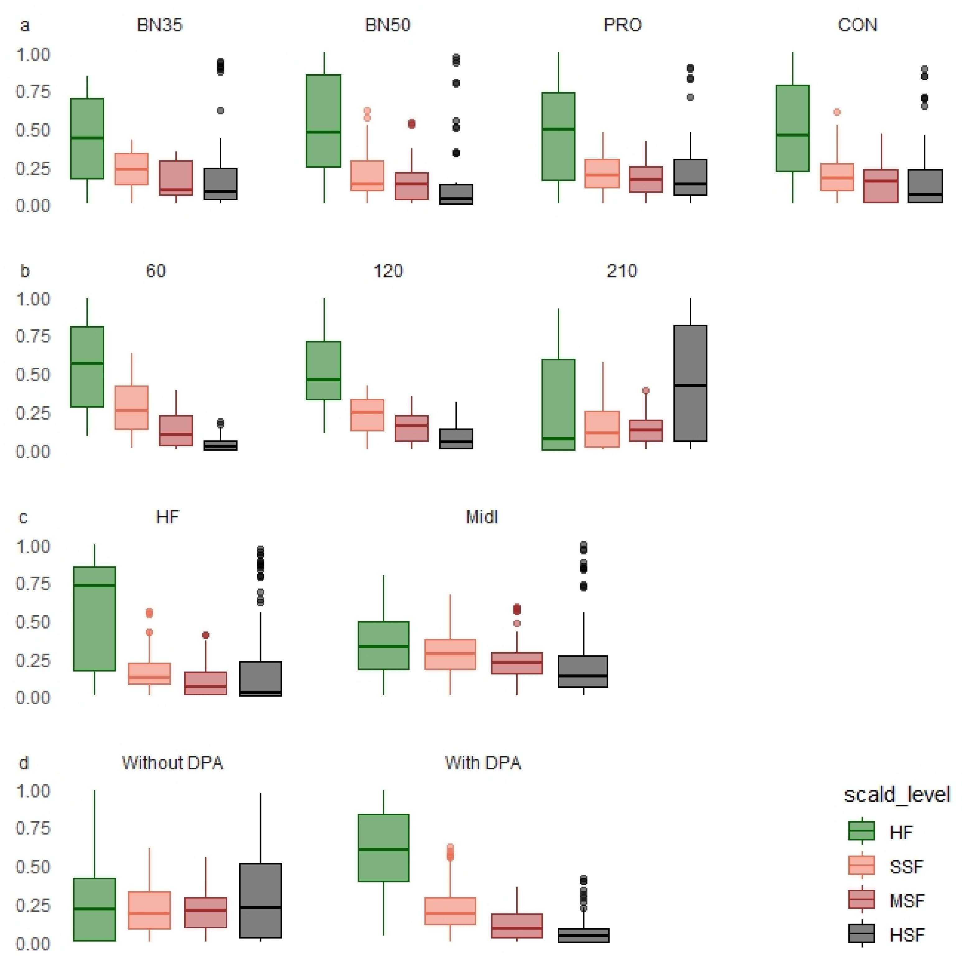
3.4.1. Scald Damage
3.4.2. Sunscald Damage
4. Discussion
4.1. Microclimate and Sun Damage
4.2. Fruit Growth and Sprouting
4.3. Post-Harvest
5. Conclusions
Author Contributions
Funding
Institutional Review Board Statement
Informed Consent Statement
Acknowledgments
Conflicts of Interest
References
- Schrader, L.E.; Zhang, J.; Duplaga, W.K. Two Types of Sunburn in Apple Caused by High Fruit Surface (Peel) Temperature. Plant Health Prog. 2001, 2, 3. [Google Scholar] [CrossRef]
- Yuri, J.A.; Torres, C.; Bastías, R.; Neira, A. Golpe de Sol En Manzanas. II. Factores Inductores y Respuestas Bioquímicas. Agro-Ciencia 2000, 16, 23–32. [Google Scholar]
- Piskolczi, M.; Varga, C.; Racskó, J. The Meteorological Causes of Sunburn Injury on the Surface of Apple Fruit (Malus domestica Borkh.). J. Fruit Ornam. Plant Res. 2004, 12, 245–252. [Google Scholar]
- Wünsche, J.N.; Greer, D.H.; Laing, W.A.; Palmer, J.W. Physiological and Biochemical Leaf and Tree Responses to Crop Load in Apple. Tree Physiol. 2005, 25, 1253–1263. [Google Scholar] [CrossRef] [PubMed]
- Felicetti, D.A.; Schrader, L.E. Photooxidative Sunburn of Apples; Characterization of a Third Type of Apple Sunburn. Int. J. Fruit Sci. 2008, 8, 160–172. [Google Scholar] [CrossRef]
- Yuri, J.A.; Neira, A.; Quilodran, A.; Razmilic, I.; Motomura, Y.; Torres, C.; Palomo, I. Sunburn on Apples Is Associated with Increases in Phenolic Compounds and Antioxidant Activity as a Function of the Cultivar and Areas of the Fruit. J. Food Agric. Environ. 2010, 8, 920–925. [Google Scholar]
- Hernandez, O.; Torres, C.A.; Moya-León, M.A.; Opazo, M.C.; Razmilic, I. Roles of the Ascorbate—Glutathione Cycle, Pigments and Phenolics in Postharvest ‘Sunscald’ Development on ‘Granny Smith’ Apples (Malus domestica Borkh.). Postharvest Biol. Technol. 2014, 87, 79–87. [Google Scholar] [CrossRef]
- Schrader, L.; Zhang, J.; Sun, J. Environmental Stresses That Cause Sunburn of Apple. Acta Hortic. 2003, 618, 397–405. [Google Scholar] [CrossRef]
- Meheriuk, M.; Prange, R.K.; Lidster, P.D.; Porritt, S.W. Postharvest Disorders of Apples and Pears; Agriculture and Agri-Food: Ottawa, ON, Canada, 1994; ISBN 0662212371. [Google Scholar]
- Severino, V.; Arias-Sibillotte, M.; Dogliotti, S.; Frins, E.; Gonzalez-Talice, J.; Yuri, J.A. Climatic and Physiological Parameters Related to the Progress and Prediction of Apple Sunburn Damage in a Neotropical Climate. Adv. Hortic. Sci. 2020, 34, 431–440. [Google Scholar] [CrossRef]
- Szabó, A.; Tamás, J.; Nagy, A. The Influence of Hail Net on the Water Balance and Leaf Pigment Content of Apple Orchards. Sci. Hortic. 2021, 283, 110112. [Google Scholar] [CrossRef]
