Improving Adventitious Shoot Regeneration and Transient Agrobacterium-Mediated Transformation of Apricot (Prunus armeniaca L.) Hypocotyl Sections
Abstract
:1. Introduction
2. Materials and Methods
2.1. Plant Material
2.2. Study of Factors Affecting Adventitious Shoot Regeneration
2.3. Agrobacterium Tumefaciens-Mediated Transformation
2.4. Experimental Design and Data Analysis
3. Results
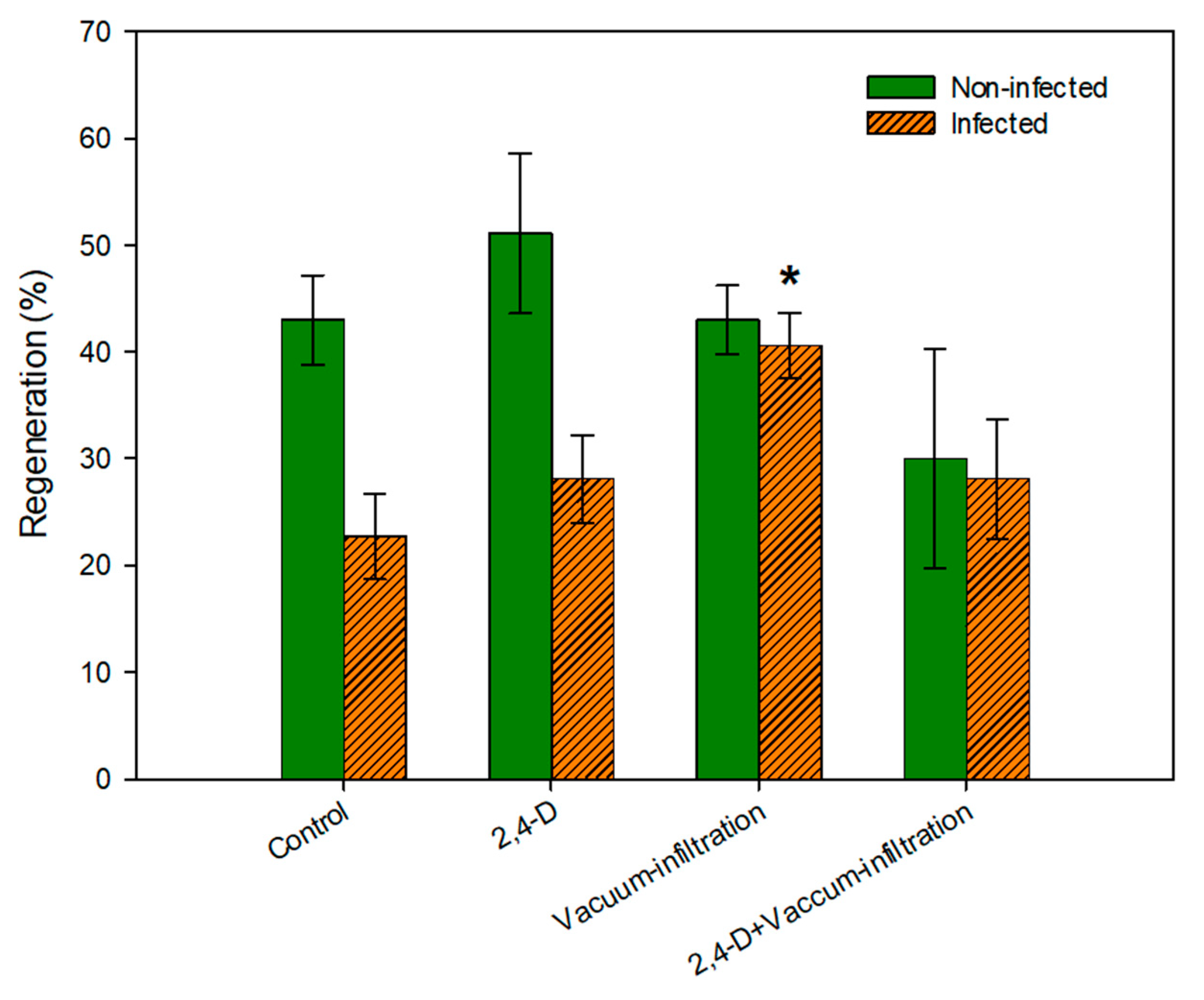
3.1. Adventitious Regeneration
3.2. Tissue Transformation
4. Discussion
5. Conclusions
Author Contributions
Funding
Institutional Review Board Statement
Informed Consent Statement
Data Availability Statement
Conflicts of Interest
References
- Alburquerque, N.; Ruiz, D.; Burgos, L.; Petri, C. Prunus Armeniaca Apricot. In Biotechnology of Fruit and Nut Crops; Litz, R.E., Pliego, F., Hormaza, I., Eds.; CAB International: Orlando, FL, USA, 2020; pp. 496–511. [Google Scholar]
- Machado, M.L.D.C.; Machado, A.D.C.; Hanzer, V.; Weiss, H.; Regner, F.; Steinkellner, H.; Mattanovich, D.; Plail, R.; Knapp, E.; Kalthoff, B.; et al. Regeneration of transgenic plants of Prunus armeniaca containing the coat protein gene of Plum Pox Virus. Plant Cell Rep. 1992, 11, 25–29. [Google Scholar] [CrossRef] [PubMed]
- Wang, H.; Alburquerque, N.; Burgos, L.; Petri, C. Adventitious shoot regeneration from hypocotyl slices of mature apricot (Prunus armeniaca L.) seeds: A feasible alternative for apricot genetic engineering. Sci. Hortic. 2011, 128, 457–464. [Google Scholar] [CrossRef]
- Petri, C.; Wang, H.; Burgos, L.; Sánchez-Navarro, J.; Alburquerque, N. Production of transgenic apricot plants from hypocotyl segments of mature seeds. Sci. Hortic. 2015, 197, 144–149. [Google Scholar] [CrossRef]
- Piqueras, A.; Alburquerque, N.; Folta, K.M. Explants Used for the Generation of Transgenic Plants. In Transgenic Crop Plants; Springer: Berlin/Heidelberg, Germany, 2010; Volume 1, pp. 31–56. [Google Scholar]
- Yepes, L.M.; Aldwinckle, H.S. Factors that affect leaf regeneration efficiency in apple, and effect of antibiotics in morphogenesis. Plant Cell. Tissue Organ Cult. 1994, 37, 257–269. [Google Scholar]
- Petri, C.; Alburquerque, N.; Burgos, L. Auxin pulses and a synergistic interaction between polyamines and ethylene inhibitors improve adventitious regeneration from apricot leaves and Agrobacterium-mediated transformation of leaf tissues. Plant Cell. Tissue Organ Cult. (PCTOC) 2005, 82, 105–111. [Google Scholar] [CrossRef]
- Petri, C.; Webb, K.; Hily, J.-M.; Dardick, C.; Scorza, R. High transformation efficiency in plum (Prunus domestica L.): A new tool for functional genomics studies in Prunus spp. Mol. Breed. 2008, 22, 581–591. [Google Scholar] [CrossRef]
- Amoah, B.; Wu, H.; Sparks, C.; Jones, H. Factors influencing Agrobacterium-mediated transient expression of uidA in wheat inflorescence tissue. J. Exp. Bot. 2001, 52, 1135–1142. [Google Scholar] [CrossRef] [Green Version]
