Gibberellins Target Shoot-Root Growth, Morpho-Physiological and Molecular Pathways to Induce Cadmium Tolerance in Vigna radiata L.
Abstract
1. Introduction
2. Materials and Methods
- Experiment 1: Growth of Young Plants in Hydroponics
- Experiment 2: Growth of Plants in Soil
2.1. Shoot and Root Morphometry and Biomass
2.2. Histological Localization and Estimation of Cd Accumulation by Atomic Absorption Spectrometry
2.3. Biochemical Estimations and Stress Indices
2.4. Agronomic Traits
2.5. Quantitative PCR Analysis
2.6. Pearson Correlation Analyses
2.7. Statistical Analysis
3. Results
3.1. Growth of Young Shoot-Root System under Cd Stress and after GA3 Application
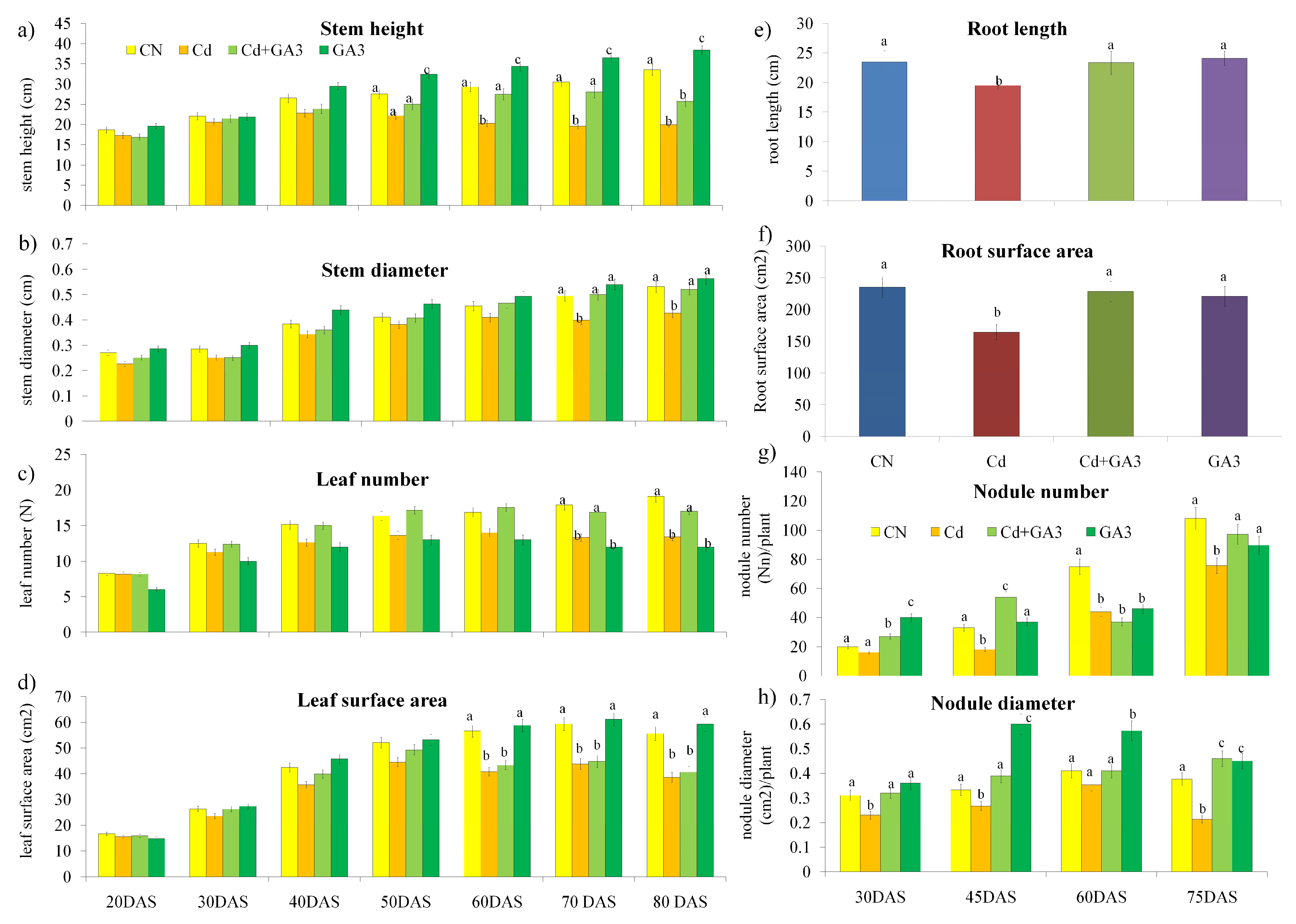
3.2. Shoot Morphometery under Cd Stress and after GA3 Application in Pot Experiments
3.3. Effect of GA3 on Root Surface Area and Root Nodules Attributes under Cd Stress in Pot Experiments
3.4. Effect of GA3 on Plant Biomass under Cd Stress
3.5. Effect of GA3 on Photosynthetic Pigments and Soluble Sugar under Cd Stress
3.6. Effect of GA3 on Stress Indices and Antioxidant System in Pot Experiments
3.7. Effect of GA3 on Accumulation, Translocation, and Localization of Cd Ions
3.8. Effect of GA3 on Genes Regulating Cd Uptake and Transport
3.9. GA3 Improves Agronomic Traits Affected by Cd Stress
3.10. Pearson Correlation Analysis
4. Discussion
5. Conclusions
Author Contributions
Funding
Institutional Review Board Statement
Informed Consent Statement
Data Availability Statement
Acknowledgments
Conflicts of Interest
References
- Hou, D.; Yousaf, L.; Xue, Y.; Hu, J.; Wu, J.; Hu, X.; Feng, N.; Shen, Q. Mung bean (Vigna radiata L.): Bioactive polyphenols, polysaccharides, peptides, and health benefits. Nutrients 2019, 11, 1238. [Google Scholar] [CrossRef]
- Sanaei, F.; Amin, M.M.; Alavijeh, Z.P.; Esfahani, R.A.; Sadeghi, M.; Bandarrig, N.S.; Fatehizadeh, A.; Taheri, E.; Rezakazemi, M. Health risk assessment of potentially toxic elements intake via food crops consumption: Monte Carlo simulation-based probabilistic and heavy metal pollution index. Environ. Sci. Pollut. Res. Int. 2020, 28, 1479–1490. [Google Scholar] [CrossRef]
- Zheng, S.; Wang, Q.; Yuan, Y.; Sun, W. Human health risk assessment of heavy metals in soil and food crops in the Pearl River Delta urban agglomeration of China. Food Chem. 2020, 316, 126213. [Google Scholar] [CrossRef]
- Shanying, H.E.; Xiaoe, Y.A.N.G.; Zhenli, H.E. Morphological and physiological responses of plants to cadmium toxicity: A review. Pedosphere 2017, 27, 421–438. [Google Scholar]
