Altered Nitrogen Availability in Pea–Barley Sole- and Intercrops Changes Dominance of Two Nitrophilic Weed Species
Abstract
1. Introduction
- Weed biomass generally decreases with increasing leaf area index, shoot biomass and canopy height of the crops; but the positive effect of increased N availability on weed biomass accumulation is stronger than the weed suppression effects of the crop canopy traits.
- The HNR species accumulate proportionally more biomass and N than the RNR species in the cropping arrangements providing higher soil N availability; furthermore, the HNR species recover larger amounts of fertilizer N, but extract a higher proportion of their accumulated N from soil compared to the RNR species.
- The increased biomass and N accumulation of the HNR species compared to the RNR species is due to their stronger growth and N accumulation responses to available N.
2. Materials and Methods
2.1. Design and Management of the Field Experiment
2.2. 15N Solution Preparation and Application in Micro-Plots
2.3. Biomass and Grain Yield Assessment
2.4. Isotope Analysis
2.5. Calculations
2.6. Statistical Analysis
3. Results
3.1. The Cropping Arrangements Provided a Gradient of Differential Soil N Availabilities to the Weeds
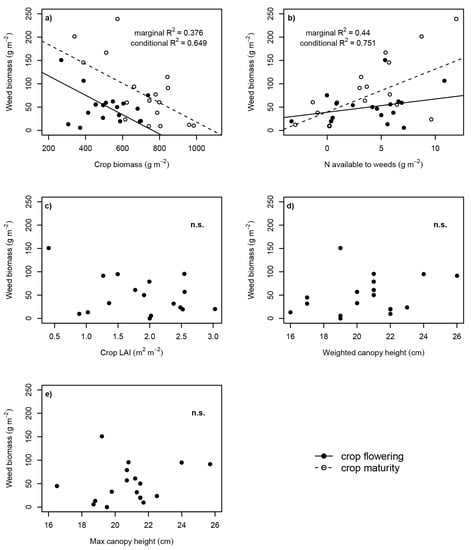
3.2. Total Weed Biomass Is More Strongly Related to N Availability to Weeds Than to Crop Canopy Traits (H1)
3.3. The HNR Species Accumulated More Biomass and N Than the RNR Species (H2)
3.4. Increasing N Availability Favoured Only the HNR Weed Species (H3)
4. Discussion
4.1. Nitrogen Fertilization Increased Weed Biomass in Relation to Crop Biomass
4.2. Additional N Supply Clearly Affected the Biomass Distribution between Crops and Weeds
4.3. Differential Responses of Weed Groups to the Nitrogen Gradient
4.4. Implications for Weed Management
5. Conclusions
Author Contributions
Funding
Data Availability Statement
Acknowledgments
Conflicts of Interest
Appendix A
| Mean Temperature °C | Precipitation Sum (mm) | |||
|---|---|---|---|---|
| Period | 2017 | 1961–1990 * | 2017 | 1961–1990 * |
| May | 9.9 | 10.2 | 10 | 33 |
| June | 14.2 | 14.9 | 38 | 45 |
| July | 16.0 | 16.3 | 22 | 70 |
| August | 15.2 | 15.2 | 50 | 58 |
| September | 11.9 | 10.8 | 45 | 49 |
| Biomass Accumulation | N accumulation | Ndff | Ndff | |
|---|---|---|---|---|
| Species | <0.001 | <0.001 | <0.001 | 0.006 |
| Crop | 0.001 | <0.001 | 0.912 | 0.014 |
| N-level | 0.009 | <0.001 | - | - |
| Sampling time | 0.887 | 0.581 | 0.768 | 0.004 |
| Species × Crop | 0.030 | 0.028 | 0.018 | 0.704 |
| Species × N-level | 0.032 | 0.038 | - | - |
| Crop × N-level | 0.054 | 0.034 | - | - |
| Species × Sampling time | 0.495 | 0.096 | 0.828 | 0.615 |
| Crop × Sampling time | 0.067 | 0.163 | 0.216 | 0.055 |
| N-level × Sampling time | 0.018 | 0.049 | - | . |
| Species × Crop × N-level | 0.060 | 0.070 | - | . |
| Species × Crop × Sampling time | 0.169 | 0.137 | 0.720 | 0.663 |
| Species × N-level × Sampling time | 0.118 | 0.103 | . | . |
| Crop × N-level × Sampling time | 0.613 | 0.608 | . | . |
| Species × Crop × N-level × Sampling time | 0.961 | 0.940 | . | . |
| C. album | Galeopsis spp. | Remaining Weeds | |
