Response of Plant Root Growth to Biochar Amendment: A Meta-Analysis
Abstract
:1. Introduction
2. Materials and Methods
2.1. Literature Search
2.2. Data Collection
2.3. Data Meta-Analysis
3. Results
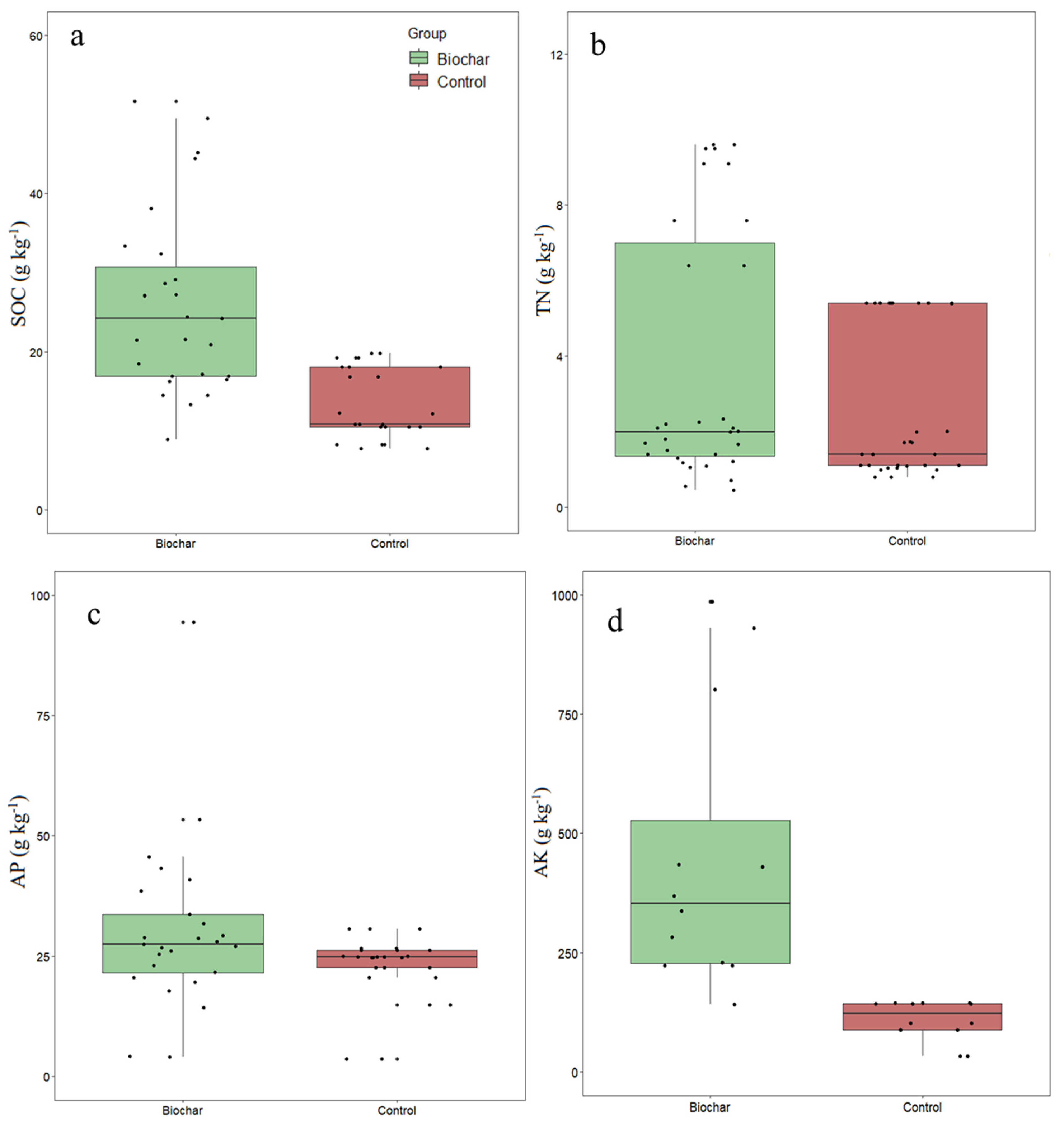
3.1. Biochar Effects on Root Biomass, Soil Organic Carbon (SOC), and Soil Nutrients
3.2. The Chemical Characteristics of Biochars and Soils
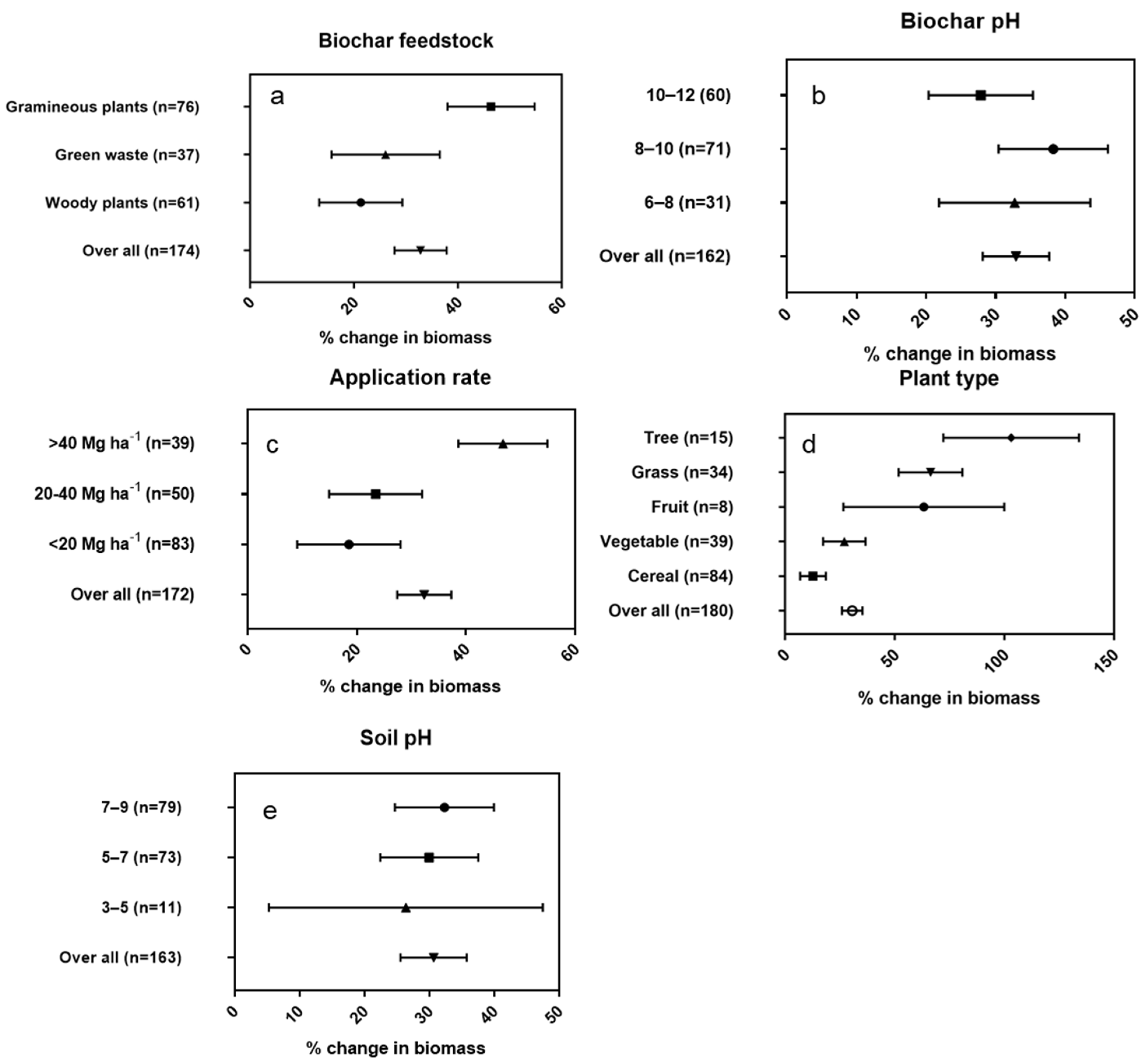
3.3. Effects of the Biochar Application Rate and Properties (Feedstock, pH) on Root Biomass
3.4. Effects of Biochar Addition on Root Biomass Varied with the Plant Type
3.5. Effects of Biochar Addition on Root Biomass According to the Soil pH
4. Discussion
4.1. Biochar Improved Soil Nutrients and Promoted Root Growth
4.2. Factors Influencing the Effects of Biochar on Root Growth
5. Conclusions
Supplementary Materials
Author Contributions
Funding
Data Availability Statement
Acknowledgments
Conflicts of Interest
References
- Mariana, S.; Silvio, C.S.; Ralpho, R.R.; Francielle, A.B. Effect of production temperature in biochar properties from bamboo culm and its influences on atrazine adsorption from aqueous systems. J. Mol. Liq. 2021, 243, 117667. [Google Scholar]
- Biederman, L.A.; Harpole, W.S. Biochar and its effects on plant productivity and nutrient cycling: A meta-analysis. Glob. Change Biol. Bioenergy 2013, 5, 202–214. [Google Scholar] [CrossRef]
- Jin, Z.; Chen, C.; Chen, X.; Hopkins, I.; Zhang, X.; Han, Z.; Jiang, F.; Billy, G. The crucial factors of soil fertility and rapeseed yield—A five year field trial with biochar addition in upland red soil, China. Sci. Total Environ. 2019, 649, 1467–1480. [Google Scholar] [CrossRef]
- Khan, M.A.; Ur, R.M.; Ramzani, P.M.A.; Zubair, M.; Rasool, B.; Khan, M.K.; Ahmed, A.; Khan, S.A.; Turan, V.; Iqbal, M. Associative effects of lignin-derived biochar and arbuscular mycorrhizal fungi applied to soil polluted from Pb-acid batteries effluents on barley grain safety. Sci. Total Environ. 2020, 710, 136294. [Google Scholar] [CrossRef] [PubMed]
- Wang, L.; Wang, X.; Song, N. Biochar and vermicompost improve the soil properties and the yield and quality of cucumber (Cucumis sativus L.) grown in plastic shed soil continuously cropped for different years. Agric. Ecosyst. Environ. 2021, 315, 107425. [Google Scholar] [CrossRef]
- Wang, Y.; Villamil, M.B.; Davidson, P.C.; Akdeniz, N. A quantitative understanding of the role of co-composted biochar in plant growth using meta-analysis. Sci. Total Environ. 2019, 685, 741–752. [Google Scholar] [CrossRef]