- Haq, I.-U. Agrobacterium-mediated transformation of cotton (Gossypium hirsutum L.) via vacuum infiltration. Plant Mol. Biol. Rep. 2004, 22, 279–288. [Google Scholar] [CrossRef]
- Canche-Moo, R.; Ku-Gonzalez, A.; Burgeff, C.; Loyola-Vargas, V.; Rodriguez-Zapata, L.; Castano, E. Genetic transformation of Coffea canephora by vacuum infiltration. Plant Cell. Tissue Organ Cult. (PCTOC) 2006, 84, 373–377. [Google Scholar] [CrossRef]
- Charity, J.; Holland, L.; Donaldson, S.; Grace, L.; Walter, C. Agrobacterium-mediated transformation of Pinus radiata organogenic tissue using vacuum-infiltration. Plant Cell. Tissue Organ Cult. (PCTOC) 2002, 70, 51–60. [Google Scholar] [CrossRef]
- De Oliveira, M.L.P.; Febres, V.J.; Costa, M.G.C.; Moore, G.A.; Otoni, W.C. High-efficiency Agrobacterium-mediated transformation of citrus via sonication and vacuum infiltration. Plant Cell Rep. 2008, 28, 387–395. [Google Scholar] [CrossRef]
- Trick, H.; Finer, J. SAAT: Sonication-assisted Agrobacterium-mediated transformation. Transgenic Res. 1997, 6, 329–336. [Google Scholar] [CrossRef]
- Liu, Y.; Yang, H.; Sakanishi, A. Ultrasound: Mechanical gene transfer into plant cells by sonoporation. Biotechnol. Adv. 2006, 24, 1–16. [Google Scholar] [CrossRef] [PubMed]
- Murashige, T.; Skoog, F. A Revised Medium for Rapid Growth and Bio Assays with Tobacco Tissue Cultures. Physiol. Plant. 1962, 15, 473–497. [Google Scholar] [CrossRef]
- Eckes, P.; Rosahl, S.; Schell, J.; Willmitzer, L. Isolation and characterization of a light-inducible, organ-specific gene from potato and analysis of its expression after tagging and transfer into tobacco and potato shoots. Mol. Genet. Genom. 1986, 205, 14–22. [Google Scholar] [CrossRef]
- SAS Institute, Inc. SAS/STAT User’s Guide. Release 6.03; SAS Institute, Inc.: Cary, NC, USA, 1988. [Google Scholar]
- Yepes, L.M.; Aldwinckle, H.S. Micropropagation of thirteen Malus cultivars and rootstocks, and effect of antibiotics on proliferation. Plant Growth Regul. 1994, 15, 55–67. [Google Scholar] [CrossRef]
- Ramesh, M.; Murugiah, V.; Gupta, A. Efficient in vitro plant regeneration via leaf base segments of Indica rice (Oryza sativa L.). Indian J. Exp. Boil. 2009, 47, 68–74. [Google Scholar]
- Haliloglu, K. Efficient regeneration system from wheat leaf base segments. Biol. Plant. 2006, 50, 326–330. [Google Scholar] [CrossRef]
- Zheng, S.-J.; Henken, B.; Krens, F.A.; Kik, C. The development of an efficient cultivar-independent plant regeneration system from callus derived from both apical and non-apical root segments of garlic (Allium sativum L.). Vitr. Cell. Dev. Biol. Anim. 2003, 39, 288–292. [Google Scholar] [CrossRef]
- Welander, M. Plant Regeneration from Leaf and Stem Segments of Shoots Raised in vitro from Mature Apple Trees. J. Plant Physiol. 1988, 132, 738–744. [Google Scholar] [CrossRef]
