Dissection of the Contributing Factors to the Variable Response of Crop Yield to Surface Applied Lime in Australia
Abstract
1. Introduction
2. Materials and Methods
2.1. Overall Approach
2.2. Historical Trials
2.3. Estimation of Trial Site Yield Potential
2.4. Analysis of Yield Response
2.5. Estimating the Effect of Soil Acidity and Amelioration with APSIM
2.6. Estimating the Effect of Season on Yield Increase from Amelioration Using APSIM
3. Results
3.1. Yield and Yield Increase from Surface Applied Lime
3.2. Using Relative Yield and Responsiveness Matrix
3.3. Effect of Lime Rate
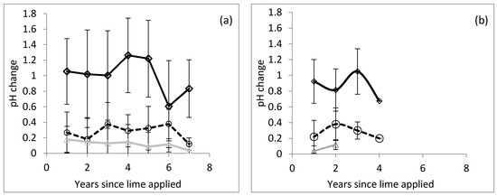
3.4. Effect of Time Since Lime Application
3.5. Effect of Soil Type and Soil pH
3.6. Seasonal Response to Lime Application
3.7. Amelioration
4. Conclusions
Author Contributions
Funding
Institutional Review Board Statement
Informed Consent Statement
Data Availability Statement
Acknowledgments
Conflicts of Interest
References
- Helyar, K.; Porter, W. Soil acidification, its measurement and the processes involved. In Soil Acidity and Plant Growth; Robson, A., Ed.; Academic Press Australia: Marrickville, NSW, Australia, 1989; pp. 61–101. [Google Scholar] [CrossRef]
- Van Breemen, N.; Mulder, J.; Driscoll, C. Acidification and alkalinization of soils. Plant. Soil 1983, 75, 283–308. [Google Scholar] [CrossRef]
- Gazey, C.; Davies, S. Soil acidity—A guide for farmers and consultant. In Department of Food and Agriculture Bulletin 4784; Department of Agriculture and Food: Perth, Australia, 2009. Available online: https://researchlibrary.agric.wa.gov.au/cgi/viewcontent.cgi?article=1031&context=bulletins (accessed on 4 April 2018).
- Gazey, C.; Andrew, J.; Griffin, E. ‘Soil Acidity’. In Report Card on Sustainable Natural Resource Use in Agriculture; Department of Agriculture and Food: Perth, Australia, 2013. Available online: https://www.agric.wa.gov.au/report-card-conditions-and-trends/report-card-sustainable-natural-resource-use-agriculture-western (accessed on 1 April 2018).
- NLWRA. Australian Agriculture Assessment 2001; National Land and Water Resources Audit: Canberra, Australia, 2001; Volume 1, pp. 125–129.
- Slattery, W.J.; Coventry, D.R. Response of wheat, triticale, barley and canola to lime of four soils types in north-eastern Victoria. Aust. J. Exp. Agric. 1993, 33, 609–618. [Google Scholar] [CrossRef]
- Petersen, E.; Gazey, C.; Lemon, J. The Benefits of Managing Soil Acidity; Misc report to GRDC; GRDC: Perth, Australia, 2018; p. 21. [Google Scholar]
- NLWRA. Australians and Natural Resource Management 2002; National Land and Water Resources Audit: Canberra, Australia, 2002.
- Robinson, J.B.; Helyar, K.R.; Hochman, Z. A Model for Understanding the Importance of Various Chemical, Physical and Biological Processes in the Development of Soil Profile Acidity. In Plant-Soil Interactions at Low pH: Principles and Management. Developments in Plant and Soil Sciences; Date, R.A., Grundon, N.J., Rayment, G.E., Probert, M.E., Eds.; Springer: Dordrecht, The Netherlands, 1995; Volume 64. [Google Scholar] [CrossRef]
- Kennedy, I. Acid Soil and Acid Rain. In Research Studies in Botany and Related Applied Fields, 2nd ed.; Nutman, P., Ed.; Research Studies Press Ltd.: Somerset, UK, 1992; Volume 10. [Google Scholar]
- Edmeades, D.C.; Ridley, A.M. Using Lime to Ameliorate Topsoil and Subsoil Acidity. In Handbook of Soil Acidity; Rengel, Z., Ed.; Marcel Dekker: New York, NY, USA, 2003; pp. 297–336. [Google Scholar] [CrossRef]
- Bolan, N.S.; Adriano, D.C.; Curtin, D. Soil acidification and liming interactions with nutrient and heavy metal transformation and bioavailability. Adv. Agron. 2003, 78, 215–272. [Google Scholar] [CrossRef]
- Gazey, C.; Gartner, D.; Anderson, G. Demonstration Sites Results for 2000 and 2001 In Western Australia Soil Acidity Research and Development Updates 2002; Department of Agriculture and Food: Perth, Australia, 2002.
