Biosolids Benefit Yield and Nitrogen Uptake in Winter Cereals without Excess Risk of N Leaching
Abstract
1. Introduction
2. Materials and Methods
2.1. Site Characteristics and Experimental Design
- –
- Unfertilized control (C);
- –
- Standard mineral fertilization at the rate of 150 kg N ha−1 (MF) applied in three fractions: 30, 60, and 60 kg N ha−1, respectively, (i) at sowing with ammonium sulphate, (ii) at the beginning of stem elongation (BBCH 30), and (iii) at first node 1 cm above tillering node (BBCH 31), with urea;
- –
- Biosolids at three different rates: 5 (B5), 10 (B10), and 15 (B15) Mg DM ha−1 applied 7 days prior to sowing.
2.2. Experimental Equipment and Crop Management
2.3. Sampling Procedures and Measurements
2.3.1. Leachates
2.3.2. Statistical Analysis
3. Results
3.1. Weather Conditions
3.2. Year Effect on Crop Growth
3.3. Effects of Biosolid Application on Biomass and N Content of Winter Cereals at Flowering
3.4. Effects of Biosolid Application on Biomass of Winter Cereals at Maturity
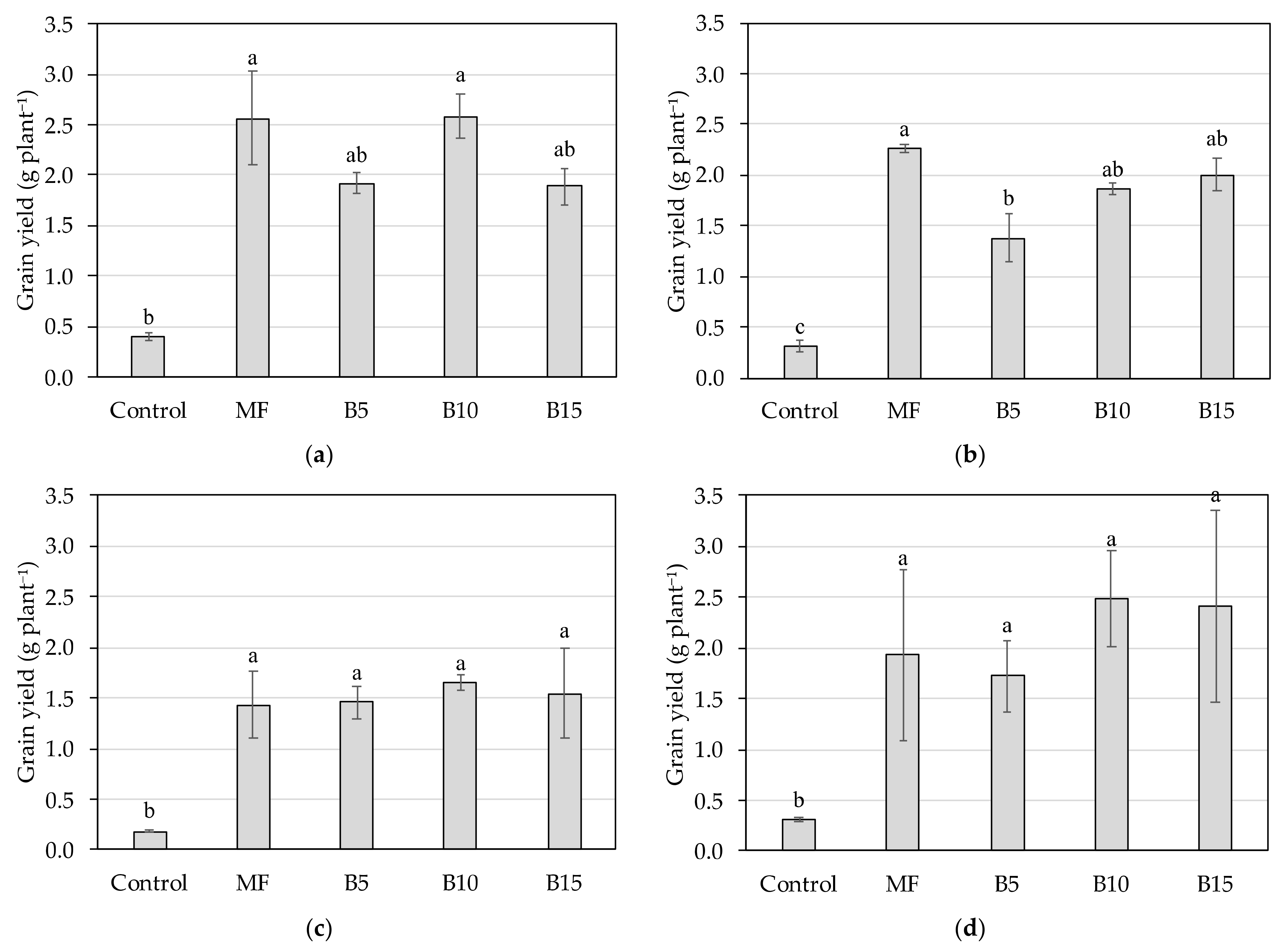
3.5. Effects of Biosolid Application on Grain Yield and Yield Components of Winter Cereals
3.6. Effects of Biosolid Application on N Concentration and N Content of Winter Cereals
3.7. Effects of Biosolid Application on Nitrate Leaching
4. Discussion
4.1. Seasonal Patterns Influenced Biomass and Grain Yield of Winter Cereals
4.2. Biosolids Are Beneficial for Winter Cereals Compared to Unfertilized Controls
4.3. Fertilizer Value of Biosolids for Winter Cereals
4.4. Type and Rate of Fertilizers Can Affect Nitrate Leaching Risk
5. Conclusions
Supplementary Materials
Author Contributions
Funding
Data Availability Statement
Conflicts of Interest
Abbreviations
References
- Pires, A.; Martinho, G. Waste hierarchy index for circular economy in waste management. Waste Manag. 2019, 95, 298–305. [Google Scholar] [CrossRef] [PubMed]
- EPA Basic Information about Biosolids. Available online: https://www.epa.gov/biosolids/basic-informationabout-biosolids (accessed on 1 June 2021).
