Evaluation of Image-Based Phenotyping Methods for Measuring Water Yam (Dioscorea alata L.) Growth and Nitrogen Nutritional Status under Greenhouse and Field Conditions
Abstract
1. Introduction
2. Materials and Methods
2.1. Greenhouse Experiments
2.1.1. Plant Material, Growth Conditions and Experimental Design
2.1.2. Sampling and Measurements
Destructive Sampling for Biomass Production, Total Leaf Area and Leaf N Content
Non-Destructive Sampling for Leaf Number and SPAD Values Analysis
2.2. Field Experiment
2.2.1. Site Description
2.2.2. Experimental Design
2.2.3. Installation of the Field Experiment
2.2.4. Sampling and Measurements
2.3. Imaging Devices, Acquisition, and Analysis
2.3.1. Imaging in the Greenhouse Experiment
2.3.2. Imaging in the Field Experiment
2.3.3. Image Processing and Analysis in the Greenhouse and Field Experiment
2.4. Statistics
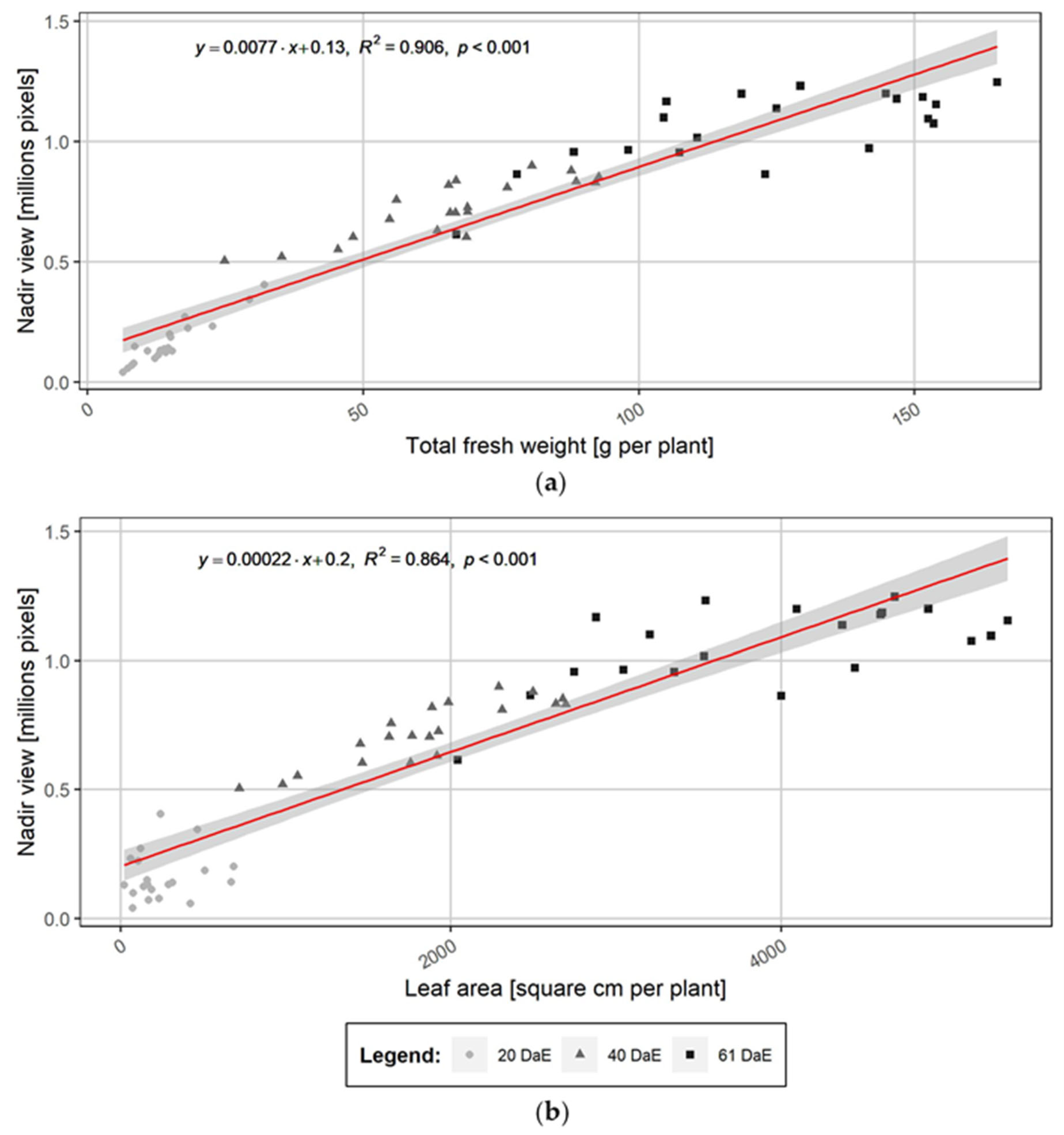
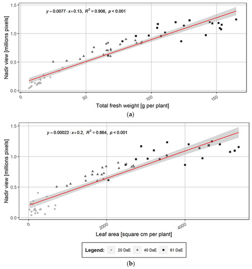
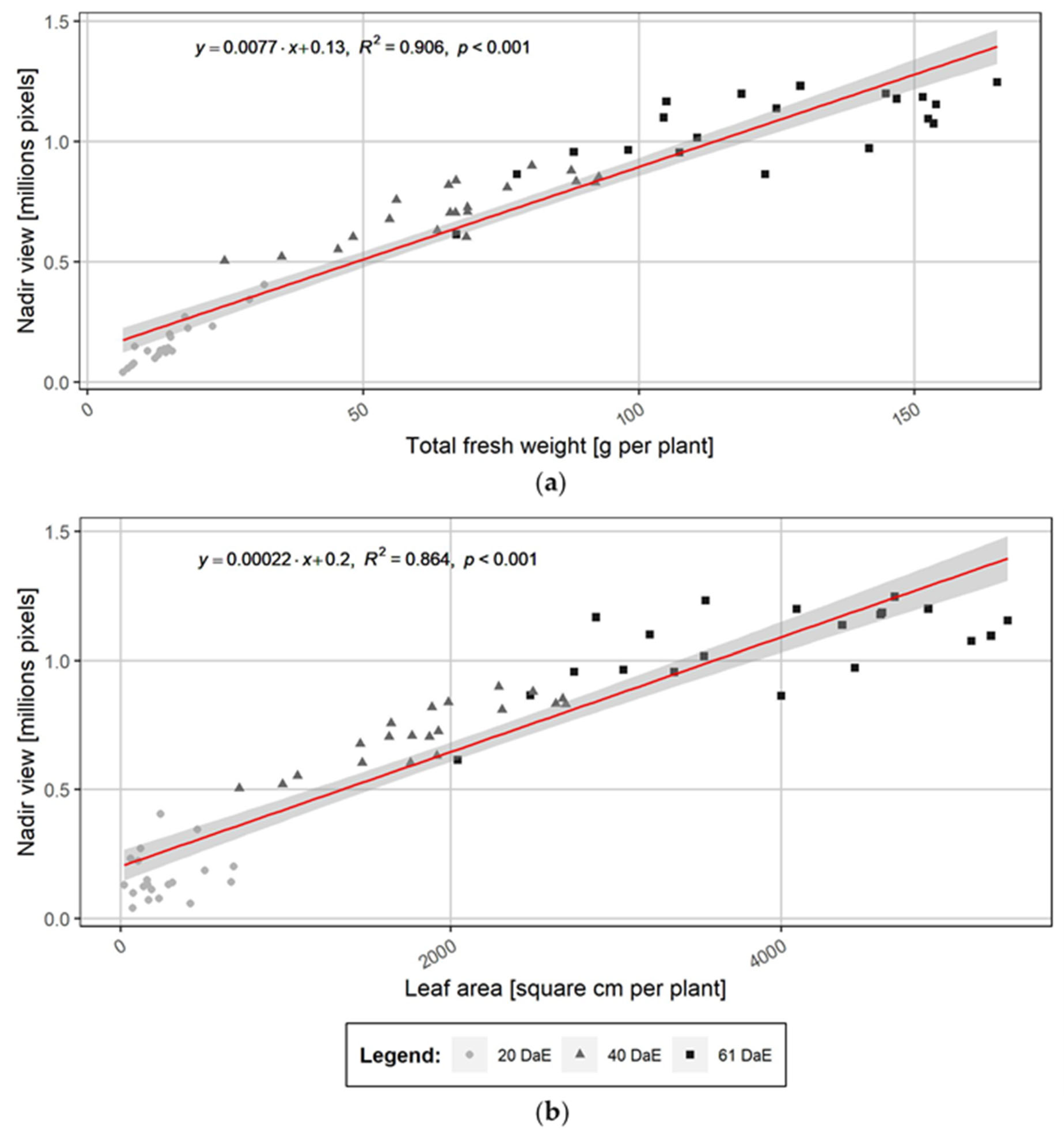
3. Results
3.1. Greenhouse Experiment
3.2. Field Experiment
4. Discussion
4.1. Imaging for Assessing Yam Growth
4.2. Imaging for Assessing Chlorophyll and N Leaf Contents in Yam
4.3. Perspectives
Supplementary Materials
Author Contributions
Funding
Institutional Review Board Statement
Informed Consent Statement
Data Availability Statement
Acknowledgments
Conflicts of Interest
References
