Proximal Sensing of Nitrogen Needs by Spring Wheat
Abstract
1. Introduction
1.1. Wheat: Statistical Data
1.2. Proximal Sensing of Nitrogen
1.3. Image Processing, Machine Learning and Neural Network Analysis
1.4. Traditional Identification of Preplanting N Potential
1.5. Yield Model, Critical Nitrogen (Nc) and Nitrogen Nutritional Index (NNI)
1.6. Precision Nitrogen Management of Wheat
1.7. Objectives
1.7.1. The General Goal
1.7.2. Specific Objectives
- (A)
- Use an application of smartphone photos to calculate a deterministic dose of nitrogen fertilizer topdressing on spring wheat.
- (B)
- To compare the calculated N uptake by proximal sensing output with laboratory measurements.
- (C)
- To determine a new model for calculating critical nitrogen (Nc) on a basis of days after emergence (DAE) in order to reduce the time and labor requirements for canopy harvest.
- (D)
- To combine NNI and Nc levels for optimal nutritional management of spring wheat.
2. Materials and Methods
2.1. Smartphone Photographic Determination of Wheat Nitrogen Status
2.2. Greenhouse Lysimeters Trials
2.3. Field Experiments
2.4. Biomass Sampling (Greenhouse and Field Experiments)
2.5. Input/Output Data
2.6. Statistical Analysis
- (A)
- Root mean square error (RMSE) to evaluate usefulness and accuracy of the RGB trained by ANN software.where labi is the ith measurement of laboratory Nuptake analysis and cami is the ith result of the trained RGB photo. The number of comparisons made during the three experiments is n ≈ 90.
- RMSE was solved by Excel as in Equation (2)
- RMSE = SQRT(SUMSQ(C1:Cn)/COUNTA(C1:Cn)).
- (A)
- Relative accuracy/error. It refers to the closeness of a measured value to a “true” (reference) value. The “True” Nuptake value corresponds to the uptake of N measured by standard chemical laboratory.Accuracy = 1 − Relative errorEquation (4) gives the percent to which result of the camera RGB are conformed to the correct/reference values that are the laboratory analyses.
- (A)
- Data significance measure: Excel two tails at p = 0.05 t-test option was used to evaluate the significance level of the results by comparisons between laboratory and RGB results.
2.7. Summarizing Flowchart
2.8. Theory:The Algorithm for Fertilization Decision
2.8.1. Determination of Nc: New Approach
2.8.2. Determination of NNI
2.8.3. Determining N Deficiency
3. Results and Discussion
3.1. Comparison of Digital Camera and Laboratory Test Results
3.2. Experimental Study of Nc, NNI and Their Combination to Support Fertilization Decisions
3.2.1. Determination of Nc for Wheat
3.2.2. Determination of Nitrogen Nutrition Index (NNI)
3.2.3. Combining NNI and Nc to Determine N Deficiency
- NC = %Nc × DMc/100 Kg ha−1
- NNI = Nactual(t)/Nc(t) and Nactual(t) is the actual N uptake (Kg ha−1).
