Effects of Sowing Mode on Lodging Resistance and Grain Yield in Winter Wheat
Abstract
:1. Introduction
2. Materials and Methods
2.1. Experimental Site
2.2. Materials and Experimental Design
2.3. Measurements and Data Analysis
3. Results
3.1. Sowing Mode Effects on Wheat Yield and Yield-Related Components
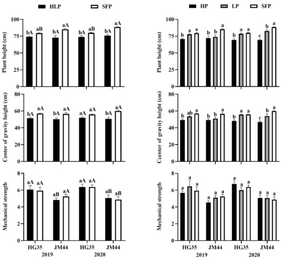
3.2. Effects of Sowing Modes on Lodging Resistance
3.3. Effects of Sowing Modes on Stem Strength
3.4. Effects of Sowing Modes on the Second Basal Internode
3.5. Correlation of Morphological Parameters
4. Discussion
5. Conclusions
Author Contributions
Funding
Informed Consent Statement
Data Availability Statement
Acknowledgments
Conflicts of Interest
References
- Curtis, T.; Halford, N. Food security: The challenge of increasing wheat yield and the importance of not compromising food safety. Ann. Appl. Biol. 2014, 164, 354–372. [Google Scholar] [CrossRef] [Green Version]
- Shiferaw, B.; Smale, M.; Braun, H.-J.; Duveiller, E.; Reynolds, M.; Muricho, G. Crops that feed the world 10. Past successes and future challenges to the role played by wheat in global food security. Food Secur. 2013, 5, 291–317. [Google Scholar] [CrossRef] [Green Version]
- Dong, Q.; Chen, X.; Chen, J.; Zhang, C.; Liu, L.; Cao, X.; Zang, Y.; Zhu, X.; Cui, X. Mapping Winter Wheat in North China Using Sentinel 2A/B Data: A Method Based on Phenology-Time Weighted Dynamic Time Warping. Remote Sens. 2020, 12, 1274. [Google Scholar] [CrossRef] [Green Version]
- Han, J.; Zhang, Z.; Cao, J.; Luo, Y.; Zhang, L.; Li, Z.; Zhang, J. Prediction of Winter Wheat Yield Based on Multi-Source Data and Machine Learning in China. Remote Sens. 2020, 12, 236. [Google Scholar] [CrossRef] [Green Version]
- Kan, Z.R.; Liu, Q.Y.; He, C.; Jing, Z.H.; Virk, A.L.; Qi, J.Y.; Zhao, X.; Zhang, H.L. Responses of grain yield and water use efficiency of winter wheat to tillage in the North China Plain. Field Crops Res. 2020, 249. [Google Scholar] [CrossRef]
- Lv, L.; Yao, Y.; Zhang, L.; Dong, Z.; Jia, X.; Liang, S.; Ji, J. Winter wheat grain yield and its components in the North China Plain: Irrigation management, cultivation, and climate. Chil. J. Agric. Res. 2013, 73, 233–242. [Google Scholar] [CrossRef] [Green Version]
- Li, J.; Inanaga, S.; Li, Z.; Eneji, A.E. Optimizing irrigation scheduling for winter wheat in the North China Plain. Agric. Water Manag. 2005, 76, 8–23. [Google Scholar] [CrossRef]
- Wang, F.; Wang, X.; Ken, S. Comparison of conventional, flood irrigated, flat planting with furrow irrigated, raised bed planting for winter wheat in China. Field Crops Res. 2004, 87, 35–42. [Google Scholar] [CrossRef]
