The Soil Organic Matter in Connection with Soil Properties and Soil Inputs
Abstract
1. Introduction
2. Materials and Methods
3. Results
3.1. Basic Physio-Chemical Parameters of Experimental Fields (Localities) and Nutrient Inputs to the Soil
3.2. Basic Relationship between the Soil Parameters (Simple Linear Regression)
3.3. The Multidimensional Linear Regression Models
3.3.1. Model 1: HWEC OM Inputs 2018
3.3.2. Model 2: Difference of HWEC Content (2008–2018)
3.3.3. Model 3: SOC Difference between the Years 2018 and 2008
3.3.4. Model 1–3: Summary
4. Discussion
5. Conclusions
- -
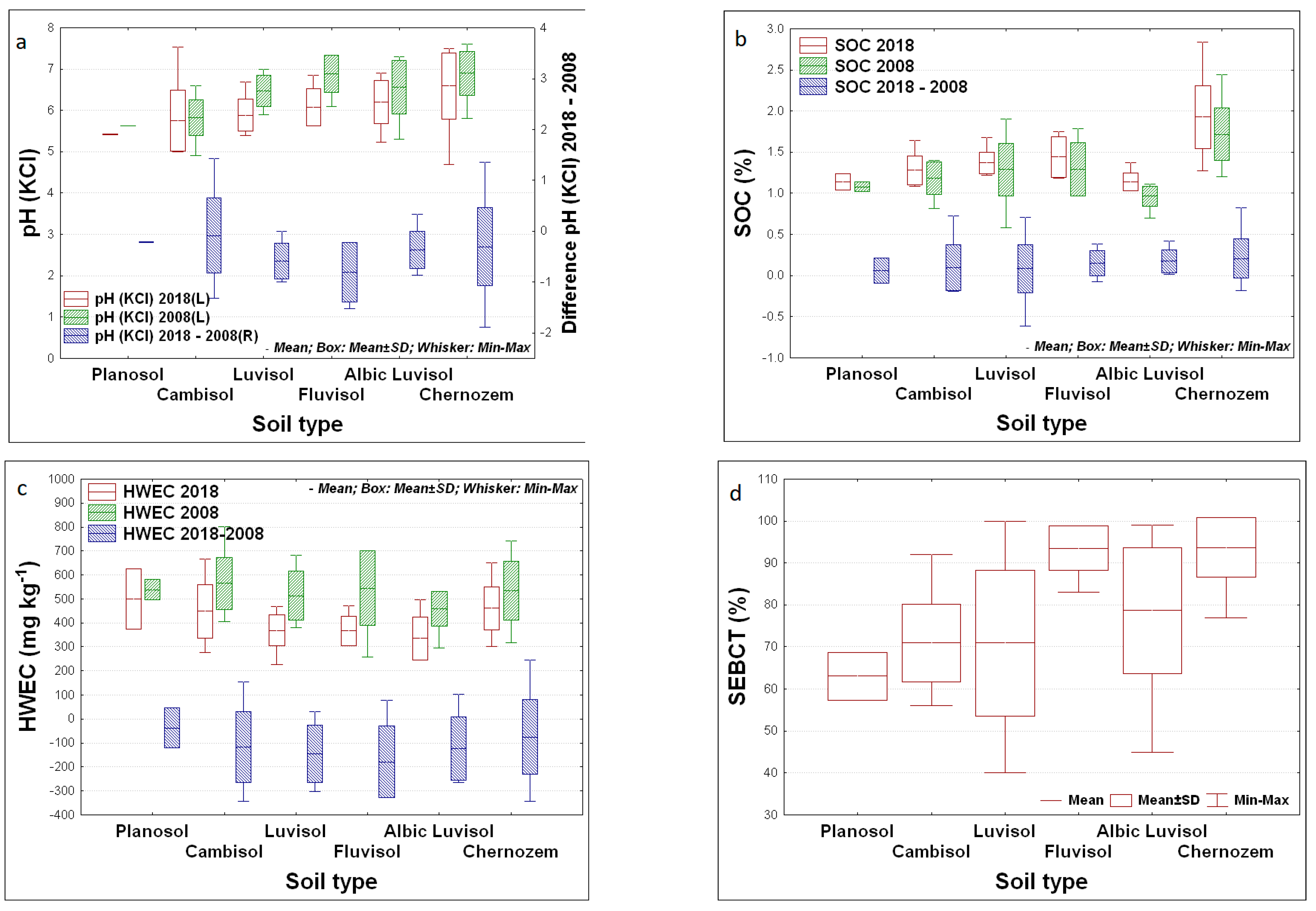
- At all monitored experimental sites in the period 2008–2018, both average SOC content and the HWEC content increased. Similarly to our results, other authors [96,97] quoted that this depends on agricultural management, fertilising, tillage system, crop rotation system and plant residues input, etc. The SOC increase may be achieved also by the combination of organic and mineral fertilisers application [11,77]. Our research also showed that organic fertilising and texture (increasing of ST01 and ST2 particles) lead to SOC and HWEC increase. On the other hand, SOC stocks decreased with soil depth, pH decline and increase of NPK. The decrease in pH and saturation of the sorption complex (SEBCT) was due to the application of digestate. This is true across soil-climatic conditions—intensification of agricultural production increases biological processes in the soil, mainly due to fertilisation with mineral fertilisers. On the other hand, there is a decrease in pH (see Figure 1) and saturation of sorption complex (SEBCT), and the application of digestate also contributes to this (Figure 7 and Figure 8).