- Davies, S.; Gazey, C.; Bowden, B.; van Gool, D.; Gartner, D.; Liaghati, T.; Gilkes, B. Acidification of Western Australian soils and their management. In Proceedings of the 13th Australian Agronomy Conference, Perth, Australia, 10–14 September 2006; Turner, N., Acuna, T., Eds.; Available online: http://www.regional.org.au/au/asa/2006/concurrent/soil/4555_daviess.htm#TopOfPage (accessed on 4 April 2018).
- Andrew, J.; Gazey, C. A Preliminary Examination of the Spatial Distribution of Acidic Soil and Required Rates of Ameliorant in the Avon River Basin, Western Australia. In Proceedings of the 19th World Congress of Soil Science: Soil Solutions for a Changing World, Brisbane, Australia, 1–6 August 2010; Gilkes, R., Ed.; Australian Soil Science Society: Brisbane, QLD, Australia, 2010. [Google Scholar]
- Fisher, J.; Gazey, C.; Andrew, J.; Carr, S. Knowledge is power in soil acidity management. In Proceedings of the 16th Australian Agronomy Conference 2012, Armidale, NSW, Australia, 14–18 October 2012; Yunusa, I., Ed.; Available online: http://www.regional.org.au/au/asa/2012/nutrition/8154_fisherjs.htm#TopOfPage (accessed on 4 April 2018).
- Fisher, J.; Gazey, C.; Andrew, J.; Carr, S. Two levels of information are required to assist extension of liming in Western Australia. In Proceedings of the 15th Australian Agronomy Conference, Lincoln, New Zealand, 15–18 November 2010; Dove, H., Culvenor, R., Eds.; Available online: http://www.regional.org.au/au/asa/2010/farming-systems/participatory-research-extension/7121_fisherjs.htm#TopOfPage (accessed on 4 April 2018).
- Carr, S.J.; Ritchie, G.S.P.; Porter, W.M. A soil test for Aluminium toxicity in acidic subsoils of yellow earth in Western Australia. Aust. J. Agric. Res. 1991, 42, 875–892. [Google Scholar] [CrossRef]
- Conyers, M.K.; Poile, G.J.; Cullis, B.R. Lime responses by Barley as related to available aluminium and manganese. Aust. J. Agric. Res. 1991, 42, 379–390. [Google Scholar] [CrossRef]
- Conyers, M.K.; Mullen, C.L.; Scott, B.J.; Poile, G.J.; Braysher, B.D. Long-term benefits of limestone applications to soil properties and to cereal crop yields in southern and central New South Wales. Aust. J. Exp. Agric. 2003, 43, 71–78. [Google Scholar] [CrossRef]
- Dolling, P.J.; Porter, W.M.; Robson, A.D. Effect of soil acidity on the barley production in the south-west of Western Australia 2. Cereal genotypes and their response to lime. Aust. J. Exp. Agric. 1991, 31, 811–818. [Google Scholar] [CrossRef]
- Edmeades, D.C.; Blamey, F.P.C.; Farina, M.P.W. Techniques for assessing plant response on acid soils. In Plant-Soil Interactions at Low pH: Principles and Management; Date, R.A., Grundon, N.J., Rayment, G.E., Probert, M.E., Eds.; Kluwer Academic Publications: Dordrecht, The Netherlands, 1995; pp. 221–233. [Google Scholar] [CrossRef]
- Farhoodi, A.; Coventry, D.R. Field crop responses to lime in the mid-north region of South Australia. Field Crops Res. 2008, 108, 45–53. [Google Scholar] [CrossRef]
- Scott, B.J.; Fisher, J.A.; Cullis, B.R. Aluminium tolerance and lime increase wheat yield on the acidic soils of central and southern New South Wales. Aust. J. Exp. Agric. 2001, 41, 523–532. [Google Scholar] [CrossRef]
- Slattery, B.; Hollier, C. The Impact of Acid Soils in Victoria, Prepared for Department of Natural Resources and Environment, Goulburn Broken Catchment Management Authority and North East Catchment Management Authority. 2002. Available online: http://vro.agriculture.vic.gov.au/dpi/vro/vrosite.nsf/0d08cd6930912d1e4a2567d2002579cb/2b4e9f0f68863059ca2574c8002b3e83/$FILE/Acid%20soil%20exec%20sum%20June.pdf (accessed on 4 April 2018).
