UAV, a Farm Map, and Machine Learning Technology Convergence Classification Method of a Corn Cultivation Area
Abstract
1. Introduction
2. Materials and Methods
2.1. Study Area
2.2. Corn Growth Schedule and Weather Conditions in Goesan-Gun
2.3. Farm Map (Electronic Map of Farmland)
2.4. Crop Classification Method and Algorithm
2.5. Verification of the Accuracy of the Classification Results
2.6. Research Progression and Method
- (1)
- Image acquisition equipment: The UAV used to acquire wide-area images was a fixed-wing eBee Plus (Sensefly, Cheseaux-sur-Lausanne, Switzerland) (Figure 5). The UAV-mounted sensor used an RGB (16 MP) camera and a multi-spectral sensor (Sequoia+, Parrot, Paris, France) consisting of four spectral bands (12 MP): Green, Red, Red-Edge (RE), and Near Infrared (NIR). The Sequoia+ sensor collects the amount of light in real time by using the light sensor located on the top, and the light information is inputted into every single image and corrected.
- (2)
- UAV image acquisition plan: For the UAV imaging plan, an area of 2520 ha was planned using eMotion 3 (Sensefly, Cheseaux-sur-Lausanne, Switzerland) software, as shown in Figure 6, excluding mountainous and non-agricultural land. In consideration of the battery capacity, the flight time was set to not exceed 40 min at a time, and a total of 18 routes were set to acquire the entire area of the farmland. In Figure 6, the path in the orange box is the path taken on Day 1 of image acquisition, and the blue box is the path progression on Day 2. The numbers in the boxes are numbered arbitrarily, and the number in parentheses is the flight time. The time required for acquiring images in a wide area was two days for each acquisition, and it was performed once in May and June, taking a total of 4 days. The image acquisition altitude was 110 m, and a spatial resolution of 10 cm was set based on the multi-spectral band. The collected single images were produced as one reflectance image for each band using the Pix4D Mapper (Sensefly, Cheseaux-sur-Lausanne, Switzerland) program. The production time was about 26 h at a time in the hardware environment of Table 2. Radiation correction of each image was performed using the real-time light amount collected by the optical sensor in Figure 5 and the calibration panel during the image processing process.
- (3)
- Field Investigation: For the field survey, the Farm Map was superimposed on the UAV orthographic image acquired in advance and printed in A0 size, and the survey was conducted by directly visiting the site. As shown in Figure 7, with the use of ArcGIS Pro (Esri, Redlands, CA, USA) software, corn cultivation areas were classified as 1 and the rest as 0 based on the Farm Map boundary.
- (4)
- Data preprocessing: The classification data were prepared by extracting the average reflectance of the relevant lot using the acquired UAV image and the boundary division of the Farm Map. The explanatory variables of the classification model were constructed by selecting the average Green, Red, Red-Edge, and Near infrared (NIR) reflectance and NDVI (Normalized Difference Vegetation Index) of 10 variables in the two periods. NDVI was calculated using Equation (1):Here, NIR is the reflectance of the UAV image near infrared band, and RED is the reflectance of the Red band.
- (5)
- The dependent variable was based on whether or not corn was cultivated. The constructed variables were divided into training data and test data. For training data, 30% of the total data were randomly selected. The remaining 70% were used as test data.
- (6)
- Crop classification: In this study, an object-based classification method based on the Farm Map was applied. In object-based classification, image segmentation precedes object classification. The segmentation operation creates a region based on the similarity of texture, distance, and spacing of neighboring pixels. In order to apply this method to each site, the optimal division operation is completed through trial and error, and a lot of time and effort are required. Therefore, in this study, the image segmentation task was omitted by setting the boundary of the Farm Map as one object and using it for classification in order to efficiently utilize the high-capacity UAV data.
