Effect of Compost Extract Addition to Different Types of Fertilizers on Quality at Harvest and Shelf Life of Spinach
Abstract
1. Introduction
2. Materials and Methods
2.1. Plant Material and Experimental Design
2.2. Processing, Packaging, and Storage and Atmosphere Analysis
2.3. Nitrate, Nitrite, and Oxalate Content
2.4. Total Phenolic Content
2.5. Total Antioxidant Capacity
2.6. Color
2.7. Microbial Analyses
2.8. Sensory Evaluation
2.9. Statistical Analysis
3. Results
4. Discussion
5. Conclusions
Author Contributions
Funding
Institutional Review Board Statement
Informed Consent Statement
Conflicts of Interest
References
- Roberts, J.L.; Moreau, R. Functional properties of spinach (Spinacia oleracea L.) phytochemicals and bioactives. Food Funct. 2016, 7, 3337–3353. [Google Scholar] [CrossRef] [PubMed]
- Bunea, A.; Andjelkovic, M.; Socaciu, C.; Bobis, O.; Neacsu, M.; Verhé, R.; Van Camp, J. Total and individual carotenoids and phenolic acids content in fresh, refrigerated and processed spinach (Spinacia oleracea L.). Food Chem. 2008, 108, 649–656. [Google Scholar] [CrossRef] [PubMed]
- Pandjaitan, N.; Howard, L.R.; Morelock, T.; Gil, M.I. Antioxidant capacity and phenolic content of spinach as affected by genetics and maturation. J. Agric. Food Chem. 2005, 53, 8618–8623. [Google Scholar] [CrossRef] [PubMed]
- Mou, B. Evaluation of oxalate concentration in the U.S. Spinach Germplasm Collection. HortScience 2008, 43, 1690–1693. [Google Scholar] [CrossRef]
- Santamaria, P. Nitrate in vegetables: Toxicity, content, intake and EC regulation. J. Sci. Food Agric. 2006, 86, 10–17. [Google Scholar] [CrossRef]
- Noonan, S.C.; Savage, G.P. Oxalic acid and its effects on humans. Asia Pac. J. Clin. Nutr. 1999, 8, 64–74. [Google Scholar]
- Tiso, M.; Schechter, A.N. Nitrate Reduction to Nitrite, Nitric Oxide and Ammonia by Gut Bacteria under Physiological Conditions. PLoS ONE 2015, 10, e0119712. [Google Scholar] [CrossRef]
- Conversa, G.; Bonasia, A.; Lazziezera, C.; Elia, A. Pre-harvest nitrogen and azoxystrobin application enhances raw produced quality and post-harvest shelf-life of baby spinach (Spinacia oleracea L.). J. Sci. Food Agric. 2014, 94, 3263–3272. [Google Scholar] [CrossRef]
- Conte, A.; Conversa, G.; Scrocco, C.; Brescia, I.; Laverse, J.; Elia, A.; Del Nobile, M.A. Influence of growing period on quality of baby spinach leaves at harvest and during storage as minimally processed produce. Postharvest Biol. Technol. 2008, 50, 190–196. [Google Scholar] [CrossRef]