- Sharma, B.; Sarkar, A.; Singh, P.; Singh, R.P. Agricultural utilization of biosolids: A review on potential effects on soil and plant grown. Waste Manag. 2017, 64, 117–132. [Google Scholar] [CrossRef] [PubMed]
- Antille, D.L.; Sakrabani, R.; Godwin, R.J. Nitrogen release characteristics from biosolids-derived organomineral fertilizers. Comm. Soil Sci. Plant Anal. 2014, 45, 1687–1698. [Google Scholar] [CrossRef]
- Singh, R.P.; Agrawal, M. Potential benefits and risks of land application of sewage sludge. Waste Manag. 2008, 28, 347–358. [Google Scholar] [CrossRef] [PubMed]
- Rigby, H.; Clarke, B.O.; Pritchard, D.L.; Meehan, B.; Beshah, F.; Smith, S.R.; Porter, N.A. A critical review of nitrogen mineralization in biosolids-amended soil, the associated fertilizer value for crop production and potential for emission to the environment. Sci. Total Environ. 2016, 541, 1310–1338. [Google Scholar] [CrossRef] [PubMed]
- Collivignarelli, M.C.; Abbà, A.; Frattarola, A.; Carnevale Miino, M.; Padovani, S.; Katsoyiannis, I.; Torretta, V. Legislation for the reuse of biosolids on agricultural land in Europe: Overview. Sustainability 2019, 11, 6015. [Google Scholar] [CrossRef]
- Agopsowicz, M.; Bialowiec, A.; Pijarczyk, P. Sewage sludge land disposal effects on ground water. Arch. Environ. Prot. 2008, 34, 73–82. [Google Scholar]
- Alvarenga, P.; Mourinha, C.; Farto, M.; Santos, T.; Palma, P.; Sengo, J.; Morais, M.C.; Cunha-Queda, C. Sewage sludge, compost and other representative organic wastes as agricultural soil amendments: Benefits versus limiting factors. Waste Manag. 2015, 40, 44–52. [Google Scholar] [CrossRef] [PubMed]
- Ochoa-Hueso, R.; Allen, E.B.; Branquinho, C.; Cruz, C.; Dias, T.; Fenn, M.E.; Manrique, E.; Pérez-Corona, M.E.; Sheppard, L.J.; Stock, W.D. Nitrogen deposition effects on Mediterranean-type ecosystems: An ecological assessment. Environ. Pollut. 2011, 159, 2265–2279. [Google Scholar] [CrossRef]
- Arduini, I.; Cardelli, R.; Pampana, S. Biosolids affect the growth, nitrogen accumulation and nitrogen leaching of barley. Plant Soil Environ. 2018, 64, 95–101. [Google Scholar]
- Mantovi, P.; Baldoni, G.; Toderi, G. Reuse of liquid, dewatered, and composted sewage sludge on agricultural land: Effects of long-term application on soil and crop. Water Res. 2005, 39, 289–296. [Google Scholar] [CrossRef]
- Barbarick, K.A.; Ippolito, J.A. Nitrogen fertilizer equivalency of sewage sludge biosolids applied to dryland winter wheat. J. Environ. Qual. 2000, 29, 1345–1351. [Google Scholar] [CrossRef]
- Cogger, C.G.; Bary, A.I.; Kennedy, A.C.; Fortuna, A.M. Long-term crop and soil response to biosolids applications in dryland wheat. J. Environ. Qual. 2013, 42, 1872–1880. [Google Scholar] [CrossRef]
- Tamrabet, L.; Bouzerzour, H.; Kribaa, M.; Makhlouf, M. The effect of sewage sludge application on durum wheat (Triticum durum). Int. J. Agric. Biol. 2009, 11, 741–745. [Google Scholar]
- Boudjabi, S.; Kribaa, M.; Chenchouni, H. Growth, physiology and yield of durum wheat (Triticum durum) treated with sewage sludge under water stress conditions. EXCLI J. 2015, 14, 320–334. [Google Scholar] [PubMed]
- Tamimi, A.H.; Athamneh, B.; Gerba, C.P.; Suleiman, W. Biosolids application for barley production. J. Residuals Sci. Technol. 2016, 13, 153–163. [Google Scholar] [CrossRef]
- Flores Félix, E.; Moreno Casillas, H.; Figueroa Viramonte, U.; Potisek Talavera, M.C.P. Nitrogen availability and growth of forage oats (Avena sativa L.) with application biosolids. Terra Latinoam. 2014, 32, 99–105. [Google Scholar]
- Gilmour, J.T.; Cogger, C.G.; Jacobs, L.W.; Evanylo, G.K.; Sullivan, D.M. Decomposition and plant-available nitrogen in biosolids: Laboratory studies, field studies, and computer simulation. J. Environ. Qual. 2003, 32, 1498–1507. [Google Scholar] [CrossRef] [PubMed]
- Pampana, S.; Scartazza, A.; Cardelli, R.; Saviozzi, A.; Guglielminetti, L.; Vannacci, G.; Mariotti, M.; Masoni, A.; Arduini, I. Biosolids differently affect seed yield, nodule growth, nodule-specific activity, and symbiotic nitrogen fixation of field bean. Crop Pasture Sci. 2017, 68, 735–745. [Google Scholar] [CrossRef]