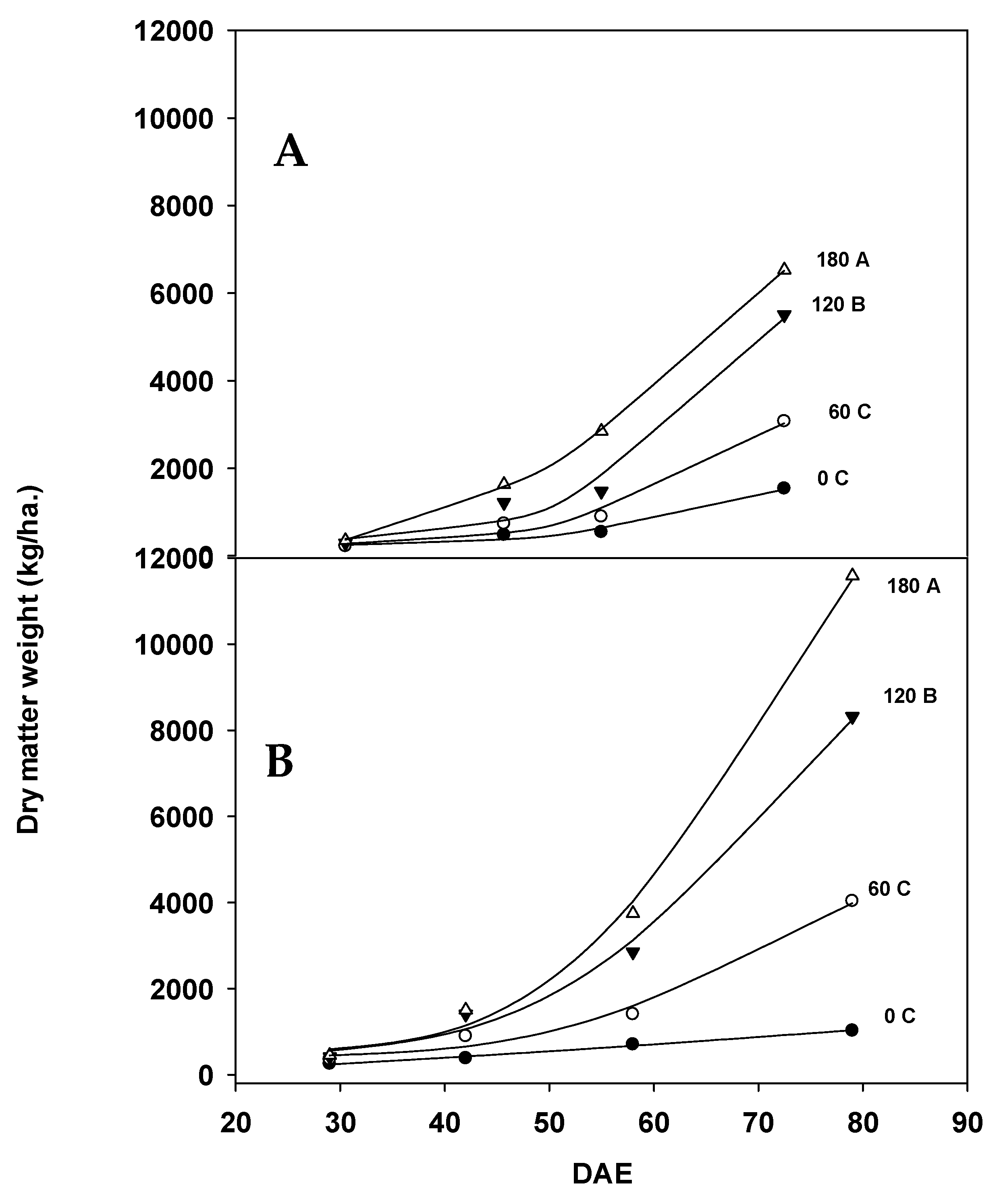
3.2.4. Accumulation of DM in the Lysimeters Experiments and Nitrogen use Efficiency (NUE)
4. Discussion
4.1. Proximal Nitrogen Sensing
4.2. Other Proximal Sensing Methods
4.3. Indirect Methods
5. Conclusions
Author Contributions
Funding
Conflicts of Interest
Abbreviations
| ANN | Artificial Neural Network (dimless) |
| DAE | Day After Emergence (days) |
| DM | Dry Matter (Kg ha−1) |
| DSSAT | Decision Support System for Agricultural Technology |
| DSS | Decision Support System |
| HI | Harvest Index (dimless) |
| Nc | Critical Nitrogen (g kg−1) |
| NNI | Nitrogen Nutritional Index (dimless) |
| RE | Relative Error (dimless) |
| RGB | Red Green Blue (wave bands) |
| RMSE | Root Mean Square Error |
| STDEV | Standard deviation |
References
- Gitelson, A.; Andre´s, A.V.V.C.; Rundquist, D.C.; Timothy, J.A. Remote estimation of canopy chlorophyll content in crops. Geophys. Res. Lett. 2005, 32, L08403. [Google Scholar] [CrossRef]
- Schlemmer, M.; Gitelson, A.; Schepers, J.; Ferguson, R.; Peng, Y.; Shanahan, J.; Rundquist, D. Remote estimation of nitrogen and chlorophyll contents in maize at leaf and canopy levels. Int. J. Appl. Earth Observ. Geoinf. 2013, 25, 47–54. [Google Scholar] [CrossRef]
- Clevers, J.G.P.W.; Gitelson, A. Remote estimation of crop and grass chlorophyll and nitrogen content using red-edge bands on Sentinel-2 and -3. Inter. J. Appl. Earth Observ. Geoinf. 2013, 23, 344–351. [Google Scholar] [CrossRef]
- Zilberman, A.; Ben-Asher, J.; Kopeika, N.S. Remote sensing in precision farming: Real-time monitoring of water and fertilizer requirements of agricultural crops. In Proceedings of the SPIE, Remote Sensing for Agriculture, Ecosystems, and Hydrology XVIII, Edinburgh, UK, 25 October 2016; Volume 9998, p. 99981R. [Google Scholar]
- Zilberman, A.; Ben-Asher, J.; Sarig, S.; Dudai, M.; Shlevin, E.; Kopeika, N.S. Applicability of digital color imaging for monitoring nitrogen uptake and fertilizer requirements in crops. In Proceedings of the SPIE 10783, Remote Sensing for Agriculture, Ecosystems, and Hydrology XX, Berlin, Germany, 10 October 2018; p. 107831Y. [Google Scholar] [CrossRef]
- Amir, J.; Ephrat, J. A biological method for evaluating N availability and forecasting N fertilizer needs. Agron. J. 1971, 63, 385–388. [Google Scholar] [CrossRef]
- Amir, J.; Mufradi, I.; Klitman, S.; Asido, S. Long-term comparative study of soil nitrate test Gilat plant indicator method and wheat nitrogen uptake. Plant Soil 1994, 158, 223–231. [Google Scholar] [CrossRef]
- Ram, O.; Aeizencot, A.; Richker, I. Nitrate testing in wheat plants at the age of three leaves using a manual device compared to a laboratory water extraction test. In Adjustment and Calibration, for the Purpose of Defining the need for Early Head Fertilization; Report Submitted to the Ministry of Agriculture: Bet Dagan, Israel, 2017. (In Hebrew) [Google Scholar]