- Liu, X.; Zhang, A.; Ji, C.; Joseph, S.; Bian, R.; Li, L.; Pan, G.; Paz-Ferreiro, J. Biochar’s effect on crop productivity and the de-pendence on experimental conditions—A meta-analysis of literature data. Plant Soil 2013, 373, 583–594. [Google Scholar] [CrossRef]
- Mohamed, B.A.; Ellis, N.; Kim, C.S.; Bi, X.; Chen, W.-H. Engineered biochars from catalytic microwave pyrolysis for reducing heavy metals phytotoxicity and increasing plant growth. Chemosphere 2021, 271, 129808. [Google Scholar] [CrossRef]
- Rehman, A.; Arif, M.S.; Tufail, M.A.; Shahzad, S.M.; Farooq, T.H.; Ahmed, W.; Mehmood, T.; Farooq, M.R.; Javed, Z.; Shakoor, A. Biochar potential to relegate metal toxicity effects is more soil driven than plant system: A global meta-analysis. J. Clean. Prod. 2021, 316, 128276. [Google Scholar] [CrossRef]
- Trippe, K.M.; Manning, V.A.; Reardon, C.L.; Klein, A.M.; Weidman, C.; Ducey, T.F.; Novak, J.M.; Watts, D.W.; Rushmiller, H.; Spokas, K.A.; et al. Phytostabilization of acidic mine tailings with biochar, biosolids, lime, and locally-sourced microbial inoc-ulum: Do amendment mixtures influence plant growth, tailing chemistry, and microbial composition? Appl. Soil Ecol. 2021, 165, 103962. [Google Scholar] [CrossRef]
- You, X.; Yin, S.; Suo, F.; Xu, Z.; Chu, D.; Kong, Q.; Zhang, C.; Li, Y.; Liu, L. Biochar and fertilizer improved the growth and quality of the ice plant (Mesembryanthemum crystallinum L.) shoots in a coastal soil of Yellow River Delta, China. Sci. Total Environ. 2021, 775, 144893. [Google Scholar] [CrossRef]
- Ali, A.; Guo, D.; Arockiam Jeyasundar, P.G.S.; Li, Y.; Xiao, R.; Du, J.; Li, R.; Zhang, Z. Application of wood biochar in polluted soils stabilized the toxic metals and enhanced wheat (Triticum aestivum) growth and soil enzymatic activity. Ecotoxicol. Environ. Saf. 2019, 184, 109635. [Google Scholar] [CrossRef] [PubMed]
- Zhu, P.; Zhu, J.; Pang, J.; Xu, W.; Shu, L.; Hu, H.; Wu, Y.; Tang, C. Biochar Improves the Growth Performance of Maize Seedling in Response to Antimony Stress. Water Air Soil Pollut. 2020, 231, 154. [Google Scholar] [CrossRef]
- Almaroai, Y.A.; Eissa, M.A. Effect of biochar on yield and quality of tomato grown on a metal-contaminated soil. Sci. Hortic. 2020, 265, 109210. [Google Scholar] [CrossRef]
- de la Rosa, J.M.; Paneque, M.; Miller, A.Z.; Knicker, H. Relating physical and chemical properties of four different biochars and their application rate to biomass production of Lolium perenne on a Calcic Cambisol during a pot experiment of 79 days. Sci. Total Environ. 2014, 499, 175–184. [Google Scholar] [CrossRef] [PubMed] [Green Version]