- (7)
- Accuracy evaluation: The UAV multispectral image consists of four bands, and when time series images are analyzed, 4*n high-dimensional data are generated. In this study, the mutual accuracy was compared by applying the SVM and RF algorithms with high interpretability in high-dimensional data. For crop classification, the Farm Map boundary was set as one object, and the SVM and RF algorithms were used to classify corn and other crops. The classified results were evaluated for accuracy using an error matrix.
- (8)
- Analysis tools: ArcGIS Pro software version 2.5 was used for explanation and input of dependent variables as well as visualization of image classification results. All procedures of data preprocessing and classification were performed using RStudio, an open-source program. The SVM and RF models were built using the R packages “Caret” and “randomForest”.
3. Results
3.1. UAV Orthoimage and Field Survey
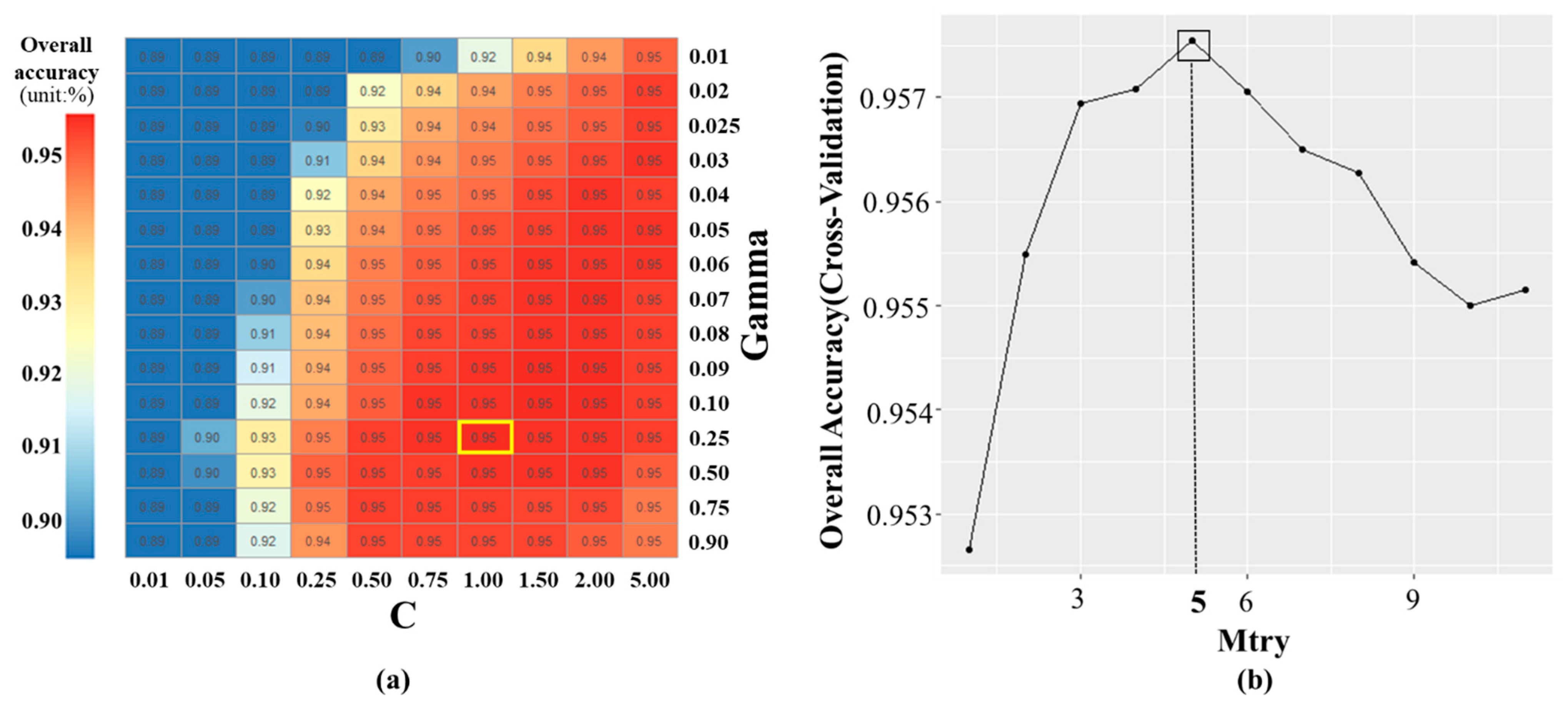
3.2. Data Preprocessing and Hyperparameter Tuning
3.3. Crop Classification Results and Accuracy Verification
4. Discussion
4.1. Crop Classification Methodology
4.2. Comparison between the Existing Image Segmentation Method and the Method Using Farm Map Data
5. Conclusions
- Existing UAV images were used for a narrow area of a lot unit (2 ha) or a field unit (20 ha), but in this study, a wide area of about 2700 ha was studied. It took about 4 days to acquire the UAV imagery, 36 flights, and about 52 h to produce the reflectance image.
