Efficacy of Post-Emergence Herbicides against Important Weeds of Sugarcane in North-East Thailand
Abstract
1. Introduction
2. Materials and Methods
2.1. Site Description and Experimental Design
2.2. Data Collection
2.3. Statistical Analysis
3. Results
3.1. Effects of Post-Emergence Herbicides in Weed Control
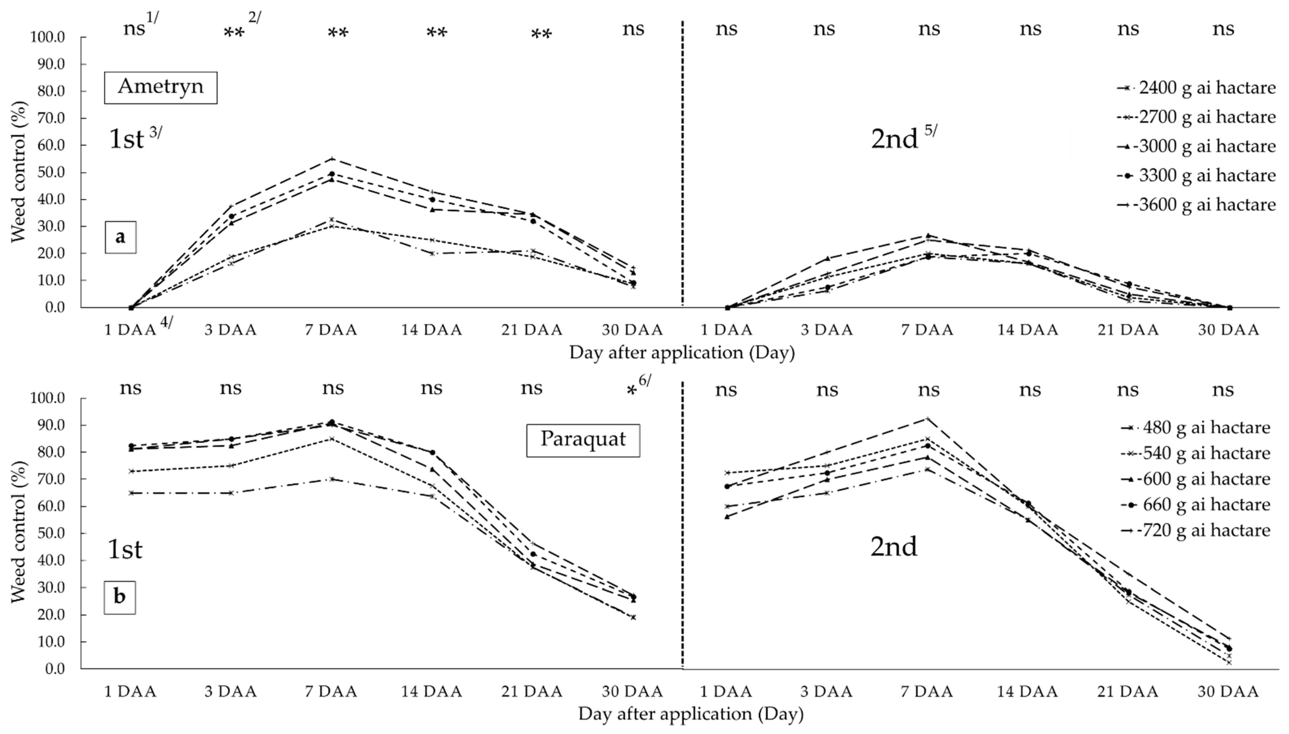
3.1.1. Weed Control and Weed Recovery in Experiment I
3.1.2. Weed Control and Weed Recovery in Experiment II
3.1.3. Weed Density and Weed Biomass
3.1.4. Weed Species Richness Occurring in Experiments I and II
3.2. Effects of Post-Emergence Herbicides on Phytotoxicity of Herbicides on Sugarcane, Yield and Yield Components
3.2.1. Phytotoxicity and Recovery on Sugarcane in Experiment I and Experiment II
3.2.2. Herbicide Application Effects to Yield and Yield Components of Sugarcane
4. Discussion
5. Conclusions
Supplementary Materials
Author Contributions
Funding
Acknowledgments
Conflicts of Interest
References
- Mehra, S.P.; Kanwar, R.S.; Brar, L.S. Weed management in spring-planted sugarcane. J. Res. Punjab. Agric. Univ. 1990, 27, 401–407. [Google Scholar]
- Zafar, M.; Tanveer, A.S.I.F.; Cheema, Z.A.; Ashraf, M. Weed-crop competition effects on growth and yield of sugarcane planted using two methods. Pak. J. Bot 2010, 42, 815–823. [Google Scholar]
- Yirefu, F.; Tana, T.; Tafesse, A.; Zekarias, Y. Weed interference in the sugarcane (Saccharum officinarum L.) plantations of Ethiopia. Agric. For. Fish. 2013, 2, 239–247. [Google Scholar] [CrossRef][Green Version]
- Farooq, M.A.; Haider, K.; Ahmad, S.; Zubair, M.; Afghan, S. Efficacy of different post-emergence chemical application for summer weeds management in sugarcane. Pak. Sugar J. 2014, 29, 16. [Google Scholar]
- Zimdhal, R.L. Weed Crop Competition: A Review; International Plant Protection Centre, Oregon state University: Corvallis, OR, USA, 1980; pp. 68–69. [Google Scholar]
- Suwanarak, K. Weed management in sugarcane in Thailand. Weed Manag. IN Sugarcane Thail. 1990, 38, 199–214. [Google Scholar]
- Marshall, E.J.P.; Brown, V.K.; Boatman, N.D.; Lutman, P.J.W.; Squire, G.R.; Ward, L.K. The role of weeds in supporting biological diversity within crop fields. Weed Res. 2003, 43, 77–89. [Google Scholar] [CrossRef]
- Pinke, G.; Pál, R.; Botta-Dukát, Z. Effects of environmental factors on weed species composition of cereal and stubble fields in western Hungary. Open Life Sci. 2010, 5, 283–292. [Google Scholar] [CrossRef]