- Zhang, L.; Jing, Y.; Xiang, Y.; Zhang, R.; Lu, H. Responses of soil microbial community structure changes and activities to biochar addition: A meta-analysis. Sci. Total Environ. 2018, 643, 926–935. [Google Scholar] [CrossRef]
- Xu, W.; Hu, S.; Lu, X.; Song, Y.; Hu, Y. Biochar Affects Seed Germination and Root Morphological Characteristics of Maize. Chin. Agric. Sci. Bull. 2019, 35, 20–24. [Google Scholar]
- Thomas, S.C.; Halim, M.A.; Gale, N.V.; Sujeeun, L. Biochar enhancement of facilitation effects in agroforestry: Early growth and physiological responses in a maize-leucaena model system. Agrofor. Syst. 2018, 93, 2213–2225. [Google Scholar] [CrossRef]
- Farhangi-Abriz, S.; Torabian, S.; Qin, R.; Noulas, C.; Lu, Y.; Gao, S. Biochar effects on yield of cereal and legume crops using meta-analysis. Sci. Total Environ. 2021, 775, 145869. [Google Scholar] [CrossRef]
- Bista, P.; Ghimire, R.; Machado, S.; Pritchett, L. Biochar Effects on Soil Properties and Wheat Biomass vary with Fertility Management. Agronomy 2019, 9, 623. [Google Scholar] [CrossRef] [Green Version]
- Six, J.; Frey, S.D.; Thiet, R.K.; Batten, K.M. Bacterial and Fungal Contributions to Carbon Sequestration in Agroecosystems. Soil Sci. Soc. Am. J. 2006, 70, 555–569. [Google Scholar] [CrossRef]
- Cai, J.-F.; Fan, J.; Liu, X.-S.; Sun, K.; Wang, W.; Zhang, M.-X.; Li, H.-L.; Xu, H.-F.; Kong, W.-J.; Yu, F.-H. Biochar-amended coastal wetland soil enhances growth of Suaeda salsa and alters rhizosphere soil nutrients and microbial communities. Sci. Total Environ. 2021, 788, 147707. [Google Scholar] [CrossRef] [PubMed]
- Yan, P.; Shen, C.; Zou, Z.; Fu, J.; Li, X.; Zhang, L.; Zhang, L.; Han, W.; Fan, L. Biochar stimulates tea growth by improving nutrients in acidic soil. Sci. Hortic. 2021, 283, 110078. [Google Scholar] [CrossRef]
- Cui, Q.; Xia, J.; Yang, H.; Liu, J.; Shao, P. Biochar and effective microorganisms promote Sesbania cannabina growth and soil quality in the coastal saline-alkali soil of the Yellow River Delta, China. Sci. Total Environ. 2021, 756, 143801. [Google Scholar] [CrossRef] [PubMed]
- Dong, X.; Singh, B.P.; Li, G.; Lin, Q.; Zhao, X. Biochar application constrained native soil organic carbon accumulation from wheat residue inputs in a long-term wheat-maize cropping system. Agric. Ecosyst. Environ. 2018, 252, 200–207. [Google Scholar] [CrossRef]