- Ercoli, L.; Masoni, A.; Pampana, S.; Mariotti, M.; Arduini, I. As durum wheat productivity is affected by nitrogen fertilization management in Central Italy. Eur. J. Agron. 2013, 44, 38–45. [Google Scholar] [CrossRef]
- Meier, U. BBCH-Monograph: Growth Stages of Mono-and Dicotyledonous Plants, 2nd ed.; Federal Biological Research Centre for Agriculture and Forestry: Quedlinburg, Germany, 2001; pp. 18–23. [Google Scholar]
- Abbate, P.E.; Pontaroli, A.C.; Lazaro, L.; Gutheim, F. A method of screening for spike fertility in wheat. J. Agric. Sci. 2013, 151, 322–330. [Google Scholar] [CrossRef]
- Barbarick, K.A.; Ippolito, J.A. Nutrient assessment of a dryland wheat agroecosystem after 12 years of biosolids application. Agron. J. 2007, 99, 715–722. [Google Scholar] [CrossRef]
- Alzueta, I.; Abeledo, L.G.; Mignone, C.M.; Miralles, D.J. Differences between wheat and barley in leaf tillering coordination under contrasting nitrogen and sulfur conditions. Eur. J. Agron. 2012, 41, 92–102. [Google Scholar] [CrossRef]
- Ferrante, A.; Savin, R.; Slafer, G.A. Floret development of durum wheat in response to nitrogen availability. J. Exp. Bot. 2010, 61, 4351–4359. [Google Scholar] [CrossRef]
- Pampana, S.; Mariotti, M. Durum wheat yield and N uptake as affected by N rate, timing and source in two Mediterranean environments. Agronomy 2021, 11, 1299. [Google Scholar] [CrossRef]
- Browne, R.A.; White, E.M.; Burke, J.I. Responses of developmental yield formation processes in oats to variety, nitrogen, seed rate and plant growth regulator and their relationship to quality. J. Agric. Sci. 2006, 144, 533–545. [Google Scholar] [CrossRef]
- Antolin, M.C.; Pascual, I.; Garcia, C.; Polo, A.; Sanchez-Diaz, M. Growth, yield and solute content of barley in soils treated with sewage sludge under semiarid Mediterranean conditions. Field Crops Res. 2005, 94, 224–237. [Google Scholar] [CrossRef]
- Antille, D.L.; Godwin, R.J.; Sakrabani, R.; Seneweera, S.; Tyrrel, S.F.; Johnston, A.E. Field-scale evaluation of biosolids-derived organomineral fertilizer applied to winter wheat in England. Agron. J. 2017, 109, 654–674. [Google Scholar] [CrossRef]
- Boudjabi, S.; Kribaa, M.; Chenchouni, H. Sewage sludge fertilization alleviates drought stress and improves physiological adaptation and yield performances in durum wheat (Triticum durum): A double-edged sword. J. King Saud Univ. Sci. 2019, 31, 336–344. [Google Scholar] [CrossRef]
- Flores-Margez, J.P.; Corral-Díazy, B.; Sapien-Mediano, G. Mineralización de nitrógeno de biosólidos estabilizados con cal en suelos agrícolas. Terra Latinoam. 2007, 25, 409–417. [Google Scholar]
- Forsberg, R.A.; Reeves, D.L. Agronomy of oats. In The Oat Crop; Welch, R.W., Ed.; Springer: Dordrecht, The Netherlands, 1995; pp. 223–251. [Google Scholar]
- Maral, H.; Dumlupinar, Z.; Dokuyucu, T.; Akkaya, A. Impact of genotype and nitrogen fertilizer rate on yield and nitrogen use by oat (Avena sativa L.) in Turkey. Turk. J. Field Crops 2012, 17, 177–184. [Google Scholar]
- Sanchez, L.; Coelho de Araujo, L.; Novaes dos Santos-Araujo, S.; de Carvalho de Oliveira, A.; dos Santos, A.C.; de Oliveira, B.T. Sowing season and nitrogen fertilization rates in two oats cultivars grown under greenhouse conditions. J. Agric. Sci. 2008, 10, 133–141. [Google Scholar] [CrossRef]
- Peltonen-Sainio, P.; Peltonen, J. Floret set and abortion in oat and wheat under high and low nitrogen regimes. Eur. J. Agron. 1995, 4, 253–262. [Google Scholar] [CrossRef]
- Christie, P.; Easson, D.L.; Picton, J.R.; Love, S.C.P. Agronomic value of alkaline-stabilized sewage biosolids for spring barley. Agron. J. 2001, 93, 144–151. [Google Scholar] [CrossRef]
- Debiase, G.; Montemurro, F.; Fiore, A.; Rotolo, C.; Farrag, C.; Miccolis, A.; Brunetti, G. Organic amendment and minimum tillage in winter wheat grown in Mediterranean conditions: Effects on yield performance, soil fertility and environmental impact. Europ. J. Agron. 2016, 75, 149–157. [Google Scholar] [CrossRef]
- Möller, K.; Müller, T. Effects of anaerobic digestion on digestate nutrient availability and crop growth: A review. Eng. Life Sci. 2012, 12, 242–257. [Google Scholar] [CrossRef]