- Mistele, B.; Schmidhalter, U. Estimating the nitrogen nutrition index using spectral canopy reflectance measurements. Eur. J. Agron. 2008, 29, 184–190. [Google Scholar] [CrossRef]
- Lemaire, G.; Gastal, F. Nitrogen uptake and distribution in plants canopies. In Diagnosis of Nitrogen Status in Crops; Lemaire, G., Ed.; Springer: Berlin, Germany, 1997; pp. 3–43. [Google Scholar]
- Gastal, F.; Lemaire, G. N uptake and distribution in crops: An agronomical and ecophysiological perspective. J. Exp. Bot. 2002, 53, 789–799. [Google Scholar] [CrossRef] [PubMed]
- Greenwood, D.J.; Lemaire, G.; Gosse, G.; Cruz, P.; Draycott, A.; Neeteson, J.J. Decline in percentage N of C3 and C4 crops with increasing plant mass. Ann. Bot. 1990, 66, 425–436. [Google Scholar] [CrossRef]
- Greenwood, D.J.; Gastal, F.; Lemaire, G.; Draycott, A.; Millard, P.; Neeteson, J.J. Growth rate and % N of field grown crops: Theory and experiments. Ann. Bot. 1991, 67, 181–190. [Google Scholar] [CrossRef]
- Justes, E.; Mary, B.; Machet, J.M. Determination of a critical nitrogen dilution curve for winter wheat crops. Ann. Bot. 1994, 74, 397–407. [Google Scholar] [CrossRef]
- Zhao, B.; Ata-UI-Karim, S.T.; Yao, X.; Tian, Y.C.; Cao, W.X.; Zhu, Y.; Liu, X.J. A new curve of critical nitrogen concentration based on spike dry matter for winter wheat in Eastern China. PLoS ONE 2016, 11, e0164545. [Google Scholar] [CrossRef] [PubMed]
- Tabak, M.; Lepiarczyk, A.; Filipek-Mazurand, B.; Lisowska, A. Efficiency of Nitrogen Fertilization of Winter Wheat Depending on Sulfur Fertilization. Agronomy 2020, 10, 1304. [Google Scholar] [CrossRef]
- Diacono, M.; Troccoli, A.; Girone, G.; Castrignanò, A. Field-scale variability and homogeneous zone delineation for some qualitative parameters of durum wheat semolina in Mediterranean environment. World J. Agric. Sci. 2011, 7, 286–290. [Google Scholar]
- Zadoks, J.C.; Chang, T.T.; Konzak, C.F. A decimal code for the growth stages of cereals. Weed Res. 1974, 14, 415–421. [Google Scholar] [CrossRef]
- Hoogenboom, G.; Porter, C.H.; Boote, K.J.; Shelia, V.; Wilkens, P.W.; Singh, U.; White, J.W.; Asseng, S.; Lizaso, J.I.; Moreno, L.P.; et al. The DSSAT crop modeling ecosystem. In Advances in Crop Modeling for a Sustainable Agriculture; Boote, K.J., Ed.; Burleigh Dodds Science Publishing: Cambridge, UK, 2019; pp. 173–216. [Google Scholar] [CrossRef]
- Bar-Yosef, B.; Ben Asher, J. Simulating the effect of potassium fertilization on carbon sequestration in soils. J. Plant Nutr. Soil Sci. 2013, 1–12. [Google Scholar] [CrossRef]
- Wang, X.; Ye, T.; Ata-Ul-Karim, S.T.; Zhu, Y.; Liu, L.; Cao, W.; Tang, L. Development of a Critical Nitrogen Dilution Curve Based on Leaf Area Duration in Wheat. Front. Plant Sci. 2017, 8, 1517. [Google Scholar] [CrossRef] [PubMed]
