Effect of Deficit Irrigation and Reduced N Fertilization on Plant Growth, Root Morphology and Water Use Efficiency of Tomato Grown in Soilless Culture
Abstract
1. Introduction
2. Materials and Methods
2.1. Site Description
2.2. Experiment Design and Method
2.3. Measurements
2.3.1. Growth Measurements
2.3.2. Root Morphology
2.3.3. Photosynthesis Parameters/Leaf Gas Exchange
2.3.4. Fruit Yield and Irrigation Water Use Efficiency
2.4. Data Analysis
3. Results
3.1. Plant Growth Parameter
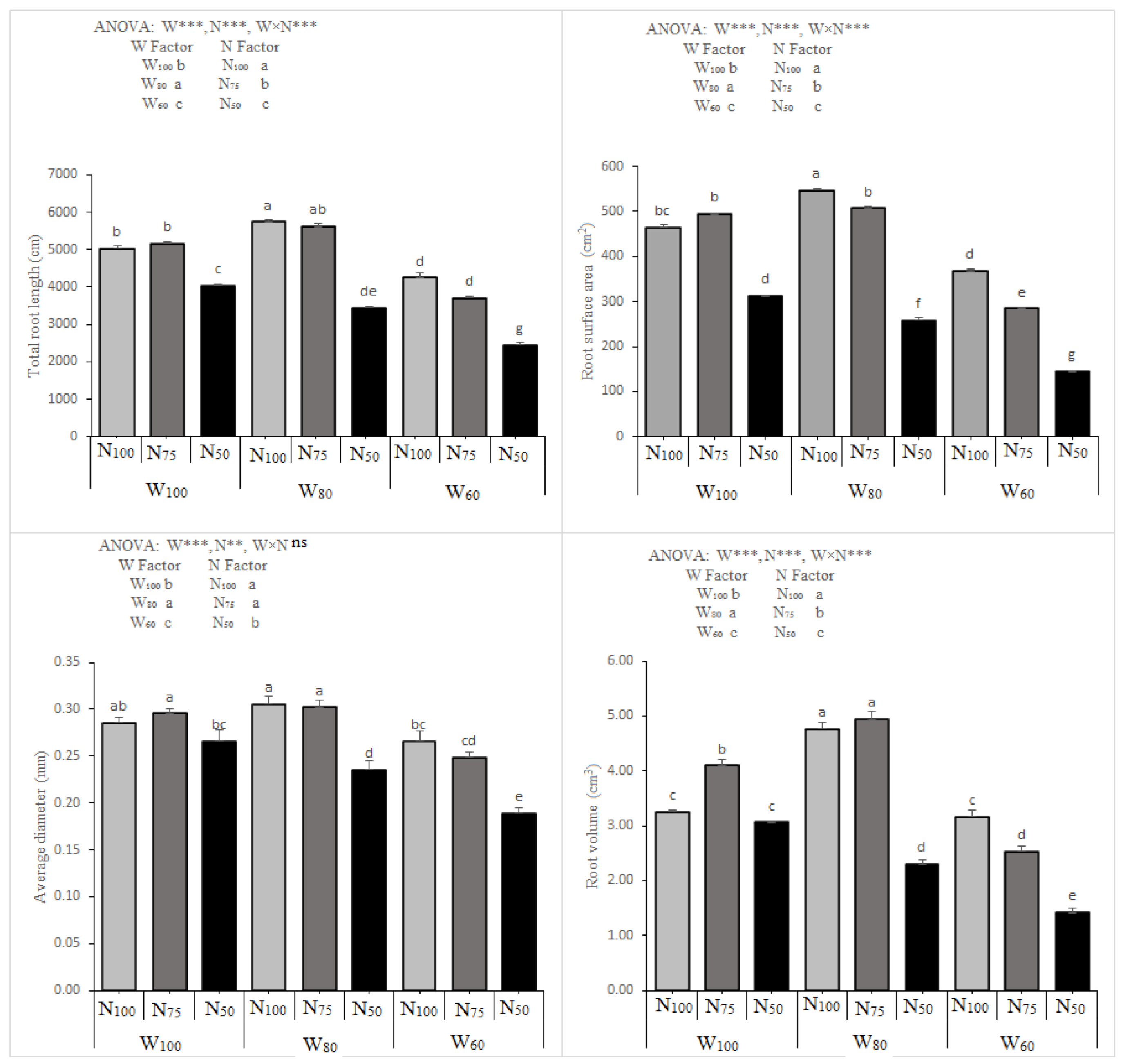
3.2. Root Morphology
3.3. Photosynthesis (Pn) and Stomatal Conductance (gs)
3.4. Yield and Irrigation Water Use Efficiency Response to Water and Nitrogen Levels
3.5. Relationship between Fruit Yield (FY), Photosynthesis (Pn), and Water Used (WU) under the Effect of Water and N Fertilization
4. Discussion
5. Conclusions
Author Contributions
Funding
Institutional Review Board Statement
Informed Consent Statement
Data Availability Statement
Conflicts of Interest
References
- Wang, C.; Gu, F.; Chen, J.; Yang, H.; Jiang, J.; Du, T.; Zhang, J. Assessing the response of yield and comprehensive fruit quality of tomato grown in greenhouse to deficit irrigation and nitrogen application strategies. Agric. Water Manag. 2015, 161, 9–19. [Google Scholar] [CrossRef]
- FAO. FAOSTAT (Food and Agriculture Organization of the United Nations). Available online: http://faostat3.fao.org/home/E (accessed on 6 February 2018).
- Sun, Y.; Hu, K.; Fan, Z.; Wei, Y.; Lin, S.; Wang, J. Simulating the fate of nitrogen and optimizing water and nitrogen management of greenhouse tomato in North China using the EU-Rotate_N model. Agric. Water Manag. 2013, 128, 72–84. [Google Scholar] [CrossRef]
- Zotarelli, L.; Scholberg, J.M.; Dukes, M.D.; Muñoz-Carpena, R.; Icerman, J. Tomato yield, biomass accumulation, root distribution and irrigation water use efficiency on a sandy soil, as affected by nitrogen rate and irrigation scheduling. Agric. Water Manag. 2009, 96, 23–34. [Google Scholar] [CrossRef]
- Patanè, C.; Tringali, S.; Sortino, O. Effects of deficit irrigation on biomass, yield, water productivity and fruit quality of processing tomato under semi-arid Mediterranean climate conditions. Sci. Hortic. 2011, 129, 590–596. [Google Scholar] [CrossRef]
- Shabbir, A.; Mao, H.; Ullah, I.; Buttar, N.A.; Ajmal, M.; Lakhiar, I.A. Effects of drip irrigation emitter density with various irrigation levels on physiological parameters, root, yield, and quality of cherry tomato. Agronomy 2020, 10, 1685. [Google Scholar] [CrossRef]