- Kubier, A.; Wilkin, R.T.; Pichler, T. Cadmium in soils and groundwater: A review. Appl. Geochem. 2019, 108, 104388. [Google Scholar] [CrossRef] [PubMed]
- Zhao, F.J.; Huang, X.Y. Cadmium phytoremediation: Call rice CAL1. Mol. Plant 2018, 11, 640–642. [Google Scholar] [CrossRef] [PubMed]
- Qin, S.; Liu, H.; Nie, Z.; Rengel, Z.; Gao, W.; Li, C.; Zhao, P. Toxicity of cadmium and its competition with mineral nutrients for uptake by plants: A review. Pedosphere 2020, 30, 168–180. [Google Scholar] [CrossRef]
- Azhar, M.; ur Rehman, M.Z.; Ali, S.; Qayyum, M.F.; Naeem, A.; Ayub, M.A.; HaqMAu Iqbal, A.; Rizwan, M. Comparative effectiveness of different biochars and conventional organic materials on growth, photosynthesis and cadmium accumulation in cereals. Chemosphere 2019, 227, 72–81. [Google Scholar] [CrossRef]
- Calero-Muñoz, N.; Exposito-Rodriguez, M.; Collado-Arenal, A.M.; Rodríguez-Serrano, M.; Laureano-Marín, A.M.; Santamaría, M.E.; Gotor, C.; Díaz, I.; Mullineaux, P.M.; Romero-Puertas, M.C.; et al. Cadmium induces reactive oxygen species-dependent pexophagy in Arabidopsis leaves. Plant Cell Environ. 2019, 42, 2696–2714. [Google Scholar] [CrossRef]
- Bangar, P.; Chaudhury, A.; Tiwari, B.; Kumar, S.; Kumari, R.; Bhat, K.V. Morphophysiological and biochemical response of mungbean [Vigna radiata (L.) Wilczek] varieties at different developmental stages under drought stress. Turk. J. Biol. 2019, 43, 58–69. [Google Scholar] [CrossRef]
- Silambarasan, S.; Logeswari, P.; Cornejo, P.; Kannan, V.R. Role of plant growth–promoting rhizobacterial consortium in improving the Vigna radiata growth and alleviation of aluminum and drought stresses. Environ. Sci. Pollut. Res. Int. 2019, 26, 27647–27659. [Google Scholar] [CrossRef]
- Sehrawat, N.; Yadav, M.; Sharma, A.K.; Kumar, V.; Bhat, K.V. Salt stress and mungbean [Vigna radiata (L.) Wilczek]: Effects, physiological perspective and management practices for alleviating salinity. Arch. Agron. Soil Sci. 2019, 65, 1287–1301. [Google Scholar] [CrossRef]
- Ranjan, J.; Mandal, T.; Mandal, D.D. Mechanistic insight for DBP induced growth inhibition in Vigna radiata via oxidative stress and DNA damage. Chemosphere 2021, 263, 128062. [Google Scholar] [CrossRef]
- Pandey, A.K.; Burlakoti, R.R.; Kenyon, L.; Nair, R.M. Perspectives and challenges for sustainable management of fungal diseases of mungbean [Vigna radiata (L.) R. Wilczek var. radiata]: A Review. Front. Environ. Sci. 2018, 6, 53. [Google Scholar] [CrossRef]