- Torres, C.A.; León, L.; Sánchez-Contreras, J. Spectral Fingerprints during Sun Injury Development on the Tree in Granny Smith Apples: A Potential Non-Destructive Prediction Tool during the Growing Season. Sci. Hortic. 2016, 209, 165–172. [Google Scholar] [CrossRef]
- Torres, C.A.; Sepúlveda, A.; Leon, L.; Yuri, J.A. Early Detection of Sun Injury on Apples (Malus domestica Borkh.) through the Use of Crop Water Stress Index and Chlorophyll Fluorescence. Sci. Hortic. 2016, 211, 336–342. [Google Scholar] [CrossRef]
- Musacchi, S.; Serra, S. Apple Fruit Quality: Overview on Pre-Harvest Factors. Sci. Hortic. 2018, 234, 409–430. [Google Scholar] [CrossRef]
- Parchomchuk, P.; Meheriuk, M. Orchard Cooling with Pulsed Overtree Irrigation to Prevent Solar Injury and Improve Fruit Quality of “Jonagold” Apples. HortScience 1996, 31, 802–804. [Google Scholar] [CrossRef]
- Manja, K.; Aoun, M. The Use of Nets for Tree Fruit Crops and Their Impact on the Production: A Review. Sci. Hortic. 2019, 246, 110–122. [Google Scholar] [CrossRef]
- Gindaba, J.; Wand, S.J.E. Comparative Effects of Evaporative Cooling, Kaolin Particle Film, and Shade Net on Sunburn and Fruit Quality in Apples. HortScience 2005, 40, 592–596. [Google Scholar] [CrossRef]
- Racsko, J.; Schrader, L.E. Sunburn of Apple Fruit: Historical Background, Recent Advances and Future Perspectives. Crit. Rev. Plant Sci. 2012, 31, 455–504. [Google Scholar] [CrossRef]
- Mupambi, G.; Musacchi, S.; Serra, S.; Kalcsits, L.A.; Layne, D.R.; Schmidt, T. Protective Netting Improves Leaf-Level Photosynthetic Light Use Efficiency in ‘Honeycrisp’ Apple under Heat Stress. HortScience 2018, 53, 1416–1422. [Google Scholar] [CrossRef]
- Kalcsits, L.; Musacchi, S.; Layne, D.R.; Schmidt, T.; Mupambi, G.; Serra, S.; Mendoza, M.; Asteggiano, L. Above and Below-Ground Environmental Changes Associated with the Use of Photoselective Protective Netting to Reduce Sunburn in Apple. Agric. For. Meteorol. 2017, 237–238, 9–17. [Google Scholar] [CrossRef]
- Tanny, J.; Cohen, S.; Grava, A.; Naor, A.; Lukyanov, V. The Effect of Shading Screens on Microclimate of Apple Orchards. Acta Hortic. 2009, 807, 103–108. [Google Scholar] [CrossRef]
- McCaskill, M.R.; McClymont, L.; Goodwin, I.; Green, S.; Partington, D.L. How Hail Netting Reduces Apple Fruit Surface Temperature: A Microclimate and Modelling Study. Agric. For. Meteorol. 2016, 226–227, 148–160. [Google Scholar] [CrossRef]