- Ullah, I.; Hanping, M.; Chuan, Z.; Javed, Q.; Azeem, A. Optimization of irrigation and nutrient concentration based on economic returns, substrate salt accumulation and water use efficiency for tomato in greenhouse. Arch. Agron. Soil Sci. 2017, 63, 1748–1762. [Google Scholar] [CrossRef]
- Ripoll, J.; Urban, L.; Staudt, M.; Lopez-Lauri, F.; Bidel, L.P.; Bertin, N. Water shortage and quality of fleshy fruits—Making the most of the unavoidable. J. Exp. Bot. 2014, 65, 4097–4117. [Google Scholar] [CrossRef]
- Wang, L.; Palta, J.A.; Chen, W.; Chen, Y.; Deng, X. Nitrogen fertilization improved water-use efficiency of winter wheat through increasing water use during vegetative rather than grain filling. Agric. Water Manag. 2018, 197, 41–53. [Google Scholar] [CrossRef]
- Hongyan, M.H.G.; Ni, J.; Gong, L.; Zhang, X. Effects of different fertilization on nutrient and growth of lettuce and models simulation. J. Drain. Irrig. Mach. Eng. 2020, 38, 1264–1269. [Google Scholar]
- Rasool, G.; Guo, X.; Wang, Z.; Ali, M.U.; Chen, S.; Zhang, S.; Wu, Q.; Ullah, M.S. Coupling fertigation and buried straw layer improves fertilizer use efficiency, fruit yield, and quality of greenhouse tomato. Agric. Water Manag. 2020, 239, 106239. [Google Scholar] [CrossRef]
- Matimati, I.; Verboom, G.A.; Cramer, M.D. Nitrogen regulation of transpiration controls mass-flow acquisition of nutrients. J. Exp. Bot. 2014, 65, 159–168. [Google Scholar] [CrossRef]
- Hanping, M.; Ullah, I.; Jiheng, N.; Javed, Q.; Azeem, A. Estimating tomato water consumption by sap flow measurement in response to water stress under greenhouse conditions. J. Plant Interact. 2017, 12, 402–413. [Google Scholar] [CrossRef]
- López-Bucio, J.; Cruz-Ramırez, A.; Herrera-Estrella, L. The role of nutrient availability in regulating root architecture. Curr. Opin. Plant Biol. 2003, 6, 280–287. [Google Scholar] [CrossRef]
- Ding, L.; Lu, Z.; Gao, L.; Guo, S.; Shen, Q. Is Nitrogen a Key Determinant of Water Transport and Photosynthesis in Higher Plants Upon Drought Stress? Front. Plant Sci. 2018, 9, 1143. [Google Scholar] [CrossRef]
- Hooshmand, M.; Albaji, M.; Ansari, N.A.Z. The effect of deficit irrigation on yield and yield components of greenhouse tomato (Solanum lycopersicum) in hydroponic culture in Ahvaz region, Iran. Sci. Hortic. 2019, 254, 84–90. [Google Scholar] [CrossRef]
- Zhang, H.; Xiong, Y.; Huang, G.; Xu, X.; Huang, Q. Effects of water stress on processing tomatoes yield, quality and water use efficiency with plastic mulched drip irrigation in sandy soil of the Hetao Irrigation District. Agric. Water Manag. 2017, 179, 205–214. [Google Scholar] [CrossRef]