- As a result of classification using the Farm Map-based SVM algorithm for wide-area images, we found 81.68% for PA, 75.09% for UA, 0.77 for the Kappa coefficient, and 0.78 for the F-measure. In particular, the results of the classification of the Farm Map-based RF algorithm showed a PA of 96.58%, UA of 92.27%, a Kappa coefficient of 0.94, and the F-measure of 0.94, with higher accuracy than SVM.
- As a result of applying the SVM algorithm, the corn cultivation area was estimated to be 96.54 ha, showing an accuracy of 90.27%. The RF algorithm estimated the corn cultivation area to be 98.77 ha and showed higher accuracy than SVM at 92.36%.
- In the task of classifying and dividing the cultivated area of crops, as a result of performing object-based classification using the Farm Map, it was found that the work efficiency, accuracy improvement, and processing time reduction were found to be very effective compared to the existing object division method. In addition, the Farm Map-based method was able to increase the efficiency of data processing by minimizing the possibility of misclassification of farmland and cultivated crops. As a result, it was found that the identification of the cultivated area of crops is a method that enables rapid and reliable analysis when using UAV images, Farm Map, and machine learning convergence.
Author Contributions
Funding
Institutional Review Board Statement
Informed Consent Statement
Data Availability Statement
Acknowledgments
Conflicts of Interest
Abbreviations
| Abbreviation | Full Name |
| UAV | Unmanned aerial vehicles |
| ICT | Information, Communications, and Technology |
| AI | Artificial intelligence |
| RS | Remote sensing |
| GIS | Geographic information system |
| LULC | Land use/land cover |
| SVM | Support vector machine |
| RF | Random forest |
| ANN | Artificial neural network |
| OA | Overall accuracy |
| UA | User’s accuracy |
| PA | Producer’s accuracy |
| R | Red |
| G | Green |
| RE | Red edge |
| NIR | Near infrared |
| NDVI | Normalized Difference Vegetation Index |
References
- Neeson, R. Going Organic: Organic Vegetable Production: A Guide to Convert to Organic Production; RIRDC: Wagga, Australia, 2007. [Google Scholar]
- Rosillo-Calle, F.; Johnson, F.X. Food Versus Fuel: An. Informed Introduction to Biofuels; ZED Books: London, UK, 2010. [Google Scholar]
- Laser, M.; Lynd, L. Introduction to cellulosic energy crops. Cellul. Energy Crop. Syst. 2014, 1–14. [Google Scholar] [CrossRef]
- Ministry of Agriculture, Food and Rural Affairs Home Page. Available online: https://www.mafra.go.kr/mafra/366/subview.do?enc=Zm5jdDF8QEB8JTJGYmJzJTJGbWFmcmElMkY3MSUyRjMwNTQzOCUyRmFydGNsVmlldy5kbyUzRg%3D%3D (accessed on 19 April 2021).