|---|---|---|---|
| Biomass | 3.32 (0.232) b | 1.42 (0.245) a | 1.40 (0.236) a |
| Accumulated N | −0.31 (0.192) b | −2.43 (0.200) a | −2.266 (0.192) a |
| Ndff | −0.44 (0.263) b | −2.80 (0.276) a | −3.02 (0.273) a |
| N Source | Species | Sole Crop Barley | Pea-Barley Intercrop | Sole-Crop Pea |
|---|---|---|---|---|
| N (g m−2) | N (g m−2) | N (g m−2) | ||
| Ndfs (g m−2) | Barley | 8.602 (2.7659) g | 7.567 (2.4332) fg | - |
| Pea | - | 0.789 (0.2536) de | 5.18 (1.6655) fg | |
| C. album | 0.678 (0.2180) de | 0.581 (0.2054) cde | 1.625 (0.5226) ef | |
| Galeopsis spp. | 0.054 (0.0173) ab | 0.102 (0.0416) abc | 0.026 (0.0083) a | |
| weeds | 0.041(0.0130) ab | 0.055 (0.0193) ab | 0.180 (0.0579) bcd | |
| Ndff (g m−2) | Barley | 1.974 (0.7074) f | 1.382 (0.4953) f | - |
| Pea | - | 0.181 (0.0650) bcde | 1.188 (0.4260) f | |
| C. album | 0.547 (0.19861) def | 0.478 (0.1897) cdef | 0.952 (0.3412) ef | |
| Galeopsis spp. | 0.082 (0.0294) abc | 0.125 (0.0575) abcde | 0.022 (0.0080) a | |
| weeds | 0.036 (0.0127) ab | 0.034 (0.0135) ab | 0.113 (0.0405) abcd | |
| Ndfa (g m−2) | Pea flowering | 1.09 (0.909) a * | 1.98 (0.771) a | |
| Pea maturity | 1.57 (0.771) a | 6.11 (0.771) b |
| N Source | Species | Sole Crop Barley | Pea-Barley Intercrop | Sole-Crop Pea |
|---|---|---|---|---|
| N (g m−2) | N (g m−2) | N (g m−2) | ||
| Ndfs (g m−2) | Barley | 2.15 (0.328) g | 2.09 (0.360) fg | - |
| Pea | - | −0.25 (0.360) de | 1.65 (0.328) fg | |
| C. album | −0.39 (0.328) de | −0.54 (0.360) cde | 0.49 (0.328) ef | |
| Galeopsis spp. | −2.93 (0.328) ab | −2.29 (0.415) abc | −3.66 (0.328) a | |
| weeds | −3.21 (0.328) ab | −3.06 (0.402) ab | −1.71 (0.328) bcd | |
| Ndff (g m−2) | Barley | 0.68 (0.367) f | 0.34 (0.405) f | - |
| Pea | - | −1.83 (0.405) bcde | 0.17 (0.367) f | |
| C. album | −0.60 (0.367) def | −0.75 (0.405) cdef | −0.05 (0.367) ef | |
| Galeopsis spp. | −2.50 (0.367) abc | −2.11 (0.469) abcde | −3.80 (0.367) a | |
| weeds | −3.34 (0.367) ab | −3.54 (0.454) ab | −2.18 (0.367) abcd |
| Grain Yield | Ndfa | |||
|---|---|---|---|---|
| Barley | Pea | % | g m−2 | |
| Crop mixture | 0.018 | 0.002 | 0.075 | 0.004 |
| N-level | 0.480 | 0.314 | 0.635 | 0.630 |
| Crop mixture × N-level | 0.838 | 0.699 | 0.739 | 0.985 |
| Sampling time | 0.025 | 0.011 | ||
| Crop mixture × sampling time | 0.567 | 0.037 | ||
| N-level × sampling time | 0.547 | 0.985 | ||
| Crop mixture × N-level × sampling time | 0.966 | 0.868 | ||


References
- MacLaren, C.; Storkey, J.; Menegat, A.; Metcalfe, H.; Dehnen-Schmutz, K. An ecological future for weed science to sustain crop production and the environment. A review. Agron. Sustain. Dev. 2020, 40, 24. [Google Scholar] [CrossRef]
- Martin-Guay, M.O.; Paquette, A.; Dupras, J.; Rivest, D. The new Green Revolution: Sustainable intensification of agriculture by intercropping. Sci. Total Environ. 2018, 615, 767–772. [Google Scholar] [CrossRef] [PubMed]
- Jensen, E.S.; Carlsson, G.; Hauggaard-Nielsen, H. Intercropping of grain legumes and cereals improves the use of soil N resources and reduces the requirement for synthetic fertilizer N: A global-scale analysis. Agron. Sustain. Dev. 2020, 40, 5. [Google Scholar] [CrossRef]