- Truffault, V.; Ristorto, M.; Brajeul, E.; Vercambre, G.; Gautier, H. To stop nitrogen overdose in soilless tomato crop: A way to promote fruit quality without affecting fruit yield. Agronomy 2019, 9, 80. [Google Scholar] [CrossRef]
- Rosa-Rodríguez, R.D.l.; Lara-Herrera, A.; Trejo-Téllez, L.I.; Padilla-Bernal, L.E.; Solis-Sánchez, L.O.; Ortiz-Rodríguez, J.M. Water and fertilizers use efficiency in two hydroponic systems for tomato production. Hortic. Bras. 2020, 38, 47–52. [Google Scholar] [CrossRef]
- Schwarz, D.; Kläring, H.-P. Allometry to estimate leaf area of tomato. J. Plant Nutr. 2001, 24, 1291–1309. [Google Scholar] [CrossRef]
- Yang, H.; Cao, H.X.; Hao, X.M.; Guo, L.J.; Li, H.Z.; Wu, X.Y. Evaluation of tomato fruit quality response to water and nitrogen management under alternate partial root-zone irrigation. Int. J. Agric. Biol. Eng. 2017, 10, 85–94. [Google Scholar] [CrossRef]
- Rasool, G.; Guo, X.; Wang, Z.; Chen, S.; Ullah, I. The interactive responses of fertigation levels under buried straw layer on growth, physiological traits and fruit yield in tomato plant. J. Plant Interact. 2019, 14, 552–563. [Google Scholar] [CrossRef]
- Davies, W.J.; Wilkinson, S.; Loveys, B. Stomatal control by chemical signalling and the exploitation of this mechanism to increase water use efficiency in agriculture. New Phytol. 2002, 153, 449–460. [Google Scholar] [CrossRef]
- Liu, W.; Wang, J.; Wang, C.; Ma, G.; Wei, Q.; Lu, H.; Xie, Y.; Ma, D.; Kang, G. Root growth, water and nitrogen use efficiencies in winter wheat under different irrigation and nitrogen regimes in North China Plain. Front. Plant Sci. 2018, 9, 1798. [Google Scholar] [CrossRef]
- Hou, M.; Zhu, L.; Jin, Q. Surface drainage and mulching drip-irrigated tomatoes reduces soil salinity and improves fruit yield. PLoS ONE 2016, 11, e0154799. [Google Scholar] [CrossRef]
- Badr, M.; El-Tohamy, W.; Hussein, S.; Gruda, N. Tomato yield, physiological response, water and nitrogen use efficiency under deficit and partial root zone drying irrigation in an arid region. J. Appl. Bot. Food Qual. 2018, 91, 332–340. [Google Scholar]
- Ristova, D.; Busch, W. Natural variation of root traits: From development to nutrient uptake. Plant Physiol. 2014, 166, 518–527. [Google Scholar] [CrossRef]
- Khapte, P.; Kumar, P.; Burman, U.; Kumar, P. Deficit irrigation in tomato: Agronomical and physio-biochemical implications. Sci. Hortic. 2019, 248, 256–264. [Google Scholar] [CrossRef]
- Basal, O.; Szabó, A. The Combined Effect of Drought Stress and Nitrogen Fertilization on Soybean. Agronomy 2020, 10, 384. [Google Scholar] [CrossRef]