- Baek, S.-B.; Son, B.-Y.; Kim, J.-T.; Bae, H.-H.; Go, Y.-S.; Kim, S.-L. Changes and prospects in the development of corn varieties in Korea. Korean Soc. Breed. Sci. 2020, 52, 93–102. [Google Scholar] [CrossRef]
- Park, J.K.; Park, J.H. Applicability evaluation of agricultural subsidies inspection using unmanned aerial vehicle. J. Korean Soc. Agric. Eng. 2016, 58, 29–37. [Google Scholar] [CrossRef]
- Jeong, W.-C.; Kim, S.-B. Utilization of UAV and GIS for Efficient Agricultural Area Survey. J. Converg. Inf. Technol. 2020, 10, 201–207. [Google Scholar] [CrossRef]
- Park, J.K.; Park, J.H. Crops classification using imagery of unmanned aerial vehicle (UAV). J. Korean Soc. Agric. Eng. 2015, 57, 91–97. [Google Scholar] [CrossRef]
- Na, S.I.; Park, C.W.; So, K.H.; Ahn, H.Y.; Lee, K.D. Application Method of Unmanned Aerial Vehicle for Crop Monitoring in Korea. Korean J. Remote Sens. 2018, 34, 829–846. [Google Scholar] [CrossRef]
- Ye, H.C.; Huang, W.J.; Huang, S.Y.; Cui, B.; Dong, Y.Y.; Guo, A.T.; Ren, Y.; Jin, Y. Recognition of Banana Fusarium Wilt Based on UAV Remote Sensing. Remote Sens. 2020, 12, 938. [Google Scholar] [CrossRef]
- Park, J.-K.; Das, A.; Park, J.-H. Application trend of unmanned aerial vehicle (UAV) image in agricultural sector: Review and proposal. Korean J. Agric. Sci. 2015, 42, 269–276. [Google Scholar] [CrossRef]
- Turner, B.; Meyer, W.B.; Skole, D.L. Global land-use/land-cover change: Towards an integrated study. Ambio 1994, 23, 91–95. [Google Scholar]
- Di Gregorio, A. Land Cover Classification System: Classification Concepts and User Manual: LCCS; Food & Agriculture Organization: Rome, Italy, 2005; Volume 2. [Google Scholar]
- Foody, G.M. Status of land cover classification accuracy assessment. Remote Sens. Environ. 2002, 80, 185–201. [Google Scholar] [CrossRef]
- Fisher, P.; Comber, A.J.; Wadsworth, R. Land use and land cover: Contradiction or complement. In Re-Presenting GIS; John Wiley and Sons: Hoboken, NJ, USA, 2005; pp. 85–98. [Google Scholar]
- Warner, T.; Almutairi, A.; Lee, J.Y. Remote Sensing of Land Cover Change; SAGE: London, UK, 2009. [Google Scholar]
- Adam, E.; Mutanga, O.; Odindi, J.; Abdel-Rahman, E.M. Land-use/cover classification in a heterogeneous coastal landscape using RapidEye imagery: Evaluating the performance of random forest and support vector machines classifiers. Int. J. Remote Sens. 2014, 35, 3440–3458. [Google Scholar] [CrossRef]
- Tolessa, T.; Senbeta, F.; Kidane, M. The impact of land use/land cover change on ecosystem services in the central highlands of Ethiopia. Ecosyst. Serv. 2017, 23, 47–54. [Google Scholar] [CrossRef]
- Mubako, S.; Belhaj, O.; Heyman, J.; Hargrove, W.; Reyes, C. Monitoring of Land Use/Land-Cover Changes in the Arid Transboundary Middle Rio Grande Basin Using Remote Sensing. Remote Sens. 2018, 10, 2005. [Google Scholar] [CrossRef]
- Kim, Y.; Kwak, G.-H.; Lee, K.-D.; Na, S.-I.; Park, C.-W.; Park, N.-W. Performance evaluation of machine learning and deep learning algorithms in crop classification: Impact of hyper-parameters and training sample size. Korean J. Remote Sens. 2018, 34, 811–827. [Google Scholar] [CrossRef]