- Ghani, A. Effect of cadmium toxicity on the growth and yield components of mungbean [Vigna radiata (L.) Wilczek]. World Appl. Sci. J. 2010, 8, 26–29. [Google Scholar]
- Wu, Z.; Xu, S.; Shi, H.; Zhao, P.; Liu, X.; Li, F.; Wang, F. Comparison of foliar silicon and selenium on cadmium absorption, compartmentation, translocation and the antioxidant system in Chinese flowering cabbage. Ecotoxicol. Environ. Saf. 2018, 166, 157–164. [Google Scholar] [CrossRef]
- Shekari, L.; Aroiee, H.; Mirshekari, A. Protective role of selenium on cucumber (Cucumis sativus L.) exposed to cadmium and lead stress during reproductive stage role of selenium on heavy metals stress. J. Plant Nutr. 2019, 42, 529–542. [Google Scholar] [CrossRef]
- Ovečka, M.; Takáč, T. Managing heavy metal toxicity stress in plants: Biological and biotechnological tools. Biotechnol. Adv. 2014, 32, 73–86. [Google Scholar] [CrossRef]
- Tiwari, S.; Lata, C. Heavy metal stress, signaling, and tolerance due to plant-associated microbes: An overview. Front. Plant Sci. 2018, 9, 452. [Google Scholar] [CrossRef]
- Ai, T.N.; Naing, A.H.; Yun, B.W.; Lim, S.H.; Kim, C.K. Overexpression of RsMYB1 enhances anthocyanin accumulation and heavy metal stress tolerance in transgenic petunia. Front. Plant Sci. 2018, 9, 1388. [Google Scholar] [CrossRef]
- Belykh, E.S.; Maystrenko, T.A.; Velegzhaninov, I.O. Recent trends in enhancing the resistance of cultivated plants to heavy metal stress by transgenesis and transcriptional programming. Mol. Biotechnol. 2019, 61, 725–741. [Google Scholar] [CrossRef]
- Nguyen, T.Q.; Sesin, V.; Kisiala, A.; Emery, R.N. Phytohormonal Roles in Plant Responses to Heavy Metal Stress: Implications for Using Macrophytes in Phytoremediation of Aquatic Ecosystems. Environ. Toxicol. Chem. 2021, 40, 7–22. [Google Scholar] [CrossRef]
- Shukla, M.; Al-Busaidi, K.T.; Trivedi, M.; Tiwari, R.K. Status of research, regulations and challenges for genetically modified crops in India. GM Crops Food 2018, 9, 173–188. [Google Scholar] [CrossRef]
- Karky, R.B.; Perry, M. Disharmonization in the regulation of transgenic plants in Europe. Biotechnol. Law Rep. 2019, 38, 350–375. [Google Scholar] [CrossRef]
- Mohite, B.V.; Koli, S.H.; Narkhede, C.P.; Patil, S.N.; Patil, S.V. Prospective of microbial exopolysaccharide for heavy metal exclusion. Appl. Biochem. Biotechnol. 2017, 183, 582–600. [Google Scholar] [CrossRef]
- Sytar, O.; Kumari, P.; Yadav, S.; Brestic, M.; Rastogi, A. Phytohormone priming: Regulator for heavy metal stress in plants. J. Plant Growth Regul. 2019, 38, 739–752. [Google Scholar] [CrossRef]