- Sharp, R.E.; Poroyko, V.; Hejlek, L.G.; Spollen, W.G.; Springer, G.K.; Bohnert, H.J.; Nguyen, H.T. Root growth maintenance during water deficits: Physiology to functional genomics. J. Exp. Bot. 2004, 55, 2343–2351. [Google Scholar] [CrossRef]
- Schroeder, J.I.; Kwak, J.M.; Allen, G.J. Guard cell abscisic acid signalling and engineering drought hardiness in plants. Nature 2001, 410, 327–330. [Google Scholar] [CrossRef]
- Wang, Y.; Zhang, X.; Chen, J.; Chen, A.; Wang, L.; Guo, X.; Niu, Y.; Liu, S.; Mi, G.; Gao, Q. Reducing basal nitrogen rate to improve maize seedling growth, water and nitrogen use efficiencies under drought stress by optimizing root morphology and distribution. Agric. Water Manag. 2019, 212, 328–337. [Google Scholar] [CrossRef]
- Sarker, K.K.; Akanda, M.; Biswas, S.; Roy, D.; Khatun, A.; Goffar, M. Field performance of alternate wetting and drying furrow irrigation on tomato crop growth, yield, water use efficiency, quality and profitability. J. Integr. Agric. 2016, 15, 2380–2392. [Google Scholar] [CrossRef]
- Chai, Q.; Gan, Y.; Zhao, C.; Xu, H.-L.; Waskom, R.M.; Niu, Y.; Siddique, K.H. Regulated deficit irrigation for crop production under drought stress. A review. Agron. Sustain. Dev. 2016, 36, 3. [Google Scholar] [CrossRef]
- Mofokeng, M.; Steyn, J.; Du Plooy, C.; Prinsloo, G.; Araya, H. Growth of Pelargonium sidoides DC. in response to water and nitrogen level. S. Afr. J. Bot. 2015, 100, 183–189. [Google Scholar] [CrossRef]
- Chen, J.; Kang, S.; Du, T.; Guo, P.; Qiu, R.; Chen, R.; Gu, F. Modeling relations of tomato yield and fruit quality with water deficit at different growth stages under greenhouse condition. Agric. Water Manag. 2014, 146, 131–148. [Google Scholar] [CrossRef]
- Del Amor, F.M.; Ruiz-Sánchez, M.C.; Martínez, V.; Cerdá, A. Gas exchange, water relations, and Ion concentrations of salt-stressed tomato and melon plants. J. Plant Nutr. 2000, 23, 1315–1325. [Google Scholar] [CrossRef]
- Garcia, A.; Marcelis, L.; García-Sánchez, F.; Nicolas, N.; Martínez, V. Moderate water stress affects tomato leaf water relations in dependence on the nitrogen supply. Biol. Plant. 2007, 51, 707–712. [Google Scholar] [CrossRef]
- Li, Y.; Sun, Y.; Liao, S.; Zou, G.; Zhao, T.; Chen, Y.; Yang, J.; Zhang, L. Effects of two slow-release nitrogen fertilizers and irrigation on yield, quality, and water-fertilizer productivity of greenhouse tomato. Agric. Water Manag. 2017, 186, 139–146. [Google Scholar] [CrossRef]