- Nagy, K.; Lengyel, A.; Kovács, A.; Türei, D.; Csergő, A.M.; Pinke, G. Weed species composition of small-scale farmlands bears a strong crop-related and environmental signature. Weed Res. 2018, 58, 46–56. [Google Scholar] [CrossRef]
- Food and Agriculture Organization of the United Nations FAO. Crops and Livestock Products. Available online: http://www.fao.org/faostat/en/#data/QC (accessed on 7 February 2020).
- Tippayawat, A.; Ponragdee, W.; Sansayawichai, T. Characteristics of Thai sugarcane (Saccharum spp. hybrids) cultivars and potential for utilization. Khon Kaen Agric. J. 2012, 40, 53–59. [Google Scholar]
- Manivong, P.; Bourgois, E. White Paper: Thai Sugarcane Sector and Sustainability. 2017. Available online: https://www.bonsucro.com/wp-content/uploads/2017/08/Thai-White-Paper-FINAL-LowRes.docx.pdf (accessed on 17 August 2020).
- Heuzé, V.; Tran, G.; Maxin, G.; Lebas, F. Egyptian Crowfoot Grass (Dactyloctenium aegyptium). Feedipedia, A Programme by INRA, CIRAD, AFZ and FAO. 2015. Available online: https://www.feedipedia.org/node/465 (accessed on 3 January 2020).
- Skerman, P.J.; Riveros, F. Tropical Grasses; FAO Plant Production and Protection Series No. 23; FAO and UN: Rome, Italy, 1990; pp. 323–327. [Google Scholar]
- Huang, H.; Guo, S.; Chen, G. Reproductive biology in an invasive plant Solidago canadensis. Front. Biol. China 2007, 2, 196–204. [Google Scholar] [CrossRef]
- Suwanarak, K. Weed in sugarcane Fields. Thai Agric. Res, J. 1994, 12, 222. [Google Scholar]
- KALRO-Sugar Research Institute. Sugarcane Weed Management in Kenya’s Sugar Industry; Sugarcane Breeding Centre—Mtwapa of Bamburi: Bamburi, Kenya, 2015; pp. 7–14. [Google Scholar]
- Sutthiwaree, P.; Sananarong, A.; Khaehanchanpong, Y.; Chamsing, A.; Wannarong, K.; Sangpanta, P.; Veeriyanon, S.; Pamart, K.; Arawin, N. Research and development of spring tine attached to small Tractor for sugarcane weeder. Thai Agric. Res. J. 2010, 28, 157–169. [Google Scholar]
- Heri, W.; Pfister, F.; Carroll, B.; Parshley, T.; Nabors, J.B. Production, development, and registration of triazine herbicides. In The Triazines Herbicides; Agricultural Chemistry Consultant: Greensboro, NC, USA, 2008; pp. 31–43. [Google Scholar] [CrossRef]
- Heggen, R.J. Floating Islands: An Activity Book. 2015. Available online: https://archive.org/details/FloatingIslands/page/n865/mode/2up (accessed on 15 June 2020).