- Lebot, V. Tropical Root and Tuber Crops; Cassava, Sweet Potato, Yams and Aroids, 2nd ed.; CABI: Wallingford, UK, 2020. [Google Scholar]
- Frossard, E.; Aighewi, B.; Aké, S.; Barjolle, D.; Baumann, P.; Bernet, T.; Dao, D.; Diby, L.N.; Floquet, A.; Hgaza, V.K.; et al. The challenge of improving soil fertility in yam cropping systems of West Africa. Front. Plant Sci. Agroecol. Land Use Syst. 2017, 8, 1953. [Google Scholar] [CrossRef] [PubMed]
- Diby, L.N.; Hgaza, V.K.; Tié, T.B.; Assa, A.; Carsky, R.; Girardin, O.; Sangakkara, U.R.; Frossard, E. How does soil fertility affect yam growth? Acta Agric. Scand. B Soil Plant Sci. 2011, 61, 448–457. [Google Scholar] [CrossRef]
- Kiba, D.I.; Hgaza, V.K.; Aighewi, B.; Aké, S.; Barjolle, D.; Bernet, T.; Diby, L.N.; Ilboudo, L.J.; Nicolay, G.; Oka, E.; et al. A transdisciplinary approach for the development of sustainable yam (Dioscorea spp.) production in West Africa. Sustainability 2020, 12, 4016. [Google Scholar] [CrossRef]
- Cornet, D.; Sierra, J.; Tournebize, R.; Ney, B. Yams (Dioscorea spp.) plant size hierarchy and yield variability: Emergence time is critical. Eur. J. Agron. 2014, 55, 100–107. [Google Scholar] [CrossRef]
- Cornet, D.; Sierra, J.; Tournebize, R.; Gabrielle, B.; Lewis, F.I. Bayesian network modeling of early growth stages explains yam interplant yield variability and allows for agronomic improvements in West Africa. Eur. J. Agron. 2016, 75, 80–88. [Google Scholar] [CrossRef]