- Blanke, M.M. The Structure of Coloured Hail Nets Affects Light Transmission, Light Spectrum, Phytochrome and Apple Fruit Colouration. Acta Hortic. 2009, 817, 177–184. [Google Scholar] [CrossRef]
- Solomakhin, A.; Blanke, M. The Microclimate under Coloured Hailnets Affects Leaf and Fruit Temperature, Leaf Anatomy, Vegetative and Reproductive Growth as Well as Fruit Colouration in Apple. Ann. Appl. Biol. 2010, 156, 121–136. [Google Scholar] [CrossRef]
- Bastías, R.M.; Manfrini, L.; Corelli Grappadelli, L. Exploring the Potential Use of Photo-Selective Nets for Fruit Growth Regulation in Apple. Chil. J. Agric. Res. 2012, 72, 224–231. [Google Scholar] [CrossRef]
- Naschitz, S.; Naor, A.; Sax, Y.; Shahak, Y.; Rabinowitch, H.D. Photo-Oxidative Sunscald of Apple: Effects of Temperature and Light on Fruit Peel Photoinhibition, Bleaching and Short-Term Tolerance Acquisition. Sci. Hortic. 2015, 197, 5–16. [Google Scholar] [CrossRef]
- Bastías, R.M.; Corelli-Grappadelli, L. Light Quality Management in Fruit Orchards: Physiological and Technological Aspects. Chil. J. Agric. Res. 2012, 72, 574–582. [Google Scholar] [CrossRef]
- Bosco, L.C.; Bergamaschi, H.; Marodin, G.A.B. Solar Radiation Effects on Growth, Anatomy, and Physiology of Apple Trees in a Temperate Climate of Brazil. Int. J. Biometeorol. 2020, 64, 1969–1980. [Google Scholar] [CrossRef]
- Schrader, L.E. Scientific Basis of a Unique Formulation for Reducing Sunburn of Fruits. HortScience 2011, 46, 6–11. [Google Scholar] [CrossRef]
- Reig, G.; Donahue, D.J.; Jentsch, P. The Efficacy of Four Sunburn Mitigation Strategies and Their Effects on Yield, Fruit Quality, and Economic Performance of Honeycrisp Cv. Apples under Eastern New York (USA) Climatic Conditions. Int. J. Fruit Sci. 2020, 3, 541–561. [Google Scholar] [CrossRef]
- Bosco, L.C.; Bergamaschi, H.; Cardoso, L.S.; Paula, V.A. de Microclimate Alterations Caused by Agricultural Hail Net Coverage and Effects on Apple Tree Yield in Subtropical Climate of Southern Brazil. Bragantia Camp. 2018, 77, 181–192. [Google Scholar] [CrossRef]
- Bernardi, R.E.; Holmgren, M.; Arim, M.; Scheffer, M. Why Are Forests so Scarce in Subtropical South America? The Shaping Roles of Climate, Fire and Livestock. For. Ecol. Manag. 2016, 363, 212–217. [Google Scholar] [CrossRef]
- Zibordi, M.; Domingos, S.; Grappadelli, L.C. Thinning Apples via Shading: An Appraisal under Field Conditions. J. Hortic. Sci. Biotechnol. 2009, 84, 138–144. [Google Scholar] [CrossRef]
- Archbold, D.D.; Nosarzewski, M.; Wu, B.; Vuppalapati, P. Does Availability of Soluble Carbohydrate Reserves Determine Apple Fruit Set? Available online: https://www.actahort.org/books/903/903_110.htm (accessed on 2 August 2021).