- Jung, Y.J.; Padmanabahn, A.; Hong, J.H.; Lim, J.; Kim, H.O. Consumer freshness perception of spinach samples exposed to different storage conditions. Postharvest Biol. Technol. 2012, 73, 115–121. [Google Scholar] [CrossRef]
- Francis, F.L. Quality as influenced by color. Food Qual. Prefer. 1995, 6, 149–155. [Google Scholar] [CrossRef]
- Rodríguez Hidalgo, S.; Artés-Hernández, F.; Gómez, P.A.; Fernández, J.A.; Artés, F. Quality of fresh-cut baby spinach grown under floating trays system as affected by N fertilization and innovative package treatments. J. Sci. Food Agric. 2010, 90, 1089–1097. [Google Scholar] [CrossRef]
- Medina, M.A.; Tudela, J.A.; Marín, A.; Allende, A.; Gil, M.I. Short postharvest storage under low relative humidity improves quality and shelf life of minimally processed baby spinach (Spinacia oleracea L.). Postharvest Biol. Technol. 2012, 67, 1–9. [Google Scholar] [CrossRef]
- Yahia, E.M.; Gardea-Béjar, A.; Ornelas-Paz, J.J.; Maya-Meraz, O.; Rodríguez-Roque, M.J.; Rios-Velasco, C.; Ornelas-Paz, J.; Salas-Marina, M.A. Preharvest factors affecting postharvest quality. In Postharvest Technology of Perishable Horticultural Commodities; Yahia, E.M., Ed.; Elsevier: Cambridge, UK, 2019; pp. 99–128. [Google Scholar]
- Zikalala, O.B.; Nkomo, M.; Zikalala, B.O.; Nkomo, M.; Araya, H.; Ngezimana, W.; Mudau1, F.N. Nutritional quality of baby spinach (Spinacia oleracea L.) as affected by nitrogen, phosphorus and potassium fertilisation. S. Afr. J. Plant Soil 2016, 1–8. [Google Scholar] [CrossRef]
- Di Mola, I.; Cozzolino, E.; Ottaiano, L.; Nocerino, S.; Rouphael, Y.; Colla, G.; El-Nakhel, C.; Mori, M. Nitrogen Use and Uptake Efficiency and Crop Performance of Baby Spinach (Spinacia oleracea L.) and Lamb’s Lettuce (Valerianella locusta L.) Grown under Variable Sub-Optimal N Regimes Combined with Plant-Based Biostimulant Application. Agronomy 2020, 10, 278. [Google Scholar] [CrossRef]
- Vico, A.; Sáez, J.A.; Pérez-Murcia, M.D.; Martínez-Tomé, J.; Andreu-Rodriguez, J.; Agulló, E.; Bustamante, M.A.; Sanz-Cobea, A.; Moral, R. Production of spinach in intensive Mediterranean horticultural systems can be sustained by organic-based fertilizer without yield penalties and with low environmental impacts. Agric. Syst. 2020, 178, 102765. [Google Scholar] [CrossRef]
- Shi, X.; Hu, H.-W.; Müller, C.; He, J.-Z.; Chen, D.; Suter, H.C. Effects of the nitrification inhibitor 3,4-dimethylpyrazole phosphate on nitrification and nitrifiers in two contrasting agricultural soils. Appl. Environ. Microbiol. 2016, 82, 5236–5248. [Google Scholar] [CrossRef]