- Lu, T.; Wang, X.; Du, Z.; Wu, L. Impacts of continuous biochar application on major carbon fractions in soil profile of North China Plain’s cropland: In comparison with straw incorporation. Agric. Ecosyst. Environ. 2021, 315, 107445. [Google Scholar] [CrossRef]
- Sun, Z.; Zhang, Z.; Zhu, K.; Wang, Z.; Zhao, X.; Lin, Q.; Li, G. Biochar altered native soil organic carbon by changing soil aggre gate size distribution and native SOC in aggregates based on an 8-year field experiment. Sci. Total Environ. 2020, 708, 134829. [Google Scholar] [CrossRef]
- Wang, Z.; Wang, Z.; Luo, Y.; Zhan, Y.-N.; Meng, Y.-L.; Zhou, Z.-G. Biochar increases 15N fertilizer retention and indigenous soil N uptake in a cotton-barley rotation system. Geoderma 2020, 357, 113944. [Google Scholar] [CrossRef]
- Ghodake, G.S.; Shinde, S.K.; Kadam, A.A.; Saratale, R.G.; Saratale, G.D.; Kumar, M.; Palem, R.R.; Al-Shwaiman, H.A.; Elgorban, A.M.; Syed, A.; et al. Review on biomass feedstocks, pyrolysis mechanism and physicochemical properties of biochar: State-of-the-art framework to speed up vision of circular bioeconomy. J. Clean. Prod. 2021, 297, 126645. [Google Scholar] [CrossRef]
- Zheng, H.; Wang, X.; Chen, L.; Wang, Z.; Xia, Y.; Zhang, Y.; Wang, H.; Luo, X.; Xing, B. Enhanced growth of halophyte plants in biochar-amended coastal soil: Roles of nutrient availability and rhizosphere microbial modulation. Plant Cell Environ. 2018, 41, 517–532. [Google Scholar] [CrossRef]
- Liang, J.-F.; An, J.; Gao, J.-Q.; Zhang, X.-Y.; Song, M.-H.; Yu, F.-H. Interactive effects of biochar and AMF on plant growth and greenhouse gas emissions from wetland microcosms. Geoderma 2019, 346, 11–17. [Google Scholar] [CrossRef]
- Naeem, M.A.; Khalid, M.; Aon, M.; Abbas, G.; Tahir, M.; Amjad, M.; Murtaza, B.; Yang, A.; Akhtar, S.S. Effect of wheat and rice straw biochar produced at different temperatures on maize growth and nutrient dynamics of a calcareous soil. Arch. Agron. Soil Sci. 2017, 63, 2048–2061. [Google Scholar] [CrossRef]
- Shar, A.G.; Peng, J.Y.; Tian, X.; Siyal, T.A.; Shar, A.H.; Yuhan, J.; Datta, R.; Hessini, K. Contrasting effects of maize residue, coal gas residue and their biochars on nutrient mineralization, enzyme activities and CO2 emissions in sandy loess soil. Saudi J. Biol. Sci. 2021, 28, 4155–4163. [Google Scholar] [CrossRef]
- Zhang, M.; Zhang, L.; Riaz, M.; Xia, H.; Jiang, C. Biochar amendment improved fruit quality and soil properties and microbial communities at different depths in citrus production. J. Clean. Prod. 2021, 292, 126062. [Google Scholar] [CrossRef]