- Coventry, D.R. Acidification problems of duplex soils used for crop pasture rotations. Aust. J. Exp. Agric. 1992, 32, 901–914. [Google Scholar] [CrossRef]
- Moody, P.W.; Aitken, R.L.; Dickson, T. Field amelioration of acidic soils in south-east Queensland. III. Relationships of maize yield response to lime and unamended soil properties. Aust. J. Agric. Res. 1998, 49, 649–656. [Google Scholar] [CrossRef]
- Fisher, J.; Gazey, C.; Davies, S. Towards an understanding of variability in yield response to liming. In Proceedings of the 13th Australian Agronomy Conference. Perth, Australia, 10–14 September 2006; Turner, N., Acuna, T., Eds.; Available online: http://www.regional.org.au/au/asa/2006/concurrent/soil/4558_fisherj.htm#TopOfPage (accessed on 4 April 2018).
- Penny, S.; Gazey, C. Western Australia Soil Acidity—Demonstration Site Results 1996–2001. Misc Pub 24/2002; Department of Agriculture, State of Western Australia: South Perth, Western Australia, 2002.
- Government of South Australia. Soil Groups and Subgroup—Soils and Land Information Sheet. Government of South Australia, Department of Environment, Water and Natural Resources. 2012. Available online: http://www.environment.sa.gov.au/files/sharedassets/public/science/soil_and_land/kb-fact-soilgroups-subgroups.pdf (accessed on 16 May 2016).
- Rayment, G.; Lyons, D. Soil Chemical Methods: Australasia; CSIRO Publishing: Melbourne, Australia, 2011. [Google Scholar]
- Bromfield, S. Simple tests for the assessment of aluminium and manganese levels in acid soils. Aust. J. Exp. Agric. 1987, 27, 399–404. [Google Scholar] [CrossRef]
- Evans, C.N.; Scott, B.J.; Fisher, R.P.; Poile, G.J.; Conyers, M.K. Soil acidification and liming in the low rainfall Wheatbelt of south-western NSW. In Proceedings of the 10th Australian Agronomy Conference, Tasmania, Australia, 29 January–1 February 2001. [Google Scholar]
- Mead, A.; Dowling, P.; Chan, K.Y.; Hocking, P.; Scott, B. Lime response of winter crops on a duplex soil at Oolong in SE NSW. Solutions for a better environment. In Proceedings of the 11th Australian Agronomy Conference, Geelong, VIC, Australia, 2–6 February 2003; Available online: http://agronomyaustraliaproceedings.org/images/sampledata/2003/c/17/mead.pdf (accessed on 4 April 2018).
- Coventry, D.R.; Walker, B.R.; Morrison, G.R.; Hyland, M.T.; Averey, J.C.; Maden, J.J.L.; Bartram, D.C. Yield responses to lime of wheat and barley on acid soils in north-eastern Victoria. Aust. J. Exp. Agric. 1989, 29, 209–214. [Google Scholar] [CrossRef]
- Coventry, D.R.; Reeves, T.G.; Brooke, H.D.; Ellington, A.; Slattery, W.J. Increasing wheat yields in north-eastern Victoria by liming and deep ripping. Aust. J. Exp. Agric. 1987, 27, 679–685. [Google Scholar] [CrossRef]
- Coventry, D.R.; Slattery, W.J.; Burnett, V.F.; Ganning, G.W. Longevity of wheat yield response to lime in south-eastern Australia. Aust. J. Exp. Agric. 1997, 37, 571–575. [Google Scholar] [CrossRef]
- Coventry, D.R.; Hirth, J.R.; Reeves, T.G. Interactions of tillage and lime in wheat subterranean clover rotation on an acid sandy clay loam in south-eastern Australia. Soil Tillage Res. 1992, 25, 53–65. [Google Scholar] [CrossRef]
- Brooke, H.D.; Coventry, D.R.; Reeves, T.G.; Jarvis, D.K. Liming and deep ripping responses for a range of field crops. Plant. Soil 1989, 115, 1–6. [Google Scholar] [CrossRef]
- Isbell, R.F. The Australian Soil Classification; CSIRO Publishing: Collingwood, VIC, Australia, 1996. [Google Scholar] [CrossRef]
- Northcote, K.H. Factual Key for the Recognition of Australian Soils, 3rd ed.; Rellim Technical Publications: Glenside, Australia, 1971; Available online: http://hdl.handle.net/102.100.100/316622?index=1 (accessed on 4 April 2018).