- Senseman, S.A. Herbicide Handbook, 9th ed.; Weed Science Society of America: Lawrence, KS, USA, 2007; pp. 126–188. [Google Scholar]
- Chagas, R.M.; Silveira, J.A.; Ribeiro, R.V.; Vitorello, V.A.; Carrer, H. Photochemical damage and comparative performance of superoxide dismutase and ascorbate peroxidase in sugarcane leaves exposed to paraquat-induced oxidative stress. Pestic. Biochem. Physiol. 2008, 90, 181–188. [Google Scholar] [CrossRef]
- Richardson, E. Critical growth stages for 2, 4-D phytotoxicity to sugarcane in South Africa. In Proceedings of the South African Sugar Technologists’ Association, Durban, South Africa, 17–21 June 1972; Volume 6, pp. 168–175. [Google Scholar]
- Azania, C.A.M.; Pinto, L.R.; Adriano, R.C.; Perecin, D.; Azania, A.P. The Use of Glyphosate in Sugarcane: A Brazilian Experience. Herbic. Curr. Res. Case Stud. Use 2013, 153–173. [Google Scholar] [CrossRef]
- Ghanbarpour, N.; Zand, E.; Sajedi, N. Efficacy of post-emergence herbicide for managing Diplachne fusca in sugarcane field. Aust. J. Basic Appl. Sci. 2015, 3, 108–117. [Google Scholar]
- Takim, F.O.; Suleiman, M.A.; Omotosho, S.B. Efficacy of ametryn herbicides on weeds in rainfed and irrigated sugarcane fields in southern guinea savanna ecology of Nigeria. Pak. J. Weed Sci. Res. 2016, 22, 353–363. [Google Scholar]
- da Silva, A.F.; Galon, L.; Concenço, G.; Aspiazú, I.; Ferreira, E.A.; Tironi, S.P.; da Silva, A.A. Sugarcane cultivars present differential susceptibility to herbicides ametryn and trifloxysulfuron-sodium. Aust. J. Crop Sci. 2014, 8, 965–972. [Google Scholar]
- Simões, P.S.; Carbonari, C.A.; Nascentes, R.F.; Stasievski, A.; Velini, E.D. Selectivity of herbicides inhibitors of photosystem II for sugarcane cultivars. Planta Daninha 2016, 34, 803–814. [Google Scholar] [CrossRef][Green Version]
- Pavani, A.A.; Guimarães, A.C.R.; Brunharo, C.A.D.C.G.; Christoffoleti, P.J. Physiological characterization of sugarcane varieties under oxidative stress caused by the herbicide paraquat. Científica 2015, 43, 43–49. [Google Scholar] [CrossRef][Green Version]
- Forestry and Fisheries. Sugarcane Production Guideline. Department of Agriculture, Forestry and Fisheries. 2014. Available online: https://www.dalrrd.gov.za/Portals/0/Brochures%20and%20Production%20guidelines/sugar%20cane%20prodocution%20%20guideline.pdf (accessed on 10 January 2020).