- -
- HWEC is significantly affected by phosphorus content (−30%), digestate application (+29%), SEBCT (21%) and the dose of total applied N to the soil (−20%). In the middle term, the HWEC content in the soil is affected by the application of digestate (15%), and the saturation of adsorption capacity (37%). The application of mineral potassium (−7%), soil pH (−14%) and the overall condition of the soil (−27%) have a negative effect (Section 3.3.); SOC changes occur over a longer time horizon (more than 5 to 10 years). It is clear from the HWEC production models that digestate is gaining ground in the short term (29%), its influence is weakening in the medium term (15%) and is no longer enforced in the model in the ten-year cycle. In the short term, the effect of phosphorus (P2O5) fertilisation on HWEC (−30%) and nitrogen (N) (−20%), which support biological activity in the soil, is evident. The effect of mineral fertilisation is also negatively reflected in the change of SOC, the aggregate indicator of energy of mineral fertilisation (NPK) together with plant residues.
- -
- SOC (humus, the stable component of SOC) is affected by the HWEC content (18%). Organic matter from HWEC ( the labile form of C) was transformed into stable SOC. It is also affected by soil texture 0.01–0.001 mm (15%), and the input of organic matter and nutrients from animal production (10%). Mineral fertilisation (−15%), soil depth in the subsoil (−11%) and soil texture 0.25–2 mm (−20%) have a negative effect (Section 3.3.).
- -
- By application of farmyard manure, we maintain or increase the content of SOC and HWEC in the soil. Digestate can positively influence the SOC content, but only if a sufficient amount of organic matter is co-applied, for example in the form of manure. If the organic matter in the co-applied organic manures is applied in an insufficient amount, the humus content in the soil decreases significantly. This was also confirmed by the regression model Humus Difference between the years 2018 and 2008 when the digestate was removed from the model in the penultimate step as an insignificant variable.
- -
- The results confirmed the importance of monitoring both the stable (SOC) and labile (HWCE) components of SOM in relationship to the physicochemical and biological properties of the soil, but also in a relationship with the soil management systems. Regular fertilising with organic manure and fertilisers creates better environmental conditions for soil biota. SOM decomposition accelerates and as a result, low-quality soils have more undecomposed materials; consequently, HWEC and SOM content increases (statistically significant). Maintaining and improving soil physical, biochemical and biological properties (maintaining or increasing SOM content) is important for maintaining high productivity and food security.
- -
- Several authors reported a decrease in SOM content in the case of ploughing [98,99]. We concluded that soil tillage is not the only factor influencing the SOC stocks. Similarly, it was shown [100] that, without external organic matter input, usually SOC stocks declined and no good agricultural practices can be achieved. Therefore, it is recommended to combine occasional tillage and no-tillage systems in agricultural practice. Menšík et al. [11,77] confirmed that ploughing with a combination of farmyard manure can even increase the SOC stocks over a longer period. No statistically significant relationship between tillage and SOC stocks (difference of SOC) was determined in the studied fields with the stable farming systems (see Model 3).
Supplementary Materials
Author Contributions
Funding
Institutional Review Board Statement
Informed Consent Statement
Data Availability Statement
Acknowledgments
Conflicts of Interest
Abbrevations
| Variable | Abbreviation |
| Soil texture topsoil <0,001 | STS001 (%) |
| Soil texture topsoil <0,01;0,001] | ST01 (%) |
| Soil texture topsoil <0,05;0,01] | ST05 (%) |
| Soil texture topsoil <0,05;0,01] | ST05 (%) |
| Soil texture topsoil <0,25;0,05] | ST025 (%) |
| Soil texture topsoil <0,2;2] | ST2 (%) |
| Biological life in soil | BL (cat) |
| Organic matter total | OM (t/ha) |
| Overall expert assessment of soil condition | EASC (-) |
| Digestate organic matter | DigOM (t/ha) |
| Digestate and technological watter organic matter | DigTWOM(t/ha) |
| Energy of inputs | EI (MJ) |
| Depth of the topsoil | DtS (cm) |
| Depth of soil | Depth (cm) |