- Acreche, M.M.; Slafer, G.A. Lodging yield penalties as affected by breeding in Mediterranean wheats. Field Crops Res. 2011, 122, 40–48. [Google Scholar] [CrossRef]
- Vera, C.; Duguid, S.; Fox, S.; Rashid, K.; Dribnenki, J.; Clarke, F. Comparative effect of lodging on seed yield of flax and wheat. Can. J. Plant Sci. 2012, 92, 39–43. [Google Scholar] [CrossRef]
- Berry, P.; Sterling, M.; Spink, J.; Baker, C.; Sylvester-Bradley, R.; Mooney, S.; Tams, A.; Ennos, A. Understanding and reducing lodging in cereals. Adv. Agron. 2004, 84, 215–269. [Google Scholar]
- Liu, T.; Li, R.; Zhong, X.; Jiang, M.; Jin, X.; Zhou, P.; Liu, S.; Sun, C.; Guo, W. Estimates of rice lodging using indices derived from UAV visible and thermal infrared images. Agric. For. Meteorol. 2018, 252, 144–154. [Google Scholar] [CrossRef]
- Li, J.; Yin, J.; Wei, F. Effects of planting density on characters of culm and culm lodging resistant index in winter wheat. Zuo Wu Xue Bao 2005, 31, 662–666. [Google Scholar]
- Ahmad, I.; Kamran, M.; Guo, Z.; Meng, X.; Ali, S.; Zhang, P.; Liu, T.; Cai, T.; Han, Q. Effects of uniconazole or ethephon foliar application on culm mechanical strength and lignin metabolism, and their relationship with lodging resistance in winter wheat. Crop Pasture Sci. 2020, 71. [Google Scholar] [CrossRef]
- Erndwein, L.; Cook, D.D.; Robertson, D.J.; Sparks, E.E. Field-based mechanical phenotyping of cereal crops to assess lodging resistance. Appl. Plant Sci. 2020, 8, e11382. [Google Scholar] [CrossRef]
- Wang, C.; Hu, D.; Liu, X.; She, H.; Ruan, R.; Yang, H.; Yi, Z.; Wu, D. Effects of uniconazole on the lignin metabolism and lodging resistance of culm in common buckwheat (Fagopyrum esculentum M.). Field Crops Res. 2015, 180, 46–53. [Google Scholar] [CrossRef]
- Dai, X.; Wang, Y.; Dong, X.; Qian, T.; Yin, L.; Dong, S.; Chu, J.; He, M. Delayed sowing can increase lodging resistance while maintaining grain yield and nitrogen use efficiency in winter wheat. Crop J. 2017, 5, 541–552. [Google Scholar] [CrossRef]
- Zhang, M.; Wang, H.; Yi, Y.; Ding, J.; Zhu, M.; Li, C.; Guo, W.; Feng, C.; Zhu, X. Effect of nitrogen levels and nitrogen ratios on lodging resistance and yield potential of winter wheat (Triticum aestivum L.). PLoS ONE 2017, 12, e0187543. [Google Scholar] [CrossRef]
- Chen, X.; Shi, C.; Yin, Y.; Wang, Z.; Shi, Y.; Peng, D.; Ni, Y.; Cai, T. Relationship between lignin metabolism and lodging resistance in wheat. Zuo Wu Xue Bao 2011, 37, 1616–1622. [Google Scholar] [CrossRef]
- Peng, D.; Chen, X.; Yin, Y.; Lu, K.; Yang, W.; Tang, Y.; Wang, Z. Lodging resistance of winter wheat (Triticum aestivum L.): Lignin accumulation and its related enzymes activities due to the application of paclobutrazol or gibberellin acid. Field Crops Res. 2014, 157, 1–7. [Google Scholar] [CrossRef]