- Manté, S.; Morgens, P.H.; Scorza, R.; Cordts, J.M.; Callahan, A.M. Agrobacterium-Mediated Transformation of Plum (Prunus domestica L.) Hypocotyl Slices and Regeneration of Transgenic Plants. Nat. Biotechnol. 1991, 9, 853–857. [Google Scholar] [CrossRef]
- Pascual, L.; Marín, J.A. A liquid 2,4-D pulse increased shoot and root regeneration from leaf explants of adult Prunus rootstocks. Sci. Hortic. 2005, 106, 582–592. [Google Scholar] [CrossRef] [Green Version]
- Tang, W.; Newton, R.J. Plant regeneration from callus cultures derived from mature zygotic embryos in white pine (Pinus strobus L.). Plant Cell Rep. 2005, 24, 1–9. [Google Scholar] [CrossRef] [PubMed]
- Yancheva, S.D.; Golubowicz, S.; Fisher, E.; Lev-Yadun, S.; Flaishman, M.A. Auxin type and timing of application determine the activation of the developmental program during in vitro organogenesis in apple. Plant Sci. 2003, 165, 299–309. [Google Scholar] [CrossRef]
- Ananthakrishnan, G.; Xia, X.; Amutha, S.; Singer, S.; Muruganantham, M.; Yablonsky, S.; Fischer, E.; Gaba, V.; Singer, S. Ultrasonic treatment stimulates multiple shoot regeneration and explant enlargement in recalcitrant squash cotyledon explants in vitro. Plant Cell Rep. 2006, 26, 267–276. [Google Scholar] [CrossRef] [PubMed]
- Dan, Y.; Zhang, S.; Zhong, H.; Yi, H.; Sainz, M.B. Novel compounds that enhance Agrobacterium-mediated plant transformation by mitigating oxidative stress. Plant Cell Rep. 2014, 34, 291–309. [Google Scholar] [CrossRef]
- Beranová, M.; Rakousky, S.; Vávrová, Z.; Skalicky, T. Sonication assisted Agrobacterium-mediated transformation enhances the transformation efficiency in flax (Linum usitatissimum L.). Plant Cell. Tissue Organ Cult. 2008, 94, 253–259. [Google Scholar] [CrossRef]
- Arrillaga, I.; Zaragoza, C.; Muñoz-Bertomeu, J. Regeneration of herbicide-tolerant black locust transgenic plants by SAAT. Plant Cell Rep. 2004, 22, 832–838. [Google Scholar] [CrossRef]
- Arun, M.; Subramanyam, K.; Mariashibu, T.S.; Theboral, J.; Sivanandhan, G.; Manickavasagam, M.; Ganapathi, A. Application of Sonication in Combination with Vacuum Infiltration Enhances the Agrobacterium-Mediated Genetic Transformation in Indian Soybean Cultivars. Appl. Biochem. Biotechnol. 2014, 175, 2266–2287. [Google Scholar] [CrossRef]
- Sivanandhan, G.; Dev, G.K.; Theboral, J.; Selvaraj, N.; Ganapathi, A.; Manickavasagam, M. Sonication, Vacuum Infiltration and Thiol Compounds Enhance the Agrobacterium-Mediated Transformation Frequency of Withania somnifera (L.) Dunal. PLoS ONE 2015, 10, e0124693. [Google Scholar] [CrossRef] [Green Version]
- Vasudevan, V.; Siva, R.; Krishnan, V.; Manickavasagam, M. Polyamines, sonication and vacuum infiltration enhances the Agrobacterium-mediated transformation in watermelon (Citrullus lanatus Thunb.). S. Afr. J. Bot. 2020, 128, 333–338. [Google Scholar] [CrossRef]
- Mo, R.; Yang, S.; Zhang, Q.; Xu, L.; Luo, Z. Vacuum infiltration enhances the Agrobacterium-mediated transient transformation for gene functional analysis in persimmon (Diospyros kaki Thunb.). Sci. Hortic. 2019, 251, 174–180. [Google Scholar] [CrossRef]