- Ros, M.; Hurtado-Navarro, M.; Giménez, A.; Fernández, J.A.; Egea-Gilabert, C.; Lozano-Pastor, P.; Pascual, J.A. Spraying Agro-Industrial Compost Tea on Baby Spinach Crops: Evaluation of Yield, Plant Quality and Soil Health in Field Experiments. Agronomy 2020, 10, 440. [Google Scholar] [CrossRef]
- Giménez, A.; Fernández, J.A.; Pascual, J.A.; Ros, M.; Egea-Gilabert, C. Application of Directly Brewed Compost Extract Improves Yield and Quality in Baby Leaf Lettuce Grown Hydroponically. Agronomy 2020, 10, 370. [Google Scholar] [CrossRef]
- Bustamante, M.A.; Paredes, C.; Moral, R.; Moreno-Caselles, J.; Pérez-Espinosa, A.; Pérez-Murcia, M.D. Uses of winery and distillery effluents in agriculture: Characterisation of nutrient and hazardous components. Water Sci. Technol. 2005, 51, 145–151. [Google Scholar] [CrossRef]
- Lara, L.J.; Egea-Gilabert, C.; Niñirola, D.; Conesa, E.; Fernández, J.A. Effect of aeration of the nutrient solution on the growth and quality of purslane (Portulaca oleracea). J. Hortic. Sci. Biotechnol. 2011, 86, 603–610. [Google Scholar] [CrossRef]
- Singleton, V.L.; Orthofer, R.; Lamuela-Raventós, R.M. Analysis of total phenols and other oxidation substrates and antioxidants by means of Folin–Ciocalteu reagent. Methods Enzym. 1999, 299, 152–178. [Google Scholar] [CrossRef]
- Martinez-Hernández, G.B.; Gómez, P.A.; Pradas, I.; Artés, F.; Artés-Hernández, F. Moderate UV-C pretreatment as a quality enhancement tool in fresh-cut Bimi® broccoli. Postharvest Biol. Technol. 2011, 62, 327–337. [Google Scholar] [CrossRef]
- Benzie, L.F.; Strain, J.J. Ferric reducing/antioxidant power assay: Direct measure of total antioxidant activity of biological fluids and modified version for simultaneous measurement of total antioxidant power and ascorbic acid concentration. Methods Enzym. 1999, 299, 15–27. [Google Scholar] [CrossRef]
- Walkling-Ribeiro, M.; Noci, F.; Cronin, D.A.; Lyng, J.G.; Morgan, D.J. Shelf life and sensory attributes of a fruit smoothie-type beverage processed with moderate heat and pulsed electric fields. Food Sci. Tecnol. 2010, 43, 1067–1073. [Google Scholar] [CrossRef]
- Knewtson, S.J.B.; Griffin, J.J.; Carey, E.F. Application of two microbial teas did not affect collard or Spinach yield. Hortscience 2009, 44, 73–78. [Google Scholar] [CrossRef]
- Eudoxie, G.; Martin, M. Compost Tea Quality and Fertility. In Organic Fertilizers-History, Producction and Applications; IntechOpen: London, UK, 2019. [Google Scholar] [CrossRef]