- Hauggaard-Nielsen, H.; Ambus, P.; Jensen, E.S. Interspecifc competition, N use and interference with weeds in pea-barley intercropping. Field Crops Res. 2001, 70, 101–109. [Google Scholar] [CrossRef]
- Corre-Hellou, G.; Dibet, A.; Hauggaard-nielsen, H.; Crozat, Y.; Gooding, M.; Ambus, P. The competitive ability of pea—Barley intercrops against weeds and the interactions with crop productivity and soil N availability. Field Crops Res. 2011, 122, 264–272. [Google Scholar] [CrossRef]
- Bedoussac, L.; Journet, E.; Hauggaard-nielsen, H.; Naudin, C.; Corre-hellou, G.; Jensen, E.S. Ecological principles underlying the increase of productivity achieved by cereal-grain legume intercrops in organic farming. A review. Agron. Sustain. Dev. 2015, 35, 911–935. [Google Scholar] [CrossRef]
- Radosevic, S.R.; Holt, J.S.; Ghersa, C.M. Ecology of Weeds and Invasive Plants: Relationship to Agriculture and Natural Resource Management, 3rd ed.; John Wiley & Sons, Inc.: Hoboken, NJ, USA, 2007. [Google Scholar]
- Grime, J.P. Plant Strategies, Vegetation Processes, and Ecosystem Proporties, 2nd ed.; John Wiley & Sons Ltd.: Chichester, UK, 2001; ISBN 0-471-49601-4. [Google Scholar]
- Storkey, J. A functional group approach to the management of UK arable weeds to support biological diversity. Weed Res. 2006, 46, 513–522. [Google Scholar] [CrossRef]
- Gaba, S.; Perronne, R.; Fried, G.; Gardarin, A.; Bretagnolle, F.; Colbach, N.; Cordeau, S.; Andez-aparicio, M.F.; Gauvrit, C.; Guillemin, J.; et al. Response and effect traits of arable weeds in agro-ecosystems: A review of current knowledge. Weed Res. 2017, 57, 123–147. [Google Scholar] [CrossRef]
- Storkey, J.; Moss, S.R.; Cussans, J.W. Using assembly theory to explain changes in a weed flora in response to agricultural intensification. Weed Sci. 2010, 58, 39–46. [Google Scholar] [CrossRef]
- Moreau, D.; Busset, H.; Matejicek, A.; Munier-Jolain, N. The ecophysiological determinants of nitrophily in annual weed species. Weed Res. 2014, 54, 335–346. [Google Scholar] [CrossRef]
- Blackshaw, R.E.; Brandt, R.N.; Janzen, H.H.; Entz, T.; Grant, C.A.; Derksen, D.A. Differential response of weed species to added nitrogen. Weed Sci. 2003, 51, 532–539. [Google Scholar] [CrossRef]
- Bostrom, U.; Milberg, P.; Fogelfors, H. Yield loss in spring-sown cereals related to the weed flora in the spring. Weed Sci. 2018, 51, 418–424. [Google Scholar] [CrossRef]
- Milberg, P.; Hallgren, E.; Palmer, M.W. Interannual variation in weed biomass on arable land in Sweden. Weed Res. 2000, 40, 311–321. [Google Scholar] [CrossRef]
- Ellenberg, H.; Weber, H.E.; Düll, R.; Wirth, V.; Werner, W. Zeigerwerte von Pflanzen in Mitteleuropa/Indicator Values of Plants in Central Europe, 3rd ed.; Erich Golze GmbH: Göttingen, Germany, 2001; ISBN 3-88452-518-2. [Google Scholar]
- Meier, U. Growth Stages of Mono- and Dicotyledonous Plants. BBCH Monograph; Blackwell Wissenschafts-Verlag: Berlin, Germany; Wien, Austria, 1997; ISBN 9783955470715. [Google Scholar]
- Pierozan Junior, C.; Jackson, K. Efficiency of the leaf disc method for estimating the leaf area index of soybean plants. Acta Sci. Agron. 2013, 35, 487–493. [Google Scholar] [CrossRef]