- Holzworth, D.P.; Huth, N.I.; Devoil, P.G.; Zurcher, E.J.; Herrmann, N.I.; McLean, G.; Chenu, K.; van Oosterom, E.J.; Snow, V.; Murphy, C.; et al. APSIM—Evolution towards a new generation of agricultural systems simulation. Environ. Model. Softw. 2014, 62, 327–350. [Google Scholar] [CrossRef]
- French, R.J.; Schultz, J.E. Water use efficiency of wheat in a Mediterranean type environment. I. The relation between yield, water use and climate. Aust. J. Agric. Res. 1984, 35, 743–764. [Google Scholar] [CrossRef]
- Oliver, Y.M.; Robertson, M.J.; Stone, P.J.; Whitbread, A. Improving estimates of water-limited yield of wheat by accounting for soil type and within-season rainfall. Crop. Past. Sci. 2009, 60, 1137–1146. [Google Scholar] [CrossRef]
- Jeffrey, S.J.; Carter, J.O.; Moodie, K.B.; Beswick, A.R. Using spatial interpolation to construct a comprehensive archive of Australian climate data. Environ. Modell. Softw. 2001, 16, 309–330. [Google Scholar] [CrossRef]
- Dalgliesh, N.; Cocks, B.; Horan, H. APSoil—providing soils information for consultants and farmers. In Proceedings of the 16th Australian Agronomy Conference 2012, Armidale, NSW, Australia, 14–18 October 2012; Yunusa, I., Ed.; Australian Society of Agronomy: Armidale, NSW, Australia, 2012. [Google Scholar]
- Hochman, Z.; Gobbett, D.; Horan, H.; Navarro Garcia, J. Data rich yield gap analysis of wheat in Australia. Field Crops Res. 2016, 197, 97–106. [Google Scholar] [CrossRef]
- Van Ittersum, M.K.; Cassman, K.G.; Grassini, P.; Wolf, J.; Tittonell, P.; Hochman, Z. Yield gap analysis with local to global relevance—A review. Field Crops Res. 2013, 143, 4–17. [Google Scholar] [CrossRef]
- Farre, I.; Davies, S.; van Gool, D. Removal of a subsoil constraint—When does it pay? Presented at Food Security from Sustainable Agriculture. In Proceedings of the 15th Agronomy Conference, Lincoln, New Zealand, 15–18 November 2010; Available online: http://agronomyaustraliaproceedings.org/images/sampledata/2010/crop-production/subsoil/7097_farrei.pdf (accessed on 4 April 2018).