- Sheikhi, J.; Hosseini, H.M.; Etesani, H.; Majidi, A. Biochar counteracts nitrification inhibitor DMPP- mediated negative effect on spinach (Spinacia oleracea L.) growth. Ecotoxical Environ. Saf. 2020, 191, 110243. [Google Scholar] [CrossRef]
- Canali, S.; Diacono, M.; Ciaccia, C.; Masetti, O.; Tittarelli, F.; Monterruno, F. Alternative strategies for nitrogen fertilization of overwinter processing spinach (Spinacia oleracea L.) in Southern Italy. Eur. J. Agron. 2014, 54, 47–53. [Google Scholar] [CrossRef]
- Irigoyen, I.; Lamsfus, C.; Aparicio-Tejo, P.; Muro, J. The influence of 3,4-dimethylpyrazole phosphate and dicyandiamide on reducing nitrate accumulation in spinach under Mediterranean conditions. J. Agric. Sci. 2006, 144, 555–562. [Google Scholar] [CrossRef]
- Barth, G.; Von Tucher, S.; Schmidhalter, U. Influence of soil parameters on the effect of 3,4-dimethylpyrazole-phosphate as a nitrification inhibitor. Biol. Fertil. Soils 2001, 34, 98–102. [Google Scholar] [CrossRef]
- Pasda, G.; Hähndel, R.; Zerulla, W. Effect of fertilizers with the new nitrification inhibitor DMPP (3,4-dimethylpyrazole phosphate) on yield and quality of agricultural and horticultural crops. Biol. Fertil Soils 2001, 34, 85–97. [Google Scholar] [CrossRef]
- Gómez, P.; Artés, F.; Madrid, R. Nitrogen fertiliser rate and controlled atmospheres effects on the nitrates levels and quality of fresh processed celery sticks. Acta Hortic. 2003, 604, 493–498. [Google Scholar] [CrossRef]
- Miceli, A.; Vetraro, F.; Sabatino, L.; D’Anna, F.; Moncada, A. Influence of preharvest Gibberellic acid treatments on postharvest quality of minimally processed leaf lettuce and rocket. Horticulturae 2019, 5, 63. [Google Scholar] [CrossRef]
- Kyriacou, M.C.; Soteriou, G.A.; Colla, G.; Rouphael, Y. The occurrence of nitrate and nitrite in Mediterranean fresh salad vegetables and its modulation by pre harvest practices and postharvest conditions. Food Chem. 2019, 285, 468–477. [Google Scholar] [CrossRef]
- Mu, Y.; Feng, Y.; Wei, L.; Li, C.; Cai, G.; Zhu, T. Combined effects of ultrasound and aqueous chlorine dioxide treatments on nitrate content during storage and postharvest storage quality of spinach (Spinacia oleracea L.). Food Chem. 2020, 333, 127500. [Google Scholar] [CrossRef]
- Chung, J.C.; Chou, S.S.; Hwang, D.F. Changes in nitrate and nitrite content of four vegetables during storage at refrigerated and ambient temperatures. Food Addit. Contam. 2004, 21, 317–322. [Google Scholar] [CrossRef]