- Hgaza, V.K.; Oberson, A.; Kiba, D.I.; Diby, L.N.; Aké, S.; Frossard, E. The nitrogen nutrition of yam (Dioscorea spp). J. Plant Nutr. 2020, 43, 64–78. [Google Scholar]
- Buerkert, A.; Lawrence, P.R.; Williams, J.H.; Marschner, H. Nondestructive measurements of biomass in millet, cowpea, groundnut, weeds and grass swards using reflectance, and their application for growth analysis. Exp. Agric. 1995, 31, 1–11. [Google Scholar] [CrossRef]
- Buerkert, A.; Mahler, F.; Marschner, H. Soil productivity management and plant growth in the Sahel: Potential of an aerial monitoring technique. Plant Soil 1996, 180, 29–38. [Google Scholar] [CrossRef]
- Hunt, E.R.; Daughtry, C.S.T.; Eitel, J.U.H.; Long, D.S. Remote sensing leaf chlorophyll content using a visible band index. Agron. J. 2011, 103, 1090–1099. [Google Scholar] [CrossRef]
- Kirchgessner, N.; Liebisch, F.; Yu, K.; Pfeifer, J.; Friedli, M.; Hund, A.; Walter, A. The ETH field phenotyping platform FIP: A cable-suspended multi-sensor system. Funct. Plant Biol. 2017, 44, 154–168. [Google Scholar]
- Joalland, S.; Screpanti, C.; Gaume, A.; Walter, A. Belowground biomass accumulation assessed by digital image based leaf area detection. Plant Soil 2016, 398, 257–266. [Google Scholar] [CrossRef]
- Joalland, S.; Screpanti, C.; Liebisch, F.; Varella, H.V.; Gaume, A.; Walter, A. Comparison of visible imaging, thermography and spectrometry methods to evaluate the effect of Heterodera schachtii inoculation on sugar beets. Plant Methods 2017, 13, 73. [Google Scholar] [CrossRef] [PubMed]