- Frans, R.E.; Talbert, R.E. Design of Field Experiments and the Measurement and [statistical] Analysis of Plant Responses. In Research Methods in Weed Science; Southern Weed Science Society; Truelove, B., Ed.; Auburn University: Auburn, AL, USA, 1977; pp. 15–23. [Google Scholar]
- Noda, K.; Teerawatsakul, M.; Prakongvongs, C.; Chaiwiratnukul, L. Major Weed in Thailand; MASS & MEDIAS Co., LTD.: Bangkok, Thailand, 1994; pp. 1–164. [Google Scholar]
- Albertson, P.L.; Grof, C.P. The effect of hexose upon Pol, Brix and calculated CCS in sugarcane: A potential for negative Pol bias in juice from actively growing cane. J. Am. Soc. Sugar Cane Technol. 2014, 24, 185–198. [Google Scholar]
- Lencse, R.J. Itch Grass Interference and Control in Sugarcane in Louisiana. Ph.D. Thesis, Louisiana State University and Agricultural and Mechanical College, Louisiana, LA, USA, 1990. [Google Scholar]
- da Silva, A.A.; de Oliveira Junior, R.S.; da Costa, E.R.; Ferreira, L.R.; Constantin, J.; Apoloni, D.K.M.; de Oliveira, M.F. Persistência de herbicidas do grupo das imidazolinonas e efeitos sobre as culturas sucessoras de milho e sorgo. Acta Sci. Agron. 1999, 21, 459–465. [Google Scholar] [CrossRef]
- USEPA. Reregistration Eligibility Decision (RED) for ametryn. The United States Environmental Protection Agency, EPA 738-R-05-006. Available online: https://archive.epa.gov/pesticides/reregistration/web/pdf/ametryn_red.pdf (accessed on 20 June 2019).
- Konthonbut, P.; Kongtip, P.; Nankongnab, N.; Tipayamongkholgul, M.; Yoosook, W.; Woskie, S. Paraquat exposure of pregnant women and neonates in agricultural areas in Thailand. Int. J. Environ. Res. Public Health. 2018, 15, 1163. [Google Scholar] [CrossRef]
- Watts, M. Paraquat. Available online: http://wssroc.agron.ntu.edu.tw/note/Paraquat.pdf (accessed on 10 June 2020).
- Gebreegziabher, W.; Ram, S.V.; Samuel, T. Assessment of Critical Period of Weed Competition in Sugarcane (Saccharum spp. Hybrid) at Tana Beles Sugar Development Project, Ethiopia. Int. J. Adv. Res. Biol. Sci. 2018, 5, 91–99. [Google Scholar] [CrossRef]
- Nurse, R.E.; Hamill, A.S.; Swanton, C.J.; Tardif, F.J.; Sikkema, P.H. Weed control and yield response to foramsulfuron in corn. Weed Technol. 2007, 21, 453–458. [Google Scholar] [CrossRef]
- Takim, F.O.; Amodu, A. Quantitative estimate of weeds of sugarcane (Saccharum officinarum L.) crop in Ilorin, Southern Guinea Savanna of Nigeria. Ethiop J. Environ. Stud. Manag. 2013, 6, 611–619. [Google Scholar] [CrossRef][Green Version]
- Murugan, G.; Kathiresan, R. Ecological studies on weeds of sugarcane fields. Plant Arch. 2010, 10, 667–669. [Google Scholar]
- Bogdan, A.V. Tropical Pasture and Fodder Plants; Tropical Agriculture Series; Longman: New York, NY, USA, 1977; p. 475. [Google Scholar]
- Holm, L.; Pancho, J.V.; Herberger, J.P.; Plucknett, D.L. A Geographical Atlas of World Weeds; John Wiley & Sons: New York, NY, USA, 1979; p. 391. [Google Scholar]
- Quattrocchi, U. CRC World Dictionary of Grasses: Common Names, Scientific Names, Eponyms, Synonyms, and Etymology-3 Volume Set; CRC Press Taylor and Francis Group: Boca Raton, FL, USA, 2006; pp. 269–410. [Google Scholar] [CrossRef]
- Kalaiyarasi, D. Evaluation of Sulfentrazone for Weed Control in Sugarcane and Its Residual Effect on Succeeding Crops. Ph.D. Thesis, Tamil Nadu Agricultural University, Coimbatore, India, 2012. [Google Scholar]
- Moorthy, B.T.S. Effect of methods of land preparation and herbicide use on weed control and crop performance of rainfed upland rice (Oryza sativa) in coastal Orissa. Indian J. Agric. Sci. 1992, 62, 382–386. [Google Scholar]
- Abraham, C.T.; Singh, S.P. Control weeds in row crops by intercropping with legumes. Indian Farming 1986, 36, 33–34. [Google Scholar]
- Chauhan, B.S. Crowfoot grass (Dactyloctenium aegyptium) germination and response to herbicides in the Philippines. Weed Sci. 2011, 59, 512–516. [Google Scholar] [CrossRef]
- Waterhouse, B.M. Know your enemy: Recent records of potentially serious weeds in northern Australia, Papua New Guinea and Papua (Indonesia). Telopea 2003, 10, 477–485. [Google Scholar] [CrossRef]
- Intanon, S.; Wiengmoon, B.; Mallory-Smith, C.A. Seed morphology and allelopathy of invasive Praxelis clematidea. Not. Bot. Hort. Agrobot. Cluj. 2020, 48, 261–272. [Google Scholar] [CrossRef]
- Khamare, Y.; Marble, S.C.; Boyd, N.S.; Steed, S.T. PRE and POST control of Praxelis clematidea, an emerging weed in Florida nursery production. Weed Technol. 2020, 34, 779–786. [Google Scholar] [CrossRef]
- Clayton, W.D.; Vorontsova, M.S.; Harman, K.T.; Williamson, H. Grass Base-The Online World Grass Flora. Available online: http://www.kew.org/data/grasses-db/www/imp07790.htm (accessed on 14 January 2020).