- Piñera-Chavez, F.; Berry, P.; Foulkes, M.; Jesson, M.; Reynolds, M. Avoiding lodging in irrigated spring wheat. I. Stem and root structural requirements. Field Crops Res. 2016, 196, 325–336. [Google Scholar] [CrossRef]
- Si, J.; Wang, F.; Li, S.; Feng, B.; Kong, L. Effect of Different Planting Patterns on Population Quality and Yield Structure of Wheat. J. Triticeae Crops 2006, 6, 136–139. [Google Scholar]
- Shah, L.; Yahya, M.; Shah, S.M.A.; Nadeem, M.; Ali, A.; Ali, A.; Wang, J.; Riaz, M.W.; Rehman, S.; Wu, W.; et al. Improving Lodging Resistance: Using Wheat and Rice as Classical Examples. Int. J. Mol. Sci. 2019, 20, 4211. [Google Scholar] [CrossRef] [PubMed] [Green Version]
- Tripathi, S.C.; Sayre, K.D.; Kaul, J.N. Planting Systems on Lodging Behavior, Yield Components, and Yield of Irrigated Spring Bread Wheat. Crop Sci. 2005, 45, 1448–1455. [Google Scholar] [CrossRef]
- Ahmad, R.; Mahmood, N. Impact of raised bed technology on water productivity and lodging of wheat. Pak. J. Bot. 2005, 9, 29–32. [Google Scholar]
- Li, Q.; Zhou, X.; Chen, Y.; Yu, S. Water consumption characteristics of winter wheat grown using different planting patterns and deficit irrigation regime. Agric. Water Manag. 2012, 105, 8–12. [Google Scholar] [CrossRef]
- Wang, F.; He, Z.; Sayre, K.; Li, S.; Si, J.; Feng, B.; Kong, L. Wheat cropping systems and technologies in China. Field Crops Res. 2009, 111, 181–188. [Google Scholar] [CrossRef]
- Feng, W.; Li, S.; Wang, Y.; Kang, G.; Duan, J.; Guo, T. Effects of spacing intervals on the ageing process and grain yield in winter wheat under wide bed planting methods. Acta. Ecol. Sin. Shengtai Xuebao 2015, 35, 2686–2694. [Google Scholar]
- He, Z. A History of Wheat Breeding in China; Cimmyt: Mexico City, Mexico, 2001. [Google Scholar]
- Wei, F.; Li, J.; Wang, C.; Qu, H.; Shen, X. Effects of nitrogenous fertilizer application model on culm lodging resistance in winter wheat. Zuo Wu Xue Bao 2008, 34, 1080–1085. [Google Scholar]
- Mavrevski, R.; Traykov, M.; Trenchev, I.; Trencheva, M. Approaches to modeling of biological experimental data with GraphPad Prism software. WSEAS Trans. Syst. Control 2018, 13, 242–247. [Google Scholar]
- Swift, M.L. GraphPad prism, data analysis, and scientific graphing. J. Chem. Inf. Comput. Sci. 1997, 37, 411–412. [Google Scholar] [CrossRef]
- Harrell, F.E., Jr. Package ‘hmisc’. CRAN2018 2019, 2019, 235–236. [Google Scholar]
- He, G.; Cui, Z.; Ying, H.; Zheng, H.; Wang, Z.; Zhang, F. Managing the trade-offs among yield increase, water resources inputs and greenhouse gas emissions in irrigated wheat production systems. J. Clean. Prod. 2017, 164, 567–574. [Google Scholar] [CrossRef]