| Depth of the subsoil | DsS (cm) |
| Humus content | (%) |
| K2O inputs | K2O kg/ha |
| Coefficient of stoniness | StCoef |
| Coefficient of slope | SlCoef |
| Soil texture topsoil spread <0,001, power | STR 0,01^2 |
| Soil texture topsoil spread <0,01;0,001] power | STR UnS 0,01^2 |
| Soil texture topsoil <0,001, power | STS001 (%)^2 |
| Soil texture topsoil <0,001, power | STR 0,01^2 |
| Mineral N | N (kg/ha) |
| Altitude | A |
| Total N | N total (kg/ha) |
| Organic matter total | OMT (kg/ha) |
| Organic matter of green manure | OMGM (kg/ha) |
| Organic matter of byproduct | OMBP (kg/ha) |
| Organic matter of animal origin | FYM_OM (t/ha) |
| Organic matter of by-products and green manure | OMBPGM (kg/ha) |
| Soil organic carbon | SOC |
| Mineral P2O5 dosage | P2O5 (kg/ha) |
| pH (KCl) | pH |
| Number of Years before 2018, 2018 = 1 | NY |
| HWEC 2018–2008 | HWEC diff |
| Soil texture range in topsoil, <0,01 mm | STR 0,01 |
| Soil texture range in undersoil, <0,01 mm | STR UnS 0,01 |
| Soil adsorption complex characteristics (%)Topsoil 2008 | SACT 2008 |
| Soil adsorption complex characteristics (%) 2018 | SACT |
| Maximum adsorption capacity (mmol+/100g) topsoil 2008 | MAC 2008 |
| Technological and organic matter | OMTech |
| Maximum adsorption capacity (mmol+/100g) topsoil 2018 | MAC |
| Saturation of exchangeable bases content (mmol+/100g) Topsoil 2008 | SEBCT 2008 |
| Variation range of soil particles topsoil up to001mm | STVRS001 (%) |
| Variation range of soil texture undersoil <0,001, | STVRUS001 (%) |
| Saturation of exchangeable bases content (mmol+/100g) Topsoil 2018 | SEBCT |
| Texture of soil grain six ranges | Text6 |
References
- Bentsen, N.S.; Larsen, S.; Stupak, I. Sustainability governance of the Danish bioeconomy—The case of bioenergy and biomaterials from agriculture. Energy Sustain. Soc. 2019, 9, 40. [Google Scholar] [CrossRef]
- Skrypchuk, P.; Zhukovskyy, V.; Shpak, H.; Zhukovska, N.; Krupko, H. Applied Aspects of Humus Balance Modelling in the Rivne Region of Ukraine. J. Ecol. Eng. 2020, 21, 42–52. [Google Scholar] [CrossRef]
- Oldfield, E.E.; Bradford, M.A.; Wood, S.A. Global meta-analysis of the relationship between soil organic matter and crop yields. Soil 2019, 5, 15–32. [Google Scholar] [CrossRef]
- Šimon, T.; Madaras, M. Chemical and Spectroscopic Parameters Are Equally Sensitive in Describing Soil Organic Matter Changes after Decades of Different Fertilization. Agriculture 2020, 10, 422. [Google Scholar] [CrossRef]
- Maillard, É.; Angers, D.A. Animal manure application and soil organic carbon stocks: A meta-analysis. Glob. Chang. Biol. 2014, 20, 666–679. [Google Scholar] [CrossRef] [PubMed]
- Wang, P.; Wang, J.; Zhang, H.; Dong, Y.; Zhang, Y. The role of iron oxides in the preservation of soil organic matter under long-term fertilization. J. Soils Sediments 2019, 19, 588–598. [Google Scholar] [CrossRef]
- Zhang, X.; Fang, Q.; Zhang, T.; Ma, W.; Velthof, G.L.; Hou, Y.; Oenema, O.; Zhang, F. Benefits and trade-offs of replacing synthetic fertilizers by animal manures in crop production in China: A meta-analysis. Glob. Chang. Biol. 2020, 26, 888–900. [Google Scholar] [CrossRef] [PubMed]
- Moeskops, B.; Buchan, D.; Van Beneden, S.; Fievez, V.; Sleutel, S.; Gasper, M.S.; D’Hose, T.; De Neve, S. The impact of exogenous organic matter on SOM contents and microbial soil quality. Pedobiologia 2012, 55, 175–184. [Google Scholar] [CrossRef]
- Matějková, Š.; Kumhálová, J.; Lipavský, J. Evaluation of crop yield under different nitrogen doses of mineral fertilization. Plant Soil Environ. 2010, 56, 163–167. [Google Scholar] [CrossRef]
- Rao, C.S.; Indoria, A.K.; Sharma, K.L. Effective Management Practices for Improving Soil Organic Matter for Increasing Crop Productivity in Rainfed Agroecology of India. Curr. Sci. 2017, 112, 1497–1504. [Google Scholar] [CrossRef]
- Menšík, L.; Hlisnikovský, L.; Pospíšilová, L.; Kunzová, E. The effect of application of organic manures and mineral fertilizers on the state of soil organic matter and nutrients in the long-term field experiment. J. Soils Sediments 2018, 18, 2813–2822. [Google Scholar] [CrossRef]
- Shi, R.-Y.; Liu, Z.-D.; Li, Y.; Jiang, T.; Xu, M.; Li, J.-Y.; Xu, R.-K. Mechanisms for increasing soil resistance to acidification by long-term manure application. Soil Tillage Res. 2019, 185, 77–84. [Google Scholar] [CrossRef]
- Franzluebbers, A.J. Soil organic matter stratification ratio as an indicator of soil quality. Soil Tillage Res. 2002, 66, 95–106. [Google Scholar] [CrossRef]