- Corelli-Grappadelli, L.; Lakso, A.N. Fruit Development in Deciduous Tree Crops as Affected by Physiological Factors and Environmental Conditions. Available online: https://www.actahort.org/books/636/636_52.htm (accessed on 2 August 2021).
- Torres, C.A.; Sepulveda, A.; Gonzalez-Talice, J.; Yuri, J.A.; Razmilic, I. Fruit Water Relations and Osmoregulation on Apples (Malus domestica Borkh.) with Different Sun Exposures and Sun-Injury Levels on the Tree. Sci. Hortic. 2013, 161, 143–152. [Google Scholar] [CrossRef]
- Hunsche, M.; Blanke, M.M.; Noga, G. Does the Microclimate under Hail Nets Influence Micromorphological Characteristics of Apple Leaves and Cuticles? J. Plant Physiol. 2010, 167, 974–980. [Google Scholar] [CrossRef]
- Mupambi, G.; Anthony, B.M.; Layne, D.R.; Musacchi, S.; Serra, S.; Schmidt, T.; Kalcsits, L.A. The Influence of Protective Netting on Tree Physiology and Fruit Quality of Apple: A Review. Sci. Hortic. 2018, 236, 60–72. [Google Scholar] [CrossRef]
- Mupambi, G.; Schmeisser, M.; Dzikiti, S.; Reynolds, S.; Steyn, W.J. Ineffectiveness of Foliar S-ABA Application as an Apple Sunburn Suppressant Explained through Effects on Peel Biochemistry and Leaf Ecophysiology. Sci. Hortic. 2018, 232, 256–263. [Google Scholar] [CrossRef]
- Woolf, A.B.; Ferguson, I.B. Postharvest Responses to High Fruit Temperatures in the Field. Postharvest Biol. Technol. 2000, 21, 7–20. [Google Scholar] [CrossRef]
- Flaishman, M.A.; Peles, Y.; Dahan, Y.; Milo-Cochavi, S.; Frieman, A.; Naor, A. Differential Response of Cell-Cycle and Cell-Expansion Regulators to Heat Stress in Apple (Malus domestica) Fruitlets. Plant Sci. 2015, 233, 82–94. [Google Scholar] [CrossRef] [PubMed]
- Dussi, M.C.; Giardina, G.; Sosa, D.; González Junyent, R.; Zecca, A.; Reeb, P.R. Shade Nets Effect on Canopy Light Distribution and Quality of Fruit and Spur Leaf on Apple Cv. Fuji. Span. J. Agric. Res. 2005, 3, 253–260. [Google Scholar] [CrossRef]
- Yuri, J.A. Daño Por Sol En Manzanas. Rev. Frutic. 2010, 8, 2–9. [Google Scholar]
- Glenn, D.M.; Yuri, J.A. Photosynthetically Active Radiation (PAR) × ultraviolet Radiation (UV) Interact to Initiate Solar Injury in Apple. Sci. Hortic. 2013, 162, 117–124. [Google Scholar] [CrossRef]
- Bosančić, B.; Mićić, N.; Blanke, M.; Pecina, M. A Main Effects Meta Principal Components Analysis of Netting Effects on Fruit: Using Apple as a Model Crop. Plant Growth Regul. 2018, 86, 455–464. [Google Scholar] [CrossRef]
- PVGIS-SARAH © European Communities, 2001–2017. Available online: https://ec.europa.eu/jrc/en/PVGIS/downloads/SARAH (accessed on 2 August 2021).