- Chevreau, E.; Dousset, N.; Joffrion, C.; Richer, A.; Charrier, A.; Vergne, E. Agroinfiltration is a key factor to improve the efficiency of apple and pear transformation. Sci. Hortic. 2019, 251, 150–154. [Google Scholar] [CrossRef]
- Gaba, V.; Kathiravan, K.; Amutha, S.; Singer, S.; Xiaodi, X.; Ananthakrishnan, G. The uses of ultrasound in plant tissue culture. In Plan Tissue Culture Engineering; Springer: Dordrecht, The Netherlands, 2006; pp. 417–426. ISBN 1402035942. [Google Scholar]
- Faize, M.; Faize, L.; Burgos, L. Using quantitative real-time PCR to detect chimeras in transgenic tobacco and apricot and to monitor their dissociation. BMC Biotechnol. 2010, 10, 53. [Google Scholar] [CrossRef] [PubMed] [Green Version]





| Treatment | Number of GFP Zones/Transformed Explant | Explant Area Expressing GFP% | Chimerical Buds/Total Infected Explants% |
|---|---|---|---|
| Control | 0.9 ± 0.1 | 29.1 ± 0.9 | 1.8 ± 1.3 |
| 2,4-D | 2.0 ± 0.2 * | 30.8 ± 1.0 | 0.0 ± 0.0 |
| Vacuum-infiltration | 1.1 ± 0.1 | 34.8 ± 1.1 * | 10.8 ± 2.3 * |
| 2,4-D + Vacuum-infiltration | 1.1 ± 0.2 | 33.9 ± 1.7 * | 1.6 ± 1.5 |
| 10″ Sonication + Vacuum-infiltration | 0.3 ± 0.1 | 27.3 ± 1.0 | 11.4 ± 3.8 * |
| 30″ Sonication + Vacuum-infiltration | 1.4 ± 0.2 * | 35.6 ± 1.8 * | 15.4 ± 4.5 * |
Publisher’s Note: MDPI stays neutral with regard to jurisdictional claims in published maps and institutional affiliations. |
© 2021 by the authors. Licensee MDPI, Basel, Switzerland. This article is an open access article distributed under the terms and conditions of the Creative Commons Attribution (CC BY) license (https://creativecommons.org/licenses/by/4.0/).
Share and Cite
Pérez-Caselles, C.; Faize, L.; Burgos, L.; Alburquerque, N. Improving Adventitious Shoot Regeneration and Transient Agrobacterium-Mediated Transformation of Apricot (Prunus armeniaca L.) Hypocotyl Sections. Agronomy 2021, 11, 1338. https://doi.org/10.3390/agronomy11071338
Pérez-Caselles C, Faize L, Burgos L, Alburquerque N. Improving Adventitious Shoot Regeneration and Transient Agrobacterium-Mediated Transformation of Apricot (Prunus armeniaca L.) Hypocotyl Sections. Agronomy. 2021; 11(7):1338. https://doi.org/10.3390/agronomy11071338
Chicago/Turabian StylePérez-Caselles, Cristian, Lydia Faize, Lorenzo Burgos, and Nuria Alburquerque. 2021. "Improving Adventitious Shoot Regeneration and Transient Agrobacterium-Mediated Transformation of Apricot (Prunus armeniaca L.) Hypocotyl Sections" Agronomy 11, no. 7: 1338. https://doi.org/10.3390/agronomy11071338
APA StylePérez-Caselles, C., Faize, L., Burgos, L., & Alburquerque, N. (2021). Improving Adventitious Shoot Regeneration and Transient Agrobacterium-Mediated Transformation of Apricot (Prunus armeniaca L.) Hypocotyl Sections. Agronomy, 11(7), 1338. https://doi.org/10.3390/agronomy11071338