- Wang, X.; Cai, X.; Xu, C.; Zhao, Q.; Ge, C.; Dai, S.; Wang, Q.-H. Diversity of nitrate, oxalate, vitamin C and carotenoid contents in different spinach accessions and their correlation with various morphological traits. J. Hortic. Sci. Biotechnol. 2018, 93, 409–415. [Google Scholar] [CrossRef]
- Cai, X.; Ge, C.; Xu, C.; Wang, X.; Wang, S.; Wang, Q. Expression Analysis of Oxalate Metabolic Pathway Genes Reveals Oxalate Regulation Patterns in Spinach. Molecules 2018, 23, 1286. [Google Scholar] [CrossRef]
- Irigoyen, I.; Muro, J.; Azpilikueta, M.; Aparicio-Tejo, P.; Lamsfus, C. Ammonium oxidation kinetics in the presence of nitrification inhibitors DCD and DMPP at various temperatures. Aust. J. Soil Res. 2003, 41, 1177–1183. [Google Scholar] [CrossRef]
- Toledo, M.E.A.; Ueda, Y.; Imahori, Y.; Ayaki, M. l-ascorbic acid metabolism in spinach (Spinacia oleracea L.) during postharvest storage in light and dark. Postharvest Biol. Technol. 2003, 28, 47–57. [Google Scholar] [CrossRef]
- Acho, F.C.; Zoué, L.T.; Nimké, S.L. Nutritional and antioxidant characterization of blanched leafy vegetables consumed in Southen Côte d’Ivoire (Ivory Coast). Br. Biotechnol. J. 2015, 6, 154–164. [Google Scholar] [CrossRef]
- Cisneros-Zevallos, L. The use of controlled postharvest abiotic stresses as a tool for enhancing the nutraceutical content and adding-value of fresh fruits and vegetables. J. Food Sci. 2003, 68, 1560–1565. [Google Scholar] [CrossRef]
- Hua-Bin, L.; Chi-Chun, W.; Ka-Wing, C.; Feng, C. Antioxidant properties in vitro and total phenolic contents in methanol extracts from medicinal plants. LWT Food Sci. Technol. 2008, 41, 385–390. [Google Scholar] [CrossRef]
- Yosefi, Z.; Tabaraki, R.; Asadi Gharneh, H.; Mehrabi, A. Variation in Antioxidant Activity, Total Phenolics, and Nitrate in Spinach. Int. J. Veg. Sci. 2010, 16, 233–242. [Google Scholar] [CrossRef]
- Pascale, A.; Vinale, F.; Manganiello, G.; Nigro, M.; Lanzuise, S.; Ruocco, M.; Marra, R.; Lombardi, N.; Woo, S.L.; Lorito, M. Trichoderma and its secondary metabolites improve yield and quality. Crop. Prot. 2017, 92, 176–181. [Google Scholar] [CrossRef]
- Pandrangi, S.; Laborde, L. Retention of folate, carotenoids, and other quality characteristics in commercially packaged fresh spinach. Food Chem. Toxicol. 2004, 69, 702–707. [Google Scholar] [CrossRef]
- Gómez-López, V.; Marín, A.; Medina-Martínez, M.; Gil, M.I.; Allende, A. Generation of trihalomethanes with chlorine-based sanitizers and impact on microbial, nutritional and sensory quality of baby spinach. Postharvest Biol. Technol. 2013, 85, 210–217. [Google Scholar] [CrossRef]