- Rafique, M.; Ortas, I.; Rizwan, M.; Chaudhary, H.J.; Gurmani, A.R.; Hussain Munis, M.F. Residual effects of biochar and phosphorus on growth and nutrient accumulation by maize (Zea mays L.) amended with microbes in texturally different soils. Chemosphere 2020, 238, 124710. [Google Scholar] [CrossRef] [PubMed]
- Albert, H.A.; Li, X.; Jeyakumar, P.; Wei, L.; Huang, L.; Huang, Q.; Kamran, M.; Shaheen, S.M.; Hou, D.; Rinklebe, J.; et al. Influence of biochar and soil properties on soil and plant tissue concentrations of Cd and Pb: A meta-analysis. Sci. Total Environ. 2021, 755, 142582. [Google Scholar] [CrossRef] [PubMed]
- Liu, X.; Wei, Z.; Ma, Y.; Liu, J.; Liu, F. Effects of biochar amendment and reduced irrigation on growth, physiology, water-use efficiency and nutrients uptake of tobacco (Nicotiana tabacum L.) on two different soil types. Sci. Total Environ. 2021, 770, 144769. [Google Scholar] [CrossRef] [PubMed]
- Rosenberg, M.; Adams, D.; Gurevitch, J. MetaWin: Statistical Software for Meta-Analysis: Version 2.0; Sinauer Associates: Sunderland, MA, USA, 1999. [Google Scholar]
- Hedges, L.; Gurevitch, J.; Curtis, P. The Meta-Analysis of Response Ratios in Experimental Ecology. Ecology 1999, 80, 1150–1156. [Google Scholar] [CrossRef]
- Chen, H.; Li, X.; Hu, F.; Shi, W. Soil nitrous oxide emissions following crop residue addition: A meta-analysis. Glob. Change Biol. 2013, 19, 2956–2964. [Google Scholar] [CrossRef]
- Song, D.; Xi, X.; Zheng, Q.; Liang, G.; Zhou, W.; Wang, X. Soil nutrient and microbial activity responses to two years after maize straw biochar application in a calcareous soil. Ecotoxicol. Environ. Saf. 2019, 180, 348–356. [Google Scholar] [CrossRef]
- Peeyush, S.; Vikas, A.; Vikas, S.; Shubham, C. Effectiveness of biochar and compost on improving soil hydro-physical properties, crop yield and monetary returns in inceptisol subtropics. Saudi J. Biol. Sci. 2021, 28, 7539–7549. [Google Scholar]
- Yin, X.; Peñuelas, J.; Xu, X.; Sardans, J.; Fang, Y.; Wiesmeier, M.; Chen, Y.; Chen, X.; Wang, W. Effects of addition of nitro-gen-enriched biochar on bacteria and fungi community structure and C, N, P, and Fe stoichiometry in subtropical paddy soils. Eur. J. Soil Biol. 2021, 106, 103351. [Google Scholar] [CrossRef]
- Mandal, S.; Donner, E.; Vasileiadis, S.; Skinner, W.; Smith, E.; Lombi, E. The effect of biochar feedstock, pyrolysis temperature, and application rate on the reduction of ammonia volatilisation from biochar-amended soil. Sci. Total Environ. 2018, 627, 942–950. [Google Scholar] [CrossRef] [PubMed]