- Stockmann, U.; Adams, M.A.; Crawford, J.W.; Field, D.J.; Henakaarchchi, N.; Jenkins, M.; Minasny, B.; McBratney, A.B.; de Courcelles, V.D.R.; Singh, K.; et al. The knowns, known unknowns and unknowns of sequestration of soil organic carbon. Agric. Ecosyst. Environ. 2013, 164, 80–99. [Google Scholar] [CrossRef]
- Zhao, S.; Li, K.; Zhou, W.; Qiu, S.; Huang, S.; He, P. Changes in soil microbial community, enzyme activities and organic matter fractions under long-term straw return in north-central China. Agric. Ecosyst. Environ. 2016, 216, 82–88. [Google Scholar] [CrossRef]
- Yang, F.; Tian, J.; Fang, H.; Gao, Y.; Xu, M.; Lou, Y.; Zhou, B.; Kuzyakov, Y. Functional Soil Organic Matter Fractions, Microbial Community, and Enzyme Activities in a Mollisol Under 35 Years Manure and Mineral Fertilization. J. Soil Sci. Plant Nutr. 2019, 19, 430–439. [Google Scholar] [CrossRef]
- Gong, W.; Yan, X.; Wang, J.; Hu, T.; Gong, Y. Long-term manure and fertilizer effects on soil organic matter fractions and microbes under a wheat–maize cropping system in northern China. Geoderma 2009, 149, 318–324. [Google Scholar] [CrossRef]
- Harden, J.W.; Hugelius, G.; Ahlström, A.; Blankinship, J.C.; Bond-Lamberty, B.; Lawrence, C.R.; Loisel, J.; Malhotra, A.; Jackson, R.B.; Ogle, S.; et al. Networking our science to characterize the state, vulnerabilities, and management opportunities of soil organic matter. Glob. Chang. Biol. 2017, 24, e705–e718. [Google Scholar] [CrossRef]
- Rochette, P.; Angers, D.A.; Flanagan, L.B. Maize Residue Decomposition Measurement Using Soil Surface Carbon Dioxide Fluxes and Natural Abundance of Carbon-13. Soil Sci. Soc. Am. J. 1999, 63, 1385–1396. [Google Scholar] [CrossRef]
- Lal, R. Soil Carbon Sequestration Impacts on Global Climate Change and Food Security. Science 2004, 304, 1623–1627. [Google Scholar] [CrossRef] [PubMed]
- LoLorenz, K.; Lal, R. Carbon Sequestration in Agricultural Ecosystems, 1st ed.; Springer: Cham, Switzerland, 2018; ISBN 978-3-319-92317-8. [Google Scholar]
- Reeves, D.W. The role of soil organic matter in maintaining soil quality in continuous cropping systems. Soil Tillage Res. 1997, 43, 131–167. [Google Scholar] [CrossRef]
- Schmidt, M.W.I.; Torn, M.S.; Abiven, S.; Dittmar, T.; Guggenberger, G.; Janssens, I.A.; Kleber, M.; Kögel-Knabner, I.; Lehmann, J.; Manning, D.A.C.; et al. Persistence of soil organic matter as an ecosystem property. Nature 2011, 478, 49–56. [Google Scholar] [CrossRef]
- Terry, R.L.; Ryan, J. Soil and Food Security. Better Crop. 2015, 99, 4–6. [Google Scholar]
- Stavi, I.; Bel, G.; Zaady, E. Soil functions and ecosystem services in conventional, conservation, and integrated agricultural systems. A review. Agron. Sustain. Dev. 2016, 36, 1–12. [Google Scholar] [CrossRef]
- Barłóg, P.; Hlisnikovský, L.; Kunzová, E. Effect of Digestate on Soil Organic Carbon and Plant-Available Nutrient Content Compared to Cattle Slurry and Mineral Fertilization. Agronomy 2020, 10, 379. [Google Scholar] [CrossRef]
- Baştabak, B.; Koçar, G. A review of the biogas digestate in agricultural framework. J. Mater. Cycles Waste Manag. 2020, 22, 1318–1327. [Google Scholar] [CrossRef]
- Scarlat, N.; Dallemand, J.-F.; Fahl, F. Biogas: Developments and perspectives in Europe. Renew. Energy 2018, 129, 457–472. [Google Scholar] [CrossRef]
- Nkoa, R. Agricultural benefits and environmental risks of soil fertilization with anaerobic digestates: A review. Agron. Sustain. Dev. 2014, 34, 473–492. [Google Scholar] [CrossRef]
- Simon, T.; Kunzová, E.; Friedlová, M. The effect of digestate, cattle slurry and mineral fertilization on the winter wheat yield and soil quality parameters. Plant Soil Environ. 2015, 61, 522–527. [Google Scholar] [CrossRef]
- Garg, R.N.; Pathak, H.; Das, D.K.; Tomar, R.K. Use of Flyash and Biogas Slurry for Improving Wheat Yield and Physical Properties of Soil. Environ. Monit. Assess. 2005, 107, 1–9. [Google Scholar] [CrossRef]
- Slepetiene, A.; Volungevicius, J.; Jurgutis, L.; Liaudanskiene, I.; Amaleviciute-Volunge, K.; Slepetys, J.; Ceseviciene, J. The potential of digestate as a biofertilizer in eroded soils of Lithuania. Waste Manag. 2020, 102, 441–451. [Google Scholar] [CrossRef] [PubMed]
- Wysocka-Czubaszek, A. Effect of digestate, liquid and solid manure application on chemical properties of soil. Polish J. Nat. Sci. 2019, 34, 337–354. [Google Scholar]