- Liu, Y.; Zhang, X.; Xi, L.; Liao, Y.; Han, J. Ridge-furrow planting promotes wheat grain yield and water productivity in the irrigated sub-humid region of China. Agric. Water Manag. 2020, 231, 105935. [Google Scholar] [CrossRef]
- Donmez, E.; Sears, R.; Shroyer, J.; Paulsen, G. Genetic gain in yield attributes of winter wheat in the Great Plains. Crop Sci. 2001, 41, 1412–1419. [Google Scholar] [CrossRef]
- Brancourt-Hulmel, M.; Doussinault, G.; Lecomte, C.; Bérard, P.; Le Buanec, B.; Trottet, M. Genetic improvement of agronomic traits of winter wheat cultivars released in France from 1946 to 1992. Crop Sci. 2003, 43, 37–45. [Google Scholar] [CrossRef]
- Li, F.; Wen, W.; He, Z.; Liu, J.; Jin, H.; Cao, S.; Geng, H.; Yan, J.; Zhang, P.; Wan, Y.; et al. Genome-wide linkage mapping of yield-related traits in three Chinese bread wheat populations using high-density SNP markers. Theor. Appl. Genet. 2018, 131, 1903–1924. [Google Scholar] [CrossRef]
- Wang, J.; Wang, E.; Yang, X.; Zhang, F.; Yin, H. Increased yield potential of wheat-maize cropping system in the North China Plain by climate change adaptation. Clim. Chang. 2012, 113, 825–840. [Google Scholar] [CrossRef]
- Zhang, J.; Sun, J.; Duan, A.; Wang, J.; Shen, X.; Liu, X. Effects of different planting patterns on water use and yield performance of winter wheat in the Huang-Huai-Hai plain of China. Agric. Water Manag. 2007, 92, 41–47. [Google Scholar] [CrossRef]
- Limon-Ortega, A.; Sayre, K.D.; Francis, C.A. Wheat nitrogen use efficiency in a bed planting system in northwest Mexico. Agron. J. 2000, 92, 303–308. [Google Scholar] [CrossRef]
- Raun, W.R.; Solie, J.B.; Johnson, G.V.; Stone, M.L.; Mullen, R.W.; Freeman, K.W.; Thomason, W.E.; Lukina, E.V. Improving nitrogen use efficiency in cereal grain production with optical sensing and variable rate application. Agron. J. 2002, 94, 815–820. [Google Scholar] [CrossRef] [Green Version]
- Govaerts, B.; Sayre, K.; Lichter, K.; Dendooven, L.; Deckers, J. Influence of permanent raised bed planting and residue management on physical and chemical soil quality in rain fed maize/wheat systems. Plant Soil 2007, 291, 39–54. [Google Scholar] [CrossRef]
- Berry, P.; Sterling, M.; Baker, C.; Spink, J.; Sparkes, D. A calibrated model of wheat lodging compared with field measurements. Agric. For. Meteorol. 2003, 119, 167–180. [Google Scholar] [CrossRef]
- Zhang, X.; Ma, L.; Gilliam, F.S.; Wang, Q.; Li, C. Effects of raised-bed planting for enhanced summer maize yield on rhizosphere soil microbial functional groups and enzyme activity in Henan Province, China. Field Crops Res. 2012, 130, 28–37. [Google Scholar] [CrossRef]
- Hemmat, A.; Eskandari, I. Conservation tillage practices for winter wheat–fallow farming in the temperate continental climate of northwestern Iran. Field Crops Res. 2004, 89, 123–133. [Google Scholar] [CrossRef]