- Werner, R.A.; Bruch, B.A.; Brand, W.A. ConFlo III—An interface for high precision d 13 C and d 15 N analysis with an extended dynamic range. Rapid Commun. Mass Spectrom. 1999, 13, 1237–1241. [Google Scholar] [CrossRef]
- Shearer, G.; Kohl, D.H. N2-Fixation in field settings: Estimations based on natural 15N abundance. Aust. J. Plant Physiol. 1986, 13, 699–756. [Google Scholar]
- Hauggaard-Nielsen, H.; Ambus, P.; Jensen, E.S. The comparison of nitrogen use and leaching in sole cropped versus intercropped pea and barley. Nutr. Cycl. Agroecosys. 2003, 65, 289–300. [Google Scholar] [CrossRef]
- Fried, M.; Middelboe, V. Measurement of amount of nitrogen fixed by a legume crop. Plant Soil 1977, 47, 713–715. [Google Scholar] [CrossRef]
- Onofri, A.; Carbonell, E.A.; Piepho, H.P.; Mortimer, A.M.; Cousens, R.D. Current statistical issues in weed research. Weed Res. 2010, 50, 5–24. [Google Scholar] [CrossRef]
- R Core Team. R: A Language and Environment for Statistical Computing; R Foundation for Statistical Computing: Vienna, Austria, 2013. [Google Scholar]
- Bates, D.; Mächler, M.; Bolker, B.M.; Walker, S.C. Fitting linear mixed-effects models using lme4. J. Stat. Softw. 2015, 67, 1–48. [Google Scholar] [CrossRef]
- Kutznetsova, A.; Brockhoff, P.B.; Christensen, R.H.B. lmerTest Package: Tests in Linear Mixed Effects Models. J. Stat. Softw. 2017, 82, 1–26. [Google Scholar] [CrossRef]
- Lenth, R. Emmeans: Estimated Marginal Means, aka Least-Squares Means; R Package Version 1.4.3.01; R Foundation for Statistical Computing: Vienna, Austria, 2019. [Google Scholar]
- Nakagawa, S.; Schielzeth, H. A general and simple method for obtaining R2 from generalized linear mixed-effects models. Methods Ecol. Evol. 2013, 4, 133–142. [Google Scholar] [CrossRef]
- Lüdecke, D.; Makowski, D.; Waggoner, P. Performance: Assessment of Regression Models Performance, R package version 0.4.0; R Foundation for Statistical Computing: Vienna, Austria, 2019. [Google Scholar]
- Corre-Hellou, G.; Brisson, N.; Launay, M.; Fustec, J.; Crozat, Y. Effect of root depth penetration on soil nitrogen competitive interactions and dry matter production in pea—Barley intercrops given different soil nitrogen supplies. Field Crops Res. 2007, 103, 76–85. [Google Scholar] [CrossRef]
- Hauggaard-Nielsen, H.; Ambus, P.; Jensen, E.S. Temporal and spatial distribution of roots and competition for nitrogen in pea-barley intercrops—A field study employing 32 P technique. Plant Soil 2001, 63, 63–74. [Google Scholar] [CrossRef]
- Jensen, E.S. Grain yield, symbiotic N2 fixation and interspecific competition for inorganic N in pea-barley intercrops. Plant Soil 1996, 182, 25–38. [Google Scholar] [CrossRef]
- Ghaley, B.B.; Jensen, E.S. Intercropping of wheat and pea as influenced by nitrogen fertilization. Nutr. Cycl. Agroecosyst. 2005, 73, 201–212. [Google Scholar] [CrossRef]
- Voisin, A.; Salon, C.; Munier-jolain, N.G.; Ney, B. Quantitative effects of soil nitrate, growth potential and phenology on symbiotic nitrogen fixation of pea (Pisum sativum L.). Plant Soil 2002, 243, 31–42. [Google Scholar] [CrossRef]