- Hoogmoed, M.; Sadras, V.O. Water Stress Scatters Nitrogen Dilution Curves in Wheat. Front. Plant Sci. 2018, 9, 406. [Google Scholar] [CrossRef]
- Aranguren, M.; Castellón, A.; Aizpurua, A. Crop Sensor-Based In-Season Nitrogen Management of Wheat with Manure Application. Remote Sens. 2019, 11, 1094. [Google Scholar] [CrossRef]
- Shlevin, E.; Zilberman, A.; Ben Asher, J. Theoretical determination of a critical nitrogen dilution curve based on the carrot case study. Agric. Res. 2018, 7, 239–244. [Google Scholar] [CrossRef]
- Ziadi, N.; Brassard, M.; Bélanger, G.; Claessens, A.; Tremblay, N.; Cambouris, A.N.; Nolin, M.C.; Parent, L.E. Chlorophyll measurements and nitrogen nutrition index for the evaluation of corn nitrogen status. Agron. J. 2008, 100, 1264–1273. [Google Scholar] [CrossRef]
- Ziadi, N.; Bélanger, G.; Claessens, A.; Lefebvre, L.; Cambouris, A.N.; Tremblay, N.; Nolin, M.C.; Parent, L.E. Determination of a Critical Nitrogen Dilution Curve for Spring Wheat. Agron J. 2010, 102, 241–249. [Google Scholar] [CrossRef]
- Weber, C.; Navarretea, F.; Peronab, L.; Acciaresib, H.A. Nitrogen status in wheat by radiometric response of its canopy. J. Plant Nutr. 2017, 40, 1–10. [Google Scholar] [CrossRef]
- Rosen, C.J.; Errebhi, M.; Wang, W. Testing Petiole Sap for Nitrate and Potassium: A Comparison of Several Analytical Procedures. Hortscience 1996, 31, 1173–1176. [Google Scholar] [CrossRef]
- Debaeke, P.; Rouet, P.; Justes, E. Relationship between the Normalized SPAD Index and the Nitrogen Nutrition Index: Application to durum wheat. J. Plant Nutr. 2006, 29, 72–92. [Google Scholar] [CrossRef]







| Treatment No. | N Application |
|---|---|
| 1 | No N application |
| 2 | 60 Kg N ha−1: basal application only |
| 3 | 120 Kg N ha−1: 60 basal + 60 topdressing |
| 4 | 180 Kg N ha−1: 60 basal + 120 topdressing |
| Treatment No. | N Application |
|---|---|
| 1 | 40 Kg N ha−1: basal application only |
| 2 | 100 Kg N ha−1: basal application only |
| 3 | 150 Kg N ha−1: basal application only |
| 4 | 90 Kg N ha−1: 40 basal + 50 topdressing |
| 5 | 150 Kg N ha−1: 100 basal + 50 topdressing |
| 6 | 200 Kg N ha−1: 150 basal + 50 topdressing |
| No. of Leaves | Cultivar | Year | Slope * | r2 |
|---|---|---|---|---|
| 3–4 | Zahir | 2018 | 0.78 | 0.84 |
| 3–4 | Ruta | 2018 | 0.92 | 0.88 |
| 6–7 | Zahir | 2018 | 0.98 | 0.91 |
| 6–7 | Ruta | 2018 | 1.07 | 0.93 |
| Flag leaf | Zahir | 2018 | 0.95 | 0.93 |
| Flag leaf | Ruta | 2018 | 1.02 | 0.92 |
| 3–4 | 3 cultivars | 2019 | 1.00 | 0.85 |
| 6–7 | 3 cultivars | 2019 | 1.00 | 0.82 |
| Heading | 2 cultivars | 2019 | 1.00 | 0.72 |
| Heading | Ruta | 2019 | 1.05 | 0.77 |
| Average | All cultivars | 2018–2019 | 0.98 | 0.86 |