- Li, B.; Xu, X.; Han, J.; Zhang, L.; Bian, C.; Jin, L.; Liu, J. The estimation of crop emergence in potatoes by UAV RGB imagery. Plant Methods 2019, 15, 15. [Google Scholar] [CrossRef] [PubMed]
- Hunt, E.R.; Horneck, D.A.; Spinelli, C.B.; Turner, R.W.; Bruce, A.E.; Gadler, D.J.; Brungardt, J.J.; Hamm, P.B. Monitoring nitrogen status of potatoes using small unmanned aerial vehicles. Precis. Agric. 2018, 19, 314–333. [Google Scholar] [CrossRef]
- Liebisch, F.; Kirchgessner, N.; Schneider, D.; Walter, A.; Hund, A. Remote, aerial phenotyping of maize traits with a mobile multi-sensor approach. Plant Methods 2015, 11, 9. [Google Scholar] [CrossRef]
- Makino, A.; Sakuma, H.; Sudo, E.; Mae, T. Differences between Maize and Rice in N-use Efficiency for Photosynthesis and Protein Allocation. Plant Cell Physiol. 2003, 44, 952–956. [Google Scholar] [CrossRef]
- Iseki, K.; Matsumoto, R. Non-destructive shoot biomass evaluation using a handheld NDVI sensor for field-grown staking Yam (Dioscorea rotundata Poir.). Plant Prod. Sci. 2019, 22, 301–310. [Google Scholar] [CrossRef]
- Kolade, O.A.; Oguntade, O.; Kumar, L. Screening for resistance to Yam Anthracnose Disease. Virology/Germplasm Health Unit, IITA Ibadan: Ibadan, Nigeria, 2018. Available online: https://africayam.org/download/screening-resistance-yam-anthracnose-disease/ (accessed on 24 September 2020).