- Haq, S.; Bhatti, A.A.; Dar, Z.A.; Bhat, S.A. Phytoremediation of heavy metals: An eco-friendly and sustainable approach, In Bioremediation and Biotechnology; Springer: Cham, Switzerland, 2020; pp. 215–231. [Google Scholar]
- Hasan, S.; Sehar, Z.; Khan, N.A. Gibberellic Acid and Sulfur-Mediated Reversal of Cadmium-Inhibited Photosynthetic Performance in Mungbean (Vigna radiata L.) Involves Nitric Oxide. J. Plant Growth Regul. 2020, 39, 1605–1615. [Google Scholar] [CrossRef]
- Asgher, M.; Khan MI, R.; Anjum, N.A.; Khan, N.A. Minimising toxicity of cadmium in plants—role of plant growth regulators. Protoplasma 2015, 252, 399–413. [Google Scholar] [CrossRef]
- Mohan, R.; Kaur, T.; Bhat, H.A.; Khajuria, M.; Pal, S.; Vyas, D. Paclobutrazol induces photochemical efficiency in mulberry (Morus alba L.) under water stress and affects leaf yield without influencing biotic interactions. J. Plant Growth Regul. 2019, 39, 205–215. [Google Scholar] [CrossRef]
- Urfan, M.; Hakla, H.R.; Sharma, S.; Sharma, M.; Khajuria, M.; Vyas, D.; Satbhai, S.B.; Pal, S. Exploring phenotyping plasticity for improving deficit irrigation and growth performance in maize. bioRxiv 2020. [Google Scholar] [CrossRef]
- Bakkali, K.; Martos, N.R.; Souhail, B.; Ballesteros, E. Characterization of trace metals in vegetables by graphite furnace atomic absorption spectrometry after closed vessel microwave digestion. Food Chem. 2009, 116, 590–594. [Google Scholar] [CrossRef]
- Lichtenthaler, H.K. Chlorophylls and carotenoids: Pigments of photosynthetic biomembranes. Methods Enzymol. 1987, 148, 350–382. [Google Scholar]
- Miller, G.L. Modified DNS method for reducing sugars. Anal. Chem. 1959, 31, 426–428. [Google Scholar] [CrossRef]
- Pal, S.; Zhao, J.; Khan, A.; Yadav, N.S.; Batushansky, A.; Barak, S.; Rewald, B.; Fait, A.; Lazarovitch, N.; Rachmilevitch, S. Paclobutrazol induces tolerance in tomato to deficit irrigation through diversified effects on plant morphology, physiology and metabolism. Sci. Rep. 2016, 6, 39321. [Google Scholar] [CrossRef] [PubMed]
- Kandeler, E.; Gerber, H. Short-term assay of soil urease activity using colorimetric determination of ammonium. Biol. Fertil. Soils. 1988, 6, 68–72. [Google Scholar] [CrossRef]
- Choudhary, S.P.; Oral, H.V.; Bhardwaj, R.; Yu, J.Q.; Tran LS, P. Interaction of brassinosteroids and polyamines enhances copper stress tolerance in Raphanus sativus. J. Exper. Bot. 2012, 63, 5659–5675. [Google Scholar] [CrossRef]