- García-Sánchez, M.; Siles, J.A.; Cajthaml, T.; García-Romera, I.; Tlustoš, P.; Száková, J. Effect of digestate and fly ash applications on soil functional properties and microbial communities. Eur. J. Soil Biol. 2015, 71, 1–12. [Google Scholar] [CrossRef]
- Parton, W.J.; Schimel, D.S.; Cole, C.V.; Ojima, D.S. Analysis of Factors Controlling Soil Organic Matter Levels in Great Plains Grasslands. Soil Sci. Soc. Am. J. 1987, 51, 1173–1179. [Google Scholar] [CrossRef]
- Parton, W.J.; Stewart, J.W.B.; Cole, C.V. Dynamics of C, N, P and S in grassland soils: A model. Biogeochemistry 1988, 5, 109–131. [Google Scholar] [CrossRef]
- Jones, C.A.; Dyke, P.T.; Williams, J.R.; Kiniry, J.R.; Benson, V.W.; Griggs, R.H. EPIC: An operational model for evaluation of agricultural sustainability. Agric. Syst. 1991, 37, 341–350. [Google Scholar] [CrossRef]
- Balkovič, J.; Madaras, M.; Skalský, R.; Folberth, C.; Smatanová, M.; Schmid, E.; Van Der Velde, M.; Kraxner, F.; Obersteiner, M. Verifiable soil organic carbon modelling to facilitate regional reporting of cropland carbon change: A test case in the Czech Republic. J. Environ. Manag. 2020, 274, 111206. [Google Scholar] [CrossRef]
- Coleman, K.; Jenkinson, D.S. RothC-26.3—A Model for the turnover of carbon in soil. In Evaluation of Soil Organic Matter Models; Powlson, D.S., Smith, P., Smith, J.U., Eds.; NATO ASI Series (Series I: Global Environmental Change); Springer: Berlin/Heidelberg, Germany, 1996; pp. 237–246. [Google Scholar] [CrossRef]
- Hábová, M.; Pospíšilová, L.; Hlavinka, P.; Trnka, M.; Barančíková, G.; Tarasovičová, Z.; Takáč, J.; Koco, Š.; Menšík, L.; Nerušil, P. Carbon pool in soil under organic and conventional farming systems. Soil Water Res. 2019, 14, 145–152. [Google Scholar] [CrossRef]
- Li-Xia, Y.; Jian-Jun, P. Dynamics models of soil organic carbon. J. For. Res. 2003, 14, 323–330. [Google Scholar] [CrossRef]
- Xiong, X.; Grunwald, S.; Myers, D.B.; Kim, J.; Harris, W.G.; Comerford, N.B. Holistic environmental soil-landscape modeling of soil organic carbon. Environ. Model. Softw. 2014, 57, 202–215. [Google Scholar] [CrossRef]
- Escalona, Y.; Petrov, D.; Oostenbrink, C. Vienna soil organic matter modeler 2 (VSOMM2). J. Mol. Graph. Model. 2021, 103, 107817. [Google Scholar] [CrossRef] [PubMed]
- Ellili-Bargaoui, Y.; Walter, C.; Lemercier, B.; Michot, D. Assessment of six soil ecosystem services by coupling simulation modelling and field measurement of soil properties. Ecol. Indic. 2021, 121, 107211. [Google Scholar] [CrossRef]
- Meersmans, J.; De Ridder, F.; Canters, F.; De Baets, S.; Van Molle, M. A multiple regression approach to assess the spatial distribution of Soil Organic Carbon (SOC) at the regional scale (Flanders, Belgium). Geoderma 2008, 143, 1–13. [Google Scholar] [CrossRef]
- Liu, S.; An, N.; Yang, J.; Dong, S.; Wang, C.; Yin, Y. Prediction of soil organic matter variability associated with different land use types in mountainous landscape in southwestern Yunnan province, China. Catena 2015, 133, 137–144. [Google Scholar] [CrossRef]
- John, K.; Isong, I.A.; Kebonye, N.M.; Ayito, E.O.; Agyeman, P.C.; Afu, S.M. Using Machine Learning Algorithms to Estimate Soil Organic Carbon Variability with Environmental Variables and Soil Nutrient Indicators in an Alluvial Soil. Land 2020, 9, 487. [Google Scholar] [CrossRef]
- Lentzsch, P.; Wieland, R.; Wirth, S. Application of multiple regression and neural network approaches for landscape-scale assessment of soil microbial biomass. Soil Biol. Biochem. 2005, 37, 1577–1580. [Google Scholar] [CrossRef]
- Ebrahimi, M.; Sinegani, A.A.S.; Sarikhani, M.R.; Mohammadi, S.A. Comparison of artificial neural network and multivariate regression models for prediction of Azotobacteria population in soil under different land uses. Comput. Electron. Agric. 2017, 140, 409–421. [Google Scholar] [CrossRef]
- Forkuor, G.; Hounkpatin, O.K.L.; Welp, G.; Thiel, M. High Resolution Mapping of Soil Properties Using Remote Sensing Variables in South-Western Burkina Faso: A Comparison of Machine Learning and Multiple Linear Regression Models. PLoS ONE 2017, 12, e0170478. [Google Scholar] [CrossRef] [PubMed]
- Vohland, M.; Ludwig, M.; Thiele-Bruhn, S.; Ludwig, B. Quantification of Soil Properties with Hyperspectral Data: Selecting Spectral Variables with Different Methods to Improve Accuracies and Analyze Prediction Mechanisms. Remote Sens. 2017, 9, 1103. [Google Scholar] [CrossRef]