- Wong, M.T.F.; Asseng, S. Yield and environmental benefits of ameliorating subsoil constraints under variable rainfall in a Mediterranean environment. Plant. Soil 2007, 297, 29–42. [Google Scholar] [CrossRef]
- Scanlan, C.A.; Brennan, R.F.; D’Antuono, M.F.; Sarre, G. The interaction between soil pH and phosphorus for wheat yield and the impact of lime-induced changes to soil aluminium and potassium. Soil Res. 2017, 55, 341–353. [Google Scholar] [CrossRef]
- Azam, G.; Gazey, C. Slow movement of alkali from surface-applied limed warrants the introduction of strategic tillage for rapid amelioration of subsurface acidity in South-West Australia. Soil Res. 2021, 59, 97–106. [Google Scholar] [CrossRef]





| State | Crop | Number of Cases | Average Yield | Average pH Unlimed (0–0.1 m) | Average Yield Increase (%) | Maximum Yield Increase (%) | Increase in Relative Yield (%) | Reference |
|---|---|---|---|---|---|---|---|---|
| WA | Wheat | 85 | 2.33 | 4.86 | 12% | 56% | 8% | |
| Barley | 16 | 1.86 | 4.72 | 37% | 185% | 13% | ||
| Canola | 19 | 1.51 | 4.81 | 19% | 126% | 7% | ||
| Lupin | 56 | 1.51 | 4.91 | 11% | 51% | 4% | ||
| NSW | Wheat | 5 | 2.75 | 4.29 | 36% | 144% | 13% | [20,33,34] |
| Barley | 3 | 4.22 | 4.32 | 43% | 82% | 25% | [20] | |
| Canola | 2 | 2.17 | 4.29 | 12% | 88% | 6% | [33,34] | |
| VIC | Wheat | 62 | 2.89 | 4.8 | 31% | 180% | 13% | [26,35,36,37,38,39] |
| Barley | 7 | 3.16 | 4.53 | 27% | 80% | 14% | [35] | |
| Field pea | 1 | 0.95 | 4.4 | 59% | 59% | 10% | [39] | |
| Lupin | 1 | 1.77 | 4.4 | 12% | 5% | [39] |
| State | MYSoil Name | Australia Classification | PAWC to Depth | APSOIL No |
|---|---|---|---|---|
| WA | sand | Bleached Orthic Tenosol | 79 mm to 1.8 m | 422 |
| loamy sand | Kandosol | 109 mm to 1.8 m | 400 | |
| deep sandy duplex | Chromosol | Sand = 28 mm to 0.4 m zLoam = 46 mm 0.4 m to 1.8 m | 508 | |
| NSW | loamy sand | Kandosol | 129 mm to 1.8 m | 1035 |
| loamy sand | Sodsol | 113 m to 1.5 m | 1037 | |
| VIC | sandy Clay Loam | 171 mm to 1.6 m | 525 | |
| loam | 121 mm to 1.6 m | 499 |
| Yield Response | Region | Number of Cases | YI (%) | RYI (%) | L Max (t/ha) | Years | Season | Soil Amelioration | Interpretation |
|---|---|---|---|---|---|---|---|---|---|
| Low RY < 0.5 | |||||||||
| Unresponsive | WA | 22 | 5 | 1 | 1.23 | 4.9 | 6 | Most ameliorated 0–0.1 m layer | Severe constraint—not enough lime or multiple constraints. |
| NSW/VIC | 6 | 2 | 1 | 1.92 | 2.2 | 0 | |||
| Responsive | WA | 19 | 49 | 16 | 2.08 | 4.8 | 4 | Majority had topsoil ameliorated but was still acidic at depth | Severe constraint some amelioration by lime. |
| NSW/VIC | 14 | 52 | 13 | 2.68 | 2.4 | 4 | |||
| Medium RY 0.51–0.74 | |||||||||
| Unresponsive | WA | 41 | 6 | 1 | 0.62 | 3.4 | 11 | Many had topsoil or subsoil ameliorated | Not enough lime, or acidity was not the major constraints. |
| NSW/VIC | 11 | 4 | 3 | 1.64 | 1.4 | 3 | |||
| Responsive | WA | 31 | 24 | 13 | 2.6 | 3.8 | 4 | Majority had the topsoil ameliorated but still had an acid subsoil | Acid constraint mostly removed—higher rates of lime at these sites. |
| NSW/VIC | 25 | 43 | 17 | 2.44 | 3.0 | 5 | |||
| High RY > 0.75 | |||||||||
| Unresponsive | WA | 39 | 4 | 1 | 0.79 | 2.9 | 14 | Many had topsoil or deeper ameliorated | Acidity not constraining yield, or tolerant crops. |
| NSW/VIC | 9 | 2 | 2 | 1.11 | 1.4 | 2 | |||