- Haider, M.U.; Hussain, M.; Farooq, M.; Nawaz, A. Optimizing zinc seed priming for improving the growth, yield and grain biofortification of mungbean (Vigna radiata (L.) Wilczek). J. Plant Nutr. 2020, 43, 1438–1446. [Google Scholar] [CrossRef]
- Muneer, S.; Jeong, B.R.; Kim, T.H.; Lee, J.H.; Soundara rajan, P. Transcriptional and physiological changes in relation to Fe uptake under conditions of Fe-deficiency and Cd-toxicity in roots of Vigna radiate L. J. Plant Res. 2014, 127, 731–742. [Google Scholar] [CrossRef] [PubMed]
- Hu, B.; Xue, J.; Zhou, Y.; Shao, S.; Fu, Z.; Li, Y.; Chen, S.; Qi, L.; Shi, Z. Modelling bioaccumulation of heavy metals in soil-crop ecosystems and identifying its controlling factors using machine learning. Environ. Pollut. 2020, 262, 114308. [Google Scholar] [CrossRef]
- Lu, Z.; Zhang, Z.; Su, Y.; Liu, C.; Shi, G. Cultivar variation in morphological response of peanut roots to cadmium stress and its relation to cadmium accumulation. Ecotoxicol. Environ. Saf. 2013, 91, 147–155. [Google Scholar] [CrossRef]
- Mohammadzadeh, A.; Tavakoli, M.; Motesharezadeh, B.; Chaichi, M.R. Effects of plant growth-promoting bacteria on the phytoremediation of cadmium-contaminated soil by sunflower. Arch. Agron. Soil Sci. 2017, 63, 807–816. [Google Scholar] [CrossRef]
- Manoj, K.; Sinhal, V.K.; Alok, S.; Singh, V.P. Zinc alleviates cadmium induced toxicity in Vigna radiate (L.) Wilczek. J. Phytol. 2011, 3, 43–46. [Google Scholar]
- Meng, H.; Hua, S.; Shamsi, I.H.; Jilani, G.; Li, Y.; Jiang, L. Cadmium-induced stress on the seed germination and seedling growth of Brassica napus L. and its alleviation through exogenous plant growth regulators. Plant Growth Regul. 2009, 58, 47–59. [Google Scholar] [CrossRef]
- Ghani, A.; Wahid, A. Varietal differences for cadmium-induced seedling mortality and foliar-toxicity symptoms in mungbean (Vigna radiata). Int. J. Agric. Biol. 2007, 9, 555–558. [Google Scholar]
- Xu, Q.; Krishnan, S.; Merewitz, E.; Xu, J.; Huang, B. Gibberellin-regulation and genetic variations in leaf elongation for tall fescue in association with differential gene expression controlling cell expansion. Sci. Rep. 2016, 6, 30258. [Google Scholar] [CrossRef] [PubMed]
- Singh, G.S.; Tuteja, N. Cadmium stress tolerance in crop plants: Probing the role of sulfur. Plant Signal Behav. 2011, 6, 215–222. [Google Scholar]
- Rizvi, A.; Khan, M.S. Biotoxic impact of heavy metals on growth, oxidative stress and morphological changes in root structure of wheat (Triticum aestivum L.) and stress alleviation by Pseudomonas aeruginosa strain CPSB1. Chemosphere 2017, 185, 942–952. [Google Scholar] [CrossRef] [PubMed]