- Patiño-Zúñiga, L.; Ceja-Navarro, J.; Govaerts, B.; Luna-Guido, M.; Sayre, K.; Dendooven, L. The effect of different tillage and residue management practices on soil characteristics, inorganic N dynamics and emissions of N2O, CO2 and CH4 in the central highlands of Mexico: A laboratory study. Plant Soil 2009, 314, 231–241. [Google Scholar] [CrossRef]
- Bastos, L.M.; Carciochi, W.; Lollato, R.P.; Jaenisch, B.R.; Rezende, C.R.; Schwalbert, R.; Vara Prasad, P.V.; Zhang, G.; Fritz, A.K.; Foster, C.; et al. Winter Wheat Yield Response to Plant Density as a Function of Yield Environment and Tillering Potential: A Review and Field Studies. Front. Plant Sci. 2020, 11, 54. [Google Scholar] [CrossRef] [Green Version]
- Hochman, Z.; Horan, H. Causes of wheat yield gaps and opportunities to advance the water-limited yield frontier in Australia. Field Crops Res. 2018, 228, 20–30. [Google Scholar] [CrossRef]
- Lollato, R.P.; Ruiz Diaz, D.A.; DeWolf, E.; Knapp, M.; Peterson, D.E.; Fritz, A.K. Agronomic practices for reducing wheat yield gaps: A quantitative appraisal of progressive producers. Crop Sci. 2019, 59, 333–350. [Google Scholar] [CrossRef] [Green Version]
- Geleta, B.; Atak, M.; Baenziger, P.; Nelson, L.; Baltenesperger, D.; Eskridge, K.; Shipman, M.; Shelton, D. Seeding rate and genotype effect on agronomic performance and end-use quality of winter wheat. Crop Sci. 2002, 42, 827–832. [Google Scholar]
- Valério, I.P.; Carvalho, F.I.F.d.; Benin, G.; Silveira, G.d.; Silva, J.A.G.d.; Nornberg, R.; Hagemann, T.; Luche, H.d.S.; Oliveira, A.C.d. Seeding density in wheat: The more, the merrier? Sci. Agric. 2013, 70, 176–184. [Google Scholar] [CrossRef]
- Lloveras, J.; Manent, J.; Viudas, J.; López, A.; Santiveri, P. Seeding rate influence on yield and yield components of irrigated winter wheat in a Mediterranean climate. Agron. J. 2004, 96, 1258–1265. [Google Scholar] [CrossRef]
- Wang, H.; Zhang, Y.; Chen, A.; Liu, H.; Zhai, L.; Lei, B.; Ren, T. An optimal regional nitrogen application threshold for wheat in the North China Plain considering yield and environmental effects. Field Crops Res. 2017, 207, 52–61. [Google Scholar] [CrossRef]
- Schachtman, D.P.; Shin, R. Nutrient sensing and signaling: NPKS. Annu. Rev. Plant Biol. 2007, 58, 47–69. [Google Scholar] [CrossRef]
- Yin, L.; Dai, X.; He, M. Delayed sowing improves nitrogen utilization efficiency in winter wheat without impacting yield. Field Crops Res. 2018, 221, 90–97. [Google Scholar] [CrossRef]
- Palme, K.; Li, X.; Teale, W.D. Towards second green revolution: Engineering nitrogen use efficiency. J. Genet. Genom. 2014, 41, 315–316. [Google Scholar] [CrossRef]