- Patanè, C.; Cosentino, S. Effects of soil water deficit on yield and quality of processing tomato under a Mediterranean climate. Agric. Water Manag. 2010, 97, 131–138. [Google Scholar] [CrossRef]
- Gebremariam, M.; Tesfay, T. Optimizing Irrigation Water and N Levels for Higher Yield and Reduced Blossom End Rot Incidence on Tomato. Int. J. Agron. 2019, 2019, 1–10. [Google Scholar] [CrossRef]
- Geerts, S.; Raes, D. Deficit irrigation as an on-farm strategy to maximize crop water productivity in dry areas. Agric. Water Manag. 2009, 96, 1275–1284. [Google Scholar] [CrossRef]
- Chen, S.; Zhou, Z.-J.; Andersen, M.N.; Hu, T.-T. Tomato yield and water use efficiency—Coupling effects between growth stage specific soil water deficits. Acta Agric. Scand. Sect. B Soil Plant Sci. 2015, 65, 460–469. [Google Scholar] [CrossRef]
- Zhang, H.-X.; Chi, D.-C.; Qun, W.; Jun, F.; Fang, X.-Y. Yield and quality response of cucumber to irrigation and nitrogen fertilization under subsurface drip irrigation in solar greenhouse. Agric. Sci. China 2011, 10, 921–930. [Google Scholar] [CrossRef]



| Treatments | Nitrogen (ppm) | ||
|---|---|---|---|
| N100 | N75 | N50 | |
| W100 | W100 N100 | W100 N75 | W100 N50 |
| W80 | W80 N100 | W80 N75 | W80 N50 |
| W60 | W60 N100 | W60 N75 | W60 N50 |
| Treatments | Stem Diameter (mm) | Plant Height (cm) | Leaf Area (cm2) | |||
|---|---|---|---|---|---|---|
| SS | FW | SS | FW | SS | FW | |
| Irrigation | ||||||
| W100 | 11.29 a | 9.90 a | 130.88 a | 119.12 a | 1496.5 a | 1163.2 a |
| W80 | 9.61 b | 9.38 b | 112.57 b | 108.98 b | 1275.7 b | 1013.6 b |
| W60 | 8.07 c | 8.12 c | 98.06 c | 94.04 c | 780.6 c | 712.3 c |
| Fertilizer | ||||||
| N100 | 10.60 a | 10.17 a | 125.71 a | 117.81 a | 1382.4 a | 1064.5 a |
| N75 | 9.92 ab | 10.11 a | 111.11 ab | 104.42 ab | 1200.1 b | 954.9 b |
| N50 | 8.74 c | 8.11 c | 104.68 c | 99.91 c | 970.1 c | 869.7 c |
| Interaction | ||||||
| W100 N100 | 12.13 a | 11.30 a | 153.50 a | 130.43 a | 1897.8 a | 1299.2 a |
| W100 N75 | 11.37 b | 9.53 c | 128.23 b | 118.60 b | 1561.9 b | 1160 b |
| W100 N50 | 10.37 c | 8.86 de | 110.90 c | 108.33 c | 1029.7 f | 1030.4 c |
| W80 N100 | 10.97 bc | 10.27 b | 129.37 b | 120.70 b | 1432.6 c | 1141.6 b |
| W80 N75 | 9.37 d | 9.43 cd | 107.10 d | 105.17 cd | 1272.6 d | 1012.5 c |
| W80 N50 | 8.50 e | 8.40 e | 101.23 ef | 101.07 e | 1121.8 e | 886.8 d |
| W50 N100 | 8.70 e | 8.93 cde | 94.27 g | 102.30 de | 816.9 g | 752.8 e |
| W50 N75 | 8.13 e | 8.36 e | 98 f | 89.50 f | 766 g | 692.3 e |
| W50 N50 | 7.36 f | 7.07 f | 101.90 e | 90.33 f | 758.9 g | 691.7 e |
| ANOVA | ||||||
| W | *** | *** | *** | *** | *** | *** |