- Alyemeni, M.N.; Hayat, Q.; Hayat, S.; Faizan, M.; Faraz, A. Exogenous proline application enhances the efficiency of nitrogen fixation and assimilation in chickpea plants exposed to cadmium. Legum. Res. 2016, 39, 2. [Google Scholar] [CrossRef]
- Balestrasse, K.B.; Gallego, S.M.; Tomaro, M.L. Cadmium-induced senescence in nodules of soybean (Glycine max L.) plants. Plant Soil. 2004, 262, 373–381. [Google Scholar] [CrossRef]
- Rai, R.; Agrawal, M.; Agrawal, S.B. Impact of heavy metals on physiological processes of plants: With special reference to photosynthetic system. In Plant Responses to Xenobiotics; Springer: Singapore, 2016; pp. 127–140. [Google Scholar]
- Ouzounidou, G.; Ilias, I. Hormone-induced protection of sunflower photosynthetic apparatus against copper toxicity. Biol. Plant. 2005, 49, 223. [Google Scholar] [CrossRef]
- Vijendra, P.D.; Huchappa, K.M.; Lingappa, R.; Basappa, G.; Jayanna, S.G.; Kumar, V. Physiological and biochemical changes in moth bean (Vigna aconitifolia L.) under cadmium stress. J. Bot. 2016. [Google Scholar] [CrossRef][Green Version]
- Cai, B.; Wang, H.; Liu, T.; Zhuang, W.; Wang, Z.; Qu, S.; Qin, Y. Effects of gibberellins A4 on budbreak, antioxidant enzymes’ activity and proline content of flower buds in sweet cherry (Prunus avium). Acta Physiol. Plant. 2019, 41, 1–9. [Google Scholar] [CrossRef]
- Tian, S.F.; Wang, Y.; Du, G.; Li, Y.X. Changes in contents and antioxidant activity of phenolic compounds during gibberellin-induced development in Vitis vinifera L. ‘Muscat’. Acta Physiol. Plant. 2011, 33, 2467–2475. [Google Scholar] [CrossRef]
- Jinlong, Y.; Quan, G.; Ding, C. Effects of the combined pollution of lead and cadmium on soil urease activity and nitrification. Procedia Environ. Sci. 2013, 18, 78–83. [Google Scholar]







| Chla | Chlb | CAR | TSS | MDA | PL | TPC | Prot | Urease Activity | Leg Hb | ||
|---|---|---|---|---|---|---|---|---|---|---|---|
| CN | 30DAS | 4.98 ± 0.29 a | 1.03 ± 0.06 a | 1.02 ± 0.06 a | 9.2 ± 0.55 a | 0.63 ± 0.03 a | 2.83 ± 0.14 a | 1.65 ± 0.08 a | 1.36 ± 0.06 a | 7.22 ± 0.36 a | 1.26 ± 0.29 a |
| 45DAS | 6.21 ± 0.37 a | 1.38 ± 0.08 a | 1.96 ± 0.11 a | 12.51 ± 0.75 | 1.23 ± 0.06 a | 3.56 ± 0.17 a | 2.56 ± 0.12 a | 1.59 ± 0.07 a | 8.60 ± 0.43 a | 2.54 ± 0.08 a | |
| 60DAS | 6.77 ± 0.40 a | 1.40 ± 0.08 a | 2.03 ± 0.12 a | 20.02 ± 1.20 | 1.54 ± 0.07 a | 4.65 ± 0.23 a | 3.66 ± 0.18 a | 2.34 ± 0.11 a | 7.02 ± 0.35 a | 4.93 ± 0.07 b | |
| 75DAS | 6.42 ± 0.38 a | 3.41 ± 0.20 a | 1.75 ± 0.10 a | 20.36 ± 1.22 | 1.88 ± 0.09 a | 6.56 ± 0.32 a | 4.56 ± 0.22 a | 3.20 ± 0.16 a | 4.02 ± 0.20 a | 6.09 ± 0.19 b | |