- Ondreičková, K.; Piliarová, M.; Klčová, L.; Žofajová, A.; Gubiš, J.; Horník, M.; Gubišová, M.; Hudcovicová, M.; Kraic, J. The impact of sewage sludge on the fungal communities in the rhizosphere and roots of barley and on barley yield. Open Life Sci. 2021, 16, 210–221. [Google Scholar] [CrossRef] [PubMed]
- Bonnet, O.T. Inflorescence of Maize, Wheat, Rye, Barley, and Oats: Their Initiation and Development. Bulletin 721; University of Illinois College of Agriculture: Urbana, IL, USA, 1961; pp. 5–105. [Google Scholar]
- Cottrell, J.E.; Easton, R.H.; Dale, J.E.; Wadsworth, A.C.; Adam, J.S.; Child, R.D.; Hoad, G.V. A comparison of spike and spikelet survival in mainstem and tillers of barley. Ann. Appl. Biol. 1995, 106, 365–377. [Google Scholar] [CrossRef]
- Arduini, I.; Ercoli, L.; Mariotti, M.; Masoni, A. Coordination between plant and apex development in Hordeum vulgare ssp. Distichum. C.R. Biol. 2010, 333, 454–460. [Google Scholar] [CrossRef] [PubMed]
- Aspinall, D. The control of tillering in the barley plant 1. The pattern of tillering and its relation to nutrient supply. Aust. J. Biol. Sci. 1961, 14, 493–505. [Google Scholar] [CrossRef]
- Arisnabarreta, S.; Miralles, D.J. Nitrogen and radiation effects during the active spike-growth phase on floret development and biomass partitioning in 2- and 6-rowed barley isolines. Crop Pasture Sci. 2010, 61, 578–587. [Google Scholar] [CrossRef]
- Gonzalez-Navarro, O.E.; Griffiths, S.; Molero, G.; Reynolds, M.P.; Slafer, G.A. Variation in developmental patterns among elite wheat lines and relationships with yield, yield components and spike fertility. Field Crops Res. 2016, 196, 294–304. [Google Scholar] [CrossRef]
- Ehdaie, B.; Shakiba, M.R.; Waines, J.G. Sowing date and nitrogen input influence nitrogen-use efficiency in spring bread and durum wheat genotypes. J. Plant Nutr. 2001, 24, 899–919. [Google Scholar] [CrossRef]
- Zhai, Y.; Wu, Q.; Chen, G.; Zhang, H.; Yin, X.; Chen, F. Broadcasting winter wheat can increase grain yield without reducing the kernels per spike and the kernel weight. Sustainability 2018, 10, 4858. [Google Scholar] [CrossRef]
- Rodriguez-Herrera, S.A.; Salgado-Ramirez, O.; Garcia-Rodriguez, J.G.; Cervantes-Ortiz, F.; Figueroa-Rivera, M.G.; Mendoza-Elos, M. Chemical and organic fertilization in oats: Seed yield and quality. Agron. Mesoam. 2020, 31, 567–579. [Google Scholar]
- Ma, B.L.; Biswas, D.K.; Zhou, Q.P.; Ren, C.Z. Comparisons among cultivars of wheat, hulled and hulless oats: Effects of N fertilization on growth and yield. Can. J. Plant Sci. 2012, 92, 1213–1222. [Google Scholar] [CrossRef]
- May, W.E.; Brandt, S.; Hutt-Taylor, K. Response of oat grain yield and quality to nitrogen fertilizer and fungicides. Agron. J. 2020, 112, 1021–1034. [Google Scholar] [CrossRef]
- Brinkman, M.A.; Rho, Y.D. Response of three oat cultivars to N fertilizer. Crop Sci. 1984, 24, 973–977. [Google Scholar] [CrossRef]
- May, W.E.; Mohr, R.M.; Lafond, G.P.; Johnston, A.M.; Stevenson, F.C. Effect of nitrogen, seeding date and cultivar on oat quality and yield in the eastern Canadian prairies. Can. J. Plant Sci. 2004, 84, 1025–1036. [Google Scholar] [CrossRef]
- Lafond, G.P.; May, W.E.; Holzapfel, C.B. Row spacing and nitrogen fertilizer effect on no-till oat production. Agron. J. 2013, 105, 1–10. [Google Scholar] [CrossRef]
- Peltonen-Sainio, P. Nitrogen fertilizer and foliar application of cytokinin affect spikelet and floret set and survival in oat. Field Crop Res. 1997, 49, 169–176. [Google Scholar] [CrossRef]
- Slafer, G.A. Genetic basis of yield as viewed from a crop physiologist’s prospective. Ann. Appl. Biol. 2003, 142, 117–128. [Google Scholar] [CrossRef]
- Fischer, R.A. Wheat physiology: A review of recent developments. Crop Pasture Sci. 2011, 62, 95–114. [Google Scholar] [CrossRef]
- Slafer, G.A. Physiology of determination of major wheat yield components. In Wheat Production in Stressed Environment; Buck, H.T., Nisi, J.E., Eds.; Springer: Dordrecht, The Netherlands, 2007; pp. 557–565. [Google Scholar]
- Rawson, H.M. Tillering patterns in wheat with special reference to the shoot at the coleoptile node. Aust. J. Biol. Sci. 1971, 24, 829–841. [Google Scholar] [CrossRef][Green Version]