| SD | All cultivars | 2018–2019 | 0.08 | 0.07 |
| N Application (kg 10,000 m−2) * | Correlation Equation Based on N Uptake (kg 10,000 m−2) | r2 |
|---|---|---|
| 0 | 0.2Nc = Nactual | 0.63 |
| 60 | 0.34 Nc = Nactual | 0.83 |
| 120 | 0.83Nc = Nactual | 0.83 |
| 180 | Nc = Nactual ** | 1 |
| DAE | DMc | STD | Fractional Nc | NNI = Nuptake/Nc | N Deficiency | NNI = Nuptake/Nc | N Deficiency |
|---|---|---|---|---|---|---|---|
| (Kg ha−1) | (Kg ha−1) | (%/100) | (Kg ha−1) | (Kg ha−1) | |||
| 0 | 0 | 0.06 | 0.2 | 0 | 0.8 | 0 | |
| 23 | 352 | 48 | 0.05 | 0.2 | 14.1 | 0.8 | 3.5 |
| 42 | 1632 | 245 | 0.04 | 0.2 | 52.2 | 0.8 | 13.1 |
| 65 | 2848 | 256 | 0.03 | 0.2 | 68.4 | 0.8 | 17.1 |
| 0 | 0 | 0.06 | 0.2 | 0 | 0.8 | 0 | |
| 23 | 448 | 40 | 0.05 | 0.2 | 17.9 | 0.8 | 4.5 |
| 42 | 1504 | 180 | 0.04 | 0.2 | 48.1 | 0.8 | 12 |
| 65 | 3744 | 562 | 0.03 | 0.2 | 89.9 | 0.8 | 22.5 |
| 79 | 11584 | 2317 | 0.03 | 0.2 | 278 | 0.8 | 69.5 |
| 0 | 0 | 0.06 | 0.2 | 0 | 0.8 | 0 | |
| 10 | 80 | 9 | 0.06 | 0.2 | 3.8 | 0.8 | 1 |
| 14 | 158 | 22 | 0.05 | 0.2 | 6.3 | 0.8 | 1.6 |
| 30 | 1818 | 145 | 0.06 | 0.2 | 87.3 | 0.8 | 21.8 |
| 44 | 4064 | 57 | 0.04 | 0.2 | 130 | 0.8 | 32.5 |
| Treatment No. | 2± | 2 SDEV | 3± | 3 SDEV | 4± | 4 SDEV |
|---|---|---|---|---|---|---|
| Total N units Kg ha−1 | 60 | 60 | 120 | 120 | 180 | 180 |
| DM Zahir Kg ha−1 | 3100 | 310 | 6192 | 742 | 6800 | 884 |
| NUE Kg DM Kg N−1 | 52 | 4.7 | 52 | 5.2 | 38 | 4.2 |
| DM Ruta Kg ha−1 | 4000 | 480 | 9360 | 842 | 11600 | 1160 |
| NUE Kg DM Kg N−1 | 67 | 10 | 78 | 6.24 | 64 | 5.8 |
Publisher’s Note: MDPI stays neutral with regard to jurisdictional claims in published maps and institutional affiliations. |
© 2021 by the authors. Licensee MDPI, Basel, Switzerland. This article is an open access article distributed under the terms and conditions of the Creative Commons Attribution (CC BY) license (http://creativecommons.org/licenses/by/4.0/).
Share and Cite
Sarig, S.; Shlevin, E.; Zilberman, A.; Richker, I.; Dudai, M.; Nezer, S.; Ben-Asher, J. Proximal Sensing of Nitrogen Needs by Spring Wheat. Agronomy 2021, 11, 437. https://doi.org/10.3390/agronomy11030437
Sarig S, Shlevin E, Zilberman A, Richker I, Dudai M, Nezer S, Ben-Asher J. Proximal Sensing of Nitrogen Needs by Spring Wheat. Agronomy. 2021; 11(3):437. https://doi.org/10.3390/agronomy11030437
Chicago/Turabian StyleSarig, Shlomo, Eli Shlevin, Arkadi Zilberman, Idan Richker, Mordechay Dudai, Shlomo Nezer, and Jiftah Ben-Asher. 2021. "Proximal Sensing of Nitrogen Needs by Spring Wheat" Agronomy 11, no. 3: 437. https://doi.org/10.3390/agronomy11030437
APA StyleSarig, S., Shlevin, E., Zilberman, A., Richker, I., Dudai, M., Nezer, S., & Ben-Asher, J. (2021). Proximal Sensing of Nitrogen Needs by Spring Wheat. Agronomy, 11(3), 437. https://doi.org/10.3390/agronomy11030437