| Cd | 30DAS | 2.25 ± 0.13 b | 2.63 ± 0.15 b | 1.62 ± 0.09 b | 5.2 ± 0.31 | 0.85 ± 0.04 b | 8.56 ± 0.42 b | 1.99 ± 0.09 a | 3.58 ± 0.17 b | 6.74 ± 0.33 a | 0.79 ± 0.03 a |
| 45DAS | 3.55 ± 0.21 b | 2.28 ± 0.13 b | 2.02 ± 0.12 a | 7.26 ± 0.43 | 1.65 ± 0.08 b | 10.56 ± 0.52 b | 2.56 ± 0.12 a | 2.15 ± 0.10 b | 5.47 ± 0.27 b | 2.69 ± 0.17 b | |
| 60DAS | 3.42 ± 0.20 b | 4.58 ± 0.27 b | 2.59 ± 0.15 b | 9.42 ± 0.56 | 2.88 ± 0.14 b | 17.23 ± 0.86 b | 4.56 ± 0.22 b | 3.22 ± 0.16 b | 4.91 ± 0.24 b | 2.14 ± 0.04 b | |
| 75DAS | 3.81 ± 0.22 b | 3.58 ± 0.21 a | 1.75 ± 0.10 a | 11.96 ± 0.71 | 3.01 ± 0.15 b | 19.36 ± 0.96 b | 5.66 ± 0.28 a | 3.06 ± 0.15 a | 4.52 ± 0.22 a | 2.77 ± 0.29 b | |
| Cd+GA3 | 30DAS | 3.94 ± 0.23 c | 4.00 ± 0.24 c | 1.63 ± 0.09 | 5.6 ± 0.33 b | 0.72 ± 0.03 a | 15.23 ± 0.76 d | 1.89 ± 0.09 b | 1.42 ± 0.07 a | 10.01 ± 0.5 b | 0.91 ± 0.03 a |
| 45DAS | 3.97 ± 0.23 b | 3.41 ± 0.20 c | 2.84 ± 0.17 b | 8.50 ± 0.51 | 1.35 ± 0.06 a | 19.65 ± 0.98 d | 2.44 ± 0.12 a | 2.45 ± 0.12 b | 9.54 ± 0.47 a | 2.68 ± 0.08 b | |
| 60DAS | 4.25 ± 0.25 b | 3.51 ± 0.21 c | 3.17 ± 0.19 c | 18.93 ± 1.13 | 2.14 ± 0.10 c | 20.12 ± 1.00 b | 3.66 ± 0.18 a | 3.77 ± 0.18 c | 9.35 ± 0.46 c | 6.04 ± 0.58 c | |
| 75DAS | 4.26 ± 0.25 d | 4.09 ± 0.24 c | 2.90 ± 0.17 b | 21.67 ± 1.3 | 2.04 ± 0.10 a | 21.36 ± 1.06 b | 4.33 ± 0.21 a | 2.70 ± 0.13 b | 5.12 ± 0.25 c | 8.16 ± 0.42 d | |
| GA3 | 30DAS | 5.90 ± 0.35 a | 2.67 ± 0.16 b | 3.39 ± 0.20 | 8.7 ± 0.52 c | 0.84 ± 0.04 b | 4.56 ± 0.22 c | 2.15 ± 0.10 b | 1.78 ± 0.08 a | 7.97 ± 0.39 a | 1.02 ± 0.04 a |
| 45DAS | 6.44 ± 0.38 a | 3.30 ± 0.19 b | 2.49 ± 0.14 b | 11.55 ± 0.69 | 1.65 ± 0.08 b | 5.60 ± 0.28 c | 2.66 ± 0.13 a | 2.19 ± 0.10 b | 7.52 ± 0.37 a | 4.02 ± 0.29 b | |
| 60DAS | 7.25 ± 0.43 a | 2.62 ± 0.15 c | 2.37 ± 0.14 a | 26.6 ± 1.59 | 2.00 ± 0.10 a | 12.56 ± 0.62 c | 3.36 ± 0.16 a | 3.63 ± 0.18 b | 7.66 ± 0.38 a | 5.42 ± 0.15 c | |
| 75DAS | 7.72 ± 0.46 c | 5.73 ± 0.34 b | 1.88 ± 0.11 b | 31.24 ± 1.87 | 2.15 ± 0.10 a | 16.23 ± 0.81 b | 4.56 ± 0.22 a | 3.56 ± 0.17 a | 7.85 ± 0.39 b | 4.58 ± 0.16 b |
| Treatment | W | L | T | S | Ew | Ev | Dg | Φ% | V | %G | SPr | STPC |
|---|---|---|---|---|---|---|---|---|---|---|---|---|
| CN | 3.94 ± 0.13 a | 4.85 ± 0.20 a | 3.95 ± 0.27 a | 17.27 a | 1.23 a | 0.99 a | 4.21 ± 0.25 a | 86.76 a | 39.76 | 95 a | 1.08 a ± 0.01 | 0.63 ± 0.002 |
| Cd | 3.42 ± 0.24 b | 4.12 ± 0.66 b | 3.40 ± 0.26 b | 14.46 b | 1.20 a | 1.00 a | 3.63 ± 0.21 b | 87.97 a | 25.49 | 52 b | 0.69 b ± 0.002 | 2.17 ± 0.025 |