- Hähndel, R.; Zerulla, W. Effects of Ammonium-stabilized N-Fertilizers on Yield and Quality of Vegetables. Acta Hortic. 2001, 563, 81–86. [Google Scholar] [CrossRef]
- Hähndel, R.; Strohm, M. New stabilized N fertilizer: Further studies. Gemüse 2001, 6, 13–16. (In German) [Google Scholar]
- Agüero, V.; Ponce, A.; Moreira, M.; Roura, S. Lettuce quality loss under conditions that favor the wilting phenomenon. Postharvest Biol. Technol. 2011, 59, 124–131. [Google Scholar] [CrossRef]
- Artés-Hernández, F.; Escalona, V.H.; Robles, P.A.; Martínez-Hernández, G.B.; Artés, F. Effect of UV-C radiation on quality of minimally processed spinach leaves. J. Sci. Food Agric. 2009, 89, 414–421. [Google Scholar] [CrossRef]
- Babic, I.; Watada, A. Microbial populations of fresh-cut spinach leaves affected by controlled atmospheres. Postharvest Biol. Technol. 1996, 9, 187–193. [Google Scholar] [CrossRef]
- Tudela, J.A.; Marín, A.; Garrido, Y.; Cantwell, M.; Medina-Martínez, M.; Gil, M.I. Off-odour development in modified atmosphere packaged baby spinach is an unresolved problem. Postharvest Biol. Technol. 2013, 75, 75–85. [Google Scholar] [CrossRef]
- Ruengvisesh, S.; Kerth, C.; Taylor, T. Inhibition of Escherichia coli O157:H7 and Salmonella enterica isolates on spinach leaf surfaces using eugenol-loaded surfactant micelles. Foods 2018, 8, 575. [Google Scholar] [CrossRef] [PubMed]
- Richter, L.; Du Plessis, E.M.; Duvenage, S.; Korsten, L. Occurrence. Identification, and antimicrobial resistance profiles of extended-spectrum and AmpC β-lactamase-producing Enterobacteriaceae from fresh vegetables retailed in Gauteng Province, South Africa. Foodborne Pathog. Dis. 2019, 16, 421–427. [Google Scholar] [CrossRef] [PubMed]
- Artés, F.; Gómez, P.A.; Aguayo, E.; Artés-Hernández, F. Modified Atmosphere Packaging. In Handbook of Food Safety Engineering; Wiley-Blackwell: Hoboken, NJ, USA, 2012; pp. 543–573. [Google Scholar]
- Preetinder, K.; Deepak, R.; Shashi, P. Quality changes in fresh-cut spinach (Spinacia oleracea) under modified atmospheres with perforations. J. Food Qual. 2011, 34, 10–18. [Google Scholar] [CrossRef]






| Parameter | Compost Extract |
|---|---|
| pH | 7.91 |
| EC (dS m−1) | 1.03 |
| WSC (mg L−1) | 103 |
| TKN (mg L−1) | 3.40 |
| NO3−-N (mg L−1) | 8.65 |
| SO42−(mg L−1) | 62.9 |
| Cl− (mg L−1) | 111 |
| K+ (mg L−1) | 126 |
| Ca2+ (mg L−1) | 9.08 |
| Na2+ (mg L−1) | 15.8 |
| Mg2+ (mg L−1) | 2.33 |
| Treatments | Yield (kg m−2) |
|---|---|
| Control | 3.95 ± 0.06 b |
| Control + CE | 3.47 ± 0.33 a |