- Ramcharan, A.; Baranowski, K.; McCloskey, P.; Ahmed, B.; Legg, J.; Hughes, D.P. Deep Learning for Image-Based Cassava Disease Detection. Front. Plant Sci. 2017, 8, 1852. [Google Scholar] [CrossRef]
- Darkwa, K.; Olasanmi, B.; Asiedu, R.; Asfaw, A. Review of empirical and emerging breeding methods and tools for yam (Dioscorea spp.) improvement: Status and prospects. Plant Breed. 2020, 139, 474–497. [Google Scholar] [CrossRef]
- Ringger, C. Development of a digital method to assess shoot development of yam (Dioscorea spp.) at early vegetative stage. Master’s Thesis, ETH Zürich, Zürich, Switzerland, 9 September 2018. [Google Scholar]
- Müller, L. Digital Phenotyping of Yam (Dioscorea sp.) under Glasshouse and Field Conditions. Master’s Thesis, Eth Zürich, Zürich, Switzerland, 21 November 2017. [Google Scholar]
- Aighewi, B.A.; Maroya, N.G.; Asiedu, R. Seed Yam Production from Minisetts: A Training Manual; International Institute for Tropical Agriculture: Ibadan, Nigeria, 2014. [Google Scholar]
- O’Sullivan, J.N.; Jenner, R. Nutrient deficiencies in greater yam and their effects on leaf nutrient concentrations. J. Plant Nutr. 2006, 29, 1663–1674. [Google Scholar] [CrossRef]
- Wang, Y.; Wang, D.; Shi, P.; Omasa, K. Estimating rice chlorophyll content and leaf nitrogen concentration with a digital still color camera under natural light. Plant Methods 2014, 10, 36. [Google Scholar] [CrossRef] [PubMed]
- Markwell, J.; Osterman, J.C.; Mitchell, J.L. Calibration of the Minolta SPAD-502 leaf chlorophyll meter. Photosyn. Res. 1995, 46, 467–472. [Google Scholar] [CrossRef] [PubMed]
- Friedman, J.M.; Hunt, E.R.; Mutters, R.G. Assessment of leaf color chart observations for estimating maize chlorophyll content by analysis of digital photographs. Agron. J. 2016, 108, 822–829. [Google Scholar] [CrossRef]
- Hgaza, V.K.; Diby, L.N.; Aké, S.; Frossard, E. Leaf growth and photosynthetic capacity as affected by leaf position, plant nutritional status and growth stage in Dioscorea alata L. J. Anim. Plant Sci. 2009, 5, 483–493. [Google Scholar]
- Müller, P. Measurement of Leaf Surface Area, Soil Cover and N Content in Leaves of Field-Grown Yams (Dioscorea spp). Master’s Thesis, ETH Zürich, Zürich, Switzerland, 7 Januray 2019. [Google Scholar]
- WRB. International Soil Classification System for Naming Soils and Creating Legends for Soil Maps; FAO World Soil Resource Reports; FAO: Roma, Italy, 2014. [Google Scholar]
- Schneider, K. Soil Characterization of YAMSYS Sites; Internal YAMSYS Report; ETH: Zürich, Switzerland, 2018. [Google Scholar]
- Doumbia, S.; Koko, L.; Aman, S.A. L’introduction et la diffusion de la variété d’igname C18 en région centre de Côte d’Ivoire. J. Appl. Biosci. 2014, 80, 7121–7130. [Google Scholar] [CrossRef]
- Grieder, C.; Hund, A.; Walter, A. Image based phenotyping during winter: A powerful tool to assess wheat genetic variation in growth response to temperature. Funct. Plant Biol. 2015, 42, 387–396. [Google Scholar] [CrossRef]
- Guo, W.; Zheng, B.; Duan, T.; Fukatsu, T.; Chapman, S.; Ninomiya, S. EasyPCC: Benchmark Datasets and Tools for High-Throughput Measurement of the Plant Canopy Coverage Ratio under Field Conditions. Sensors 2017, 17, 798. [Google Scholar] [CrossRef]
- Thenkabail, P.S.; Lyon, J.G. Hyperspectral Remote Sensing of Vegetation, 1st ed.; CRC Press: Boca Raton, FL, USA, 2012. [Google Scholar] [CrossRef]