- Sims, J.R.; Haby, V.A. Simplified colorimetric determination of soil organic matter. Soil Sci. 1971, 112, 137–141. [Google Scholar] [CrossRef]
- Nelson, D.W.; Sommers, L.E. Total Carbon, Organic Carbon, and Organic Matter. In Methods of Soil Analysis Part 3—Chemical Methods; Sparks, D.L., Page, A.L., Helmke, P.A., Loeppert, R.H., Soltanpour, P.N., Tabatabai, M.A., Johnston, C.T., Summer, M.E., Eds.; Soil Science Society of America: Madison, WI, USA; American Society of Agronomy: Madison, WI, USA, 1996; pp. 961–1010. [Google Scholar]
- Körschens, M.; Schulz, E.; Behm, R. Heißwasserlöslicher C und N im boden als kriterium für das N-Nachlieferungsvermögen. Zentralblatt für Mikrobiologie 1990, 145, 305–311. [Google Scholar] [CrossRef]
- Heller, C.; Weiß, K. Approaching a Standardized Method for the Hot-Water Extraction of Peat Material to Determine Labile SOM in Organic Soils. Commun. Soil Sci. Plant Anal. 2015, 46, 1044–1060. [Google Scholar] [CrossRef]
- Kappen, H. Die Bodenazidität; Springer: Berlin, Germany, 1929; 363p. [Google Scholar]
- Zbíral, J.; Honsa, I.; Malý, S. Analýza půd III. Jednotné Pracovní Postupy (Soil Analysis III.); ÚKZÚZ (Central Institute for Supervising and Testing in Agriculture): Brno, Czech Republic, 1997. [Google Scholar]
- Lal, R.; Shukla, M.K. Principles of Soil Physics; Marcel Dekker, Inc.: New York, NY, USA, 2004; ISBN 0824753240. [Google Scholar]
- Klír, J.; Kunzová, E.; Čermák, P. Rámcová Metodika Výživy Rostlin a Hnojení (Framework Methodology Plant Nutrition and Fertilization); Crop Research Institute: Prague, Czech Republic, 2008; ISBN 978-80-87011-61-4. [Google Scholar]
- Voltr, V.; Hruška, M.; Havelka, F. Comparison of the energy and economic balance of crop production. CIGR J. 2020, 22, 138–150. [Google Scholar]
- Voltr, V.; Hruška, M.; Nobilis, L.; Fuksa, P.; Pokorný, J. Procedure of Economic, Energy and Environmental Evaluation of Crop Production in the Czech Republic. In Proceedings of the 28th European Biomass Conference and Exhibition, Virtual, 6–9 July 2020; pp. 55–61. [Google Scholar] [CrossRef]
- Meloun, M.; Militký, J. Statistical Data Analysis, A Practical Guide with 1250 Exercises and Answer Key on CD; Woodhead Publishing: New Delhi, India, 2011; ISBN 978-93-80308-11-1. [Google Scholar]
- Steenwerth, K.L.; Reynolds, M.P.; Solis, S.S.; Sischo, W.M.; Lubell, M.N.; Msangi, S.; Prabhu, R.; Springborn, M.; Wollenberg, E.K.; Jarvis, L.S.; et al. Climate-smart agriculture global research agenda: Scientific basis for action. Agric. food Secur. 2014, 3, 56. [Google Scholar] [CrossRef]
- IPCC. IPCC Climate Change 2014: Mitigation of Climate Change. In Contribution of Working Group III to the Fifth Assessment Report of the Intergovernmental Panel on Climate Change; Cambridge University Press: Cambridge, UK; New York, NY, USA, 2014. [Google Scholar]
- Srivastava, P.; Singh, R.; Tripathi, S.; Singh, H.; Raghubanshi, A.S. Soil carbon dynamics and climate change: Current agro-environmental perspectives and future dimensions. Energy Ecol. Environ. 2016, 1, 315–322. [Google Scholar] [CrossRef]
- Naikwade, P.V. Soil Organic Carbon Sequestration by Long-Term Application of Manures Prepared fromTrianthema portulacastrurm Linn. Commun. Soil Sci. Plant Anal. 2019, 50, 2579–2592. [Google Scholar] [CrossRef]
- Trnka, M.; Brázdil, R.; Dubrovský, M.; Semerádová, D.; Štěpánek, P.; Dobrovolný, P.; Možný, M.; Eitzinger, J.; Málek, J.; Formayer, H.; et al. A 200-year climate record in Central Europe: Implications for agriculture. Agron. Sustain. Dev. 2011, 31, 631–641. [Google Scholar] [CrossRef]
- Banwart, S.A.; Black, H.; Cai, Z.; Gicheru, P.T.; Joosten, H.; Victoria, R.L.; Milne, E.; Noellemeyer, E.; Pascual, U. The global challenge for soil carbon. In Soil Carbon: Science, Management and Policy for Multiple Benefits; CABI: Wallingford, UK, 2014; pp. 1–9. ISBN 978-1-78064-532-2. [Google Scholar]
- Lal, R. Soil organic matter content and crop yield. J. Soil Water Conserv. 2020, 75, 27A–32A. [Google Scholar] [CrossRef]
- Macholdt, J.; Piepho, H.-P.; Honermeier, B. Mineral NPK and manure fertilisation affecting the yield stability of winter wheat: Results from a long-term field experiment. Eur. J. Agron. 2019, 102, 14–22. [Google Scholar] [CrossRef]
- Meena, H.M.; Sharma, R.P. Long-Term Effect of Fertilizers and Amendments on Different Fractions of Organic Matter in an Acid Alfisol. Commun. Soil Sci. Plant Anal. 2016, 47, 1430–1440. [Google Scholar] [CrossRef]