| NPK | 4.49 ± 0.13 c |
| NPK + CE | 4.37 ± 0.92 c |
| DMPP | 4.59 ± 0.28 c |
| DMPP + CE | 4.40 ± 0.11 c |
| Parameters | Significant Differences | ||
|---|---|---|---|
| Treatments | Storage | Interaction | |
| Nitrate (mg kg−1 FW) | *** | n.s. | ** |
| Nitrite (mg kg−1 FW) | *** | *** | *** |
| Oxalate (mg kg−1 FW) | ** | *** | n.s. |
| TPC (mg ChAE kg−1 FW) | *** | *** | *** |
| TAC (mg Trolox kg−1 FW) | ** | *** | n.s. |
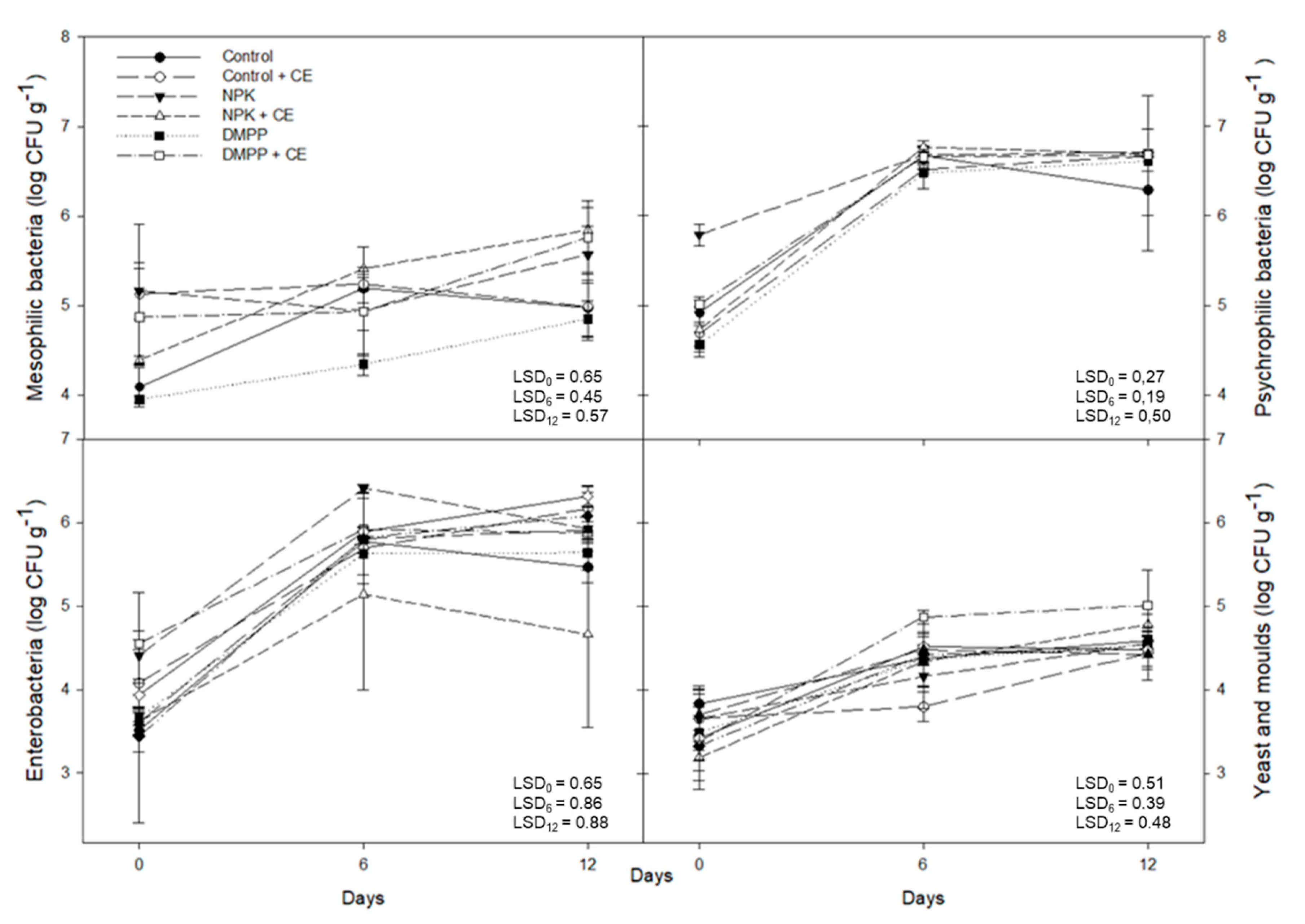
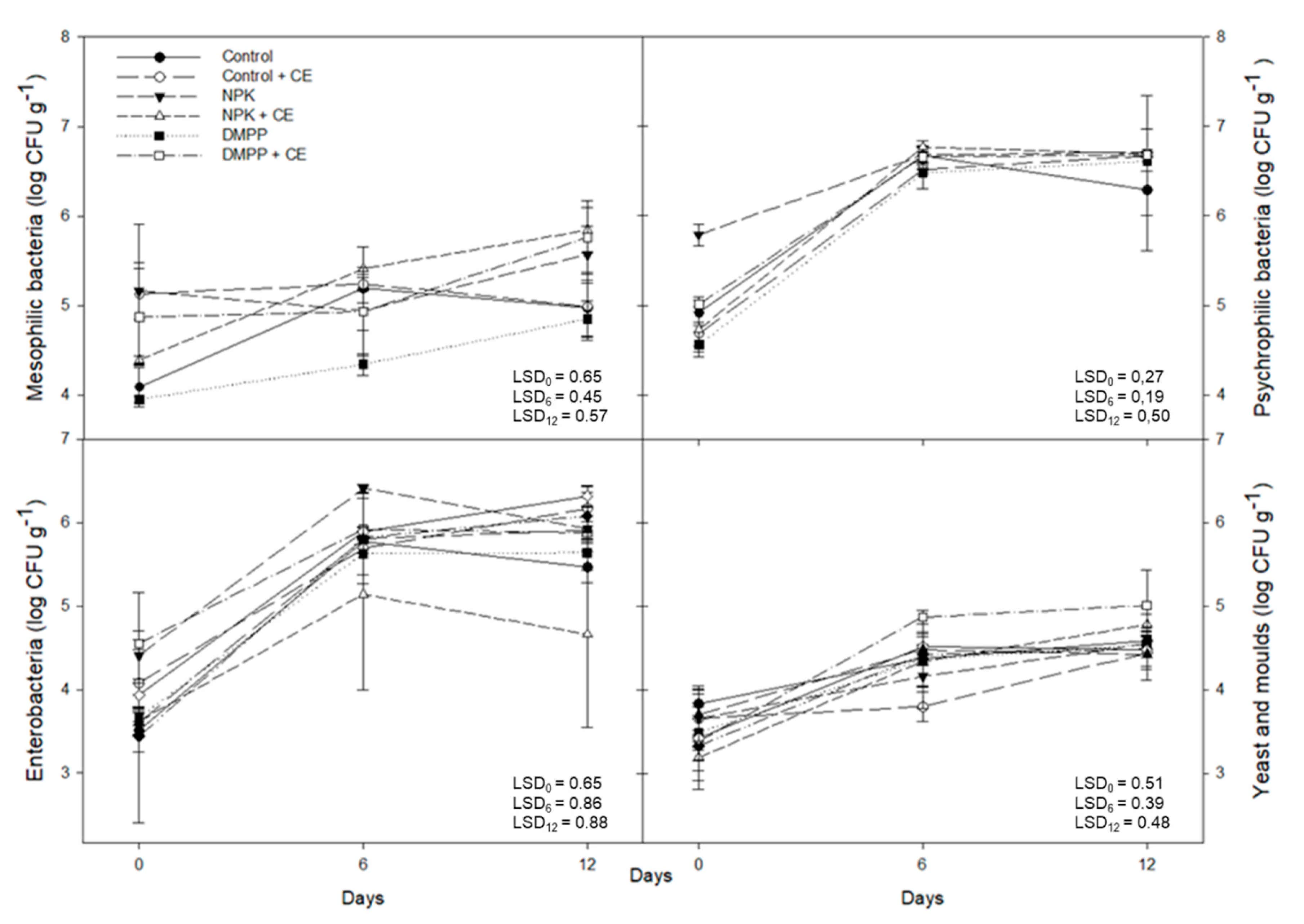
| Mesophilic aerobic bacteria (log CFU g−1) | *** | *** | ** |
| Psychrophilic aerobic bacteria (log CFU g−1) | *** | *** | *** |
| Enterobacteria (log CFU g−1) | *** | *** | n.s. |
| Yeast and moulds (log CFU g−1) | * | *** | ** |
Publisher’s Note: MDPI stays neutral with regard to jurisdictional claims in published maps and institutional affiliations. |
© 2021 by the authors. Licensee MDPI, Basel, Switzerland. This article is an open access article distributed under the terms and conditions of the Creative Commons Attribution (CC BY) license (http://creativecommons.org/licenses/by/4.0/).
Share and Cite
Giménez, A.; Gómez, P.A.; Bustamante, M.Á.; Pérez-Murcia, M.D.; Martínez-Sabater, E.; Ros, M.; Pascual, J.A.; Egea-Gilabert, C.; Fernández, J.A. Effect of Compost Extract Addition to Different Types of Fertilizers on Quality at Harvest and Shelf Life of Spinach. Agronomy 2021, 11, 632. https://doi.org/10.3390/agronomy11040632
Giménez A, Gómez PA, Bustamante MÁ, Pérez-Murcia MD, Martínez-Sabater E, Ros M, Pascual JA, Egea-Gilabert C, Fernández JA. Effect of Compost Extract Addition to Different Types of Fertilizers on Quality at Harvest and Shelf Life of Spinach. Agronomy. 2021; 11(4):632. https://doi.org/10.3390/agronomy11040632
Chicago/Turabian StyleGiménez, Almudena, Perla A. Gómez, María Ángeles Bustamante, María Dolores Pérez-Murcia, Encarnación Martínez-Sabater, Margarita Ros, José A. Pascual, Catalina Egea-Gilabert, and Juan A. Fernández. 2021. "Effect of Compost Extract Addition to Different Types of Fertilizers on Quality at Harvest and Shelf Life of Spinach" Agronomy 11, no. 4: 632. https://doi.org/10.3390/agronomy11040632
APA StyleGiménez, A., Gómez, P. A., Bustamante, M. Á., Pérez-Murcia, M. D., Martínez-Sabater, E., Ros, M., Pascual, J. A., Egea-Gilabert, C., & Fernández, J. A. (2021). Effect of Compost Extract Addition to Different Types of Fertilizers on Quality at Harvest and Shelf Life of Spinach. Agronomy, 11(4), 632. https://doi.org/10.3390/agronomy11040632