- Davidson, E.A. The contribution of manure and fertilizer nitrogen to atmospheric nitrous oxide since 1860. Nat. Geosci. 2009, 2, 659–662. [Google Scholar] [CrossRef]
- Fischer, R.; Stapper, M. Lodging effects on high-yielding crops of irrigated semidwarf wheat. Field Crops Res. 1987, 17, 245–258. [Google Scholar] [CrossRef]
- Zheng, M.; Chen, J.; Shi, Y.; Li, Y.; Yin, Y.; Yang, D.; Luo, Y.; Pang, D.; Xu, X.; Li, W.; et al. Manipulation of lignin metabolism by plant densities and its relationship with lodging resistance in wheat. Sci. Rep. 2017, 7, 41805. [Google Scholar] [CrossRef] [PubMed]
- Tripathi, S.C.; Sayre, K.; Kaul, J.; Narang, R. Growth and morphology of spring wheat (Triticum aestivum L.) culms and their association with lodging: Effects of genotypes, N levels and ethephon. Field Crops Res. 2003, 84, 271–290. [Google Scholar] [CrossRef]
- Islam, M.S.; Peng, S.; Visperas, R.M.; Ereful, N.; Bhuiya, M.S.U.; Julfiquar, A. Lodging-related morphological traits of hybrid rice in a tropical irrigated ecosystem. Field Crops Res. 2007, 101, 240–248. [Google Scholar] [CrossRef]
- Kong, E.; Liu, D.; Guo, X.; Yang, W.; Sun, J.; Li, X.; Zhan, K.; Cui, D.; Lin, J.; Zhang, A. Anatomical and chemical characteristics associated with lodging resistance in wheat. Crop J. 2013, 1, 43–49. [Google Scholar] [CrossRef] [Green Version]
- Verma, V.; Worland, A.; Savers, E.; Fish, L.; Caligari, P.; Snape, J. Identification and characterization of quantitative trait loci related to lodging resistance and associated traits in bread wheat. Plant Breed. 2005, 124, 234–241. [Google Scholar] [CrossRef]
- Zhang, H.; Li, T.; Liu, H.; Mai, C.; Yu, G.; Li, H.-l.; Yu, L.; Meng, L.; Jian, D.; Yang, L.; et al. Genetic progress in stem lodging resistance of the dominant wheat cultivars adapted to Yellow-Huai River Valleys Winter Wheat Zone in China since 1964. J. Integr. Agric. 2020, 19, 438–448. [Google Scholar] [CrossRef]







| Years | Cultivars | Modes | GY (ton/ha) | SN (m−2) | GNS | TKW (g) |
|---|---|---|---|---|---|---|
| 2019 | HG35 | HLP | 10.66 ± 0.16 aA | 788.33 ± 8.61 aB | 31.76 ± 0.27 aA | 42.70 ± 0.26 aB |
| SFP | 9.60 ± 0.031 bA | 696.67 ± 2.73 bA | 31.96 ± 0.39 aA | 42.75 ± 0.33 aB | ||
| JM44 | HLP | 7.80 ± 0.11 aB | 836.67 ± 6.77 aA | 18.50 ± 0.37 bB | 50.31 ± 0.66 aA | |
| SFP | 6.25 ± 0.16 bB | 607.78 ± 6.48 bB | 22.09 ± 0.17 aB | 46.47 ± 0.58 bA | ||
| 2020 | HG35 | HLP | 10.88 ± 0.13 aA | 795.00 ± 3.88 aB | 32.02 ± 0.67 aA | 42.32 ± 0.11 aB |
| SFP | 9.63 ± 0.06 bA | 690.00 ± 13.85 bA | 33.47 ± 0.85 aA | 41.52 ± 0.30 aB | ||
| JM44 | HLP | 7.71 ± 0.047 aB | 826.67 ± 2.60 aA | 18.74 ± 0.10 bB | 50.50 ± 0.38 aA | |
| SFP | 6.33 ± 0.15 bB | 573.46 ± 3.53 bB | 23.50 ± 0.90 aB | 47.06 ± 0.68 bA | ||