- Tefanko, A.U.; Leszczynska, D. Impact of Biomass Source and Pyrolysis Parameters on Physicochemical Properties of Biochar Manufactured for Innovative Applications. Front. Energy Res. 2020, 8, 138. [Google Scholar]
- Jeffery, S.; Abalos, D.; Spokas, K.; Verheijen, F. Biochar Effects on Crop Yield. In Biochar for Environmental Management; Routledge: Oxfordshire, UK, 2015; pp. 333–358. [Google Scholar]
- Feng, W.; Yang, F.; Cen, R.; Liu, J.; Qu, Z.; Miao, Q.; Chen, H. Effects of straw biochar application on soil temperature, available nitrogen and growth of corn. J. Environ. Manag. 2021, 277, 111331. [Google Scholar] [CrossRef]
- LI, S.; Liu, X.; He, P. Analyses on nutrient requirements in current agriculture production in China. J. Plant Nutr. Fertil. 2017, 23, 1416–1432. [Google Scholar]
- Beesly, L.; Moreno-Jimenez, E.; Gomez-Eyles, J.L. Effects of biochar and green waste compost amendments on mobility, bioavailability and toxicity of inorganic and organic contaminants in a multi-element polluted soil. Environ. Pollut. 2010, 158, 2282–2287. [Google Scholar] [CrossRef] [PubMed]
- Zhou, X.; Xing, Y.; Fang, B.; Zhang, L.; Peng, Y. Effect of Biochar Amendment on Nitrogen Leaching in Soil. Earth Environ. 2011, 39, 278–284. [Google Scholar]
- Fan, Q.; Sun, J.; Chu, L. Effects of chemical oxidation on surface oxygen-containing functional groups and adsorption behavior of biochar. Chemosphere 2018, 207, 33–40. [Google Scholar] [CrossRef]
- Xu, R.Q. Progresses on Amelioration of Red Soil Acidity with Crop Straw Biochar: A Review. J. Agric. Resour. Environ. 2016, 33, 303–309. [Google Scholar]
- Liu, Y.; Huang, Q.; Hu, W.; Qin, J.; Zheng, Y.; Wang, J.; Wang, Q.; Xu, Y.; Guo, G.; Hu, S.; et al. Effects of plastic mulch film residues on soil-microbe-plant systems under different soil pH conditions. Chemosphere 2020, 267, 128901. [Google Scholar] [CrossRef]
- Kim, K.; Yoon, S.; Kwon, H.A.; Choi, Y. Effects of treatment agents during acid washing and pH neutralization on the fertility of heavy metal-impacted dredged marine sediment as plant-growing soil. Environ. Pollut. 2020, 267, 115466. [Google Scholar] [CrossRef]
- Sheng, Y.; Zhu, L. Biochar alters microbial community and carbon sequestration potential across different soil pH. Sci. Total Environ. 2018, 622, 1391–1399. [Google Scholar] [CrossRef] [PubMed]