- Maxwell, A.E.; Warner, T.A.; Fang, F. Implementation of machine-learning classification in remote sensing: An applied review. Int. J. Remote Sens. 2018, 39, 2784–2817. [Google Scholar] [CrossRef]
- Shih, H.C.; Stow, D.A.; Tsai, Y.H. Guidance on and comparison of machine learning classifiers for Landsat-based land cover and land use mapping. Int. J. Remote Sens. 2019, 40, 1248–1274. [Google Scholar] [CrossRef]
- Jamali, A. Evaluation and comparison of eight machine learning models in land use/land cover mapping using Landsat 8 OLI: A case study of the northern region of Iran. SN Appl. Sci. 2019, 1. [Google Scholar] [CrossRef]
- de Jong, S.M.; Hornstra, T.; Maas, H.-G. An integrated spatial and spectral approach to the classification of Mediterranean land cover types: The SSC method. Int. J. Appl. Earth Obs. Geoinf. 2001, 3, 176–183. [Google Scholar] [CrossRef]
- Hsu, C.-W.; Chang, C.-C.; Lin, C.-J. A Practical Guide to Support. In Vector Classification; National Taiwan University: Taipei, Taiwan, 2003. [Google Scholar]
- Melgani, F.; Bruzzone, L. Classification of hyperspectral remote sensing images with support vector machines. IEEE Trans. Geosci. Remote Sens. 2004, 42, 1778–1790. [Google Scholar] [CrossRef]
- Kim, N.; Cho, J.; Shibasaki, R.; Lee, Y. Estimation of Corn and Soybeans Yields of the US Midwest using Satellite Imagery and Climate Dataset. J. Clim. Res. 2014, 9, 315–329. [Google Scholar] [CrossRef]
- Park, H.-J.; Ahn, J.-B.; Jung, M.-P. Correlation between the maize yield and satellite-based vegetation index and agricultural climate factors in the three provinces of Northeast China. Korean J. Remote Sens. 2017, 33, 709–720. [Google Scholar] [CrossRef]
- Ghosh, A.; Joshi, P.K. A comparison of selected classification algorithms for mapping bamboo patches in lower Gangetic plains using very high resolution WorldView 2 imagery. Int. J. Appl. Earth Obs. Geoinf. 2014, 26, 298–311. [Google Scholar] [CrossRef]
- Kuo, B.-C.; Ho, H.-H.; Li, C.-H.; Hung, C.-C.; Taur, J.-S. A kernel-based feature selection method for SVM with RBF kernel for hyperspectral image classification. IEEE J. Sel. Top. Appl. Earth Obs. Remote Sens. 2013, 7, 317–326. [Google Scholar] [CrossRef]
- Stefanski, J.; Mack, B.; Waske, B. Optimization of Object-Based Image Analysis with Random Forests for Land Cover Mapping. IEEE J. Sel. Top. Appl. Earth Obs. Remote Sens. 2013, 6, 2492–2504. [Google Scholar] [CrossRef]
- Nitze, I.; Barrett, B.; Cawkwell, F. Temporal optimisation of image acquisition for land cover classification with Random Forest and MODIS time-series. Int. J. Appl. Earth Obs. Geoinf. 2015, 34, 136–146. [Google Scholar] [CrossRef]
- Kim, Y.; Park, N.-W.; Hong, S.; Lee, K.; Yoo, H.Y. Early production of large-area crop classification map using time-series vegetation index and past crop cultivation patterns-A case study in Iowa State, USA. Korean J. Remote Sens. 2014, 30, 493–503. [Google Scholar] [CrossRef]