| F-value | ||||||
| Year (Y) | 0.531 | 0.041 | 0.042 | 0.528 | ||
| Cultivar (C) | <0.001 | <0.001 | <0.001 | <0.001 | ||
| Mode (M) | <0.001 | <0.001 | <0.001 | <0.001 | ||
| Y × C | 0.499 | 0.005 | 0.939 | 0.084 | ||
| Y × M | 0.982 | 0.076 | 0.135 | 0.731 | ||
| C × M | 0.129 | <0.001 | 0.001 | <0.001 | ||
| Y × C × M | 0.371 | 0.656 | 0.963 | 0.344 |
| Years | Cultivars | Modes | PH (cm) | COGH (cm) | MS |
|---|---|---|---|---|---|
| 2019 | HG35 | HP | 70.57 ± 1.03 b | 49.29 ± 1.25 b | 5.67 ± 0.24 a |
| LP | 77.71 ± 0.97 a | 53.51 ± 0.82 ab | 6.45 ± 0.70 a | ||
| HLP | 74.14 ± 1.00 A | 51.4 ± 1.035 A | 6.06 ± 0.47 A | ||
| SFP | 79.54 ± 0.65 aB | 56.93 ± 0.58 aA | 5.94 ± 0.44 aA | ||
| JM44 | HP | 72.19 ± 2.86 b | 49.25 ± 1.45 b | 4.53 ± 0.26 a | |
| LP | 73.87 ± 2.61 b | 51.03 ± 1.70 b | 5.10 ± 0.26 a | ||
| HLP | 73.03 ± 2.74 A | 50.14 ± 1.58 A | 4.82 ± 0.26 B | ||
| SFP | 85.24 ± 0.98 aA | 56.53 ± 1.53 aA | 5.24 ± 0.25 aA | ||
| 2020 | HG35 | HP | 69.28 ± 1.96 b | 48.13 ± 1.48 b | 6.74 ± 0.34 a |
| LP | 78.37 ± 1.34 a | 55.70 ± 0.57 a | 6.00 ± 0.34 a | ||
| HLP | 73.83 ±1.65 A | 51.92 ± 1.03 A | 6.37 ± 0.34 A | ||
| SFP | 79.81 ± 0.53 aB | 55.89 ± 0.36 aA | 6.37 ± 0.23 aA | ||
| JM44 | HP | 69.35 ± 1.27 c | 46.94 ± 1.26 c | 5.06 ± 0.38 a | |
| LP | 82.58 ± 1.95 b | 53.99 ± 2.63 b | 5.05 ± 0.31 a | ||
| HLP | 75.97 ± 1.61 A | 50.47 ± 1.95 A | 5.06 ± 0.35 B | ||
| SFP | 88.48 ± 0.50 aA | 59.99 ± 0.55 aA | 4.87 ± 0.36 aB | ||
| F-value | |||||
| Year (Y) | 0.123 | 0.383 | 0.37 | ||
| Cultivar (C) | 0.006 | 0.714 | < 0.001 | ||
| Mode (M) | < 0.001 | < 0.001 | 0.84 | ||
| Y × C | 0.097 | 0.379 | 0.47 | ||
| Y × M | 0.02 | 0.085 | 0.13 | ||
| C × M | 0.008 | 0.128 | 0.81 | ||
| Y × C × M | 0.121 | 0.328 | 0.48 |
| Years | Cultivars | Modes | Second Basal Internode | ||||
|---|---|---|---|---|---|---|---|
| Length (mm) | Diameter (mm) | Wall Thickness (mm) | Dry Weight (mg) | Stem Filling Degree (mg/mm) | |||
| 2019 | HG35 | HP | 68.93 ± 4.53 a | 3.55 ± 0.07 a | 0.42 ± 0.00 a | 85.85 ± 4.23 b | 1.29 ± 0.09 a |
| LP | 77.33 ± 3.77 a | 3.82 ± 0.09 a | 0.48 ± 0.05 a | 102.71 ± 5.12 a | 1.35 ± 0.06 a | ||
| HLP | 73.13 ± 4.15 B | 3.69 ± 0.08 A | 0.45 ± 0.03 A | 94.28 ± 4.68 A | 1.32 ± 0.08 A | ||
| SFP | 79.4 ± 7.10 aB | 3.83 ± 0.12 aB | 0.45 ± 0.02 aA | 96.51 ± 4.31 abB | 1.25 ± 0.09 aA | ||
| JM44 | HP | 99.60 ± 5.97 a | 3.77 ± 0.06 b | 0.37 ± 0.01 a | 103.52 ± 6.32 b | 1.06 ± 0.07 b | |
| LP | 92.78 ± 7.68 a | 3.99 ± 0.06 b | 0.43 ± 0.02 a | 113.81 ± 5.24 ab | 1.31 ± 0.10 a | ||
| HLP | 96.19 ± 6.83 A | 3.88 ± 0.06 A | 0.40 ± 0.02 A | 108.67 ± 5.78 A | 1.19 ± 0.09 A | ||
| SFP | 101.33 ± 5.44 aA | 4.46 ± 0.13 aA | 0.37 ± 0.00 aB | 128.17 ± 5.14 aA | 1.22 ± 0.07 aA | ||