- Ferguson, I.; Volz, R.; Woolf, A. Preharvest Factors Affecting Physiological Disorders of Fruit. Postharvest Biol. Technol. 1999, 15, 255–262. [Google Scholar] [CrossRef]
- Niu, J.P.; Hou, Z.; Ou, Z.; Hui, W. Comparative Study of Effects of Resveratrol, 1-MCP and DPA Treatments on Postharvest Quality and Superficial Scald of ‘starkrimson’ Apples. Sci. Hortic. 2018, 240, 516–521. [Google Scholar] [CrossRef]
- Contreras, C.; Zoffoli, J.P.; Alcalde, J.A.; Ayala, M. Evolución Del Daño Por Insolación de Manzanas “Granny Smith” Durante El Almacenaje Refrigerado. Cienc. Investig. Agrar. 2008, 35, 147–157. [Google Scholar] [CrossRef]
- Olivares-Soto, H.; Bastías, R.M.; Calderón-Orellana, A.; López, M.D. Sunburn Control by Nets Differentially Affects the Antioxidant Properties of Fruit Peel in ‘Gala’ and ‘Fuji’ Apples. Hortic. Environ. Biotechnol. 2020, 61, 241–254. [Google Scholar] [CrossRef]










| Size of Last Date Evaluated before Harvest | ||||
|---|---|---|---|---|
| Largest Size Treatment | Smallest Size Treatment | Maximum Difference | ||
| Season 1 | BN35 | CON | 1.4 mm | * |
| Season 2 | PRO | MN50 | 1.0 mm | Ns |
| Season 3 | WN | BN50 | 1.5 mm | Ns |
| Season 4 | CON | WN | 2.5 mm | * |
| Shoot Length | %Reproductive * | %Spurs * | ||||
|---|---|---|---|---|---|---|
| Season | ||||||
| 1 | 22.30 | a | 61.99 | b | 35.02 | b |
| 2 | 15.21 | b | 24.36 | c | 55.31 | a |
| 3 | 16.89 | b | 77.62 | a | 49.79 | a |
| Treatment | ||||||
| WN | 17.65 | b | 55.75 | 50.35 | ||
| BN35 | 15.14 | c | 59.05 | 44.64 | ||
| BN50 | 22.01 | a | 65.56 | 49.29 | ||
| CON | 19.11 | a | 48.76 | 45.98 | ||
| Season | Harvest Sun Damage | Field Treatment | Sunscald Index | Proportion of Sunscald | ||||||||||
|---|---|---|---|---|---|---|---|---|---|---|---|---|---|---|
| Days of Storage | ||||||||||||||
| 60 | 120 | 210 | 60 | 120 | 210 | |||||||||
| 2 | Mild | BN35 | 1.62 | b | 1.80 | b | 2.16 | a | 0.37 | ns | 0.47 | ns | 0.63 | ns |
| BN50 | 1.64 | b | 2.00 | b | 1.67 | b | 0.41 | 0.54 | 0.46 | |||||
| PRO | 1.90 | a | 2.20 | a | 2.22 | a | 0.49 | 0.58 | 0.57 | |||||
| CON | 1.81 | ab | 1.86 | b | 1.92 | ab | 0.49 | 0.50 | 0.55 | |||||
| HF | BN35 | 1.37 | ns | 1.39 | a | 1.40 | ns | 0.28 | a | 0.29 | a | 0.26 | ns | |
| BN50 | 1.00 | 1.17 | bc | 1.20 | 0.00 | d | 0.14 | b | 0.14 | |||||
| PRO | 1.30 | 1.30 | ab | 1.30 | 0.17 | b | 0.15 | b | 0.19 | |||||
| CON | 1.14 | 1.10 | c | 1.30 | 0.10 | c | 0.06 | c | 0.20 | |||||