- IPPC. International Plant Protection Convention of Thailand. Plant pest in Thailand. Pennisetum polystachyon. Available online: http://ippc.acfs.go.th/pest/G001/T010/WEED065 (accessed on 14 June 2020).
- Galinato, M.I. Upland Rice Weeds of South and Southeast Asia; International Rice Research Institute: Makati City, Philippines, 1999; pp. 156–157. [Google Scholar]
- Manidool, C. Brachiaria distachya (PROSEA). Plant Use English. Available online: https://uses.plantnet-project.org/en/Brachiaria_distachya_(PROSEA) (accessed on 4 June 2020).
- Wongkaew, P.; Hanboonsong, Y.; Sirithorn, P.; Choosai, C.; Boonkrong, S.; Tinnangwattana, T.; Damak, S. Differentiation of phytoplasmas associated with sugarcane and gramineous weed white leaf disease and sugarcane grassy shoot disease by RFLP and sequencing. Theor. Appl. Genet. 1997, 95, 660–663. [Google Scholar] [CrossRef]
- Sarindu, N.; Clark, M.F. Antibody production and identity of MLOs associated with sugarcane whiteleaf disease and bermudagrass whiteleaf disease from Thailand. Plant Pathol. 1993, 42, 396–402. [Google Scholar] [CrossRef]
- Nakashima, K.; Chaleeprom, W.; Wongkaew, P.; Sirithorn, P. Detection of mycoplasma-like organisms associated with white leaf disease of sugarcane in Thailand using DNA probes. JIRCAS J. 1994, 1, 57–67. [Google Scholar]
- Nakashima, K.; Hayashi, T.; Chaleeprom, W.; Wongkaew, P.; Sirithorn, P. Complex phytoplasma flora in northeast Thailand as revealed by 16S rDNA analysis. Ann. Phytopathol. Soc. Jpn. 1996, 62, 57–60. [Google Scholar] [CrossRef]
- Manidool, C. Brachiaria distachya (L.) Stapf. Record from Proseabase; Mannetje, L., Jones, R.M., Eds.; PROSEA (Plant Resources of South-East Asia) Foundation: Bogor, Indonesia; Available online: http://proseanet.org/prosea/e-prosea_detail.php?frt=&id=1844 (accessed on 4 June 2020).