- Maltas, A.; Kebli, H.; Oberholzer, H.R.; Weisskopf, P.; Sinaj, S. The effects of organic and mineral fertilizers on carbon sequestration, soil properties, and crop yields from a long-term field experiment under a Swiss conventional farming system. Land Degrad. Dev. 2018, 29, 926–938. [Google Scholar] [CrossRef]
- Körschens, M.; Müller, A. The Static Experiment Bad Lauchstädt, Germany. In Evaluation of Soil Organic Matter Models; Powlson, D.S., Smith, P., Smith, J.U., Eds.; NATO ASI Series (Series I: Global Environmental Change); Springer: Berlin/Heidelberg, Germany, 1996; Volume 38, pp. 369–376. [Google Scholar]
- Christensen, B.T. The Askov Long-Term Experiments on Animal Manure and Mineral Fertilizers. In Evaluation of Soil Organic Matter Models; Powlson, D.S., Smith, P., Smith, J.U., Eds.; NATO ASI Series (Series I: Global Environmental Change); Springer: Berlin/Heidelberg, Germany, 1996; Volume 38, pp. 301–312. [Google Scholar]
- Jenkinson, D.S.; Adams, D.E.; Wild, A.L. Model estimates of CO2 emissions from soil in response to global warming. Nature 1991, 351, 304–306. [Google Scholar] [CrossRef]
- Smith, P.; Powlson, D.; Glendining, M.; Smith, J. Potential for carbon sequestration in European soils: Preliminary estimates for five scenarios using results from long-term experiments. Glob. Chang. Biol. 1997, 3, 67–79. [Google Scholar] [CrossRef]
- Menšík, L.; Hlisnikovský, L.; Kunzová, E. The State of the Soil Organic Matter and Nutrients in the Long-Term Field Experiments with Application of Organic and Mineral Fertilizers in Different Soil-Climate Conditions in the View of Expecting Climate Change. In Organic Fertilizers—History, Production and Applications; Larramendy, M.L., Soloneski, S., Eds.; IntechOpen: London, UK, 2019; pp. 23–42. [Google Scholar]
- Laudicina, V.A.; Badalucco, L.; Palazzolo, E. Effects of compost input and tillage intensity on soil microbial biomass and activity under Mediterranean conditions. Biol. Fertil. Soils 2011, 47, 63–70. [Google Scholar] [CrossRef]
- Nunes, M.R.; van Es, H.M.; Veum, K.S.; Amsili, J.P.; Karlen, D.L. Anthropogenic and Inherent Effects on Soil Organic Carbon across the U.S. Sustainability 2020, 12, 5695. [Google Scholar] [CrossRef]
- Haddaway, N.R.; Hedlund, K.; Jackson, L.E.; Kätterer, T.; Lugato, E.; Thomsen, I.K.; Jørgensen, H.B.; Isberg, P.-E. How does tillage intensity affect soil organic carbon? A systematic review protocol. Environ. Evid. 2016, 5, 1. [Google Scholar] [CrossRef]
- Möller, K.; Müller, T. Effects of anaerobic digestion on digestate nutrient availability and crop growth: A review. Eng. Life Sci. 2012, 12, 242–257. [Google Scholar] [CrossRef]
- Möller, K. Effects of anaerobic digestion on soil carbon and nitrogen turnover, N emissions, and soil biological activity. A review. Agron. Sustain. Dev. 2015, 35, 1021–1041. [Google Scholar] [CrossRef]
- Thomsen, I.K.; Olesen, J.E.; Møller, H.B.; Sørensen, P.; Christensen, B.T. Carbon dynamics and retention in soil after anaerobic digestion of dairy cattle feed and faeces. Soil Biol. Biochem. 2013, 58, 82–87. [Google Scholar] [CrossRef]
- Tiwari, V.N.; Tiwari, K.N.; Upadhyay, R.M. Effect of crop residues and biogas slurry incorporation in wheat on yield and soil fertility. J. Indian Soc. Soil Sci. 2000, 48, 515–520. [Google Scholar]
- Menšík, L.; Nerušil, P. Production, Qualitative and Stand Changes of Permanent Grassland in Relation to the Intensity of Utilization and Fertilization Level in the Malá Haná Region; Crop Research Institute: Prague, Czech Republic, 2019; ISBN 978-80-7427-319-3. [Google Scholar]
- Knebl, L.; Leithold, G.; Brock, C. Improving minimum detectable differences in the assessment of soil organic matter change in short-term field experiments. J. Plant Nutr. Soil Sci. 2015, 178, 35–42. [Google Scholar] [CrossRef]
- Brock, C.; Hoyer, U.; Leithold, G.; Hülsbergen, K.-J. The humus balance model (HU-MOD): A simple tool for the assessment of management change impact on soil organic matter levels in arable soils. Nutr. Cycl. Agroecosyst. 2012, 92, 239–254. [Google Scholar] [CrossRef]
- Campbell, E.E.; Paustian, K. Current developments in soil organic matter modeling and the expansion of model applications: A review. Environ. Res. Lett. 2015, 10, 123004. [Google Scholar] [CrossRef]
- Rosa, E.; Debska, B. Seasonal changes in the content of dissolved organic matter in arable soils. J. Soils Sediments 2018, 18, 2703–2714. [Google Scholar] [CrossRef]