| Cd+GA3 | 3.71 ± 0.24 a | 4.75 ± 0.48 a | 3.68 ± 0.23 a | 16.38 a | 1.28 b | 1.00 a | 4.01 ± 0.24 a | 84.39 a | 34.36 | 78 c | 0.55 b ± 0.001 | 0.17 ± 0.001 |
| GA3 | 3.60 ± 0.24 a | 4.51 ± 0.33 a | 3.55 ± 0.17 b | 15.65 a | 1.25 a | 1.01 a | 3.86 ± 0.23 a | 85.57 a | 30.65 | 97 a | 0.70 a ± 0.001 | 0.36 ± 0.001 |
| Pearson Correlation for Morphometeric Traits | |||||
|---|---|---|---|---|---|
| Stem Height | Stem Diameter | Leaf Number | Leaf Surface Area | Root Length | |
| CN | 1 | 1 | 1 | 1 | 1 |
| Cd | 0.364 | 0.593 * | 0.014 | 0.447 | −0.289 |
| Cd+GA3 | −0.050 | 0.875 | 0.582 * | −0.061 | 0.473 |
| Pearson Correlation for Agronomic Traits | |||||
| Seed Number | Seed Weight | Seed Weight/Pod | Seed Surface Area | ||
| CN | 1 | 1 | 1 | 1 | |
| Cd | 0.127 | 0.075 | 0.295 | −0.156 | |
| Cd+GA3 | 0.088 | −0.413 | −0.400 | −0.032 | |
Publisher’s Note: MDPI stays neutral with regard to jurisdictional claims in published maps and institutional affiliations. |
© 2021 by the authors. Licensee MDPI, Basel, Switzerland. This article is an open access article distributed under the terms and conditions of the Creative Commons Attribution (CC BY) license (https://creativecommons.org/licenses/by/4.0/).
Share and Cite
Hakla, H.R.; Sharma, S.; Urfan, M.; Yadav, N.S.; Rajput, P.; Kotwal, D.; Abdel Latef, A.A.H.; Pal, S. Gibberellins Target Shoot-Root Growth, Morpho-Physiological and Molecular Pathways to Induce Cadmium Tolerance in Vigna radiata L. Agronomy 2021, 11, 896. https://doi.org/10.3390/agronomy11050896
Hakla HR, Sharma S, Urfan M, Yadav NS, Rajput P, Kotwal D, Abdel Latef AAH, Pal S. Gibberellins Target Shoot-Root Growth, Morpho-Physiological and Molecular Pathways to Induce Cadmium Tolerance in Vigna radiata L. Agronomy. 2021; 11(5):896. https://doi.org/10.3390/agronomy11050896
Chicago/Turabian StyleHakla, Haroon Rashid, Shubham Sharma, Mohammad Urfan, Narendra Singh Yadav, Prakriti Rajput, Dinesh Kotwal, Arafat Abdel Hamed Abdel Latef, and Sikander Pal. 2021. "Gibberellins Target Shoot-Root Growth, Morpho-Physiological and Molecular Pathways to Induce Cadmium Tolerance in Vigna radiata L." Agronomy 11, no. 5: 896. https://doi.org/10.3390/agronomy11050896
APA StyleHakla, H. R., Sharma, S., Urfan, M., Yadav, N. S., Rajput, P., Kotwal, D., Abdel Latef, A. A. H., & Pal, S. (2021). Gibberellins Target Shoot-Root Growth, Morpho-Physiological and Molecular Pathways to Induce Cadmium Tolerance in Vigna radiata L. Agronomy, 11(5), 896. https://doi.org/10.3390/agronomy11050896