- Naudin, C.; Corre-Hellou, G.; Pineau, S.; Crozat, Y.; Jeuffroy, M.H. The effect of various dynamics of N availability on winter pea-wheat intercrops: Crop growth, N partitioning and symbiotic N2 fixation. Field Crops Res. 2010, 119, 2–11. [Google Scholar] [CrossRef]
- Håkansson, S. Seasonal variation in the emergence of annual weeds—An introductory investigation in Sweden. Weed Res. 1983, 23, 313–324. [Google Scholar] [CrossRef]
- Pakeman, R.J.; Karley, A.J.; Newton, A.C.; Morcillo, L.; Brooker, R.W.; Schöb, C. A trait-based approach to crop—Weed interactions. Eur. J. Agron. 2015, 70, 22–32. [Google Scholar] [CrossRef]
- Engström, L.; Lindén, B. Importance of soil mineral N in early spring and subsequent net N mineralisation for winter wheat following winter oilseed rape and peas in a milder climate. Acta Agric. Scand. Sect. B Soil Plant Sci. 2009, 59, 402–413. [Google Scholar] [CrossRef]
- Nagel, K.A.; Kastenholz, B.; Jahnke, S.; Van Dusschoten, D.; Aach, T.; Mühlich, M.; Truhn, D.; Scharr, H.; Terjung, S.; Walter, A.; et al. Temperature responses of roots: Impact on growth, root system architecture and implications for phenotyping. Funct. Plant Biol. 2009, 36, 947–959. [Google Scholar] [CrossRef] [PubMed]
- Glendining, M.J.; Poulton, P.R.; Powlson, D.S.; Jenkinson, D.S. Fate of 15 N-labelled fertilizer applied to spring barley grown on soils of contrasting nutrient status. Plant Soil 1997, 195, 83–98. [Google Scholar] [CrossRef]
- Glass, A.D.M. Nitrogen use efficiency of crop plants: Physiological constraints upon nitrogen absorption. CRC Crit. Rev. Plant. Sci. 2003, 22, 453–470. [Google Scholar] [CrossRef]
- Thomsen, I.K.; Christensen, B.T. Fertilizer N recovery in cereal crops and soil under shallow tillage. Soil Tillage Res. 2007, 97, 117–121. [Google Scholar] [CrossRef]
- Schenk, H.J. Root competition: Beyond resource depletion. J. Ecol. 2006, 94, 725–739. [Google Scholar] [CrossRef]
- Craine, J.M.; Dybzinski, R. Mechanisms of plant competition for nutrients, water and light. Funct. Ecol. 2013, 27, 833–840. [Google Scholar] [CrossRef]
- Kiær, L.P.; Weisbach, A.N.; Weiner, J. Root and shoot competition: A meta-analysis. J. Ecol. 2013, 101, 1298–1312. [Google Scholar] [CrossRef]
- Schwinning, S.; Weiner, J. Mechanisms determining the degree of size asymmetry in competition among plants. Oecologia 1998, 113, 447–455. [Google Scholar] [CrossRef]
- Blackshaw, R.E.; Brandt, R.N. Nitrogen fertilizer rate effects on weed competitiveness is species dependent. Weed Sci. 2008, 56, 743–747. [Google Scholar] [CrossRef]
- Blackshaw, R.E.; Molnar, L.J.; Janzen, H.H. Nitrogen fertilizer timing and application method affect weed growth and competition with spring wheat. Weed Sci. 2004, 52, 614–622. [Google Scholar] [CrossRef]
- Petersen, J. Weed:spring barley competition for applied nitrogen in pig slurry. Weed Res. 2003, 43, 33–39. [Google Scholar] [CrossRef]
- Moss, S.R.; Storkey, J.; Cussans, J.W.; Perryman, S.A.M.; Hewitt, M.V. Symposium The Broadbalk long-term experiment at Rothamsted: What has it told us about weeds? Weed Sci. 2004, 52, 864–873. [Google Scholar] [CrossRef]