| N | *** | *** | *** | *** | *** | *** |
| W × N | NS | NS | *** | ** | *** | ** |
| Treatments | PFM (g·plant−1) | PDM (g·plant−1) | ||
|---|---|---|---|---|
| SS | FW | SS | FW | |
| Irrigation | ||||
| W100 | 364.89 a | 345.78 a | 115.26 a | 109.11 a |
| W80 | 315.11 b | 305.33 b | 109.39 b | 105.33 b |
| W60 | 254.89 c | 247.67 c | 83.78 c | 85.96 c |
| Fertilizer | ||||
| N100 | 357.44 a | 315.44 a | 106.14 a | 102.08 a |
| N75 | 317.78 b | 294.44 b | 106.69 a | 100.62 a |
| N50 | 259.67 c | 288.89 b | 95.59 b | 97.70 b |
| Interaction | ||||
| W100 N100 | 410.67 a | 378.33 a | 125.03 a | 112.03 a |
| W100 N75 | 382.00 b | 329.00 b | 118.23 b | 109.73 a |
| W100 N50 | 302.00 e | 330.00 b | 102.50 c | 105.77 b |
| W80 N100 | 362.67 c | 336.00 b | 106.33 c | 105.57 b |
| W80 N75 | 339.33 d | 299.33 c | 118.97 b | 101.67 c |
| W80 N50 | 243.33 f | 280.67 cd | 102.87 c | 108.57 ab |
| W50 N100 | 299.00 e | 232.00 e | 87.07 d | 81.77 e |
| W50 N75 | 232.00 f | 238.33 e | 82.87 de | 88.17 d |
| W50 N50 | 233.67 f | 272.67 d | 81.40 e | 87.93 d |
| ANOVA | ||||
| W | *** | *** | *** | *** |
| N | *** | *** | *** | *** |
| W × N | *** | *** | *** | *** |
| Treatments | Pn (μmol·(CO2)·m−2·s−1) | gs mol·(H2O)·m−2·s−1 | ||
|---|---|---|---|---|
| SS | FW | SS | FW | |
| Irrigation | ||||
| W100 | 17.87 a | 15.69 a | 0.4533 a | 0.2756 a |
| W80 | 16.49 b | 13.95 b | 0.3262 b | 0.2345 b |
| W60 | 11.30 c | 9.29 c | 0.1943 c | 0.1234 c |
| Fertilizer | ||||
| N100 | 16.45 a | 14.71 a | 0.3881 a | 0.2419 a |
| N75 | 16.25 b | 13.51 b | 0.3697 ab | 0.2346 ab |
| N50 | 12.95 c | 10.71 c | 0.2492 c | 0.1570 c |
| Interaction | ||||
| W100 N100 | 19.53 a | 17.82 a | 0.5178 a | 0.3294 a |
| W100 N75 | 18.52 b | 17.00 b | 0.4419 c | 0.2779 c |
| W100 N50 | 11.29 g | 13.05 c | 0.2046 f | 0.1184 g |
| W80 N100 | 18.95 ab | 17.76 ab | 0.4839 b | 0.3138 ab |
| W80 N75 | 16.76 c | 12.24 d | 0.2698 e | 0.2557 d |
| W80 N50 | 13.05 f | 12.05 d | 0.2557 e | 0.1344 f |
| W50 N100 | 15.12 d | 10.48 e | 0.3582 d | 0.1837 e |
| W50 N75 | 14.18 e | 9.54 f | 0.2668 e | 1699 e |
| W50 N50 | 9.54 h | 7.85 g | 0.1224 g | 0.1175 g |
| ANOVA | ||||
| W | *** | *** | *** | *** |
| N | *** | *** | *** | *** |
| W × N | *** | *** | *** | *** |
| Treatments | Irrigation Water (mm) | Fruit Yield (ton·ha−1) | Irrigation Water Use Efficiency | |||
|---|---|---|---|---|---|---|
| SS | FW | SS | FW | SS | FW | |
| Irrigation | ||||||
| W100 | 245.98 | 222.51 | 92.23 a | 81.03 a | 37.50 c | 36.41 c |
| W80 | 196.79 | 178.00 | 85.21 b | 72.48 b | 43.30 a | 40.72 b |