- Masoni, A.; Ercoli, L.; Mariotti, M.; Pampana, S. Nitrogen and phosphorus accumulation and remobilization of durum wheat as affected by soil gravel content. Cereal Res. Commun. 2008, 36, 157–166. [Google Scholar] [CrossRef]
- Lopez-Bellido, R.J.; Castillo, J.E.; Lopez-Bellido, L. Comparative response of bread and durum wheat cultivars to nitrogen fertilizer in a rainfed Mediterranean environment: Soil nitrate and N uptake and efficiency. Nutr. Cycling Agroecosyst. 2008, 80, 121–130. [Google Scholar] [CrossRef]
- Carneiro, J.P.; Coutinho, J.; Trindade, H. Nitrate leaching from a maize x oats double-cropping forage system fertilized with organic residues under Mediterranean conditions. Agric. Ecosyst. Environ. 2012, 160, 29–39. [Google Scholar] [CrossRef]
- Gabriel, J.L.; Munoz-Carpena, R.; Quemada, M. The role of cover crops in irrigated systems: Water balance, nitrate leaching and soil mineral nitrogen accumulation. Agric. Ecosyst. Environ. 2012, 155, 50–61. [Google Scholar] [CrossRef]
- Xu, A.; Li, L.; Xie, J.; Wang, X.; Coulter, J.A.; Liu, C.; Wang, L. Effect of Long-Term Nitrogen Addition on Wheat Yield, Nitrogen Use Efficiency, and Residual Soil Nitrate in a Semiarid Area of the Loess Plateau of China. Sustainability 2020, 12, 1735. [Google Scholar] [CrossRef]
- Kowaljow, E.; Mazzarino, M.J.; Satti, P.; Jimenez-Rodriguez, C. Organic and inorganic fertilizer effects on a degraded Patagonian rangeland. Plant Soil 2010, 332, 135–145. [Google Scholar] [CrossRef]
- Gupta, S.C.; Dowdy, R.H.; Larson, W.E. Hydraulic and thermal properties of a sandy soil as influenced by incorporation of sewage sludge. Soil Sci. Soc. Am. J. 1977, 41, 601–605. [Google Scholar] [CrossRef]
- Khaleel, R.; Reddy, K.R.; Overcash, M.R. Changes in soil physical properties due to organic waste applications: A review. J. Environ. Qual. 1981, 10, 133–141. [Google Scholar] [CrossRef]
- Joshua, W.D.; Michaik, D.L.; Curtis, I.H.; Salt, M.; Osborne, G.J. The potential for contamination of soil and surface waters from sewage sludge (biosolids) in a sheep grazing study, Australia. Geoderma 1998, 84, 135–156. [Google Scholar] [CrossRef]
- Pagliai, M.; Guidi, G.; La Marca, M.; Giachetti, M.; Lucamante, G. Effects of sewage sludges and composts on soil porosity and aggregation. J. Environ. Qual. 1981, 10, 556–561. [Google Scholar] [CrossRef]
- Cogger, C.G.; Sullivan, D.M.; Bary, A.I.; Kropf, J.A. Matching plant-available nitrogen from biosolids with dryland wheat needs. J. Prod. Agric. 1996, 11, 41–47. [Google Scholar] [CrossRef]
- Burgos, P.; Madejon, E.; Cabrera, F. Nitrogen mineralization and nitrate leaching of a sandy soil amended with different organic wastes. Waste Manag. Res. 2006, 24, 175–182. [Google Scholar] [CrossRef] [PubMed]
- Esperschuetz, J.; Anderson, C.; Bulman, S.; Lense, O.; Horswell, J.; Dikinson, N.; Hofmann, R.; Robinson, B.H. Production of biomass crops using biowastes on low-fertility soil: 1. Influence of biowastes on plant and soil quality. J. Environ. Qual. 2016, 45, 1960–1969. [Google Scholar] [CrossRef]
- Simpson, P.G.; Siddique, K.H.M. Soil type influences relative yield of barley and wheat in a Mediterranean-type environment. J. Agron. Crop. Sci. 1994, 172, 147–160. [Google Scholar] [CrossRef]
- Lopez-Castaneda, C.; Richards, R.A. Variation in temperate cereals in rainfed environments II. Phasic development and growth. Field Crops Res. 1994, 37, 63–75. [Google Scholar] [CrossRef]








| Parameter | u.m. | Value |
|---|---|---|
| Moisture | % | 87 |
| pH | 6.5 | |
| Total organic C | % | 38.5 |
| Total N | % | 7.9 |
| Total P | % | 1.2 |
| Humification degree | 1.9 | |
| Total phenolic compounds | g kg−1 | 0.6 |
| CrVI | mg kg−1 | <1 |
| As | mg kg−1 | <5.0 |
| Cd | mg kg−1 | <2.0 |
| CrIII | mg kg−1 | 16 |
| Hg | mg kg−1 | <0.1 |
| Ni | mg kg−1 | 25 |
| Pb | mg kg−1 | 12.5 |
| Cu | mg kg−1 | 72.4 |
| Zn | mg kg−1 | 185.1 |
| Crop | Year | Heads | Kernels | MKW | |||
|---|---|---|---|---|---|---|---|
| n plant−1 | n head−1 | mg | |||||
| Barley | 2015 | 2.5 | a | 38.5 | a | 40.4 | ns |
| 2017 | 1.4 | b | 19.5 | b | 39.9 | ns | |
| Common wheat | 2015 | 2.1 | a | 33.6 | ns | 39.7 | ns |
| 2017 | 1.3 | b | 36.1 | ns | 32.9 | ns | |