- Hong, S.; Lee, B.; Jang, S.; Park, Y. Improve the quality of farm map using unmanned aerial photogrammetry. In Proceedings of the Conference of the Korean Society for GeoSpatial Information Science, Jeju, Korea, 2015; pp. 159–162. [Google Scholar]
- Lee, K.-D.; Lee, Y.-E.; Park, C.-W.; Na, S.-I. A comparative study of image classification method to classify onion and garlic using Unmanned Aerial Vehicle (UAV) imagery. Korean J. Soil. Sci. Fertil. 2016, 49, 743–750. [Google Scholar] [CrossRef][Green Version]
- Na, S.I.; Park, C.W.; So, K.H.; Park, J.M.; Lee, K.D. Satellite Imagery based Winter Crop Classification Mapping using Hierarchica Classification. Korean J. Remote Sens. 2017, 33, 677–687. [Google Scholar] [CrossRef]
- Huang, H.S.; Lan, Y.B.; Yang, A.Q.; Zhang, Y.L.; Wen, S.; Deng, J.Z. Deep learning versus Object-based Image Analysis (OBIA) in weed mapping of UAV imagery. Int. J. Remote Sens. 2020, 41, 3446–3479. [Google Scholar] [CrossRef]
- Cortes, C.; Vapnik, V. Support-vector networks. Mach. Learn. 1995, 20, 273–297. [Google Scholar] [CrossRef]
- Friedman, N.; Geiger, D.; Goldszmidt, M. Bayesian network classifiers. Mach. Learn. 1997, 29, 131–163. [Google Scholar] [CrossRef]
- Ho, T.K. The random subspace method for constructing decision forests. IEEE Trans. Pattern Anal. 1998, 20, 832–844. [Google Scholar]
- Erbek, F.S.; Ozkan, C.; Taberner, M. Comparison of maximum likelihood classification method with supervised artificial neural network algorithms for land use activities. Int. J. Remote Sens. 2004, 25, 1733–1748. [Google Scholar] [CrossRef]
- Abdel-Rahman, E.M.; Mutanga, O.; Adam, E.; Ismail, R. Detecting Sirex noctilio grey-attacked and lightning-struck pine trees using airborne hyperspectral data, random forest and support vector machines classifiers. ISPRS J. Photogramm. Remote Sens. 2014, 88, 48–59. [Google Scholar] [CrossRef]
- Shao, Y.; Lunetta, R.S. Comparison of support vector machine, neural network, and CART algorithms for the land-cover classification using limited training data points. ISPRS J. Photogramm. Remote Sens. 2012, 70, 78–87. [Google Scholar] [CrossRef]
- Hu, W.; Huang, Y.Y.; Wei, L.; Zhang, F.; Li, H.C. Deep Convolutional Neural Networks for Hyperspectral Image Classification. J. Sens. 2015, 2015. [Google Scholar] [CrossRef]
- Diago, M.P.; Sanz-Garcia, A.; Millan, B.; Blasco, J.; Tardaguila, J. Assessment of flower number per inflorescence in grapevine by image analysis under field conditions. J. Sci. Food Agric. 2014, 94, 1981–1987. [Google Scholar] [CrossRef]
- Dias, P.A.; Tabb, A.; Medeiros, H. Multispecies Fruit Flower Detection Using a Refined Semantic Segmentation Network. IEEE Robot. Autom. Lett. 2018, 3, 3003–3010. [Google Scholar] [CrossRef]
- Sheykhmousa, M.; Mahdianpari, M.; Ghanbari, H.; Mohammadimanesh, F.; Ghamisi, P.; Homayouni, S. Support Vector Machine vs. Random Forest for Remote Sensing Image Classification: A Meta-analysis and systematic review. IEEE J. Sel. Top. Appl. Earth Obs. Remote Sens. 2020. [Google Scholar] [CrossRef]
- Carranza-Garcia, M.; Garcia-Gutierrez, J.; Riquelme, J.C. A Framework for Evaluating Land Use and Land Cover Classification Using Convolutional Neural Networks. Remote Sens. 2019, 11, 274. [Google Scholar] [CrossRef]