- Santos, F.; Borém, A.; Caldas, C. (Eds.) Sugarcane: Agricultural Production, Bioenergy and Ethanol; Academic Press: Cambridge, UK, 2015; pp. 148–150. [Google Scholar]
- Richardson, F.E. Injury to sugarcane by 2, 4-D formulations. S. Afr. Sugar Technol. Assoc. 1969, 43, 122–129. [Google Scholar]
- Richard, E.P., Jr. Response of sugarcane (Saccharum sp.) cultivars to preemergence herbicides. Weed Technol. 1989, 3, 358–363. [Google Scholar] [CrossRef]
- Zhang, J.; Zheng, L.; Jäck, O.; Yan, D.; Zhang, Z.; Gerhards, R.; Ni, H. Efficacy of four post-emergence herbicides applied at reduced doses on weeds in summer maize (Zea mays L.) fields in North China Plain. Crop Prot. 2013, 52, 26–32. [Google Scholar] [CrossRef]






| Treatments | Weed Control (%) | Weed Recovery (Day) 2/ | |||||
|---|---|---|---|---|---|---|---|
| 1 DAA 1/ | 3 DAA | 7 DAA | 14 DAA | 21 DAA | 30 DAA | ||
| Ametryn (g ai ha−1) | |||||||
| 2400 | 0.0 | 16.3 | 28.8 | 12.5 | 2.5 | 0.0 | 12 |
| 2700 | 0.0 | 13.3 | 35.0 | 15.0 | 3.8 | 0.0 | 13 |
| 3000 | 0.0 | 12.5 | 28.8 | 18.8 | 2.5 | 0.0 | 12 |
| 3300 | 0.0 | 12.5 | 25.0 | 15.0 | 5.0 | 0.0 | 11 |
| 3600 | 0.0 | 17.5 | 28.8 | 13.8 | 7.5 | 0.0 | 12 |
| F-test | ns | ns | ns | ns | ns | ns | ns |
| CV % | 0.0 | 32.8 | 35.5 | 37.1 | 42.6 | 0.0 | 20.7 |
| Paraquat (g ai ha−1) | |||||||
| 480 | 76.3 | 95.0 | 93.8 | 67.5 | 30.0 b 3/ | 6.3 c | 18 b |
| 540 | 75.0 | 97.5 | 97.5 | 73.8 | 37.5 a | 11.3 ab | 21 a |
| 600 | 82.5 | 95.0 | 95.0 | 66.3 | 37.5 a | 10.0 bc | 20 ab |
| 660 | 75.0 | 93.8 | 95.0 | 71.3 | 38.8 a | 11.3 ab | 20 ab |
| 720 | 77.5 | 100.0 | 100.0 | 70.0 | 42.5 a | 15.0 a | 21 a |
| F-test | ns 4/ | ns | ns | ns | ** 5/ | ** | * 6/ |
| CV % | 9.0 | 6.7 | 5.9 | 9.3 | 9.8 | 24.4 | 6.7 |
| Treatments | Weed Recovery (Days) 1/ | |
|---|---|---|
| 1st Application (Tillering Stage) | 2nd Application (Stalk Elongation Stage) | |
| Ametryn (g ai ha−1) | ||
| 2400 | 15 | 12 |
| 2700 | 15 | 13 |
| 3000 | 17 | 12 |
| 3300 | 17 | 14 |
| 3600 | 18 | 12 |
| F-test | ns | ns |
| CV % | 9.4 | 19.8 |
| Paraquat (g ai ha−1) | ||
| 480 | 14 b 2/ | 17 |
| 540 | 15 b | 19 |
| 600 | 20 a | 18 |
| 660 | 20 a | 18 |
| 720 | 22 a | 19 |
| F-test | ** 3/ | ns 4/ |
| CV % | 7.0 | 10.8 |
| Treatments | Phytotoxicity of Herbicides on Sugarcane (%) | Sugarcane Recovery (Day) 2/ | |||||
|---|---|---|---|---|---|---|---|
| 1 DAA 1/ | 3 DAA | 7 DAA | 14 DAA | 21 DAA | 30 DAA | ||
| Ametryn (g ai ha−1) | |||||||
| 2400 | 0.0 | 0.0 | 13.8 | 5.0 | 0.0 | 0.0 | 12 |
| 2700 | 0.0 | 0.0 | 20.0 | 7.5 | 0.0 | 0.0 | 13 |
| 3000 | 0.0 | 0.0 | 13.8 | 3.8 | 0.0 | 0.0 | 13 |
| 3300 | 0.0 | 0.0 | 13.8 | 7.5 | 0.0 | 0.0 | 13 |