- Xu, R.-K.; Zhao, A.-Z.; Yuan, J.-H.; Jiang, J. pH buffering capacity of acid soils from tropical and subtropical regions of China as influenced by incorporation of crop straw biochars. J. Soils Sediments 2012, 12, 494–502. [Google Scholar] [CrossRef]
- Yang, Y.; Zhang, W.; Qiu, H.; Tsang, D.C.W.; Morel, J.-L.; Qiu, R. Effect of coexisting Al(III) ions on Pb(II) sorption on biochars: Role of pH buffer and competition. Chemosphere 2016, 161, 438–445. [Google Scholar] [CrossRef] [PubMed]
- Evangelou, M.W.H.; Brem, A.; Ugolini, F.; Abiven, S.; Schulin, R. Soil application of biochar produced from biomass grown on trace element contaminated land. J. Environ. Manag. 2014, 146, 100–106. [Google Scholar] [CrossRef]
- Zhang, Y.; Chen, T.; Liao, Y.; Reid, B.J.; Chi, H.; Hou, Y.; Cai, C. Modest amendment of sewage sludge biochar to reduce the accumulation of cadmium into rice (Oryza sativa L.): A field study. Environ. Pollut. 2016, 216, 819–825. [Google Scholar] [CrossRef] [PubMed] [Green Version]
- Lebrun, M.; Miard, F.; Nandillon, R.; Scippa, G.S.; Bourgerie, S.; Morabito, D. Biochar effect associated with compost and iron to promote Pb and As soil stabilization and Salix viminalis L. growth. Chemosphere 2019, 222, 810–822. [Google Scholar] [CrossRef] [Green Version]







Publisher’s Note: MDPI stays neutral with regard to jurisdictional claims in published maps and institutional affiliations. |
© 2021 by the authors. Licensee MDPI, Basel, Switzerland. This article is an open access article distributed under the terms and conditions of the Creative Commons Attribution (CC BY) license (https://creativecommons.org/licenses/by/4.0/).
Share and Cite
Zou, Z.; Fan, L.; Li, X.; Dong, C.; Zhang, L.; Zhang, L.; Fu, J.; Han, W.; Yan, P. Response of Plant Root Growth to Biochar Amendment: A Meta-Analysis. Agronomy 2021, 11, 2442. https://doi.org/10.3390/agronomy11122442
Zou Z, Fan L, Li X, Dong C, Zhang L, Zhang L, Fu J, Han W, Yan P. Response of Plant Root Growth to Biochar Amendment: A Meta-Analysis. Agronomy. 2021; 11(12):2442. https://doi.org/10.3390/agronomy11122442
Chicago/Turabian StyleZou, Zhenhao, Lichao Fan, Xin Li, Chunwang Dong, Liping Zhang, Lan Zhang, Jianyu Fu, Wenyan Han, and Peng Yan. 2021. "Response of Plant Root Growth to Biochar Amendment: A Meta-Analysis" Agronomy 11, no. 12: 2442. https://doi.org/10.3390/agronomy11122442
APA StyleZou, Z., Fan, L., Li, X., Dong, C., Zhang, L., Zhang, L., Fu, J., Han, W., & Yan, P. (2021). Response of Plant Root Growth to Biochar Amendment: A Meta-Analysis. Agronomy, 11(12), 2442. https://doi.org/10.3390/agronomy11122442