- Lee, D.H.; Shin, H.S.; Park, J.H. Developing a p-NDVI Map for Highland Kimchi Cabbage Using Spectral Information from UAVs and a Field Spectral Radiometer. Agronomy 2020, 10, 1798. [Google Scholar] [CrossRef]
- Stumpf, A.; Kerle, N. Object-oriented mapping of landslides using Random Forests. Remote Sens. Environ. 2011, 115, 2564–2577. [Google Scholar] [CrossRef]
- Puissant, A.; Rougier, S.; Stumpf, A. Object-oriented mapping of urban trees using Random Forest classifiers. Int. J. Appl. Earth Obs. Geoinf. 2014, 26, 235–245. [Google Scholar] [CrossRef]
- Berhane, T.M.; Lane, C.R.; Wu, Q.; Autrey, B.C.; Anenkhonov, O.A.; Chepinoga, V.V.; Liu, H. Decision-tree, rule-based, and random forest classification of high-resolution multispectral imagery for wetland mapping and inventory. Remote Sens. 2018, 10, 580. [Google Scholar] [CrossRef]
- Ma, L.; Cheng, L.; Li, M.C.; Liu, Y.X.; Ma, X.X. Training set size, scale, and features in Geographic Object-Based Image Analysis of very high resolution unmanned aerial vehicle imagery. ISPRS J. Photogramm. Remote Sens. 2015, 102, 14–27. [Google Scholar] [CrossRef]
- Korea Agency of Education, Promotion and Information Service in Food, Agriculture, Forestry and Fishery hompage. Available online: https://agis.epis.or.kr/ASD/main/intro.do# (accessed on 10 April 2021).
- University of Arkansas. Available online: https://www.uaex.edu/publications/pdf/mp437/mp437.pdf (accessed on 25 June 2021).
- Ransom, J.; Endres, G. Corn Growth and Management Quick Guide; North Dakota State University: Fargo, ND, USA, 2013. [Google Scholar]
- Korea Meteorological Administration Hompage. Available online: https://data.kma.go.kr/data/grnd/selectAsosRltmList.do?pgmNo=36 (accessed on 18 April 2021).
- Cheng, G.; Han, J.W.; Zhou, P.C.; Guo, L. Multi-class geospatial object detection and geographic image classification based on collection of part detectors. ISPRS J. Photogramm. Remote Sens. 2014, 98, 119–132. [Google Scholar] [CrossRef]
- Dangeti, P. Statistics for Machine Learning; Packt Publishing Ltd.: Birmingham, UK, 2017. [Google Scholar]
- Géron, A. Hands-On Machine Learning with Scikit-Learn. and TensorFlow: Concepts, Tools, and Techniques to Build. Intelligent Systems; O’Reilly Media: Newton, MA, USA, 2017. [Google Scholar]
- Mountrakis, G.; Im, J.; Ogole, C. Support vector machines in remote sensing: A review. ISPRS J. Photogramm. Remote Sens. 2011, 66, 247–259. [Google Scholar] [CrossRef]
- Chang, C.; Lin, C. LIBSVM: A library for support vector machines ACM Trans. Intell. Syst. Technol. 2001, 2, 1–27. [Google Scholar]
- Breiman, L. Random forests. Mach. Learn. 2001, 45, 5–32. [Google Scholar] [CrossRef]
- Pal, M. Random forest classifier for remote sensing classification. Int. J. Remote Sens. 2005, 26, 217–222. [Google Scholar] [CrossRef]
- Rodriguez-Galiano, V.F.; Ghimire, B.; Rogan, J.; Chica-Olmo, M.; Rigol-Sanchez, J.P. An assessment of the effectiveness of a random forest classifier for land-cover classification. ISPRS J. Photogramm. Remote Sens. 2012, 67, 93–104. [Google Scholar] [CrossRef]