| 3600 | 0.0 | 0.0 | 12.5 | 8.8 | 0.0 | 0.0 | 12 |
| F-test | ns 3/ | ns | ns | ns | ns | ns | ns |
| CV % | 0.0 | 0.0 | 30.2 | 53.0 | 0.0 | 0.0 | 10.5 |
| Paraquat (g ai ha−1) | |||||||
| 480 | 55.0 | 81.3 | 81.3 | 62.5 | 36.3 | 12.5 | 19 |
| 540 | 53.8 | 88.8 | 88.8 | 63.8 | 37.5 | 16.3 | 19 |
| 600 | 55.0 | 87.5 | 87.5 | 68.8 | 32.5 | 12.5 | 18 |
| 660 | 60.0 | 83.8 | 83.8 | 65.0 | 33.8 | 12.5 | 18 |
| 720 | 63.8 | 86.3 | 91.3 | 71.3 | 33.8 | 16.3 | 20 |
| F-test | ns | ns | ns | ns | ns | ns | ns |
| CV % | 14.3 | 9.3 | 6.8 | 13.4 | 22.9 | 35.3 | 8.9 |
| Treatments | Phytotoxicity of Herbicides on Sugarcane (%) | |||||||||||||
|---|---|---|---|---|---|---|---|---|---|---|---|---|---|---|
| 1st Herbicides Application | Sugarcane Recovery (Days) 2/ | 2nd Herbicides Application | Sugarcane Recovery (Days) | |||||||||||
| 1 DAA 1/ | 3 DAA | 7 DAA | 14 DAA | 21 DAA | 30 DAA | 1 DAA | 3 DAA | 7 DAA | 14 DAA | 21 DAA | 30 DAA | |||
| Ametryn (g ai ha−1) | ||||||||||||||
| 2400 | 0.0 | 13.8 c 3/ | 16.3 c | 20.0 b | 14.5 c | 7.5 c | 15 bc | 0.0 | 0.0 | 12.5 b | 12.5 | 0.0 b | 0.0 | 14 |
| 2700 | 0.0 | 16.3 bc | 18.8 bc | 20.0 b | 15.8 c | 9.8 bc | 13 c | 0.0 | 0.0 | 10.0 b | 15.0 | 8.8 a | 0.0 | 16 |
| 3000 | 0.0 | 26.3 a | 31.3 a | 35.0 a | 20.5 bc | 13.3 ab | 16 ab | 0.0 | 0.0 | 16.8 b | 12.5 | 7.5 a | 0.0 | 14 |
| 3300 | 0.0 | 23.8 ab | 27.5 a | 36.3 a | 25.8 ab | 10.0 bc | 16 ab | 0.0 | 0.0 | 13.8 b | 18.8 | 8.8 a | 0.0 | 16 |
| 3600 | 0.0 | 23.8 ab | 25.0 ab | 35.0 a | 30.3 a | 16.8 a | 18 a | 0.0 | 0.0 | 26.3 a | 22.5 | 11.3 a | 0.0 | 17 |
| F-test | ns 4/ | * 5/ | ** 6/ | ** | ** | * | ** | ns | ns | ** | ns | ** | ns | ns |
| CV % | 0.0 | 26.4 | 19.9 | 13.8 | 22.7 | 29.2 | 9.1 | 0.0 | 0.0 | 32.5 | 36.4 | 35.1 | 0.0 | 12.1 |
| Paraquat (g ai ha−1) | ||||||||||||||
| 480 | 75.0 b | 80.8 b | 61.3 b | 54.5 b | 30.0 c | 15.3 c | 15 b | 65.0 a | 64.3 | 70.0 c | 58.8 | 35.0 b | 17.5 b | 18 bc |
| 540 | 57.5 c | 63.8 c | 77.5 a | 60.0 b | 37.5 b | 16.3 bc | 15 b | 65.0 a | 72.5 | 73.8 bc | 52.5 | 28.8 b | 10.0 c | 17 c |
| 600 | 82.5 ab | 87.5 ab | 85.0 a | 72.5 a | 39.5 ab | 19.3 ab | 19 a | 50.0 b | 67.5 | 76.3 a-c | 61.8 | 38.3 b | 14.3 bc | 20 ab |
| 660 | 88.8 a | 90.0 ab | 87.5 a | 75.0 a | 41.3 ab | 19.5 ab | 19 a | 67.5 a | 70.0 | 81.3 ab | 62.5 | 40.0 ab | 17.5 b | 20 ab |
| 720 | 90.0 a | 93.8 a | 90.0 a | 81.3 a | 45.5 a | 21.5 a | 22 a | 70.0 a | 70.0 | 82.5 a | 66.3 | 50.0 a | 23.8 a | 22 a |
| F-test | ** | ** | ** | ** | ** | * | ** | * | ns | * | ns | * | ** | * |
| CV % | 10.8 | 10.0 | 11.0 | 11.1 | 10.4 | 12.3 | 10.6 | 12.0 | 17.3 | 6.6 | 10.5 | 19.7 | 23.8 | 9.6 |
| Treatments | Experiment I | Experiment II | ||||