| Durum wheat | 2015 | 2.4 | a | 18.2 | b | 44.6 | ns |
| 2017 | 1.1 | b | 24.9 | a | 43.3 | ns | |
| Oat | 2015 | 2.5 | a | 35.1 | ns | 27.7 | ns |
| 2017 | 1.8 | b | 33.1 | ns | 29.7 | ns | |
| Crop | Fertilization | Biomass | N Concentration | ||||||||||
|---|---|---|---|---|---|---|---|---|---|---|---|---|---|
| VAP | Heads | Roots | VAP | Heads | Roots | ||||||||
| Barley | Control | 0.7 ± 0.2 | b | 0.4 ± 0.2 | b | 0.3 ± 0.1 | ns | 4.2 ± 0.5 | ns | 9.9 ± 0.9 | ns | 11.4 ± 2.3 | b |
| MF | 2.7 ± 0.3 | a | 2.5 ± 0.1 | a | 1.4 ± 0.6 | ns | 4.5 ± 0.1 | ns | 10.6 ± 0.6 | ns | 8.2 ± 0.5 | b | |
| B5 | 1.8 ± 0.1 | a | 1.8 ± 0.3 | a | 1.1 ± 0.2 | ns | 3.8 ± 0.7 | ns | 10.0 ± 0.2 | ns | 13.5 ± 1.6 | ab | |
| B10 | 2.2 ± 0.2 | a | 2.3 ± 0.0 | a | 0.9 ± 0.2 | ns | 5.0 ± 0.4 | ns | 12.0 ± 0.9 | ns | 16.2 ± 2.4 | ab | |
| B15 | 2.6 ± 0.3 | a | 2.5 ± 0.5 | a | 1.1 ± 0.2 | ns | 5.8 ± 1.2 | ns | 13.4 ± 1.4 | ns | 18.8 ± 2.2 | a | |
| Common wheat | Control | 0.7 ± 0.1 | b | 0.1 ± 0.0 | b | 0.4 ± 0.0 | c | 5.8 ± 0.7 | ns | 12.0 ± 1.0 | b | 9.1 ± 1.0 | c |
| MF | 2.9 ± 0.1 | a | 0.5 ± 0.0 | ab | 1.8 ± 0.0 | a | 7.0 ± 0.2 | ns | 16.8 ± 0.8 | a | 7.2 ± 0.2 | c | |
| B5 | 2.4 ± 0.4 | a | 0.4 ± 0.1 | ab | 1.6 ± 0.1 | ab | 6.7 ± 0.3 | ns | 15.9 ± 1.2 | a | 10.0 ± 0.0 | bc | |
| B10 | 3.3 ± 0.3 | a | 0.6 ± 0.1 | ab | 1.4 ± 0.1 | b | 6.9 ± 0.0 | ns | 15.7 ± 0.0 | a | 12.6 ± 0.2 | ab | |
| B15 | 3.3 ± 0.8 | a | 0.7 ± 0.3 | a | 1.5 ± 0.0 | b | 7.1 ± 0.2 | ns | 16.2 ± 0.9 | a | 13.8 ± 1.4 | a | |
| Durum wheat | Control | 0.9 ± 0.3 | b | 0.1 ± 0.0 | b | 0.5 ± 0.2 | b | 5.1 ± 0.3 | c | 14.1 ± 1.5 | b | 6.9 ± 0.2 | c |
| MF | 3.5 ± 0.2 | ab | 0.7 ± 0.1 | ab | 2.4 ± 0.5 | a | 6.8 ± 0.3 | ab | 15.3 ± 0.0 | a | 5.6 ± 0.1 | c | |
| B5 | 3.1 ± 1.3 | ab | 0.6 ± 0.3 | ab | 2.4 ± 0.5 | a | 6.2 ± 0.0 | b | 14.7 ± 0.5 | ab | 10.8 ± 1.2 | b | |
| B10 | 2.4 ± 0.6 | ab | 0.5 ± 0.0 | ab | 2.2 ± 0.8 | a | 6.7 ± 0.0 | ab | 15.6 ± 0.8 | a | 12.9 ± 0.4 | b | |
| B15 | 4.3 ± 0.8 | a | 0.8 ± 0.2 | a | 2.8 ± 1.7 | a | 7.3 ± 0.0 | a | 18.1 ± 1.1 | a | 23.7 ± 1.0 | a | |
| Oat | Control | 0.5 ± 0.1 | b | 0.1 ± 0.0 | b | 0.4 ± 0.1 | c | 5.4 ± 0.6 | ns | 11.9 ± 0.4 | ns | 8.0 ± 0.0 | b |
| MF | 4.7 ± 0.8 | a | 1.1 ± 0.2 | a | 2.7 ± 0.5 | a | 5.7 ± 0.3 | ns | 9.7 ± 1.1 | ns | 5.9 ± 0.1 | c | |
| B5 | 2.9 ± 0.4 | a | 0.7 ± 0.1 | a | 2.0 ± 0.4 | ab | 5.5 ± 0.1 | ns | 11.8 ± 1.3 | ns | 7.5 ± 0.1 | b | |
| B10 | 3.3 ± 0.7 | a | 0.8 ± 0.1 | a | 1.4 ± 0.1 | bc | 5.7 ± 0.6 | ns | 12.8 ± 2.3 | ns | 12.1 ± 0.0 | a | |
| B15 | 5.0 ± 0.1 | a | 1.1 ± 0.0 | a | 1.8 ± 0.2 | ab | 6.7 ± 0.8 | ns | 12.1 ± 0.6 | ns | 11.7 ± 0.4 | a | |
| Crop | Fertilization | Heads | Kernels | MWK | |||
|---|---|---|---|---|---|---|---|
| n plant−1 | n head−1 | mg | |||||
| Barley | Control | 1.1 ± 0.0 | b | 9.0 ± 1.1 | c | 39.9 ± 0.8 | ns |
| MF | 3.1 ± 0.5 | a | 21.8 ± 4.9 | a | 39.8 ± 0.1 | ns | |
| B5 | 2.2 ± 0.0 | ab | 25.0 ± 4.3 | a | 36.4 ± 7.8 | ns | |
| B10 | 2.9 ± 0.3 | a | 20.7 ± 4.7 | a | 42.9 ± 1.8 | ns | |
| B15 | 2.8 ± 0.6 | a | 16.8 ± 1.1 | b | 40.5 ± 1.9 | ns | |
| Common wheat | Control | 1.2 ± 0.1 | b | 8.7 ± 4.2 | b | 30.7 ± 7.0 | ns |
| MF | 1.9 ± 0.1 | a | 42.9 ± 6.6 | a | 27.6 ± 2.1 | ns | |
| B5 | 1.0 ± 0.0 | b | 40.8 ± 6.8 | a | 34.3 ± 0.9 | ns | |
| B10 | 1.3 ± 0.1 | b | 39.6 ± 7.2 | a | 35.6 ± 3.7 | ns | |
| B15 | 1.3 ± 0.1 | b | 41.4 ± 10.7 | a | 36.5 ± 3.1 | ns | |
| Durum wheat | Control | 0.9 ± 0.1 | ns | 5.2 ± 0.2 | c | 37.5 ± 3.2 | ns |
| MF | 1.3 ± 0.2 | ns | 25.1 ± 0.3 | b | 45.4 ± 3.2 | ns | |
| B5 | 1.2 ± 0.1 | ns | 25.8 ± 0.7 | b | 47.0 ± 0.6 | ns | |
| B10 | 0.9 ± 0.1 | ns | 40.4 ± 2.5 | a | 44.2 ± 5.3 | ns | |
| B15 | 1.4 ± 0.2 | ns | 26.4 ± 3.0 | b | 42.4 ± 0.5 | ns | |
| Oat | Control | 1.1 ± 0.1 | ns | 9.0 ± 1.4 | c | 31.4 ± 0.5 | a |
| MF | 2.9 ± 1.1 | ns | 27.0 ± 9.0 | b | 23.7 ± 1.1 | b | |
| B5 | 1.3 ± 0.0 | ns | 40.2 ± 8.6 | a | 32.2 ± 0.3 | a | |
| B10 | 1.9 ± 0.1 | ns | 41.9 ± 3.3 | a | 31.4 ± 1.5 | a | |
| B15 | 2.3 ± 0.1 | ns | 34.5 ± 5.3 | a | 30.0 ± 3.1 | ab | |
| Crop | Fertilization | HI | Culms | Spikelets | Terminated Spikelets | Head Fertility | |||||
|---|---|---|---|---|---|---|---|---|---|---|---|