- Hunt, E.R.; Daughtry, C.S.T.; Mirsky, S.B.; Hively, S.B. Remote Sensing with Simulated Unmanned Aircraft Imagery for Precision Agriculture Applications. IEEE J. Sel. Top. Appl. Earth Obs. Remote Sens. 2014, 7, 4566–4571. [Google Scholar] [CrossRef]
- Onwueme, I.C.; Johnston, M. Influence of shade on stomatal density, leaf size and other leaf characteristics in the major tropical root crops, tannia, sweet potato, yam, cassava and taro. Exp. Agric. 2000, 36, 509–516. [Google Scholar] [CrossRef]
- Ali, A.M. Using Hand-Held Chlorophyll Meters and Canopy Reflectance Sensors for Fertilizer Nitrogen Management in Cereals in Small Farms in Developing Countries. Sensors 2020, 20, 1127. [Google Scholar] [CrossRef]









| Projected Leaf Surface | Total Leaf Surface | Total Shoot Fresh Weight | Total Shoot Dry Weight | Number of Leaves | Total Stem Length |
|---|---|---|---|---|---|
| Pixels Plant−1 | cm2 Plant−1 | g Plant−1 | Leaves Plant−1 | cm Plant−1 | |
| Nadir view | 0.92 *** | 0.95 *** | 0.94 *** | 0.85 *** | 0.82 *** |
| Side 1 (0°) | 0.95 *** | 0.96 *** | 0.96 *** | 0.92 *** | 0.86 *** |
| Side 2 (90°) | 0.93 *** | 0.95 *** | 0.94 *** | 0.90 *** | 0.83 *** |
| Sum of 2 images | 0.95 *** | 0.97 *** | 0.96 *** | 0.92 *** | 0.86 *** |
| Sum of 3 images | 0.95 *** | 0.96 *** | 0.96 *** | 0.92 *** | 0.85 *** |
Publisher’s Note: MDPI stays neutral with regard to jurisdictional claims in published maps and institutional affiliations. |
© 2021 by the authors. Licensee MDPI, Basel, Switzerland. This article is an open access article distributed under the terms and conditions of the Creative Commons Attribution (CC BY) license (http://creativecommons.org/licenses/by/4.0/).
Share and Cite
Frossard, E.; Liebisch, F.; Hgaza, V.K.; Kiba, D.I.; Kirchgessner, N.; Müller, L.; Müller, P.; Pouya, N.; Ringger, C.; Walter, A. Evaluation of Image-Based Phenotyping Methods for Measuring Water Yam (Dioscorea alata L.) Growth and Nitrogen Nutritional Status under Greenhouse and Field Conditions. Agronomy 2021, 11, 249. https://doi.org/10.3390/agronomy11020249
Frossard E, Liebisch F, Hgaza VK, Kiba DI, Kirchgessner N, Müller L, Müller P, Pouya N, Ringger C, Walter A. Evaluation of Image-Based Phenotyping Methods for Measuring Water Yam (Dioscorea alata L.) Growth and Nitrogen Nutritional Status under Greenhouse and Field Conditions. Agronomy. 2021; 11(2):249. https://doi.org/10.3390/agronomy11020249
Chicago/Turabian StyleFrossard, Emmanuel, Frank Liebisch, Valérie Kouamé Hgaza, Delwendé Innocent Kiba, Norbert Kirchgessner, Laurin Müller, Patrick Müller, Nestor Pouya, Cecil Ringger, and Achim Walter. 2021. "Evaluation of Image-Based Phenotyping Methods for Measuring Water Yam (Dioscorea alata L.) Growth and Nitrogen Nutritional Status under Greenhouse and Field Conditions" Agronomy 11, no. 2: 249. https://doi.org/10.3390/agronomy11020249
APA StyleFrossard, E., Liebisch, F., Hgaza, V. K., Kiba, D. I., Kirchgessner, N., Müller, L., Müller, P., Pouya, N., Ringger, C., & Walter, A. (2021). Evaluation of Image-Based Phenotyping Methods for Measuring Water Yam (Dioscorea alata L.) Growth and Nitrogen Nutritional Status under Greenhouse and Field Conditions. Agronomy, 11(2), 249. https://doi.org/10.3390/agronomy11020249