- Klusowski, J.M. Complete analysis of a random forest model. arXiv 2018, arXiv:1805.02587. [Google Scholar]













| Field Survey | |||||
|---|---|---|---|---|---|
| Classification Result | Type A | Type B | Total | Producer’s Accuracy (%) | |
| Type A | |||||
| Type B | |||||
| Total | |||||
| User’s accuracy (%) | |||||
| Overall Accuracy (%) | |||||
| Kappa Coefficient | = | ||||
| F-measure | |||||
| Item | Specification |
|---|---|
| CPU | Intel(R) Core(TM) i9-7900X CPU@ 3.3 GHz 3.31 GHz |
| RAM | 64 GB |
| Graphic card | NVIDIA GeForce GTX 1080 Ti |
| Date of Acquisition | Area (ha) | Number of Shots (ea) | File Size (GB) |
|---|---|---|---|
| May 8~9, 2020 | 2721 | 48,564 | 14.8 |
| June 18~19, 2020 | 2680 | 47,858 | 14.7 |
| Crop | Number of Fields (ea) | Area (ha) | Area Rate (%) |
|---|---|---|---|
| Corn | 582 | 109.94 | 12.5 |
| Others | 4918 | 749.05 | 87.5 |
| Field Survey | |||||
|---|---|---|---|---|---|
| Classification Result | Corn | Others | Total | Producer’s Accuracy (%) | |
| Corn | 437 | 145 | 582 | 75.09 | |
| Others | 98 | 4820 | 4918 | 98.01 | |
| Total | 535 | 4965 | 5500 | ||
| User’s Accuracy (%) | 81.68 | 97.08 | |||
| Overall Accuracy (%) | 95.58 | ||||
| Kappa Coefficient | 0.77 | ||||
| F-measure | 0.78 | ||||
| Field Survey | |||||
|---|---|---|---|---|---|
| Classification Result | Corn | Others | Total | Producer’s Accuracy (%) | |
| Corn | 537 | 45 | 582 | 92.27 | |
| Others | 19 | 4899 | 4918 | 99.61 | |
| Total | 556 | 4944 | 5500 | ||
| User’s Accuracy (%) | 96.58 | 99.09 | |||
| Overall Accuracy (%) | 98.84 | ||||
| Kappa Coefficient | 0.94 | ||||
| F-measure | 0.94 | ||||
| Classification Method | Area (ha) | Area Accuracy (%) |
|---|---|---|
| Field survey | 106.94 | 100 |
| SVM | 96.54 | 90.27 |
| RF | 98.77 | 92.36 |
Publisher’s Note: MDPI stays neutral with regard to jurisdictional claims in published maps and institutional affiliations. |
© 2021 by the authors. Licensee MDPI, Basel, Switzerland. This article is an open access article distributed under the terms and conditions of the Creative Commons Attribution (CC BY) license (https://creativecommons.org/licenses/by/4.0/).
Share and Cite
Lee, D.-H.; Kim, H.-J.; Park, J.-H. UAV, a Farm Map, and Machine Learning Technology Convergence Classification Method of a Corn Cultivation Area. Agronomy 2021, 11, 1554. https://doi.org/10.3390/agronomy11081554
Lee D-H, Kim H-J, Park J-H. UAV, a Farm Map, and Machine Learning Technology Convergence Classification Method of a Corn Cultivation Area. Agronomy. 2021; 11(8):1554. https://doi.org/10.3390/agronomy11081554
Chicago/Turabian StyleLee, Dong-Ho, Hyeon-Jin Kim, and Jong-Hwa Park. 2021. "UAV, a Farm Map, and Machine Learning Technology Convergence Classification Method of a Corn Cultivation Area" Agronomy 11, no. 8: 1554. https://doi.org/10.3390/agronomy11081554
APA StyleLee, D.-H., Kim, H.-J., & Park, J.-H. (2021). UAV, a Farm Map, and Machine Learning Technology Convergence Classification Method of a Corn Cultivation Area. Agronomy, 11(8), 1554. https://doi.org/10.3390/agronomy11081554