| % | n plant−1 | n head−1 | n head−1 | n g−1 | |||||||
| Barley | Control | 43.4 ± 1.2 | b | 1.1 ± 0.0 | b | 14.9 ± 1.8 | b | 5.6 ± 1.1 | a | 128.3 ± 10.4 | b |
| MF | 48.4 ± 2.8 | ab | 3.5 ± 0.6 | a | 26.5 ± 2.3 | a | 2.3 ± 0.7 | b | 138.5 ± 11.2 | b | |
| B5 | 50.8 ± 0.6 | a | 3.2 ± 0.6 | a | 25.3 ± 2.4 | a | 2.1 ± 0.2 | b | 162.5 ± 10.7 | a | |
| B10 | 52.8 ± 0.9 | a | 3.9 ± 0.8 | a | 23.2 ± 3.4 | ab | 2.0 ± 0.3 | b | 159.1 ± 11.9 | a | |
| B15 | 50.6 ± 1.2 | a | 3.4 ± 1.1 | a | 19.9 ± 1.8 | ab | 2.4 ± 1.2 | ab | 168.4 ± 13.1 | a | |
| Common wheat | Control | 29.8 ± 0.7 | c | 1.5 ± 0.3 | b | 12.1 ± 0.7 | b | 4.6 ± 0.0 | ns | 89.6 ± 9.0 | b |
| MF | 36.6 ± 2.4 | b | 3.5 ± 0.5 | a | 19.8 ± 0.5 | a | 3.6 ± 0.8 | ns | 109.9 ± 9.2 | a | |
| B5 | 43.7 ± 1.1 | a | 3.2 ± 0.7 | a | 20.8 ± 1.1 | a | 3.6 ± 1.3 | ns | 110.5 ± 10.2 | a | |
| B10 | 41.7 ± 1.6 | ab | 3.3 ± 1.0 | a | 20.2 ± 0.1 | a | 3.2 ± 0.0 | ns | 98.7 ± 10.1 | a | |
| B15 | 43.2 ± 2.1 | ab | 2.9 ± 0.5 | a | 20.5 ± 0.4 | a | 3.6 ± 0.4 | ns | 102.7 ± 10.0 | a | |
| Durum wheat | Control | 23.4 ± 0.4 | b | 1.0 ± 0.0 | b | 12.5 ± 0.5 | b | 4.1 ± 0.2 | a | 39.3 ± 5.3 | c |
| MF | 38.5 ± 0.2 | a | 1.7 ± 0.1 | ab | 14.5 ± 0.5 | ab | 1.1 ± 0.1 | bc | 60.8 ± 6.1 | b | |
| B5 | 43.3 ± 0.1 | a | 2.3 ± 0.1 | a | 13.0 ± 1.1 | ab | 1.6 ± 0.2 | b | 74.6 ± 8.9 | a | |
| B10 | 42.2 ± 0.5 | a | 2.2 ± 0.1 | a | 16.5 ± 0.0 | a | 0.7 ± 0.1 | c | 82.2 ± 7.8 | a | |
| B15 | 37.7 ± 4.8 | a | 2.3 ± 0.4 | a | 15.6 ± 1.6 | ab | 1.6 ± 0.1 | b | 80.8 ± 8.8 | a | |
| Oat | Control | 35.3 ± 1.8 | ns | 1.5 ± 0.3 | c | 4.9 ± 0.6 | b | 0.0 ± 0.0 | ns | 120.5 ± 11.7 | b |
| MF | 33.2 ± 9.6 | ns | 4.2 ± 0.0 | a | 16.8 ± 7.1 | ab | 0.6 ± 0.6 | ns | 114.9 ± 10.6 | b | |
| B5 | 44.4 ± 3.1 | ns | 2.4 ± 0.1 | b | 10.4 ± 4.9 | ab | 0.5 ± 0.2 | ns | 146.6 ± 13.1 | a | |
| B10 | 43.4 ± 1.7 | ns | 3.2 ± 0.3 | b | 22.6 ± 1.5 | a | 0.3 ± 0.2 | ns | 135.3 ± 13.9 | a | |
| B15 | 41.9 ± 4.5 | ns | 3.2 ± 0.3 | b | 19.8 ± 4.2 | ab | 0.8 ± 0.5 | ns | 132.3 ± 12.7 | a | |
| Crop | Fertilization | N Concentration | N Content | ||||||||||
|---|---|---|---|---|---|---|---|---|---|---|---|---|---|
| VAP | Roots | Grains | VAP | Roots | Grains | ||||||||
| Barley | Control | 3.8 ± 0.2 | ns | 14.7 ± 0.7 | ab | 12.0 ± 1.0 | b | 2.0 ± 0.2 | b | 1.6 ± 0.3 | c | 4.9 ± 0.1 | b |
| MF | 4.5 ± 0.8 | ns | 8.3 ± 0.5 | b | 11.6 ± 0.6 | b | 12.4 ± 1.8 | a | 6.1 ± 1.3 | b | 29.7 ± 10.8 | a | |
| B5 | 4.3 ± 0.2 | ns | 12.5 ± 0.5 | ab | 11.3 ± 0.3 | b | 8.0 ± 0.2 | a | 6.5 ± 0.6 | b | 21.7 ± 0.6 | ab | |
| B10 | 4.8 ± 0.4 | ns | 16.5 ± 2.6 | ab | 13.6 ± 0.7 | ab | 11.0 ± 0.3 | a | 11.9 ± 1.0 | a | 35.2 ± 1.1 | a | |
| B15 | 5.2 ± 0.6 | ns | 17.6 ± 3.9 | a | 14.7 ± 0.1 | a | 9.5 ± 0.4 | a | 9.5 ± 4.1 | a | 27.7 ± 2.8 | a | |
| Common wheat | Control | 4.4 ± 0.3 | ns | 5.7 ± 0.4 | c | 19.1 ± 0.1 | a | 3.2 ± 0.6 | c | 1.8 ± 0.1 | c | 5.9 ± 1.2 | c |
| MF | 3.4 ± 0.2 | ns | 8.4 ± 0.4 | abc | 14.3 ± 0.3 | b | 13.4 ± 0.8 | a | 10.1 ± 0.2 | a | 32.3 ± 0.2 | a | |
| B5 | 4.0 ± 0.1 | ns | 7.7 ± 0.6 | bc | 14.9 ± 0.0 | b | 7.1 ± 1.2 | bc | 5.3 ± 2.3 | bc | 20.5 ± 3.4 | b | |
| B10 | 4.2 ± 0.7 | ns | 11.2 ± 1.9 | ab | 18.4 ± 1.0 | a | 11.1 ± 0.5 | ab | 9.5 ± 0.6 | ab | 34.4 ± 0.9 | a | |
| B15 | 4.3 ± 0.4 | ns | 11.7 ± 0.1 | a | 19.3 ± 0.0 | a | 11.5 ± 1.0 | ab | 10.5 ± 0.4 | a | 38.7 ± 3.0 | a | |
| Durum wheat | Control | 4.8 ± 1.0 | ns | 15.9 ± 0.2 | ns | 27.9 ± 3.8 | a | 2.9 ± 0.6 | b | 3.6 ± 1.2 | c | 5.1 ± 0.5 | b |
| MF | 5.4 ± 0.7 | ns | 9.1 ± 1.7 | ns | 16.5 ± 1.1 | b | 12.3 ± 1.7 | a | 9.3 ± 3.3 | bc | 23.7 ± 3.7 | a | |
| B5 | 6.0 ± 0.0 | ns | 15.0 ± 1.7 | ns | 17.7 ± 3.8 | b | 11.4 ± 1.4 | a | 9.9 ± 0.8 | abc | 25.8 ± 2.9 | a | |
| B10 | 5.6 ± 0.1 | ns | 13.8 ± 4.2 | ns | 16.0 ± 0.1 | b | 12.7 ± 0.2 | a | 18.8 ± 1.0 | ab | 26.4 ± 1.4 | a | |
| B15 | 6.5 ± 0.4 | ns | 17.4 ± 1.5 | ns | 20.4 ± 0.1 | ab | 16.6 ± 2.1 | a | 15.7 ± 3.6 | ab | 31.6 ± 9.0 | a | |
| Oat | Control | 6.4 ± 0.2 | ns | 11.3 ± 3.1 | ns | 17.2 ± 1.5 | ns | 3.6 ± 0.3 | ns | 3.4 ± 0.9 | ns | 5.3 ± 0.1 | b |
| MF | 6.2 ± 3.1 | ns | 6.9 ± 0.8 | ns | 18.3 ± 5.8 | ns | 23.9 ± 13.2 | ns | 11.5 ± 0.7 | ns | 35.3 ± 6.0 | ab | |
| B5 | 5.2 ± 1.5 | ns | 10.7 ± 1.4 | ns | 15.0 ± 0.4 | ns | 11.3 ± 4.0 | ns | 9.6 ± 1.7 | ns | 25.9 ± 5.9 | ab | |