| W60 | 147.59 | 133.50 | 59.38 c | 55.89 c | 40.24 b | 41.86 a |
| Fertilizer | ||||||
| N100 | 85.95 a | 76.17 a | 43.60 a | 42.99 a | ||
| N75 | 83.04 b | 72.49 b | 40.49 b | 41.15 ab | ||
| N50 | 67.84 c | 60.76 c | 34.94 c | 34.86 c | ||
| Interaction | ||||||
| W100 N100 | 245.98 | 222.51 | 100.82 a | 89.71 a | 40.98 c | 40.32 d |
| W100 N75 | 99.42 a | 86.75 b | 40.42 c | 38.98 de | ||
| W100 N50 | 76.47 c | 66.62 e | 31.09 e | 29.94 g | ||
| W80 N100 | 196.79 | 178.00 | 97.90 a | 81.86 c | 49.75 a | 45.99 a |
| W80 N75 | 84.90 b | 71.52 d | 43.14 b | 40.18 d | ||
| W80 N50 | 72.83 d | 64.07 f | 37.01 d | 36.00 f | ||
| W50 N100 | 147.59 | 133.50 | 59.13 f | 56.96 g | 40.07 c | 42.66 c |
| W50 N75 | 64.80 e | 59.13 g | 43.91 b | 44.29 b | ||
| W50 N50 | 54.22 g | 51.57 h | 36.73 d | 38.63 e | ||
| ANOVA | ||||||
| W | *** | *** | *** | *** | *** | *** |
| N | *** | *** | *** | *** | *** | *** |
| W × N | *** | *** | *** | *** | *** | *** |
Publisher’s Note: MDPI stays neutral with regard to jurisdictional claims in published maps and institutional affiliations. |
© 2021 by the authors. Licensee MDPI, Basel, Switzerland. This article is an open access article distributed under the terms and conditions of the Creative Commons Attribution (CC BY) license (http://creativecommons.org/licenses/by/4.0/).
Share and Cite
Ullah, I.; Mao, H.; Rasool, G.; Gao, H.; Javed, Q.; Sarwar, A.; Khan, M.I. Effect of Deficit Irrigation and Reduced N Fertilization on Plant Growth, Root Morphology and Water Use Efficiency of Tomato Grown in Soilless Culture. Agronomy 2021, 11, 228. https://doi.org/10.3390/agronomy11020228
Ullah I, Mao H, Rasool G, Gao H, Javed Q, Sarwar A, Khan MI. Effect of Deficit Irrigation and Reduced N Fertilization on Plant Growth, Root Morphology and Water Use Efficiency of Tomato Grown in Soilless Culture. Agronomy. 2021; 11(2):228. https://doi.org/10.3390/agronomy11020228
Chicago/Turabian StyleUllah, Ikram, Hanping Mao, Ghulam Rasool, Hongyan Gao, Qaiser Javed, Abid Sarwar, and Muhammad Imran Khan. 2021. "Effect of Deficit Irrigation and Reduced N Fertilization on Plant Growth, Root Morphology and Water Use Efficiency of Tomato Grown in Soilless Culture" Agronomy 11, no. 2: 228. https://doi.org/10.3390/agronomy11020228
APA StyleUllah, I., Mao, H., Rasool, G., Gao, H., Javed, Q., Sarwar, A., & Khan, M. I. (2021). Effect of Deficit Irrigation and Reduced N Fertilization on Plant Growth, Root Morphology and Water Use Efficiency of Tomato Grown in Soilless Culture. Agronomy, 11(2), 228. https://doi.org/10.3390/agronomy11020228