| 82 | 133 | 245 | 82 | 133 | 245 | |||||||||
| 3 | Mild | WN | 1.47 | b | 1.74 | b | 1.79 | c | 0.36 | b | 0.54 | c | 0.55 | c |
| BN35 | 1.22 | c | 1.16 | d | 1.48 | d | 0.17 | c | 0.16 | e | 0.40 | d | ||
| BN50 | 1.48 | b | 1.48 | c | 1.63 | cd | 0.39 | b | 0.41 | d | 0.46 | d | ||
| PRO | 1.93 | a | 2.26 | a | 2.39 | a | 0.61 | a | 0.87 | a | 0.87 | a | ||
| CON | 1.58 | b | 1.80 | b | 2.07 | b | 0.40 | b | 0.67 | b | 0.71 | b | ||
| HF | WN | 1.04 | b | 1.07 | b | 1.47 | ab | 0.04 | b | 0.07 | b | 0.28 | b | |
| BN35 | 1.06 | b | 1.08 | b | 1.63 | a | 0.04 | b | 0.08 | b | 0.44 | a | ||
| BN50 | 1.02 | b | 1.11 | b | 1.36 | b | 0.02 | b | 0.10 | b | 0.32 | b | ||
| PRO | 1.13 | a | 1.32 | a | 1.52 | ab | 0.14 | a | 0.29 | a | 0.42 | a | ||
| CON | 1.06 | b | 1.24 | a | 1.40 | ab | 0.06 | b | 0.23 | a | 0.37 | a | ||
Publisher’s Note: MDPI stays neutral with regard to jurisdictional claims in published maps and institutional affiliations. |
© 2021 by the authors. Licensee MDPI, Basel, Switzerland. This article is an open access article distributed under the terms and conditions of the Creative Commons Attribution (CC BY) license (https://creativecommons.org/licenses/by/4.0/).
Share and Cite
Severino, V.; Arias-Sibillotte, M.; Dogliotti, S.; Frins, E.; Yuri, J.A.; González-Talice, J. Pre- and Postharvest Management of Sunburn in ‘Granny Smith’ Apples (Malus × domestica Borkh) under Neotropical Climate Conditions. Agronomy 2021, 11, 1618. https://doi.org/10.3390/agronomy11081618
Severino V, Arias-Sibillotte M, Dogliotti S, Frins E, Yuri JA, González-Talice J. Pre- and Postharvest Management of Sunburn in ‘Granny Smith’ Apples (Malus × domestica Borkh) under Neotropical Climate Conditions. Agronomy. 2021; 11(8):1618. https://doi.org/10.3390/agronomy11081618
Chicago/Turabian StyleSeverino, Vivian, Mercedes Arias-Sibillotte, Santiago Dogliotti, Erna Frins, José Antonio Yuri, and Jaime González-Talice. 2021. "Pre- and Postharvest Management of Sunburn in ‘Granny Smith’ Apples (Malus × domestica Borkh) under Neotropical Climate Conditions" Agronomy 11, no. 8: 1618. https://doi.org/10.3390/agronomy11081618
APA StyleSeverino, V., Arias-Sibillotte, M., Dogliotti, S., Frins, E., Yuri, J. A., & González-Talice, J. (2021). Pre- and Postharvest Management of Sunburn in ‘Granny Smith’ Apples (Malus × domestica Borkh) under Neotropical Climate Conditions. Agronomy, 11(8), 1618. https://doi.org/10.3390/agronomy11081618