| B10 | 6.0 ± 0.1 | ns | 11.0 ± 1.6 | ns | 15.1 ± 0.2 | ns | 19.5 ± 2.3 | ns | 13.5 ± 5.4 | ns | 37.5 ± 7.7 | ab | |
| B15 | 7.1 ± 0.5 | ns | 11.4 ± 0.6 | ns | 20.8 ± 1.7 | ns | 23.7 ± 2.3 | ns | 13.0 ± 3.6 | ns | 50.2 ± 15.8 | a | |
| Crop | Fertilization | 6 February 2017 | 9 March 2017 | ||||||||||
|---|---|---|---|---|---|---|---|---|---|---|---|---|---|
| Drainage Water | N-NO3 Concentration | N-NO3 Leached | Drainage Water | N-NO3 Concentration | N-NO3 Leached | ||||||||
| mm | mg dm−3 | kg ha−1 | mm | mg dm−3 | kg ha−1 | ||||||||
| Barley | Control | 20.3 ± 4.7 | a | 54.8 ± 15.4 | c | 11.1 ± 4.4 | a | 15.4 ± 4.8 | a | 3.0 ± 1.8 | b | 0.5 ± 0.2 | b |
| MF | 23.5 ± 9.4 | a | 55.0 ± 20.3 | c | 12.9 ± 4.9 | a | 14.8 ± 5.4 | a | 21.6 ± 7.8 | b | 3.2 ± 1.2 | a | |
| B5 | 4.7 ± 2.5 | b | 145.0 ± 40.8 | b | 6.8 ± 2.7 | b | 13.7 ± 2.9 | a | 78.7 ± 39.7 | a | 10.8 ± 4.8 | a | |
| B10 | 9.2 ± 3.0 | b | 122.8 ± 45.3 | b | 11.3 ± 3.0 | a | 4.5 ± 2.2 | b | 110.9 ± 29.5 | a | 5.0 ± 1.5 | a | |
| B15 | 6.7 ± 2.9 | b | 227.8 ± 70.0 | a | 15.3 ± 4.6 | a | 6.1 ± 2.4 | b | 143.4 ± 47.1 | a | 8.8 ± 2.3 | a | |
| Common wheat | Control | 27.4 ± 4.3 | a | 56.7 ± 2.6 | c | 15.5 ± 2.1 | b | 10.4 ± 4.7 | ns | 7.2 ± 2.9 | b | 0.7 ± 0.2 | b |
| MF | 27.9 ± 10.4 | a | 50.1 ± 12.9 | c | 14.0 ±4.8 | b | 17.5 ± 5.1 | ns | 28.3 ± 18.0 | b | 5.0 ± 2.3 | ab | |
| B5 | 7.0 ± 4.3 | b | 147.7 ± 37.0 | b | 10.4 ±3.8 | b | 8.8 ± 3.1 | ns | 110.7 ± 20.4 | a | 9.8 ± 4.1 | ab | |
| B10 | 9.8 ± 5.1 | b | 140.2 ± 41.6 | b | 13.7 ± 5.0 | b | 9.3 ± 3.7 | ns | 148.8 ± 47.6 | a | 13.9 ± 5.8 | a | |
| B15 | 14.7 ± 3.6 | ab | 212.6 ± 57.2 | a | 31.3 ± 10.7 | a | 9.6 ± 2.2 | ns | 113.0 ± 29.4 | a | 10.9 ± 3.8 | ab | |
| Durum wheat | Control | 25.0 ± 11.5 | ns | 48.3 ± 6.8 | b | 12.1 ± 4.4 | ns | 18.5 ± 2.0 | ns | 4.3 ± 2.2 | b | 0.8 ± 0.2 | b |
| MF | 16.4 ± 4.7 | ns | 47.0 ± 13.9 | b | 7.7 ±3.1 | ns | 17.5 ± 5.1 | ns | 32.1 ± 15.5 | b | 5.6 ± 1.1 | ab | |
| B5 | 10.4 ± 5.7 | ns | 121.3 ± 39.4 | a | 12.6 ±7.4 | ns | 11.0 ± 8.3 | ns | 107.7 ± 27.2 | a | 11.8 ± 4.0 | ab | |
| B10 | 10.2 ± 8.2 | ns | 138.6 ± 47.1 | a | 14.1 ± 7.2 | ns | 7.6 ± 4.6 | ns | 97.9 ± 27.9 | a | 7.4 ± 3.1 | ab | |
| B15 | 14.8 ± 4.4 | ns | 119.1 ± 45.3 | a | 17.6 ± 11.8 | ns | 15.9 ± 3.6 | ns | 122.4 ± 45.4 | a | 19.4 ± 8.6 | a | |
| Oat | Control | 26.3 ± 5.6 | a | 53.9 ± 9.2 | c | 14.2 ± 4.6 | b | 24.5 ± 9.4 | ns | 10.1 ± 4.5 | c | 2.5 ± 0.8 | b |
| MF | 28.6 ± 8.5 | a | 40.6 ± 8.3 | c | 11.6 ± 2.1 | b | 24.0 ± 10.7 | ns | 16.2 ± 6.1 | c | 3.9 ± 1.2 | b | |
| B5 | 9.2 ± 3.8 | c | 105.6 ± 25.3 | b | 9.7 ± 4.0 | b | 16.4 ± 3.4 | ns | 105.3 ± 38.6 | b | 17.3 ± 2.7 | a | |
| B10 | 19.2 ± 7.4 | b | 154.4 ± 43.3 | ab | 29.6 ± 9.8 | a | 16.9 ± 3.3 | ns | 145.2 ± 23.6 | ab | 24.5 ± 6.8 | a | |
| B15 | 20.2 ± 7.8 | b | 194.5 ± 46.8 | a | 39.2 ± 10.4 | a | 14.3 ± 5.5 | ns | 169.0 ± 31.5 | a | 24.2 ± 9.3 | a | |
Publisher’s Note: MDPI stays neutral with regard to jurisdictional claims in published maps and institutional affiliations. |
© 2021 by the authors. Licensee MDPI, Basel, Switzerland. This article is an open access article distributed under the terms and conditions of the Creative Commons Attribution (CC BY) license (https://creativecommons.org/licenses/by/4.0/).
Share and Cite
Pampana, S.; Rossi, A.; Arduini, I. Biosolids Benefit Yield and Nitrogen Uptake in Winter Cereals without Excess Risk of N Leaching. Agronomy 2021, 11, 1482. https://doi.org/10.3390/agronomy11081482
Pampana S, Rossi A, Arduini I. Biosolids Benefit Yield and Nitrogen Uptake in Winter Cereals without Excess Risk of N Leaching. Agronomy. 2021; 11(8):1482. https://doi.org/10.3390/agronomy11081482
Chicago/Turabian StylePampana, Silvia, Alessandro Rossi, and Iduna Arduini. 2021. "Biosolids Benefit Yield and Nitrogen Uptake in Winter Cereals without Excess Risk of N Leaching" Agronomy 11, no. 8: 1482. https://doi.org/10.3390/agronomy11081482
APA StylePampana, S., Rossi, A., & Arduini, I. (2021). Biosolids Benefit Yield and Nitrogen Uptake in Winter Cereals without Excess Risk of N Leaching. Agronomy, 11(8), 1482. https://doi.org/10.3390/agronomy11081482