|---|---|---|---|---|---|---|
| Cane Stand (stalk ha−1) | Cane Yield (ton ha−1) | C.C.S. (ccs) | Cane Stand (stalk ha−1) | Cane Yield (ton ha−1) | C.C.S. (ccs) | |
| Ametryn (g ai ha−1) | ||||||
| Weedy | 62,421 | 95.3 | 14.1 | 60,185 b 1/ | 29.7 c | 16.7 |
| 2400 | 73,611 | 101.5 | 15.7 | 54,630 b | 55.7 b | 16.9 |
| 2700 | 79,630 | 113.1 | 15.2 | 63,194 b | 88.3 a | 17.8 |
| 3000 | 80,273 | 119.6 | 16.2 | 54,782 b | 80.1 a | 17.3 |
| 3300 | 84,491 | 128.8 | 15.6 | 64,943 b | 88.8 a | 16.9 |
| 3600 | 72,068 | 123.8 | 15.2 | 60,185 b | 89.4 a | 17.6 |
| Weed-free | 88,194 | 134.5 | 14.7 | 78,472 a | 90.8 a | 16.1 |
| F-test | ns 2/ | ns | ns | * 3/ | ** 4/ | ns |
| CV % | 13.5 | 16.3 | 11.1 | 13.1 | 13.1 | 4.9 |
| Paraquat (g ai ha−1) | ||||||
| Weedy | 44,745 bc | 56.6 bc | 16.0 | 37,500 c | 62.9 c | 16.5 |
| 480 | 56,713 ab | 91.0 ab | 15.7 | 40,104 c | 65.0 c | 15.8 |
| 540 | 57,043 ab | 69.4 b | 16.2 | 55,057 b | 63.0 c | 16.4 |
| 600 | 47,454 bc | 69.0 b | 16.5 | 70,486 a | 94.6 b | 16.6 |
| 660 | 43,772 bc | 54.9 bc | 16.0 | 32,292 c | 22.1 d | 16.8 |
| 720 | 25,301 c | 31.2 c | 16.4 | 32,407 c | 26.6 d | 17.3 |
| Weed-free | 79,398 a | 117.1 a | 15.9 | 82,292 a | 113.8 a | 16.9 |
| F-test | * | ** | ns | ** | ** | ns |
| CV % | 32.4 | 24.8 | 5.7 | 16.2 | 14.0 | 5.0 |
Publisher’s Note: MDPI stays neutral with regard to jurisdictional claims in published maps and institutional affiliations. |
© 2021 by the authors. Licensee MDPI, Basel, Switzerland. This article is an open access article distributed under the terms and conditions of the Creative Commons Attribution (CC BY) license (http://creativecommons.org/licenses/by/4.0/).
Share and Cite
Aekrathok, P.; Songsri, P.; Jongrungklang, N.; Gonkhamdee, S. Efficacy of Post-Emergence Herbicides against Important Weeds of Sugarcane in North-East Thailand. Agronomy 2021, 11, 429. https://doi.org/10.3390/agronomy11030429
Aekrathok P, Songsri P, Jongrungklang N, Gonkhamdee S. Efficacy of Post-Emergence Herbicides against Important Weeds of Sugarcane in North-East Thailand. Agronomy. 2021; 11(3):429. https://doi.org/10.3390/agronomy11030429
Chicago/Turabian StyleAekrathok, Phitsanu, Patcharin Songsri, Nuntawoot Jongrungklang, and Santimaitree Gonkhamdee. 2021. "Efficacy of Post-Emergence Herbicides against Important Weeds of Sugarcane in North-East Thailand" Agronomy 11, no. 3: 429. https://doi.org/10.3390/agronomy11030429
APA StyleAekrathok, P., Songsri, P., Jongrungklang, N., & Gonkhamdee, S. (2021). Efficacy of Post-Emergence Herbicides against Important Weeds of Sugarcane in North-East Thailand. Agronomy, 11(3), 429. https://doi.org/10.3390/agronomy11030429