| 2020 | HG35 | HP | 71.07 ± 3.96 a | 3.66 ± 0.06 a | 0.44 ± 0.00 a | 87.49 ± 3.63 a | 1.26 ± 0.07 a |
| LP | 72.93 ± 2.61 a | 3.67 ± 0.06 a | 0.47 ± 0.03 a | 98.62 ± 2.56 a | 1.40 ± 0.03 a | ||
| HLP | 72.00 ± 3.29 B | 3.67 ± 0.06 A | 0.46 ± 0.02 A | 93.06 ± 3.10 A | 1.33 ± 0.05 A | ||
| SFP | 75.67 ± 2.88 aB | 3.82 ± 0.05 aB | 0.47 ± 0.00 aA | 94.15 ± 4.23 aB | 1.29 ± 0.05 aA | ||
| JM44 | HP | 88.53 ± 2.97 b | 3.65 ± 0.02 b | 0.39 ± 0.01 a | 101.81 ± 6.23 b | 1.20 ± 0.05 a | |
| LP | 98.67 ± 3.00 ab | 4.09 ± 0.18 a | 0.37 ± 0.02 a | 118.19 ± 5.78 ab | 1.20 ± 0.05 a | ||
| HLP | 93.60 ± 2.99 A | 3.97 ± 0.10 A | 0.38 ± 0.02 B | 110.00 ± 6.01 A | 1.20 ± 0.05 A | ||
| SFP | 104.93 ± 5.04 aA | 4.18 ± 0.09 aA | 0.37 ± 0.02 aB | 128.49 ± 5.34 aA | 1.26 ± 0.06 aA | ||
| F-value | |||||||
| Year (Y) | 0.66 | 0.64 | 0.96 | 0.81 | 0.81 | ||
| Cultivar (C) | <0.001 | <0.001 | <0.001 | <0.001 | 0.09 | ||
| Mode (M) | 0.07 | <0.001 | 0.12 | <0.001 | 0.07 | ||
| Y × C | 0.80 | 0.86 | 0.34 | 0.32 | 0.79 | ||
| Y × M | 0.72 | 0.26 | 0.15 | 0.92 | 0.71 | ||
| C × M | 0.76 | 0.02 | 0.53 | 0.09 | 0.25 | ||
| Y × C × M | 0.20 | 0.02 | 0.65 | 0.19 | 0.20 | ||
Publisher’s Note: MDPI stays neutral with regard to jurisdictional claims in published maps and institutional affiliations. |
© 2021 by the authors. Licensee MDPI, Basel, Switzerland. This article is an open access article distributed under the terms and conditions of the Creative Commons Attribution (CC BY) license (https://creativecommons.org/licenses/by/4.0/).
Share and Cite
Wu, L.; Han, X.; Islam, S.; Zhai, S.; Zhao, H.; Zhang, G.; Cui, G.; Zhang, F.; Han, W.; You, X.; et al. Effects of Sowing Mode on Lodging Resistance and Grain Yield in Winter Wheat. Agronomy 2021, 11, 1378. https://doi.org/10.3390/agronomy11071378
Wu L, Han X, Islam S, Zhai S, Zhao H, Zhang G, Cui G, Zhang F, Han W, You X, et al. Effects of Sowing Mode on Lodging Resistance and Grain Yield in Winter Wheat. Agronomy. 2021; 11(7):1378. https://doi.org/10.3390/agronomy11071378
Chicago/Turabian StyleWu, Lifeng, Xiaowei Han, Shahidul Islam, Shengnan Zhai, Hui Zhao, Guoshun Zhang, Gangzhu Cui, Feng Zhang, Wenliang Han, Xiaosheng You, and et al. 2021. "Effects of Sowing Mode on Lodging Resistance and Grain Yield in Winter Wheat" Agronomy 11, no. 7: 1378. https://doi.org/10.3390/agronomy11071378
APA StyleWu, L., Han, X., Islam, S., Zhai, S., Zhao, H., Zhang, G., Cui, G., Zhang, F., Han, W., You, X., Ju, Z., Lv, P., Zhou, J., Gao, Q., Cui, B., Wu, Y., Yang, Z., Liu, Q., Yang, F., ... Liu, H. (2021). Effects of Sowing Mode on Lodging Resistance and Grain Yield in Winter Wheat. Agronomy, 11(7), 1378. https://doi.org/10.3390/agronomy11071378