- Pykh, Y.A.; Malkina-Pykh, I.G. POLMOD.PEST—The model of pesticides dynamics in the elementary ecosystems. Ecol. Model. 1997, 98, 215–236. [Google Scholar] [CrossRef]
- Styles, D.; Gibbons, J.; Williams, A.P.; Dauber, J.; Stichnothe, H.; Urban, B.; Chadwick, D.R.; Jones, D.L. Consequential life cycle assessment of biogas, biofuel and biomass energy options within an arable crop rotation. GCB Bioenergy 2015, 7, 1305–1320. [Google Scholar] [CrossRef]
- De Willigen, P.; Janssen, B.H.; Heesmans, H.I.M.; Conijn, J.G.; Velthof, G.J.; Chardon, W.J. Decomposition and Accumulation of Organic Matter in Soil; Comparison of Some Models; Alterra: Wagenigen, The Netherlands, 2008. [Google Scholar]
- Ren, T.; Wang, J.; Chen, Q.; Zhang, F.; Lu, S. The Effects of Manure and Nitrogen Fertilizer Applications on Soil Organic Carbon and Nitrogen in a High-Input Cropping System. PLoS ONE 2014, 9, e97732. [Google Scholar] [CrossRef]
- Li, M.; Hu, H.; He, X.; Jia, J.; Drosos, M.; Wang, G.; Liu, F.; Hu, Z.; Xi, B. Organic Carbon Sequestration in Soil Humic Substances As Affected by Application of Different Nitrogen Fertilizers in a Vegetable-Rotation Cropping System. J. Agric. Food Chem. 2019, 67, 3106–3113. [Google Scholar] [CrossRef]
- Ondrasek, G.; Begić, H.B.; Zovko, M.; Filipović, L.; Meriño-Gergichevich, C.; Savić, R.; Rengel, Z. Biogeochemistry of soil organic matter in agroecosystems & environmental implications. Sci. Total Environ. 2019, 658, 1559–1573. [Google Scholar] [CrossRef]
- Smith, P.; Goulding, K.W.; Smith, K.A.; Powlson, D.S.; Smith, J.U.; Falloon, P.; Coleman, K. Enhancing the carbon sink in European agricultural soils: Including trace gas fluxes in estimates of carbon mitigation potential. Nutr. Cycl. Agroecosyst. 2001, 60, 237–252. [Google Scholar] [CrossRef]
- Leifeld, J.; Fuhrer, J. Organic Farming and Soil Carbon Sequestration: What Do We Really Know About the Benefits? Ambio 2010, 39, 585–599. [Google Scholar] [CrossRef] [PubMed]
- Singh, S.; Nouri, A.; Singh, S.; Anapalli, S.; Lee, J.; Arelli, P.; Jagadamma, S. Soil organic carbon and aggregation in response to thirty-nine years of tillage management in the southeastern US. Soil Tillage Res. 2020, 197, 104523. [Google Scholar] [CrossRef]
- Xu, J.; Han, H.; Ning, T.; Li, Z.; Lal, R. Long-term effects of tillage and straw management on soil organic carbon, crop yield, and yield stability in a wheat-maize system. Field Crop. Res. 2019, 233, 33–40. [Google Scholar] [CrossRef]
- Mukumbuta, I.; Hatano, R. Do tillage and conversion of grassland to cropland always deplete soil organic carbon? Soil Sci. Plant Nutr. 2019, 66, 76–83. [Google Scholar] [CrossRef]









| Region Code | The Sum of Temp.(°C) | Up-to-Date the Sum of Temp. (°C) | Mean Temp. (°C) | Up-to-Date Mean Temp. (°C) | Mean Ann. Precipitation (mm) | Dry Year Risk Factor | Moister Security (1—Minimal, 10 Maximal) |
|---|---|---|---|---|---|---|---|
| 2 | 2700 | 3430 | 8.50 | 9.40 | 550 | 0.25 | 3 |
| 3 | 2650 | 3380 | 8.50 | 9.26 | 600 | 0.15 | 5.5 |
| 5 | 2350 | 3080 | 7.50 | 8.44 | 600 | 0.23 | 7 |
| 6 | 2600 | 3330 | 8.00 | 9.12 | 800 | 0.05 | 10 |
| 7 | 2300 | 3030 | 6.50 | 8.30 | 700 | 0.10 | 10 |
Publisher’s Note: MDPI stays neutral with regard to jurisdictional claims in published maps and institutional affiliations. |
© 2021 by the authors. Licensee MDPI, Basel, Switzerland. This article is an open access article distributed under the terms and conditions of the Creative Commons Attribution (CC BY) license (https://creativecommons.org/licenses/by/4.0/).
Share and Cite
Voltr, V.; Menšík, L.; Hlisnikovský, L.; Hruška, M.; Pokorný, E.; Pospíšilová, L. The Soil Organic Matter in Connection with Soil Properties and Soil Inputs. Agronomy 2021, 11, 779. https://doi.org/10.3390/agronomy11040779
Voltr V, Menšík L, Hlisnikovský L, Hruška M, Pokorný E, Pospíšilová L. The Soil Organic Matter in Connection with Soil Properties and Soil Inputs. Agronomy. 2021; 11(4):779. https://doi.org/10.3390/agronomy11040779
Chicago/Turabian StyleVoltr, Václav, Ladislav Menšík, Lukáš Hlisnikovský, Martin Hruška, Eduard Pokorný, and Lubica Pospíšilová. 2021. "The Soil Organic Matter in Connection with Soil Properties and Soil Inputs" Agronomy 11, no. 4: 779. https://doi.org/10.3390/agronomy11040779
APA StyleVoltr, V., Menšík, L., Hlisnikovský, L., Hruška, M., Pokorný, E., & Pospíšilová, L. (2021). The Soil Organic Matter in Connection with Soil Properties and Soil Inputs. Agronomy, 11(4), 779. https://doi.org/10.3390/agronomy11040779