- Younginger, B.S.; Sirová, D.; Cruzan, M.B.; Ballhorn, D.J. Is biomass a reliable estimate of plant fitness? Appl. Plant. Sci. 2017, 5, 1600094. [Google Scholar] [CrossRef] [PubMed]




| Factor | Total Accumulated Crop + Weed Biomass | SS | Proportion of Crop and Weed to the Total Biomass | SS |
|---|---|---|---|---|
| Sampling time | <0.0001 | 365,138 | 0.18 | 0.0054 |
| Crop | 0.52 | 13,489 | 0.04 | 0.0345 |
| N-level | 0.76 | 864 | 0.01 | 0.0240 |
| Sampling time × Crop | 0.36 | 18,901 | 0.16 | 0.0115 |
| Sampling time × N-level | 0.87 | 255 | 0.03 | 0.0147 |
| Crop × N-level | 0.70 | 6454 | 0.43 | 0.0050 |
| Sampling time × crop × N-level | 0.68 | 6890 | 0.09 | 0.0153 |
| Plant Characteristic | Treatment | |||||
|---|---|---|---|---|---|---|
| Crop | SS | N-Level | SS | Crop × N-level | SS | |
| LAI | <0.001 | 4.7 | 0.023 | 0.7 | 0.213 | 0.4 |
| Weighted canopy height | 0.118 | 27.1 | 0.325 | 5.6 | 0.341 | 12.4 |
| Max canopy height | 0.269 | 10.3 | 0.185 | 7.0 | 0.214 | 12.4 |
| Crop biomass | 0.358 | 16,761 | 0.965 | 13.3 | 0.359 | 15,280 |
| N available to weeds at crop flowering | 0.106 | 11.6 | 0.007 | 44.8 | 0.476 | 4.7 |
| N available to weeds at crop maturity | 0.294 | 1.3 | <0.001 | 118.9 | 0.056 | 7.5 |
| C. album | Galeopsis spp. | Remaining Weeds | |
|---|---|---|---|
| Biomass (g m−2) | 44.8 (13.70) b | 5.9 (1.76) a | 4.9 (1.27) a |
| Accumulated N (g m−2) | 1.14 (0.280) b | 0.13 (0.035) a | 0.13 (0.029) a |
| Ndff (g m−2) | 0.73 (0.213) b | 0.08 (0.030) a | 0.06 (0.018) a |
| Ndff (%) | 44.0 (3.50) a | 53.5 (3.58) b | 41.6 (3.56) a |
| Species | Biomass (g m−2) | Accumulated Plant N (g m−2) | ||
|---|---|---|---|---|
| Slope | 95% CI | Slope | 95% CI | |
| C. album | 0.216 a | 0.109; 0.322 | 0.259 a | 0.156; 0.363 |
| Galeopsis spp. | −0.029 b | −0.139; 0.081 | 0.012 b | −0.095; 0.119 |
| Remaining weeds | 0.165 a | 0.059; 0.271 | 0.195 a | 0.092; 0.299 |
Publisher’s Note: MDPI stays neutral with regard to jurisdictional claims in published maps and institutional affiliations. |
© 2021 by the authors. Licensee MDPI, Basel, Switzerland. This article is an open access article distributed under the terms and conditions of the Creative Commons Attribution (CC BY) license (https://creativecommons.org/licenses/by/4.0/).
Share and Cite
Jäck, O.; Ajal, J.; Weih, M. Altered Nitrogen Availability in Pea–Barley Sole- and Intercrops Changes Dominance of Two Nitrophilic Weed Species. Agronomy 2021, 11, 679. https://doi.org/10.3390/agronomy11040679
Jäck O, Ajal J, Weih M. Altered Nitrogen Availability in Pea–Barley Sole- and Intercrops Changes Dominance of Two Nitrophilic Weed Species. Agronomy. 2021; 11(4):679. https://doi.org/10.3390/agronomy11040679
Chicago/Turabian StyleJäck, Ortrud, James Ajal, and Martin Weih. 2021. "Altered Nitrogen Availability in Pea–Barley Sole- and Intercrops Changes Dominance of Two Nitrophilic Weed Species" Agronomy 11, no. 4: 679. https://doi.org/10.3390/agronomy11040679
APA StyleJäck, O., Ajal, J., & Weih, M. (2021). Altered Nitrogen Availability in Pea–Barley Sole- and Intercrops Changes Dominance of Two Nitrophilic Weed Species. Agronomy, 11(4), 679. https://doi.org/10.3390/agronomy11040679