| Responsive | WA | 24 | 16 | 16 | 2.46 | 8.1 | 5 | Many had ameliorated both topsoil and subsoil | Mild acid constraint—mostly removed, with longest average time since lime |
| NSW/VIC | 24 | 36 | 21 | 2.27 | 3.8 | 3 | |||
| Local Soil Type | Number of Cases | Number Responsive | Average of GSR | Yield Unlimed | RY | %YI | %RYI |
|---|---|---|---|---|---|---|---|
| WA | |||||||
| Sandy earth | 58 | 24 | 255 | 1.87 | 0.72 | 13 | 7 |
| Coloured sand | 47 | 31 | 259 | 1.83 | 0.71 | 17 | 8 |
| Sandy duplex | 32 | 10 | 275 | 1.99 | 0.76 | 9 | 6 |
| Gravel | 26 | 10 | 329 | 1.79 | 0.64 | 22 | 8 |
| Pale sand | 6 | 1 | 454 | 2.59 | 0.77 | 3 | 2 |
| Heavy soil (clay) | 7 | 4 | 285 | 1.40 | 0.62 | 12 | 6 |
| NSW | |||||||
| Red kandosol | 8 | 4 | 284 | 3.03 | 0.64 | 38 | 17 |
| Sodsol | 5 | 3 | 445 | 2.00 | 0.39 | 21 | 4 |
| VIC | |||||||
| Sandy clay loam | 49 | 42 | 354 | 2.93 | 0.54 | 40 | 17 |
| Sandy clay loam, with a dense hardpan | 7 | 4 | 333 | 3.01 | 0.56 | 26 | 12 |
| Clay loam | 4 | 2 | 338 | 1.86 | 0.41 | 15 | 5 |
| Loam | 16 | 8 | 317 | 2.97 | 0.72 | 9 | 5 |
| Unlimed pH Profile | Profile Change after Liming | Number | Yield Unlimed | %YI | %RYI |
|---|---|---|---|---|---|
| WA | |||||
| Topsoil acidic | Topsoil ameliorated | 21 | 1.65 | 26% | 8% |
| Topsoil + subsoil acidic | Topsoil ameliorated | 53 | 1.87 | 17% | 9% |
| Top and subsoil ameliorated | 30 | 1.97 | 15% | 9% | |
| Subsoil acidic | Subsoil ameliorated | 20 | 1.69 | 9% | 2% |
| No change | 5 | 2.64 | 10% | 8% | |
| Non-acid | No change | 11 | 1.77 | 3% | 2% |
| Not measured | - | 36 | 1.95 | 11% | 5% |
| Vic and NSW | |||||
| Topsoil acid | Not measured | 24 | 2.95 | 13% | 8% |
| topsoil + subsoil acid | Topsoil ameliorated | 29 | 2.31 | 40% | 14% |
| ameliorated to 0.2 m | 7 | 2.23 | 60% | 25% | |
| no change | 4 | 2.13 | 76% | 34% | |
| Not measured | 15 | 2.57 | 25% | 11% | |
| Non-acid top, rest unknown | Not measured | 10 | 2.52 | 20% | 10% |
Publisher’s Note: MDPI stays neutral with regard to jurisdictional claims in published maps and institutional affiliations. |
© 2021 by the authors. Licensee MDPI, Basel, Switzerland. This article is an open access article distributed under the terms and conditions of the Creative Commons Attribution (CC BY) license (https://creativecommons.org/licenses/by/4.0/).
Share and Cite
Oliver, Y.M.; Gazey, C.; Fisher, J.; Robertson, M. Dissection of the Contributing Factors to the Variable Response of Crop Yield to Surface Applied Lime in Australia. Agronomy 2021, 11, 829. https://doi.org/10.3390/agronomy11050829
Oliver YM, Gazey C, Fisher J, Robertson M. Dissection of the Contributing Factors to the Variable Response of Crop Yield to Surface Applied Lime in Australia. Agronomy. 2021; 11(5):829. https://doi.org/10.3390/agronomy11050829
Chicago/Turabian StyleOliver, Yvette M., Chris Gazey, James Fisher, and Michael Robertson. 2021. "Dissection of the Contributing Factors to the Variable Response of Crop Yield to Surface Applied Lime in Australia" Agronomy 11, no. 5: 829. https://doi.org/10.3390/agronomy11050829
APA StyleOliver, Y. M., Gazey, C., Fisher, J., & Robertson, M. (2021). Dissection of the Contributing Factors to the Variable Response of Crop Yield to Surface Applied Lime in Australia. Agronomy, 11(5), 829. https://doi.org/10.3390/agronomy11050829

